2023 Vol. 49, No. 9

Display Method:
Volume 9 Issue E-journal
Volume 49 Issue92023
iconDownload (34853) 931 iconPreview
Non-standard interface aviation RF cable test method based on TRL
SHI Xudong, LI Ruipu, ZHAO Hongxu, ZHANG Haotian
2023, 49(9): 2207-2217. doi: 10.13700/j.bh.1001-5965.2021.0645
Abstract:

Aircraft radio frequency (RF) cables are the main medium for transmitting signals. There are currently various non-standard interface cables, and in order to use standard interface instruments for performance testing, precise adapter leads are required. However, the precise adapter leads have high requirements on parameters such as impedance and transmission loss, and precise adapter cables are prone to performance degradation, resulting in large errors in test results. Therefore, this paper proposes a non-standard interface aircraft RF cable test method based on TRL for the problems that exist when applying precision adapter leads. Firstly, the cascade transmission parameter method is used to model the test leads and the cable under test, and then the improved TRL calibration method is used to de-embed the test leads to obtain the scattering parameters of the tested cable, so as to evaluate the performance of the aircraft RF cable. The technique was used to test aircraft RF cables, and the findings show that, with the exception of a few resonance spots, the maximum error in return loss is approximately 1 dB and the maximum error in transmission loss is approximately 0.2 dB. This validates the method’s viability and efficacy.

Robust optimization of aviation logistics network in context of COVID-19 pandamic
ZHANG Jin, ZHANG Zherui, HONG Zhichao, YANG Wenguang, YAN Yan
2023, 49(9): 2218-2226. doi: 10.13700/j.bh.1001-5965.2021.0664
Abstract:

To deal with the risk of reducing the capacity of passenger aircraft bellies due to the interruption of passenger aircraft routes in the context of COVID-19 pandemic, and to improve the robustness of the aviation logistics network at a minimum cost, a study on the allocation and route optimization of all-cargo aircraft routes under the situation of uncertain passenger aircraft belly storage capacity was proposed. With the objective of minimizing the total cost of the route network while considering transportation mode, air cargo demand, and transportation distance between cities, this study established a robust optimization model for the aviation logistics network under the uncertain passenger aircraft bellies. The column-and-constraint generation (C&CG) algorithm was effectively used to solve the model. In addition, this paper investigated the optimized layout of aviation logistics network routes using the case study and data of company S. The results show that the two-stage robust optimization method for aviation logistics network can effectively reduce cost changes caused by reduced passenger aircraft belly capacity, and the robust solution can reduce the cost of the aviation logistics network by 20.7% in the extreme case of complete disruption of passenger routes. Therefore, this study concluded that the use of the two-stage robust optimization method enables decision-makers to flexibly select cargo aircraft routing while considering the economy and robustness of the aviation logistics network under the influence of uncertainty surrounding passenger aircraft belly capacity.

Rapid detection analysis method of thermal runaway gas composition and risk of lithium ion battery
ZHANG Qingsong, LIU Tiantian, HAO Chaolong, QU Yirun, ZHANG Wei, CHEN Da
2023, 49(9): 2227-2233. doi: 10.13700/j.bh.1001-5965.2021.0668
Abstract:

In order to quickly analyze the composition and risk of thermal runaway gas in lithium ion batteries, an analysis method based on laser Raman spectroscopy and the empirical formula is proposed. Using the independently designed gas detection platform of the lithium ion battery, the composition and explosion risk of runaway gas released by a 18650 lithium ion battery with different charge states (75%,100%) and different cathode materials (LCO,NCM) were studied. According to the experimental findings, the NCM battery releases more flammable gas following thermal runaway than the LCO battery under the same state of charge (SOC). After thermal runaway, the proportion of CO in the container of NCM battery with 100% SOC is as high as 22.02%. With the increase of SOC, the amount of combustible gas generated by the thermal runaway of lithium ion batteries increases. Under different experimental conditions, the gas after the thermal runaway of the lithium-ion battery still had a high explosion risk. The findings demonstrate the viability of using laser Raman spectroscopy to identify lithium-ion battery thermal runaway gas, and they offer a theoretical foundation and technical backing for the quick identification and evaluation of the composition of thermal runaway gas and explosion danger.

Causal analysis framework of flight service
XING Zhiwei, ZHANG Lin, LUO Qian, XIA Huan, WEN Tao, ZHANG Tao
2023, 49(9): 2234-2243. doi: 10.13700/j.bh.1001-5965.2021.0679
Abstract:

Flight departure delay is a key and difficult problem that the civil aviation industry is unanimously concerned about. Aiming at the problem of unclear reasons for flight delays, the BLCNS-LV-IDA causality analysis framework is proposed. In the discipline of flight ground support business, causal analysis of flight departure delays is done on both a qualitative and quantitative level from the standpoint of causal inference. Firstly, a causal network model is built with the departure delay time as the goal variable using the BLCNS local causal structure learning algorithm, which combines feature selection with greedy search for maximal ancestral graph (GSMAG). Secondly, the causal effect of each edge in each equivalent network is evaluated based on the LV-IDA algorithm according to the obtained causal network. The experimental results show that the BLCNS causality discovery method has certain advantages in dealing with large sample data sets of multiple variables. In a data set with 50 nodes, compared with the baseline algorithm, the F1 value of BLCNS increased by −0.303, 0.008, and 0.132, respectively, with sample sizes of 1000, 5000, and 10000. It presents a clear upward trend. In addition, the running time of BLCNS has been shortened by 16.29%. The causal effect between nodes clarifies the specific strength of each node's impact on flight delays. It provides guidance for the fine management of flight guarantees and reducing flight delays.

