2023 Vol. 49, No. 8

Display Method:
Volume 8 Issue E-journal
Volume 49 Issue82023
iconDownload (56601) 1361 iconPreview
Text-to-image synthesis based on modified deep convolutional generative adversarial network
LI Yunhong, ZHU Mianyun, REN Jie, SU Xueping, ZHOU Xiaoji, YU Huikang
2023, 49(8): 1875-1883. doi: 10.13700/j.bh.1001-5965.2021.0588
Abstract:

When high-dimensional texts are adopted as input,images generated by the previously proposed deep convolutional generative adversarial network (DCGAN) model usually suffer from distortions and structure degradation due to the sparsity of texts, which seriously poses a negative impact on the generative performance. To address this issue, an improved deep convolutional generative adversarial network model, CA-DCGAN is proposed. Technically, a deep convolutional network and a recurrent text encoder are simultaneously employed to encode the input text so that the corresponding text embedding representation can be obtained. Then, a conditional augmentation (CA) model is introduced to generate an additional condition variable to replace the original high-dimensional text feature. Finally, the conditional variable and random noise are combined as the input of the generator. Meanwhile, to avoid over-fitting and promote the convergence,we introduce a KL regularization term into the generator’s loss. Moreover, we adopt a spectral normalization (SN) layer in the discriminator to prevent the mode collapse caused by the unbalanced training due to the fast gradient descent of the discriminator. The experimental verification results show that the proposed model on the Oxford-102-flowers and CUB-200 datasets is better than that of alignDRAW, GAN-CLS, GAN-INT-CLS, StackGAN (64×64), StackGAN-vl (64×64) in terms of the quality of generated images. The results show that the lowest inception score increased by 10.9% and 5.6% respectively, the highest inception score increased by 41.4% and 37.5% respectively, while the lowest FID index value decreased by 11.4% and 8.4% respectively,the highest FID index value decreased by 43.9% and 42.5% respectively,which further validate the effectiveness of the proposed method.

Detection of railway object intrusion under infrared low light based on multi-feature and attention enhancement network
CHEN Yong, WANG Zhen, LU Chentao, ZHANG Jiaojiao
2023, 49(8): 1884-1895. doi: 10.13700/j.bh.1001-5965.2021.0591
Abstract:

There are some problems in railway object intrusion detection in infrared weak light environment, such as insufficient target feature extraction, low detection accuracy and real-time performance. Aiming to those problems, an anchor-free object intrusion depth learning model based on CenterNet target detection model is proposed. This model work with multi-feature fusion and attention enhancement. Firstly, based on the multi-scale feature extraction of infrared targets, the adaptive spatial feature fusion (ASFF) module is used for feature extraction. And to improve the feature extraction ability of infrared targets, this model makes full use of target high-level semantics and low-level fine-grained feature information. Secondly, the key features are extracted through the proposed modified dilated-convolutional block attention module (Dilated-CBAM), which expands the receptive field range of the attention mechanism module. On the one hand, this improvement overcomes the problem that the mapping area of the convolution block receiving field of the original central network becomes narrow and cannot detect weak and small targets; on the other hand, this improvement improves the detection accuracy of the anchor free network. Then, Smooth L1 loss function is used for training, which overcomes the problems of slow convergence speed and unstable solution of L1 loss function in the network training process. Finally, the experimental results are obtained through railway infrared data set and field experiments. The experimental results show that compared with the original CenterNet model, the average detection accuracy of this method is improved by 8.03%, the confidence of the detection frame is improved by 31.23%, and the average detection rate is 9.6 times higher than that of the Faster R-CNN model. This method can detect railway object intrusion more quickly and accurately in the infrared weak light environment, both subjective and objective evaluation are better than the comparison method.

Fault diagnosis of generator rolling bearing based on AE-BN
WANG Jinhua, GAO Yuan, CAO Jie, MA Jialin
2023, 49(8): 1896-1903. doi: 10.13700/j.bh.1001-5965.2021.0581
Abstract:

To solve the accuracy of fault identification of wind turbines under complex working conditions, coupling, and uncertainty, an AE-BN fault diagnosis method based on a auto-encoder (AE) and Bayesian network (BN) is proposed. AE is used to extract the characteristics of the current signal, and the characteristic component that can highly characterize the signal is obtained; based on the causal relationship between fault and feature, a three-layer BN composed of fault location, fault state, and fault feature is established; The wind turbine fault diagnostic model is then established, the uncertainty problem in fault diagnosis is solved, and the precision of multi fault diagnosis is enhanced by combining the characteristic component of AE with the topology of BN. Experimental results show that the proposed method can analyze and diagnose fault characteristic signals and accurately identify different fault types, which has obvious advantages over other algorithms.

Dynamic characteristics of turbine flowmeter based on CFD simulation
GUO Suna, SONG Wei, XIANG Nuolin, LIU Xu, WANG Fan, ZHAO Zhiyue
2023, 49(8): 1904-1911. doi: 10.13700/j.bh.1001-5965.2021.0594
Abstract:

Currently, the aerospace industry has increasingly strict requirements for flow measuring, and therefore, studying the dynamic characteristics of the flowmeter is of great significant for improving the measurement performance and online measurement performance in various environments. In this paper, the dynamic performance of the turbine flow meter is studied by the numerical simulation. Two interference signals are applied at the turbine flowmeter inlet, and by data processing, the amplitude frequency characteristics, phase frequency characteristics, transfer functions, and step response curves of the system are obtained. The results show that the turbine flowmeter can be analyzed as a first-order system, and the frequency of pulsating flow is the main factor affecting the performance of turbine flowmeter.Compared with 5 Hz, 60% reduction in amplitude ratio under 50 Hz operating condions. The phase difference increases with the increase of frequency, the maximum phase difference reaches a nearly 40°, the speed of the step response is related to the size of the step stream, and the temporal constant generated by the negative step is greater than the time constant generated by the positive step.