Target tracking algorithm based on saliency awareness and consistency constraint
GUO Qiang, WU Tianhao, XU Wei, CHORNOGOR Leonid
2023, 49(9): 2244-2257. doi: 10.13700/j.bh.1001-5965.2021.0688
Abstract:

Aimed at the problems that the spatially regularized discriminative correlation filtering (SRDCF) algorithm with fixed regularization weight and model degradation, a correlation filtering tracking algorithm based on saliency awareness and consistency constraint was proposed. Firstly, the histogram of the oriented gradient feature, shallow feature, and the middle feature was extracted to improve the expression ability of the appearance model. Secondly, the regularization weight between the two adjacent frames was associated after the saliency detection algorithm determined the saliency-awareness reference weight of the initial frame.Furthermore, to prevent the degradation of the filter model,the difference between the practical and the scheduled ideal consistency map was minimized and the consistency level was constrained. In addition, a dynamic constraint strategy was proposed to further improve the adaptability of the tracker in complex scenarios. The algorithm is tested on the public OTB2015, TempleColor128, and UAV20L benchmarks. Experimental results show that compared with SRDCF, the proposed algorithm improves the accuracy by 0.108 and the success rate by 0.077 on OTB2015, with a speed of 22.41 frames per second, and has a good real-time effect.

Discharge model of divergent magnetic field ion thruster of 10 cm diameter
SUN Mingming, GENG Hai, HU Jing, YANG Fuquan, LONG Jianfei
2023, 49(9): 2258-2266. doi: 10.13700/j.bh.1001-5965.2021.0648
Abstract:

A discharge model of the divergent magnetic field ion thruster (Kaufman thruster) of 10 cm diameter is established with COMSOL multi-physical field coupling software to study the internal discharge process of the thruster and to provide reference for subsequent engineering improvement. The key discharge parameters are obtained and verified through experiments. The calculation results show a magnetic field formed between the upstream and downstream magnetic poles in the discharge chamber with strong divergent characteristics. Due to the orthogonal electric field, the Hall drift of the electrons occur with the magnetic field line as the guiding center. The gas pressure in the discharge chamber is uniformly distributed in the range of 0.1−0.11 Pa, with the neutral atom density in most areas about 1.5×1019 m−3, and the fluid velocity in the range of 0.2−0.9 m/s. The fluid shows obvious characteristics of viscous flow. The peak electron density appears in the cathode outlet region, which is about 8.57×1018 m−3, while the plasma density near the anode wall and the upstream of the screen grid is about 6.8×1017 m−3. The results measured by E×B probe show that the proportion of divalent ions in the total beam ions is 14.1%. The comparison error between the theoretical beam current value of 0.353 mA and the measured beam current value of 0.323 mA is 9%, which is mainly due to the simulation setting and the measurement error. The discharge model established in this paper can provide rapid discharge parameter analysis and reference for optimal design of the thruster.

Effect of engine nacelle layout on sonic boom of supersonic transport
XIAO Tianhang, XU Yanan, ZHU Zhenhao, DENG Shuanghou
2023, 49(9): 2267-2278. doi: 10.13700/j.bh.1001-5965.2021.0687
Abstract:

The strong aerodynamic interaction between the nacelles and the wing-body at supersonic speed, and the effect of the exhaust plume on the mainstream shock wave structure could have a great influence on the sonic boom loudness. This paper carries out a numerical investigation on the effect of nacelle layout on thesonic boom for a supersonic transport configuration where the supersonic flows and near field pressure signatures are computed by using a finite volume solver and an adjoint-based Cartesian adaptive mesh refinement method. Various relative positions of nacelles with respect to the wing andthe different number of nacelles are considered. Results indicate that the shock and expansion waves caused by the wing-body combination are significantly interfered with by the lip shock at the inlet, the nozzle trailing edge shock, and the expansion and aft shock of the nozzle plume. This increases the amplitude of the pressure signatures and subsequently increases the sonic boom loudness.Compared with the baseline, the ground loudness can be effectively suppressed by moving the nacelles forward along the chord, outward along the span-wise, and mounting above the wing. Under the same overall force and with the same number of engines and nacelles, the configuration with twin nacelles can reduce the aft shock, but the larger nacelle results in a stronger lip shock at the intake, increasing the loudness of the sonic boom. Thus, considering the engine noise and aerodynamic drag, it is not recommended to deploy twin nacelles for next-generation supersonic transport.

Using improved genetic algorithm for software fault localization aided test case generation
YANG Bo, HE Yuze, XU Fu, CHEN Zhibo
2023, 49(9): 2279-2288. doi: 10.13700/j.bh.1001-5965.2022.0524
Abstract:

The ranking of suspected faults in the process of automatic software fault localization will be continuously created and is determined after the execution of existing test cases. Sometimes the program units corresponding to the fault are ranked lower in the ranking of suspected failures based on the existing test cases. If it is necessary to improve the suspected fault ranking of the program unit corresponding to the fault, supplementary test cases are a feasible method. This article suggests a technique for creating test cases based on a genetic algorithm that can make use of knowledge about the location of software faults. The paper analyzes and analyzes the methods used. Based on the joint experiment of the paper on 6 C programs and 2 Python programs, experimental results show that the test cases automatically generated by this method can effectively help improve the efficiency of fault location.