Accuracy analysis of Eulerian method for droplet impingement characteristics under aircraft icing conditions
SHEN Xiaobin, ZHAO Wenzhao, LIN Guiping, QI Zicheng
2023, 49(8): 1912-1921. doi: 10.13700/j.bh.1001-5965.2021.0607
Abstract:

The calculation of super-cooled droplet impingement characteristics is the basis for the prediction of ice shape and the performance analysis of anti-icing and de-icing systems under icing conditions. Eulerian and Lagrangian methods are the commonly used ones, and their predictions are usually consistent. However, different results were found between the two methods for some aircraft components. In this paper, Eulerian and Lagrangian methods are compared to analyze the similarities and differences between the two results, and then the accuracy of Eulerian method for the calculation of the droplet impingement characteristics is discussed. Taking a NACA 0012 airfoil, an icing wind tunnel, an S-shape duct, and an engine cone with a hot-air film-heating anti-icing system as the research objects, the water droplet motion, and local water collection efficiency are calculated by Eulerian and Lagrangian methods. The outcomes demonstrate that the Eulerian and Lagrangian approaches produce consistent outcomes when the droplet motion is not influenced by upstream factors. After the water droplet deflections, the water droplet streamlines obtained by Eulerian method cannot intersect, while Lagrangian method can capture the crossing of droplet trajectories, which leads to the difference between the two methods. And the results of Eulerian method conflict with the assumption of no droplets collision or coalescence. The Eulerian method is not accurate for the calculation of water droplet motion and impingement characteristics of the S-shape duct and the engine cone with hot-air film-heating anti-icing system because water droplets will deflect under the influence of the upstream components and the airflow injection, making the collection efficiencies of the downstream surface obtained by Eulerian and Lagrangian methods inconsistent. This work is helpful for the accurate prediction of ice shape and the design of anti-icing and de-icing systems under aircraft icing conditions.

Calculation of cutting angle and cutting force in face gear machining
GUAN Rui, HUANG Yizhan, CHEN Rui, WANG Yanzhong
2023, 49(8): 1922-1929. doi: 10.13700/j.bh.1001-5965.2021.0613
Abstract:

Combining a method for skiving cylindrical gear with one for machining face gear is suggested in order to increase the processing effectiveness of face gears. First, the principle of the skiving machining is analyzed, and the machining motion model and the skiving coordinate system are established. The cutting speed of the cutting point on the cutting edge of the skiving tool is derived. Secondly, the rack face and the flank face of the skiving tool are designed, the mathematical model of the cutting angle is established, and the change rule of the cutting angle of the tool during the machining process is analyzed. Finally, using VERICUT and DEFORM simulation analysis software to verify the skiving process, the post-processing errors and the influence of processing parameters on the cutting force are obtained.

A safety analysis approach for embedded system
YANG Bo, LIU Zhen, WEI Xinjie, WU Ji
2023, 49(8): 1930-1939. doi: 10.13700/j.bh.1001-5965.2022.0185
Abstract:

Embedded systems are widely used in safety-critical industrial fields, but currently the safety of embedded systems lacks a comprehensive analysis. Therefore, a fault evolution chain analysis method for embedded systems has been proposed, which integrates failure probability and failure path. Firstly, the hierarchical analysis method is used to construct the evolution relationship chain of faults, namely the fault evolution chain, by referring to the methods of failure mode and impact analysis. Then, the fault evolution chain can be used to analyze the possible faults in the system, the causes of faults, the level of harm caused by faults, and the propagation path of faults. Experiments were conducted on two embedded software systems, and the results showed that the fault evolution chain method is more comprehensive than fault impact analysis, functional hazard analysis, and fault tree analysis. The fault evolution chain method can be used to analyze the security of embedded systems effectively.

Unsteady flow mechanism of high Mach number cavity
ZHANG Peihong, CHENG Xiaohui, CHEN Hongyang, JIA Hongyin, LUO Lei, TANG Yin
2023, 49(8): 1940-1947. doi: 10.13700/j.bh.1001-5965.2021.0609
Abstract:

The cavity flow widely exists in aircraft, and the flow in embedded weapon bay is one of the most typical cavity flows. The cavity flow has a complex structure and generates strong pressure fluctuations due to the interaction of shear layers, vortices, and shock waves. Using the unstructured hybrid mesh, a hybrid algorithm of central and upwind schemes is developed that focuses on the properties of high Mach number cavity flow. The cavity first-order and second-order dominant frequencies are calculated and verified by the numerical example of the high Mach number cavity standard model, with an error of no more than 5% compared with the experiment data. The cavity noise intensity has an error of no more than 10 dB compared with the experiment data, which verified the reliability of the method. The studies on the fluctuation characteristics of high Mach number (Ma> 2) cavity flow has been carried out with the numerical simulation method. The impact of various Mach numbers on the cavity's sound pressure level was examined, and it was also described how the cavity fluctuates acoustically at various Mach numbers. It is shown that the coupling between shear layer dynamics and cavity acoustics decreases at high Mach number conditions, and the physical mechanism of cavity oscillation changes from the vortex acoustic resonance mechanism of the Rossiter model to the closed-box acoustic mechanism as the Mach number increases.

Process control net modelling and analyzing for satellite test and evaluation in launch site
ZHANG Chun, ZHUANG Ke, YU Peng, YAN Jindong, LIU Yifan, CHANG Jin
2023, 49(8): 1948-1955. doi: 10.13700/j.bh.1001-5965.2021.0628
Abstract:

During the prelaunch phase, the process control combines test models with subjects to enable the design and modification of satellite test and evaluation procedures. Since non-structural words and images are mostly used to describe and build the technical process of the satellite at the launch site, it is difficult to quantify state transportation and constraint issues and prohibits formalization in the automation mission system. This paper proposes the process control net model and the related analysis method for satellite test and evaluation at the launch site. The provided model and methodology enable accessibility, work uncertainty, and resource competition quantitative scheduling analysis for satellites' many and parallel jobs. These quantification abilities are helpful to support the scheme design and process optimization of satellite tests and evaluations.

Cooperative guidance method with interception time constraint
ZHANG Shuai, SONG Tianli, JIAO Wei, GUO Yang
2023, 49(8): 1956-1963. doi: 10.13700/j.bh.1001-5965.2021.0569
Abstract:

To address the problem of multi-aircraft cooperative interception of maneuvering targets, a cooperative guidance method considering interception time constraints is proposed based on the finite-time sliding mode control method and consistency theory. Based on the relative kinematics and dynamics, a cooperative interception model considering interception time and angle constraints is established. Based on the sliding mode control theory and super-twisting control algorithm, the coordinate guidance laws in line-of-sight direction and line-of-sight normal direction are designed to ensure that the interception time of each aircraft converges uniformly within the finite time and that the interception angle converges to the expected value. Based on the consistency theory, the finite-time consistent convergence performance of the proposed guidance method is demonstrated. The simulation results show that all the aircrafts can intercept targets simultaneously at the desired intercept angle, which verifies the effectiveness of the proposed method.

Aircraft landing safety quality analysis based on modified FRAM method
YAN Yifan, GAN Xusheng, WU Yarong, YANG Liwei
2023, 49(8): 1964-1973. doi: 10.13700/j.bh.1001-5965.2021.0574
Abstract:

The aircraft landing stage poses the highest risk of flight accidents and demands the most rigorous technical skills from pilots. Thus, a scientific assessment system should be established to accurately evaluate pilots’ technical skills of landing control, identify their technical defects, and formulate measures to improve the safety quality in the landing stage. Based on the functional resonance accident model (FRAM), functional network models of aircraft landing glide and taxiing deceleration are constructed. An aircraft landing taxiing deceleration model is also developed. The pilot’s landing operation is simulated by virtual flight tests, and the data of the landing control with different pavements is sampled. By comparing the sampled data with the safety envelope, the functional resonance relationship and the functional changes in the network are identified. To continuously optimize the safety quality of the landing control, the FRAM analysis process is improved, a rolling optimized program of data acquisition and safety barrier effectiveness verification is built, and invalid control measures are eliminated in time. The improved FRAM analysis method weakens the dependence of traditional analytical methods on the knowledge structure of analysts. Furthermore, the analysis results are more objective, which can provide effective technical support for the training of flight cadets and the continuous improvement of pilots’ ability.

Optimization of discharge chamber key parameters for 10 cm Kaufman xenon ion thruster
HU Jing, GENG Hai, YANG Fuquan, GUO Dezhou, WANG Dongsheng, LI Jianpeng
2023, 49(8): 1974-1981. doi: 10.13700/j.bh.1001-5965.2021.0631
Abstract:

Discharge chamber configuration is the foundation and core of ion thruster structure design, which directly influences the working efficiency of the discharge chamber and in-orbit lifetime of the thruster. Aiming at the application requirement of new complex aerospace equipment for ion thruster with long-life, high thrust wide-range and continuous variable-thrust, this research explored the key factors of discharge chamber configuration parameters influencing the efficacy of 10 cm ion thruster, as well as the influence of magnetic field divergence, electron channel area and hollow cathode position and other sensitive parameters on discharge chamber performances. Then optimization of parameter configuration and verification of discharge chamber of 10 cm ion thruster were conducted. The results showed that by optimizing discharge chamber key parameters, the maximum thrust of 10 cm ion thruster increased from 20 mN to 25 mN, 25% higher without changing the mechanical structure of the thruster, which extended the thrust adjustment range from 1−20 mN to 1−25 mN, and enhanced the thrust resolution in the whole range to more than 50 μN. Moreover, the anode potential dropped to 38.4 V from 43.5 V, the discharge loss dropped to 308 W/A from 345 W/A, and the estimated lifetime of thruster will be increased from 15000 h to 17500 h. The above research will certainly provide technical support for the extended in-orbit application of 10 cm ion thruster.

Energy-efficiency characteristic investigation of rotational inertia hydraulic converter
CHEN Xiaoming, ZHU Yuchuan, LING Jie, ZHENG Shufeng, WANG Yuwen
2023, 49(8): 1982-1990. doi: 10.13700/j.bh.1001-5965.2021.0570
Abstract:

To explore the main characteristics and energy conversion mechanism of rotational inertia hydraulic converter (RIHC). Using a rotating inertia hydraulic converter configuration powered by an analogous rapid switching valve, the overall theoretical model was developed to investigate the key features and energy conversion mechanism of the device. The results indicated that the main characteristics can be basically predicted by the theoretical model, and the rotational inertia can be effectively quantified by the suction flow rate, whose mean value reach to the peak value at the duty cycle of 0.5. In the effective duty cycle control mode of PWM signal, with the growth of the flywheel rotation speed and load pressure, the positively correlated throttling power loss and system efficiency are acquired. When the load pressure is between 0 and 4 MPa, experimental comparison showed that the RIHC may reduce throttling power loss by up to 89% and achieve an increase in system efficiency of 15.7% while compared to CPHS.

Residual SDE-Net for uncertainty estimates of deep neural networks
WANG Yongguang, YAO Shuzhen, TAN Huobin
2023, 49(8): 1991-2000. doi: 10.13700/j.bh.1001-5965.2021.0604
Abstract:

The neural stochastic differential equation model (SDE-Net) can quantify epistemic uncertainties of deep neural networks (DNNs) from the perspective of a dynamical system. However, SDE-Net faces two problems. Firstly, when dealing with largescale datasets, performance degrades as network layers increase. Secondly, SDE-Net has poor performance in dealing with aleatoric uncertainties caused by in-distribution data with noise or a high missing rate. In order to achieve consistent stability and higher performance, this paper first designs a residual SDE-Net (ResSDE-Net) model, which enhances the residual blocks in residual networks (ResNets). next, convolutional conditional neural processes (ConvCNPs) with translation equivariance are introduced to complete in-distribution data that has noise or a high rate of missing data in order to enhance the ResSDE-Net's processing ability for such datasets. The experimental results demonstrate that the ResSDE-Net performs consistently and predictably when dealing with in-distribution and out-of-distribution data. Additionally, the model still achieves an average accuracy of 89.89%, 65.22%, and 93.02% on the real-world SVHN datasets and the MNIST, CIFAR10, and CIFAR10 datasets, where 70% of the pixels are lost, respectively.

A cooperative search and encirclement algorithm for quadrotors in unknown areas
GUO Jinjin, QI Juntong, WANG Mingming, WU Chong, XU Shibo
2023, 49(8): 2001-2010. doi: 10.13700/j.bh.1001-5965.2021.0606
Abstract:

Quadrotor swarms can be used for regional reconnaissance to establish the cognition of the environment and targets. This study offers a distributed cooperative search algorithm and a dynamic target surrounding technique for quadrotor swarm to solve the challenge of locating and monitoring targets in unexplored areas. To reduce the complexity of the search algorithm, the area is divided into two-level grid subareas by the grid division method. Considering the randomness of dynamic targets, a digital pheromone is designed to guide quadrotors to perform a second search in the mission area. Taking the fast search target as the reward function, the optimal solution is obtained through rolling optimization as the input of quadrotors. The consensus protocol is then used as the foundation for a cooperative tracking and surrounding procedure to gather real-time data on dynamic targets. Several simulation results and outdoor flight experiments verify that the proposed algorithm can effectively search and dynamically monitor dynamic targets in unknown areas.