Design of message authentication based on TESLA protocol for BDSBAS
CHEN Xiao, TIAN Xiang, LUO Ruidan, LIU Ting, SONG Jiahui, WU Haitao
2023, 49(9): 2289-2298. doi: 10.13700/j.bh.1001-5965.2021.0669
Abstract:

Aviation, navigation, and other life safety areas can benefit from the integrity augmentation services offered by SBAS. In response to the deception risk of SBAS services and the development of the BeiDou satellite-based augmentation system (BDSBAS), this paper proposes a message authentication method based on the timed efficient streaming loss-tolerant authentication (TESLA) protocol. Firstly, this article introduces SBAS service security risks and the concept of message authentication and then explains the principle of TESLA, key chain generation, and operation process. The Over the Air Rekeying (OTAR) message broadcast design and authentication message format are created in accordance with the domestic commercial cryptographic standard hash algorithm. Finally, a simulation test is carried out for the L5I channel and the L5Q channel. The simulation results can provide theoretical support for the BDSBAS authentication based on the TESLA scheme.

Hydroplaning risk of aircraft tire based on variable weight theory-normal cloud model
LI Yue, HU Yuqi, CAI Jing, DAI Xuan
2023, 49(9): 2299-2305. doi: 10.13700/j.bh.1001-5965.2021.0680
Abstract:

Aiming at the randomness and fuzziness features of hydroplaning behavior of aircraft tires, a new safety evaluation methodology of tire hydroplaning is established on the basis of normal cloud model. The variable weight theory is adopted in order to adjust the weight value dynamically. The penalty function of variable weight is used to reduce the subjective impact of constant weight value on evaluation results. A fluid-solid coupling model of aircraft tire landing on wet pavement is developed for numerical analysis. The selection of five independent variables as the influencing determinants of hydroplaning risk includes aircraft wheel load, taxiing speed, water-film thickness, pavement friction coefficient, and groove depth. The comprehensive membership degree is then calculated based on the digital features of the single-factor cloud model and variable weight vector. The risk level and classification standard of aircraft tire hydroplaning is then established by multivariate decision. The case study of several accident symptoms of tire hydroplaning that took place in an airport located in a rainy mountainous area indicates that only a simplified conclusion of allowed/not-allowed landing or taking off of aircraft can be obtained by using critical hydroplaning speed as an evaluation criterion. By comparing the evaluation results of constant weight and variable weight theory, the safety factor of Case 1 is increased from 1.09 to 1.17 and that of Case 2 is increased from 2.09 to 2.94. The difference in airport runways under different running conditions can be quantitatively described. Although the risk levels of tire hydroplaning are both within the acceptable range, evaluation results derived from variable weight theory can be more conservative. As for Case 3, the safety factor is increased from 3.13 to 3.74 and the risk level is increased to level IV(unacceptable). Although the water-film thickness on the pavement surface complies with the top limit criteria, it is still possible to greatly increase the likelihood of tire hydroplaning, which is compatible with the actual risk scenario. The conclusions can be used as a reference for the classified safety management of pavement operation.

Simulation evaluation and analysis of aircraft group support based on multi-agent
DING Gang, CUI Lijie, HAN Cheng, WANG Xinhe, ZHANG Feng
2023, 49(9): 2306-2316. doi: 10.13700/j.bh.1001-5965.2021.0685
Abstract:

Aircraft group support involves a wide range of elements, multiple strategies, and strong interaction. Its simulation analysis method is a hot and difficult point in conducting research on aircraft group support decision-making and evaluation. This paper first establishes the multi-agent function type and interaction relationship model; Secondly, defines the multi-agent structure and establish the model; Finally, Using the aircraft group consisting of five types of aircraft as the simulation object, the case validation and simulation analysis are conducted based on the mission success rate as the guarantee indicators. The results show that the mean time between failures (MTBF) and the mean time to repair (MTTR) of various types of fighters have similar effects on the mission success rate. As the MTBF increases, the mission success rate increases. As the MTTR increases, the mission success rate decreases. The proposed support simulation evaluation method can provide a feasible and effective method for the intelligent decision-making of aircraft group maintenance support, and support the realization of model-based intelligent decision-making optimization.

Infrared and visible image fusion based on GEMD and improved PCNN
YANG Yanchun, LI Xiaomiao, DANG Jianwu, WANG Yangping
2023, 49(9): 2317-2329. doi: 10.13700/j.bh.1001-5965.2022.0756
Abstract:

Because of the limitations of decomposition tools in traditional image fusion methods, artifacts, decreased brightness, and contrast appear on fused image edges. A gradient edge-preserving multi-level decomposition(GEMD)-based approach for infrared and visible image fusion, as well as an enhanced pulse-coupled neural network(PCNN), are described. The gradient bilateral filter(GBF) is proposed based on the bilateral filter and the gradient filter(GF), which can preserve the edge structure, brightness, and contrast information while smoothing the detail information. Firstly, the source images are divided into three layers of feature maps and a base layer, and then a multi-level decomposition model is built using a gradient bilateral filter and gradient filter. Each layer of feature maps has two different structures, thin and thick. Then, according to the characteristics of the information contained in each feature map, the PCNN, which introduces an improved Laplacian operator in the input stimulus to enhance weak details captured in the image, regional energy, and contrast saliency are respectively adopted to obtain the fusion images of each sub-feature and the fusion image of the base layer as the fusion rules. Finally, the sub-fusion images are superimposed to obtain the final fusion image. Through experimental verification, the proposed method has improved both visual effect and quantitative evaluation and improved the brightness and contrast information of infrared and visible fusion images.

Non-probabilistic reliability analysis method for propellent tank with crack defect
XIN Tengda, CUI Cunyan, LIU Yang, TONG Jiang, DUAN Yongsheng
2023, 49(9): 2330-2336. doi: 10.13700/j.bh.1001-5965.2021.0651
Abstract:

During the service period of the propellant tank, the accurate analysis of its crack defects and reliable state with crack defects can not only guarantee the safety of the launch site, but also effectively avoid unnecessary panic, providing a reference for emergency plan formulation. Based on interval theory and failure assessment diagram theory, a non-probabilistic failure assessment diagram (NFAD) is proposed. The reliability analysis of the crack defect of propellant tanks can be effectively conducted when it is difficult to accurately obtain the failure evaluation point and curve in engineering practice. The proposed method is verified with the example parameters. The results show that this method can analyze any state of tank crack defects without accurate failure assessment point and curve, fully considering the uncertainty in the analysis. The binary logic states of failure or reliability of the traditional failure assessment chart method are divided into three cases with he reliability index is equal to 0, the reliability index is greater than 0 and less than 1, and the reliability index is greater than or equal to 1, represent the failure state, reliability degree and safety margin respectively.

Stability characteristics of hybrid wing-body aircraft based on virtual flight
WANG Yanling, FENG Shuai, BU Chen, SHEN Yanjie, CHEN Hao, LU Shiguang
2023, 49(9): 2337-2344. doi: 10.13700/j.bh.1001-5965.2021.0684
Abstract:

A three-degree-of-freedom wind tunnel virtual flight test system was created in an effort to address the possible stability issues of three-axis kinematic coupling and high angle-of-attack instability presented by the hybrid wing-body aircraft. Based on the dynamic similarity model, longitudinal and transverse open-loop virtual flight tests were carried out to study the stability characteristics of the aircraft. The research results show that there is a three-axis motion coupling phenomenon in both the longitudinal and directional open-loop manipulation of the hybrid wing-body aircraft. Longitudinal manipulation will cause the instability of the limit cycle at high angles of attack. The equilibrium position of oscillation is about 28°, the oscillation amplitude is about 2.56°, and the main oscillation frequency is 0.55 Hz. The aerodynamic force presents unsteady characteristics during the oscillation process; The lateral motion amplitude of the yaw manipulation is the largest, followed by yaw motion and pitch motion.

Error analysis and suppression of probe system for SERF atomic spin co-magnetometer
XING Li, QUAN Wei, SONG Tianxiao, CAI Qingzhong, YE Wen
2023, 49(9): 2345-2350. doi: 10.13700/j.bh.1001-5965.2021.0691
Abstract:

The performance of the probe system is the key factor to determine the sensitivity and stability limit of the spin-exchange relaxation-free (SERF) atomic spin co-magnetometer for inertial measurement. In order to suppress the low-frequency random noise in SERF auto spin co-magnetometer, the error mechanism model for the probe system is established based on the steady-state solution of transverse electron spin polarization and optical rotation angle. The main factors affecting the output signal of the probe system are clarified. According to model analysis, the initial probe light intensity incident on the vapor cell as the signal background directly causes the fluctuation of the scale coefficient rather than the electron spins. In addition, the non-ideal linear polarization of probe light affects the electron spins in a transverse pumping manner and causes a light shift, both of which can cause measurement error. Aiming at the main parameters affecting the noise, the optimization path has been proposed. The probe light frequency has been first optimized to increase the scale coefficient of inertial measurement. Then the transverse pumping rate, light shift, and background fluctuation have been reduced by optimizing the probe light intensity. According to the analysis of Allan variance, the bias instability of SERF auto spin co-magnetometer is suppressed by 1.8 times, and the coefficients of rate ramp are reduced from 0.124 (º)/h2 to 0.041 (º)/h2. Therefore, the effect of reducing the low-frequency random noise in the output signal is achieved.

Extension method of engine low speed characteristics based on backbone features
WANG Jiamei, GUO Yingqing, YU Huafeng
2023, 49(9): 2351-2360. doi: 10.13700/j.bh.1001-5965.2021.0634
Abstract:

The blowing action of the incoming flow may cause the functioning state of the rotating components to alter when they operate at high altitudes but low speeds. The compressor is in a special “mixer” or “turbine” working state at such a condition, which makes a discontinuous change of efficiency during the dynamic operation of the engine. In order to solve this problem, the method based on the backbone features developed by National Aeronautics and Space Administration (NASA) and General Electric Company (GE) was used to transform the characteristics of rotating parts. It is possible to expand the low-speed range characteristics of rotating parts and successfully prevent the invalidation of the interpolation of efficiency characteristics at low speeds by studying the changing trends of the backbone and off-backbone features at low speeds. Taking a military turbofan engine as an example, the windmilling characteristics under different flight conditions are calculated. The results show that this method can reflect the special working conditions of the compressor with a pressure ratio of less than 1 at low speeds, and the calculation of windmilling characteristics under different flight conditions is reasonable.