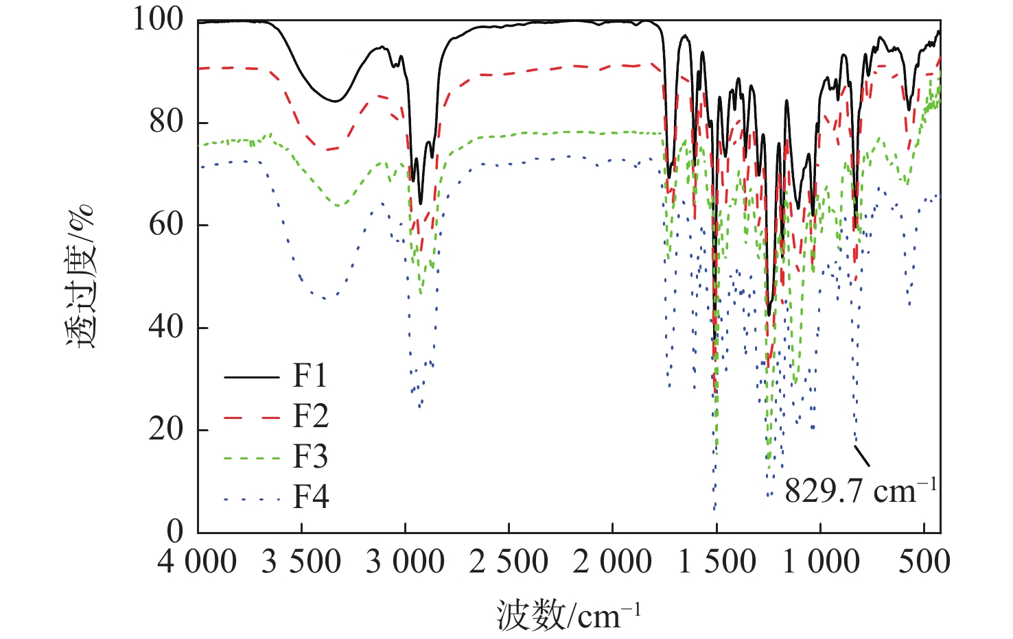
Interface adjustment of aerospace-grade T800 carbon fiber composite material
LI Tianshu, WANG Shaokai, WU Qing, GU Yizhuo, LI Qinghui, LI Min
2023, 49(8): 2011-2020. doi: 10.13700/j.bh.1001-5965.2021.0619
Abstract:

The effect of the sizing agent on the surface modification of high-performance carbon fiber (CF) and the modulation effect on the interface performance of its composite is very important. In this paper, the aerospace-grade T800 carbon fibers prepared by the wet method are used, and the changes in the surface microstructure, chemical composition, and chemical reaction characteristics of the fiber before and after sizing are analyzed, and the macro and micro interface properties of the composites are characterized. In addition, the reactivity of the sizing agent and its chemical reaction behavior with epoxy resin (EP) and bismaleimide resin (BMI) were examined using X-ray photoelectron spectroscopy (XPS), differential scanning calorimetry (DSC), Fourier transform infrared spectroscopy (FTIR), and other characterization techniques. The results show that the sizing agent reacts chemically with the groups on the fiber surface under the curing temperature of the resin so that the extraction amount of the sizing agent and the content of active carbon atoms on the fiber surface is reduced. The sizing agent has good chemical reaction characteristics with EP and BMI. The surface of CF sizing agent is rendered inactive after the high-temperature treatment, which also results in a little change in the interface shear strength between CF and EP but a 13% reduction between CF and BMI. In conclusion, the epoxy sizing agent with chemical activity can significantly improve the surface properties of carbon fiber, and then affect the interface properties of composites, in which the reactivity between the sizing agent and resin also affects the interface performance.

Collapse modes and energy absorption performance of conventional and re-entrant hexagonal tubes under lateral compression
LIU Jie, LIU Hua, YANG Jialing
2023, 49(8): 2021-2028. doi: 10.13700/j.bh.1001-5965.2021.0623
Abstract:

Hexagonal thin-walled structures are widely used in the field of energy absorption and protection. To improve the energy absorption performance of hexagonal thin-walled tubes, in this study, a comparative study on the collapse modes and energy absorption performance of the conventional and re-entrant hexagonal tubes under lateral compression was performed. The theoretical models of these two kinds of hexagonal tubes were established and the effect of strain-hardening was taken into account. Then the finite element analyses were conducted by using the commercial software ABAQUS. The deformation modes and force-displacement relations obtained from the finite element analyses were compared with those predicted by the theoretical models. The results of the finite element and theory show a good degree of concordance. The plastic deformation behavior and energy absorption performance of the conventional and re-entrant hexagonal tubes with different inclination angles under lateral compression were explored. It is found that, compared with the conventional hexagonal tubes, the energy absorption performance of the re-entrant hexagonal tubes is better. The stroke efficiency and energy absorption of the re-entrant hexagonal tubes are respectively 1.41~1.62 times and 1.79~1.83 times those of the corresponding conventional hexagonal tubes. In addition, the re-entrant hexagonal tubes requires less installation space.

Architecture of smart parking lot based on digital twin technology
SHANG Ke, ZHANG Yulin, ZHANG Feizhou
2023, 49(8): 2029-2038. doi: 10.13700/j.bh.1001-5965.2021.0624
Abstract:

In the research on the construction of large and medium-sized parking lots in cities, the current focus is mainly on hardware upgrades and simple human-computer interactions. However, neither the low use of big data nor the divergence between digital simulation and actual things has been resolved. Based on digital twin technology, a general idea of digital simulation and physical mapping for factors of the parking lot was advanced to established a 4-layer theoretical architecture for a digital twin parking lot. It includes the all elements physical entity of the parking lot, physical integration of the parking lot’s information, digital twin model of the parking lot, and intelligent service platform of the parking lot’s application. Real-time mapping between physical objects in physical space and virtual objects in virtual space is realized through real-time information transmission; real-time decision-making and simulation predictions in the physical domain is realized through continuous simulation iteration in the digital twin domain, providing services for users and administrators, such as parking allocation, parking guidance, and risk assessment. According to this framework, 4 key points were analyzed, including the precision modeling of all elements in the parking lot, short-time parking prediction, parking space allocation and alternate parking, and parking guidance. The feasibility of constructing a digital twin parking lot is preliminarily verified by the three-dimensional spatial structure modeling of an underground parking lot, and simulation and visualization of the parking guidance path planning using tools such as ThingJS and MATLAB.

Strain-based geometrically nonlinear beam modeling and analysis
XU Qiuyi, MENG Yang, LI Shu
2023, 49(8): 2039-2049. doi: 10.13700/j.bh.1001-5965.2021.0627
Abstract:

Under the action of aerodynamic forces, flexible wings undergo large deformations, for which geometric nonlinearity cannot be ignored. By taking advantage of their slenderness, flexible wings can be modeled as beams. This paper developed the dynamic equilibrium equations of nonlinear beams based on the geometrically exact beam theory and Hamilton principle. Different from the classical displacement-based finite element, this work took the generalized strains as interpolated variables and obtained the generalized mass matrix, damping matrix, stiffness matrix and force vectors, based on which a strain-based nonlinear beam model was proposed. The nonlinear dynamic equations were then solved by Newmark method combined with Newton-Raphson iterations with typical examples investigated from both static and dynamic perspectives. Next, the results were compared with those calculated by finite-element software, which proved that the strain-based beam model has better convergence with the comparable accuracy. The method was further verified by static ground tests of a large-aspect-ratio wing model, during which laser displacement sensor and fiber optic sensing technology were utilized to measure the structural deformation. The excellent agreement between numerical results calculated by the proposed method and the test results further validated the accuracy of the strain-based formulation.

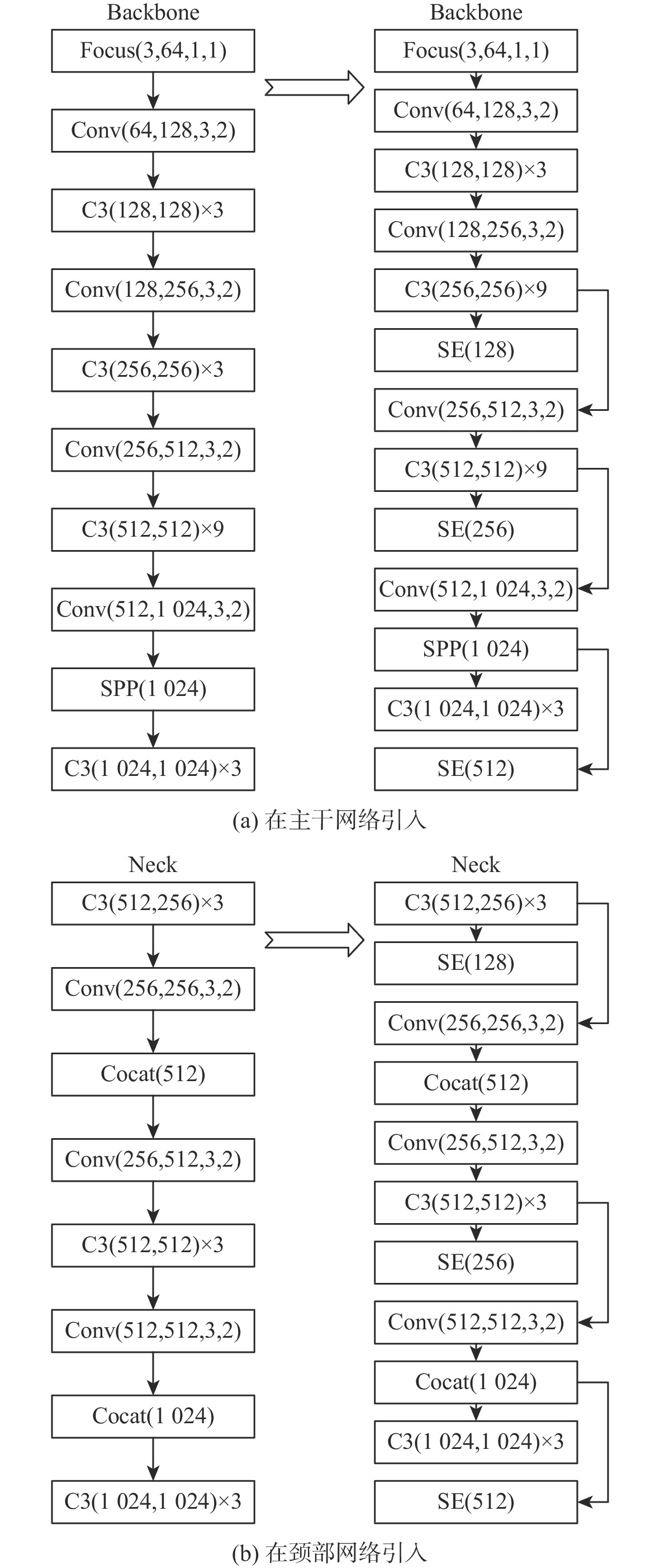
Safety helmet detection algorithm based on improved YOLOv5s
ZHAO Rui, LIU Hui, LIU Peilin, LEI Yin, LI Da
2023, 49(8): 2050-2061. doi: 10.13700/j.bh.1001-5965.2021.0595
Abstract:

A YOLOv5s-based helmet detection improvement method is developed in an effort to address the drawbacks of existing safety helmet recognition algorithms, which include difficulty detecting small targets and dense targets. The DenseBlock module is used to replace the slice structure in the backbone network, which improves the feature extraction capability of the network; the SE-Net channel attention module is added to the network neck detection layer, which leads the model to pay more attention to the channel characteristics of small target information, thus improving the performance effect of small objects; the data enhancement method is improved to enrich the small-scale sample data set. A detection layer is added to the model to help it learn multi-level aspects of crowded objects and be better able to handle complicated and dense scenarios. In addition, a helmet detection dataset is constructed for dense targets as well as long-distance small targets. The experimental results show that the improved algorithm improves the average accuracy (mAP@0.5) by 6.57% over the original YOLOv5s algorithm, and it is also increased by 1.05% and 1.21% respectively compared with the latest YOLOX-L and PP-YOLOv2 algorithms and has a strong generalization ability in dense scenes and small target scenes.

Altitude control of stratospheric aerostat based on deep reinforcement learning
ZHANG Jinglun, YANG Xixiang, DENG Xiaolong, GUO Zheng, ZHAI Jiaqi
2023, 49(8): 2062-2070. doi: 10.13700/j.bh.1001-5965.2021.0622
Abstract:

A dynamic model of the stratospheric aerostat was built with the goal of controlling the aerostat's altitude while taking air temperature into consideration, and a method based on the deep Q-network (DQN) algorithm was developed. Due to the difficulty in predicting the stratospheric wind field and the physical model of the aerostat itself being unknown, most model-based control methods cannot solve the problem of long-term altitude control of the stratospheric aerostat. For this reason, the altitude control problem of the stratospheric aerostat is transformed into a continuous state and continuous action reinforcement learning process with unknown transition probability. The DQN algorithm combined with reinforcement learning and neural network can solve such problems well. The simulation results show that considering the influence of the wind field environment on the aerostat, the DQN algorithm controller can well realize the tracking control of variable altitude, and the maximum error is about 10 m. Compared with the traditional proportional inteyral derivative (PID) controller, the deep reinforcement learning algorithm proposed in this paper has a better control effect and robustness.