Nonlinear flutter modes and flutter suppression of an all-movable fin with freeplay
BAI Liuyue, WU Zhigang, YANG Chao
2023, 49(9): 2361-2373. doi: 10.13700/j.bh.1001-5965.2022.0162
Abstract:

Freeplay nonlinearity widely exists in the structure of aircraft, which can bring limit cycle oscillations (LCO), leading to the fatigue failure of the structure. There is relatively little research on the mechanism and passive suppression of the nonlinear flutter for all-movable fins. Therefore, this paper proposes two different nonlinear flutter modes and provides passive suppression methods. The dynamic model is developed using the describing function method and piston theory. Considering that the torsional stiffness is reduced due to the existence of the freeplay, nonlinear flutter characteristics under different torsional stiffnesses are compared and two different nonlinear flutter modes are defined, in which mode Ⅱ doesn’t contain stable LCO, effectively suppressing the LCO below the linear flutter boundary. Then the influence of bending and torsional stiffnesses and mass moments of inertia on nonlinear flutter modes and the dynamic pressure of LCO appearance is studied, and some nonlinear flutter passive suppression methods are proposed. The findings indicate that reasonable adjustment of the bending and torsional stiffnesses or mass moments of inertia can raise the dynamic pressure of LCO appearance and even change the nonlinear flutter mode, so as to suppress the nonlinear flutter.

Analyzing and modeling flow in tip clearance of transonic turbine rotor
XUAN Liming, ZOU Zhengping, ZENG Fei
2023, 49(9): 2374-2384. doi: 10.13700/j.bh.1001-5965.2021.0635
Abstract:

In order to clarify the mechanism of the tip leakage flow in transonic turbines and further improve turbine efficiency, the effect of tip injection on the performance of a flat tip and a squealer tip is studied under the transonic condition, and the flow state in the clearance between a flat tip and squealer tip is discussed. The results show that under transonic conditions, tip jet can increase the aerodynamic efficiency of the flat tip cascade, and that the scraping vortex is still the dominant flow structure in the cavity of the squealer tip. The increase of jet flow has limited effect on the total leakage flow of the flat tip, but will increase the total leakage flow of the squealer tip. With higher load, the transonic flow in the flat tip clearance is related to the blade load and thickness. For squealer tips, the leakage flow expands rapidly to the supersonic state above the suction side squealer. Finally, a leakage flow prediction model for transonic conditions is established.

Vibration response of asphalt concrete pavement under vehicle-road coupled load
DONG Qian, CHENG Shaofeng, ZHANG Xianmin, BAO Yiting
2023, 49(9): 2385-2394. doi: 10.13700/j.bh.1001-5965.2021.0654
Abstract:

To study the vibration characteristics of asphalt concrete pavement, the time domain model of road roughness was simulated by the white noise filtering method, the coupling effect of vehicle and road with different vehicle speeds and different road roughness levels was analyzed based on the quarter vehicle mode, and the real-time dynamic load of vehicle on the road surface was determined to study the vibration characteristics of Tarmac pavements. The three-dimensional finite element model of the road is established, the vibration response of the road under the action of the vehicle random dynamic load is analyzed, and the influence of the road structure-layer parameters on the fundamental vibrational frequency of the road surface center is analyzed. The results show that the pavement roughness level and vehicle speed have significant influence on the vehicle-road coupling system. When the pavement roughness level changes from class A to class C, the dynamic load of vehicles under the same speed increases by 20%; the fundamental vibrational frequency of the road increases with the logarithmic relation of dynamic subgrade modulus, the subgrade modulus increases from 60 MPa to 260 MPa, the fundamental vibrational frequency of the road increases from 5.61 Hz to 10.80 Hz, with an increase of 48.06%. The dynamic modulus of the surface layer, base layer and cushion have little influence on the fundamental frequency, which are almost negligible. As the thickness of surface layer, base layer and cushion increases, the fundamental frequency of road shows a linear decrease trend. Within the commonly used variation range of the thickness of structure layer, the fundamental vibrational frequency decreases by 9.28%, 18.05% and 12.75% respectively.

Adaptive fault diagnosis and estimation for quadrotor UAV
WANG Lina, LIU Zhenbao, YUAN Jinbiao, DANG Qingqing, JIANG Feihong, WANG Baodong
2023, 49(9): 2395-2405. doi: 10.13700/j.bh.1001-5965.2021.0656
Abstract:

A fault detection and estimation(FDA) method based on adaptive technology and observer is designed for common actuator faults of quadrotor unmanned aerial vehicle. In the stage of fault detection, the nonlinear diagnostic observer is designed, and the threshold value is derived by analytic function to ensure the robustness of the proposed detection method. Moreover, the designed observer and residual evaluation function are proved. In the stage of fault estimation, an adaptive law based on switching ρ-correction is proposed to accurately estimate the detected faults. This scheme can not only simultaneously estimate the system state and residual signal, but also estimate the characteristics and magnitude of unknown faults. The design parameters are calculated by linear matrix inequality method. The simulation results are verified in two fault scenarios, and the validity of the proposed method is discussed in four cases. The experimental results show the effectiveness of the proposed method by using the hardware-in-loop simulation of quadrotor unmanned aerial vehicle.

Design and implementation of robot-assisted subretinal injection system
WANG Zhaodong, GUANG Chenhan, WANG Liqiang, ZONG Junjie, ZHENG Yu, YANG Yang
2023, 49(9): 2406-2414. doi: 10.13700/j.bh.1001-5965.2021.0667
Abstract:

Subretinal injection of human embryonic stem cells is an effective procedure for treating retinal degeneration, which imposes high demands on the precision, stability, and safety of the surgical procedure. To address these challenges, a robot-assisted retinal surgery system based on a master-slave control approach is proposed. The system utilizes a master robot to control a slave robot during the subretinal injection operation. By constructing the direct and inverse kinematic models of the slave robot, the precise motion requirements for the subretinal injection are determined. Additionally, the system incorporates the concept of the remote center of motion (RCM) to adjust the position of the surgical instruments during remote motion. A velocity mapping model is derived to facilitate the adjustment of the RCM point, state transitions, and separation process during the procedure.The validation of the system’s accuracy and stability is conducted through ex vivo porcine eyeball subretinal puncture injection experiments, simulating the conditions of intraocular surgery. The results demonstrate that the robot-assisted system exhibits stable needle maintenance and precise motion, indicating its superiority over manual procedures in terms of reducing trauma to the retina and achieving more stable injections. This technology represents a advancement in microsurgery techniques, enhancing the precision and safety of subretinal injection procedures for the treatment of retinal degeneration.