Point cloud registration algorithm for non-cooperative targets based on Hough transform
SHI Fengyuan, ZHENG Xunjiang, JIANG Lihui, PAN Di, LIU Xuan
2023, 49(8): 2071-2078. doi: 10.13700/j.bh.1001-5965.2021.0575
Abstract:

To solve the problems of missing and fast maneuvering non-cooperative space targets during the point cloud registration, this study examines the point cloud registration process of time-of-flight (TOF) cameras. It proposes a point cloud registration strategy based on Hough transform, utilizing the feature of the TOF camera in obtaining grayscale and depth maps at the same time. This strategy accelerates the closest point search while providing accurate initial poses. Firstly, edge detection is performed on the gray image taken by the TOF camera, and the ellipse center is fitted by the method of random Hough transform, using the edge points. The query point cloud is thus registered with the center of the model point cloud. Then, the geometric features of the image are detected and matched with the features of the corresponding model points to improve the accuracy of the initial pose. This study not only prevents the algorithm from falling into the local minimum, but also successfully solves the problem that the missing target point cloud could not be registered. Finally, in the process of the closest point search, an improved kd-tree method is introduced, and the single k-nearest neighbors are eliminated by the 3σ criterion, improving the dynamic performance of the camera. The algorithm is simulated and analyzed with a real satellite model, successfully verifying its feasibility and robustness for incomplete target registration. Furthermore, the algorithm is 955.3 and 440.4% faster than the that of the traditional Hough transform registration for intact and missing targets. Therefore, the proposed algorithm has a wider application prospect.

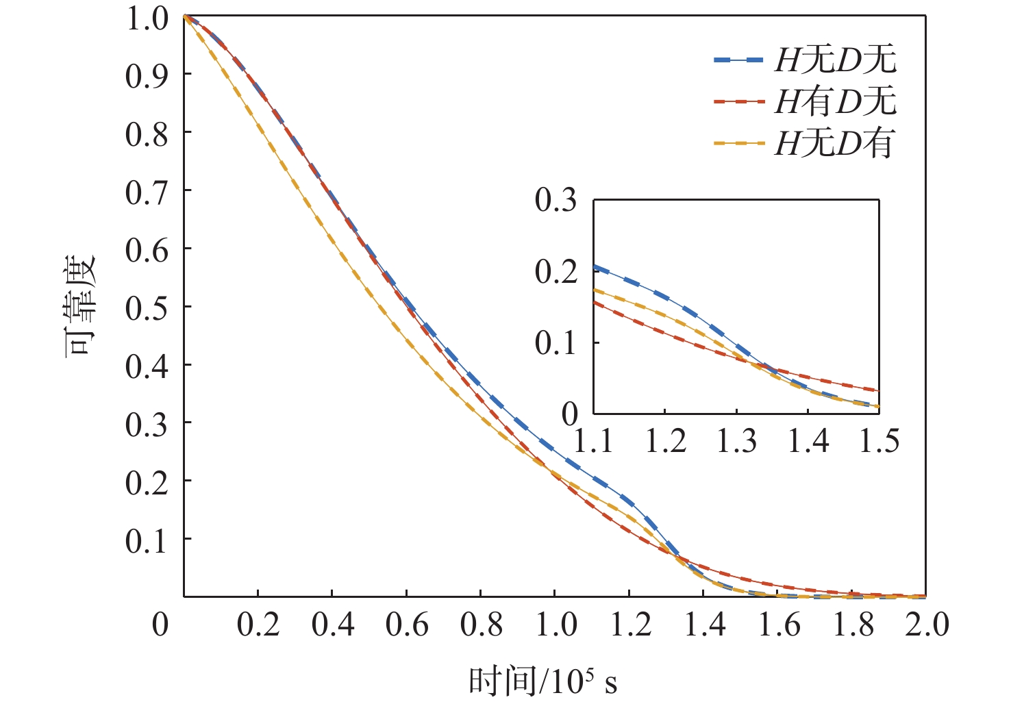
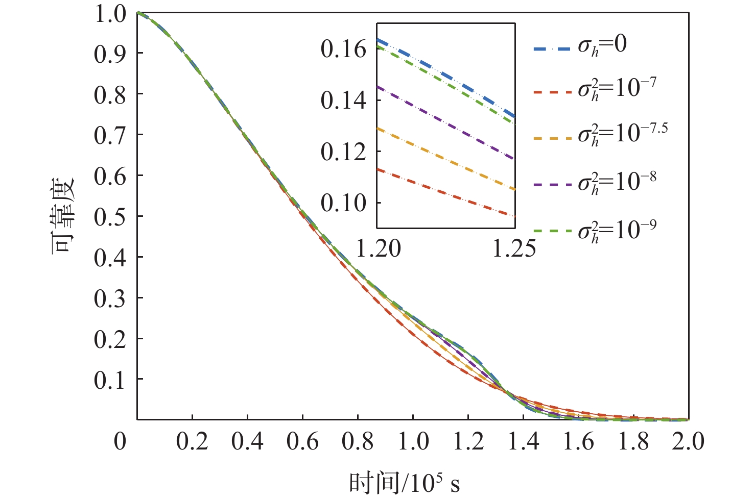
Degradation-shock competing failure modeling considering randomness of failure threshold
XIA Yuexin, FANG Zhigeng
2023, 49(8): 2079-2088. doi: 10.13700/j.bh.1001-5965.2021.0576
Abstract:

Since most research on competing failure reliability do not take the unpredictability of the failure threshold into account, a competing failure reliability model that takes the randomness of the failure threshold into account is devised. The variation of degradation quantity and degradation rate under shocks was analyzed, and the randomness of the threshold was considered on this basis. The cumulative degradation under the influence of the random shock process was analyzed. The shock failure threshold is described by the strength distribution that the system can withstand, and the shock failure threshold that changes with time is established based on the expected level of cumulative degradation, so the dependence between the shock failure threshold and the degradation process is clearly described, and the reliability function of the competing failure process is given. Last but not ultimately, a micromotor system is used as a comparison and sensitivity analysis example to confirm the logic and efficacy of the suggested concept.

Automatic modulation recognition method based on improved weight AdaBoost.M2 algorithm
WANG Pei, LIU Chunhui, ZHANG Duona
2023, 49(8): 2089-2098. doi: 10.13700/j.bh.1001-5965.2021.0577
Abstract:

A signal modulation recognition method is proposed based on AdaBoost.M2 algorithm to address difficult identification of signals from the same family of modulation types and the poor generalization of the deep learning model. An improved method of sample weight is proposed to solve the problem that the learning rate of the weak learning algorithm is difficult to adapt to the weighted sample data in the case of large samples. The improved sample weight ensures that the order of magnitude of the training sample data remains unchanged after weighting, so that the algorithm pays more attention to the difficult classification samples, improving the comprehensive performance of the weak classifier. In addition, in view of the difficult classification problem caused by the statistical characteristics of some samples easily submerged in noise, a random feature clipping method is proposed to avoid much attention given to abnormal features. This method reduces the negative impact of extremely difficult classification samples on the performance of AdaBoost.M2 algorithm, improving the generalization ability of the algorithm. Experimental verification with low signal-to-noise ratio data is conducted. Finally, given the fact that the signals of the same family of modulation types are difficult to classify, the signals of the same family are selected for model training and testing. Results show that the improved AdaBoost.M2 algorithm increases the test set accuracy of PSK family and QAM family by 8.5 and 11.25% respectively compared with the single CLDNN algorithm, and by 8.25 and 6.5% respectively compared with the classical AdaBoost.M2 algorithm.

Area optimization of FPRM logic circuits based on SMABC algorithm
QIN Dongge, HE Zhenxue, CHEN Chen, LI Longhao, WANG Tao, WANG Xiang
2023, 49(8): 2099-2107. doi: 10.13700/j.bh.1001-5965.2021.0579
Abstract:

The area optimization of fixed polarity Reed-Muller (FPRM) circuits is one of the most important research hotspots in the field of integrated circuit design. However, the existing area optimization methods have problems such as low optimization efficiency and poor optimization effect. Since the area optimization of FPRM logic circuits is a combinatorial optimization problem, a self-adaptive mixed artificial bee colony (SMABC) algorithm is proposed. The algorithm introduces chemotaxis behavior of bacterial foraging algorithm in the stage of the leader bee searching, which enables the leader bee to search in the direction toward good nectar sources, and improves the convergence speed of the algorithm. The algorithm also improves both the selection probability of the following bees for adaptive change, and the global search ability. The transformation conditions of scout bees are improved, and the disturbance amplitude in the evolution process of scout bees is increased. The elite retention strategy is then introduced to improve the population quality. In addition, a method of area optimization of FPRM logic circuits based on SMABC algorithm is proposed, which has the fastest convergence, and that the the maximum optimization rate of the area reaches 54.62% while the average area optimization rate is 15.33%.

Safety priority path planning method based on Safe-PPO algorithm
BIE Tong, ZHU Xiaoqing, FU Yu, LI Xiaoli, RUAN Xiaogang, WANG Quanmin
2023, 49(8): 2108-2118. doi: 10.13700/j.bh.1001-5965.2021.0580
Abstract:

The existing path planning algorithms seldom consider the problem of security, and the traditional proximal policy optimization(PPO) algorithm has a variance adaptability problem. To solve these problems, the Safe-PPO algorithm combining evolutionary strategy and safety reward function was proposed. The algorithm is safety-oriented for path planning. CMA-ES was used to improve the PPO algorithm. The hazard coefficient and movement coefficient were introduced to evaluate the safety of the path. Used a grid map for simulation experiments, and compared the traditional PPO algorithm with the Safe-PPO algorithm; The hexapod robot was used to carry out the physical experiment in the constructed scene. The simulation results show that the Safe-PPO algorithm is reasonable and feasible in safety-oriented path planning. When compared to the conventional PPO algorithm, the Safe-PPO algorithm increased the rate of convergence during training by 18% and the incentive received by 5.3%. Using the algorithm that combined the Hazard coefficient and movement coefficient during testing enabled the robot to learn to choose the safer path rather than the fastest one. The outcomes of the physical testing demonstrated that the robot could select a more secure route to the objective in the created setting.

Application of kernel principal component analysis in autonomous fault diagnosis for spacecraft flywheel
NIE Xiaohui, JIN Lei
2023, 49(8): 2119-2128. doi: 10.13700/j.bh.1001-5965.2021.0582
Abstract:

Aiming at the problems of relatively few studies on actuator fault diagnosis of on orbit spacecraft, relatively simple background modeling for attitude control system and weak algorithm autonomy, an autonomous fault diagnosis method for spacecraft flywheel based on kernel principal component analysis (KPCA) is proposed. Firstly, the three-axis stable attitude control system of rigid spacecraft using flywheel group is established. Secondly, the flywheel servo system is established in torque mode and speed mode, and the common faults and models of flywheel are given. Then, in the above mode, the input and output differential data of flywheel group are collected for homologous dimension expansion. By improving the normalization criterion of eigenvector, the classical KPCA statistical method is optimized, and a comprehensive index is established. By comparing whether the index exceeds the limit to judge whether there is a fault, the subjective focus on a single index is reduced. Finally, based on the classical contribution graph method, the fault flywheels are located by tracing source and merging fault comprehensive contribution rate. Simulation results show that this method can realize autonomous fault diagnosis of spacecraft flywheel, and the accuracy of the two modes increases by an average of about 40.94% and 22.23% compared to traditional methods. It is suitable for single point fault, multi-point fault, and minor fault.

Modeling method of flight test requirements based on DoDAF
LIU Sen, YANG Dezhen, FENG Qiang, REN Yi, DANG Huaiyi, JIA Yu
2023, 49(8): 2129-2136. doi: 10.13700/j.bh.1001-5965.2021.0584
Abstract:

The flight test is a scientific, practical, dangerous, and complex process, and the current method of determining flight test requirements based on experience is rather unscientific. Combined with the characteristics of flight tests and based on DoD architectural framework 2.0, this paper proposes a model-based requirement modeling method for a flight test system, which converts user requirements into functional, task, and systematic requirements of the system. Based on these requirements, this paper determines the requirement modeling framework. Modeling needs from capability viewpoint, operational viewpoint, and systems viewpoint are used to confirm the method's viability along with the performance requirements of a civil aircraft.

UAV formation control based on dueling double DQN
ZHAO Qi, ZHEN Ziyang, GONG Huajun, CAO Hongbo, LI Rong, LIU Jicheng
2023, 49(8): 2137-2146. doi: 10.13700/j.bh.1001-5965.2021.0601
Abstract:

To address issues such as the need for controller design based on model information in UAV formation and the low level of UVA intelligence, deep reinforcement learning is used to solve formation control problems. In this paper, the corresponding reinforcement learning elements are designed for the formation control problem, then a formation controller based on dueling double deep Q-network (D3QN) is designed. Moreover, to speed up the convergence of the algorithm and make the follower accurately keep the desired distance, a priority strategy is proposed and combined with a multi-layer action library. Finally, through simulation, the proposed controller is compared with the PID controller and the Backstepping controller to verify its effectiveness. The results show that the controller based on D3QN can be applied to formation flight of UAV, improve the intelligence degree of the follower, and keep the desired distance without the need for precise model information, which provides a basis and reference for UAV intelligent control.