Trade-off for top-level requirements of commercial aircraft using comprehensive evaluation and optimization
FAN Zhouwei, YU Xiongqing, DAI Yalin
2023, 49(9): 2415-2422. doi: 10.13700/j.bh.1001-5965.2021.0670
Abstract:

As the key process of aircraft design, top-level requirements should be carefully considered at the beginning of design activities. A quantitative trade-off method for top-level requirements of commercial aircraft has been proposed. According to the relationship between top-level requirements and aircraft conceptual design, characteristics of aircraft concept can be regarded as a set of feasible top-level requirements. The trade-off of top-level requirements is transformed to the optimization of design parameters. With the consideration of five criteria, including economy, comfort, environmental protection, flexibility, and safety/reliability, a comprehensive evaluation model for top-level requirements of commercial aircraft is established. The optimal set of top-level requirements can be found by the optimization for the best result of the comprehensive evaluation model. In the case of wide-body commercial aircraft, more reasonable top-level requirements are obtained, which reveals the feasibility of the comprehensive evaluation and optimization method.

Design optimization of tow-steered composite structure targeting on manufacturing cost
CHEN Shize, LI Daochun, XIANG Jinwu
2023, 49(9): 2423-2431. doi: 10.13700/j.bh.1001-5965.2021.0677
Abstract:

Due to a number of limitations, traditional composite structure design approaches are unable to completely use the design space of composite. The realization of tow-steered composite brings new opportunities for improvement of the performance of composites. In this research, a tow-steered composite structure design optimization method is established. The optimization method was based on the manufacturing process cost model, manufacturing cost was set as the target function, performance and manufacturing constraints were established, and the fiber path function method and shifted method were selected. On a high respect ratio wing, the tow-steered design optimization realized a 23.87% deduction on manufacturing cost and a 35.58% deduction on structural weight. The research further analyzed the impacts fiber path exerts on configuration, performance, weight, and manufacturing processes.

Adjoint-based adaptive Cartesian mesh refinement for sonic boom prediction
ZHU Zhenhao, XIAO Tianhang, XU Yanan, DENG Shuanghou, ZHANG Zhenming, YU Xiongqing
2023, 49(9): 2432-2441. doi: 10.13700/j.bh.1001-5965.2021.0689
Abstract:

In view of the sonic boom prediction for supersonic transport, this paper develops a numerical method for supersonic near-field based on a finite volume scheme and an adjoint-based Cartesian adaptive mesh refinement for the governing equations. By solving the adjoint equation on an embedded-boundary Cartesian mesh, it can be determined that how sensitive the chosen output functional is to the residual of the discretized Euler equations, such as the surface integral of the related pressure signatures. Then, the computed adjoint variables render a correction term to improve the accuracy of the function on the coarse mesh and direct estimation of the remaining error to form an error estimate and a localized refinement parameter, according to which the Cartesian grid cells are locally refined subsequently. As a result, local mesh refinement steadily reduces each cell’s remaining error, improving the output function’s computational correctness. The 69° delta wing-body and NASA C25D configuration with powered nacelle are employed as validation cases where the computed results are compared with the documented experimental tests. Results show that compared with feature-based mesh refinement, the present adjoint-based refinement method captures the shock and expansion waves and the near-field pressure signatures with higher accuracy at a less computational cost, indicating its effectiveness and efficiency for sonic boom prediction.

Anti-occlusion target tracking algorithm of UAV based on multiple detection
ZHANG Boheng, CHAI Dongdong, MENG Lingbo, SUN Mingjian
2023, 49(9): 2442-2454. doi: 10.13700/j.bh.1001-5965.2021.0693
Abstract:

In this research, a multi-detection anti-occlusion target tracking method is suggested to address the issue of poor tracking effect when unmanned aerial vehicle (UAV) targets are occluded by obstacles during the target tracking process. A response confidence discrimination method is designed by fusing various confidence functions under the framework of a spatiotemporal regularization correlation filtering algorithm. In order to understand the occlusion situation, the change of response difference and response gradient are combined together as the basis to judge whether to update the filter template parameters. A scale estimation method combining the block idea and pyramid scale pool is designed to solve the problem of the scale variation of the target in the image. Compared with the other seven algorithms, the proposed algorithm performs well in the UAV data set, and significantly improves the tracking accuracy and success rate in the face of target occlusion, scale change, and fast movement problems in the tracking process. The findings demonstrate that the multi-detection-based anti-occlusion target tracking algorithm has good speed, accuracy, and robustness and can more effectively address the issues of target occlusion and dimension change in the process of UAV target tracking.

Regional classification of CO2 emission reduction potential of China’s civil aircraft
ZENG Wen, HU Rong, SONG Wen, LIU Zhihao, ZHANG Junfeng
2023, 49(9): 2455-2462. doi: 10.13700/j.bh.1001-5965.2021.0647
Abstract:

Scientific regional classification is fundamental for investigating aircraft CO2 emissions with regional differences and spatial relativity, and for proposing differentiated CO2 emission reduction measures. Using aircraft operation data from China’s some provinces over a ten-year time span (2007–2016), this paper first establishes a model of CO2 emission reduction potential. Then we employ the Kruskal algorithm to obtain the minimum spanning tree of the provincial network relationship. Next the spectral clustering algorithm is used to divide the area of CO2 emission reduction potential with the goal of maximizing the regional classification superiority. Our analysis shows that the optimal classification involves four regions with the regional classification superiority of 0.35. The region with the highest CO2 emission reduction potential is mainly in southwest and central south China, and the region with the lowest potential is mainly in northeast and north China. According to the regional characteristics, differentiated CO2 emission reduction measures are proposed for different subjects such as civil aviation administration, airports, and airlines.

Impact of IFB uncertainty on dual-frequency code carrier divergence monitoring
KANG Kai, WANG Zhipeng, FANG Kun, ZHU Yanbo
2023, 49(9): 2463-2472. doi: 10.13700/j.bh.1001-5965.2021.0649
Abstract:

Code carrier divergence (CCD) monitor is one of the integrity monitors introduced by ground-based augmentation systems (GBAS), which is used to monitor the inconsistency between code pseudorange and carrier phase observations. Dual-frequency smoothing technology changes the test statistics and other parameters of CCD monitor, which affect the monitoring performance. Considering the inter-frequency bias (IFB) introduced in dual-frequency GBAS, the impact of IFB uncertainty on the dual-frequency CCD monitoring is analyzed based on the dual-frequency observation data of BDS B1I and B3I signals. The results show that under the influence of IFB uncertainty, the threshold of the monitor increases by 26.1%, resulting in a significant increase of the probability of missed detection (PMD) in the case of CCD fault. And the minimum detectable fault increases by 26.9%, which means a decrease in the sensitivity of the monitor. Meanwhile, the probability of the loss of integrity in the worst case increases from less than 10−14 to nearly 10−8, and the delay introduced by the airborne to meet the PMD requirement is larger, resulting in a slower response of CCD monitor and impacts the integrity of dual-frequency GBAS.

Design and optimization of modular parabolic deployable mechanism
HE Tianyu, DONG Yang, WANG Hui, ZHAO Junpeng, WANG Chunjie
2023, 49(9): 2473-2481. doi: 10.13700/j.bh.1001-5965.2021.0652
Abstract:

As an important functional component of a satellite, a parabolic antenna is a basis for realizing remote sensing measurement and wireless communication. In order to solve the difficulty of configuration design and stiffness matching of modular parabolic antenna deployable mechanism, a configuration method of rib element deployable mechanism based on scissors mechanism is proposed, and the rib element deployable mechanism is designed. Through kinematic analysis, it is verified that the same deployable mechanism can envelope different paraboloid-fitted spheres through the modification of parameters. The configuration of kinematic pairs of rotatable rib parts is based on a concept for solving the unfolding process of the multi-module deployable mechanism by the envelope cone approach.The configuration parameters of the rib element deployable mechanism are improved to increase natural frequency and decrease overall quality, and the finite element model of the multi-module deployable mechanism is built. The non-inferior sorting genetic algorithm is used to complete the optimization iterative calculation, and the design parameters of deployable mechanisms with high structural stiffness and lightweight are obtained. Under the same conditions, the harmonic average natural frequency is increased by 67.4%, and the overall quality of the antenna is reduced by 35.2% after optimization.