Study on temperature control characteristics of low-resistivity ceramic-based PTC material
SANG Zekang, ZHAO Rui, CHENG Wenlong
2023, 49(8): 2147-2153. doi: 10.13700/j.bh.1001-5965.2021.0602
Abstract:

The room temperature Curie point ceramic-based positive temperature coefficient material has broad application prospects in the field of thermal control at room temperature, but it currently has the problem of large resistivity in the low-temperature region. Based on this, by using Ba0.64Sr0.36TiO3 as the matrix and adopting a suitable sintering process, a room-temperature Curie point PTC material with a resistivity of 800 Ω·cm in the low-temperature region was developed. Then, the thermal control performance is studied by experiment and simulation respectively. The results show that under low temperature and low voltage conditions, the prepared material can quickly maintain the temperature of the controlled body near 25.6℃, while the control temperature of other heating elements deviates from normal temperature. Additionally, compared to conventional heating elements, the material’s thermal control response time is less than half as fast. In the periodic environment of −5~5 ℃, the fluctuation range of thermal control is the smallest, only 2.1 ℃. In the actual low-temperature environment, the material can still quickly raise the body’s temperature to roughly 22.3 °C, and the variation is less than 2 °C over the course of 12 hours, effectively suppressing the influence of the external environment with the thermal management process.

Gait based cross-view pedestrian tracking with camera network
SONG Shujie, WAN Jiuqing
2023, 49(8): 2154-2166. doi: 10.13700/j.bh.1001-5965.2021.0610
Abstract:

Pedestrian tracking across non-overlapping camera views is one of the basic problems of intelligent visual surveillance. A cross-view pedestrian target tracking method based on the gait features of a 2D skeleton diagram and space-time constraints is proposed in order to address the issue that the pedestrian cross-view tracking method based on the assumption of appearance consistency is sensitive to lighting or clothing changes. The skeleton set is extracted from the local trajectory of the single view to calculate the gait features, and the integer programming model of the cross-view target tracking problem is established. The model parameters are defined by the similarity of the gait features and the space-time constraints. The dual decomposition algorithm is used to realize the distributed solution to the above problems. The algorithm’s robustness to changes in lighting and clothing is greatly increased through the combination of gait features and more precise space-time restrictions, and it also solves the issue of weak discriminating when gait or space-time features are employed alone. The test results on the public data sets show that the proposed method is accurate in tracking and robust to lighting and clothing changes.

A real-time correlation algorithm for GEO targets based on radar ranging and velocity measurement
SONG Liping, CHEN Defeng, TIAN Tian, GUO Xin
2023, 49(8): 2167-2175. doi: 10.13700/j.bh.1001-5965.2021.0615
Abstract:

In order to address the issue of error correction of the geosynchronous orbit (GEO) targets under the dense track, a real-time correlation algorithm for the GEO targets based on the two-dimensional of radar range and velocity measurement was developed. Firstly, the initial target set is established by using two lines elements (TLE). Then, the rough-correlation threshold is set according to the diffusion law of orbit prediction error of the space targets, and the secondary correlation target set is obtained. Finally, the correlation result is obtained using the idea of the minimal normalized weighted root mean square error, and the secondary correlation cost function is built based on the characteristics of high-accuracy radar range and velocity measurement. The simulation results show that the algorithm achieves a better correlation effect under the condition of dense target tracks, and has a higher correlation accuracy.

Dual-input dual-Buck aviation static inverter with four-quadrant operation and circulation-free
YU Zhaolong, GE Hongjuan, WANG Yongshuai, YIN Hang, LI Shizhen
2023, 49(8): 2176-2186. doi: 10.13700/j.bh.1001-5965.2021.0625
Abstract:

The aviation static inverter (ASI) is a key part of the airborne power system, and inorder to further improve the efficiency and reliability of the ASI, an efficient and Ihighly reliable circulation-free ASI topology is proposed on the basis of thedual-input dual-Buck inverter technology. The topology not only can operate in four quadrants and transmit part of the power at a single stage, but also achieves circulation-free operation of the bridge arm in all working modes. In this paper, the four quadrant operation mode and the equivalent mathematical model of the topology are analyzed in detail. The driving mode of the main power transistor of the circulation-free ASI based on the mono-polar cascade double carrier modulation is studied. The parameter optimization of the regulator is studied, and the stability margin of the converter closed-loop control system is expanded. Experimental research on the switching loss and efficiency of this topology and full bridge inverter is carried out. The results show that the topology and its control method are correct and feasible, and part of the power can be transmitted in a single stage with high efficiency. And it has the advantages of no bridge arm through risk and no body diode freewheeling. It lays a foundation for high efficiency and high-reliability aviation static converter technology.

Improvement and application of hybrid strategy-based sparrow search algorithm
SONG Liqin, CHEN Wenjie, CHEN Weihai, LIN Yan, SUN Xiantao
2023, 49(8): 2187-2199. doi: 10.13700/j.bh.1001-5965.2021.0629
Abstract:

Aiming at solving the problems in the original sparrow search algorithm (SSA), such as low search accuracy, weak global search ability, slow convergence speed and easy tendency to fall into local optimum, a hybrid strategy-based sparrow search algorithm (HSSA) is proposed. First, an improved Circle chaotic map was used to initialize the population and increase the diversity of the population. Then, the salp swarm algorithm was integrated into the search formula of the discoverers to enhance its global search ability and scope in the early stage of iteration, and an adaptive step size factor was introduced into the search formula of the participants to improve the local search ability and convergence speed of the algorithm. Next, the mirror selection mechanism was applied to boost the individual quality after each iteration, thereby improving the search accuracy and speed of the algorithm. Finally, a simulated annealing mechanism was added to the location update, thus enabling the algorithm effectively to jump out of local optimum. The test results of eight functions show that the HSSA has better optimization performance than SSA. By combining the improved algorithm and the extreme learning machine, the classification and prediction accuracy of human surface electromyogram signal data increased from 80.17% to 90.87%, which proves the feasibility and good performance of the improved algorithm.

Corrosion and fatigue life prediction of aircraft typical lap structures based on life envelope
BI Yaping, ZHANG Teng, HE Yuting, ZHANG Tianyu, WANG Changkai
2023, 49(8): 2200-2206. doi: 10.13700/j.bh.1001-5965.2022.0604
Abstract:

The corrosion and fatigue tests of a certain type of aircraft fuselage panel lap structure were conducted alternatively. Based on the test results and the concept of aircraft structure life envelope, the life envelope of the lap joint structure of the fuselage panel in different service areas and under different flight intensities was established. Then, based on this life envelope, the remaining lifetime of the structure was predicted. The prediction error was found to be 17.4% by comparing the experimental results with the calculated results. It is shown that the structural life envelope is a powerful tool for life prediction of aircraft typical lap structures, and its prediction result is an important reference for the maintenance cycle and life management of aircraft in service.