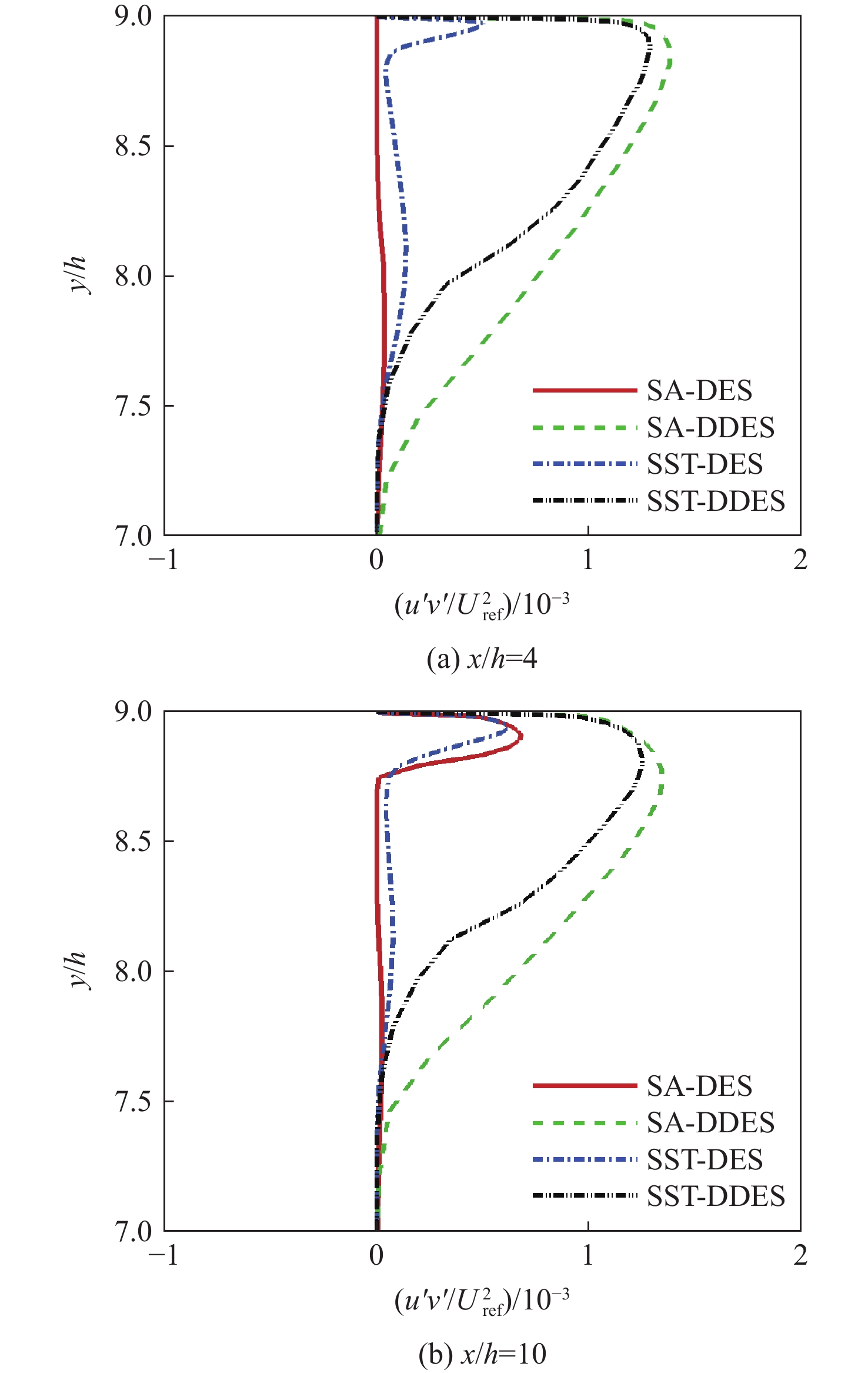
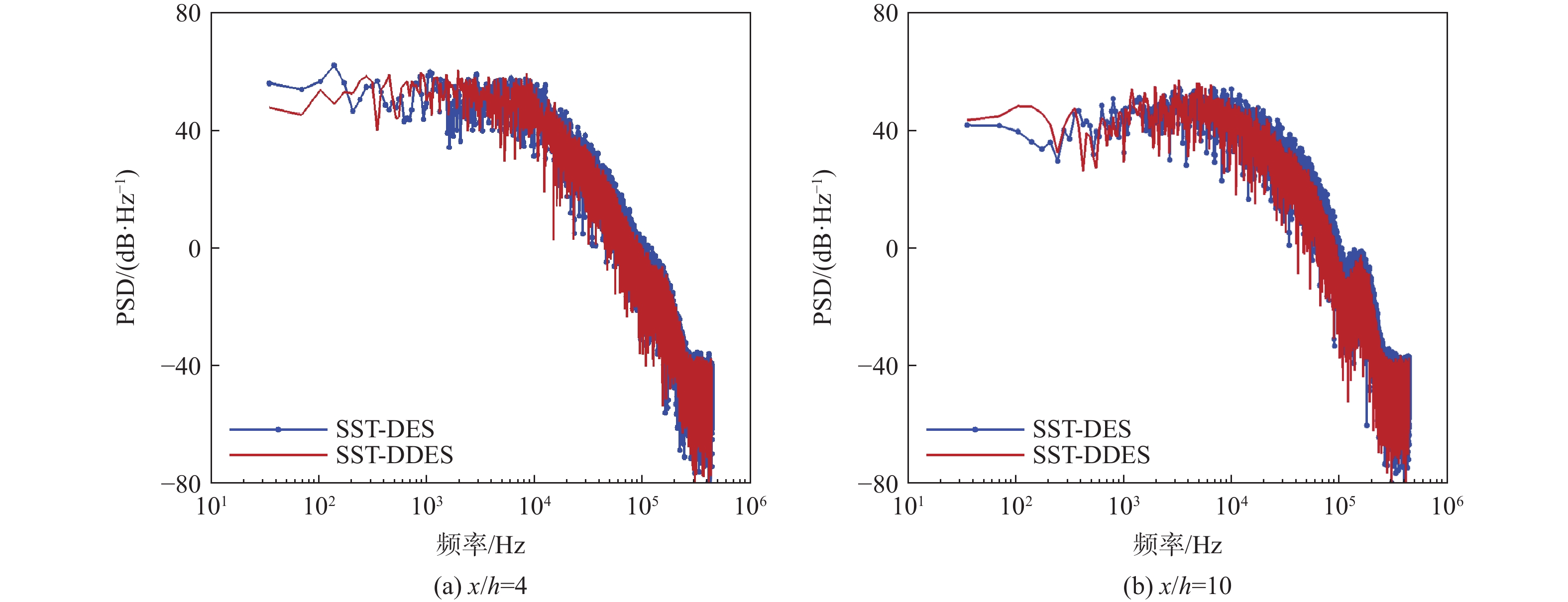
Theory and performance research of DES and DDES in turbulent separation
SONG Hanqi, ZHANG Kailing, MA Ming, YAN Chao
2023, 49(9): 2482-2492. doi: 10.13700/j.bh.1001-5965.2021.0653
Abstract:

With the increasing complexity of flow structure in engineering, detached eddy simulation (DES) has become one of the most effective methods for turbulence simulation. DES is a hybrid method, combining Reynolds averaged Navier-Stokes (RANS) and large eddy simulation (LES) and thus possessing the high efficiency of RANS and high prevision of DES. This research focuses on DES and delayed detached eddy simulation (DDES), analyzing the differences in the structure of shielding functions, and the action mechanism of delay factors. Backward step flow and supersonic cavity compression corner flow are selected to compare and analyze the solving ability of DES and DDES. The results show that DDES protects the RANS solution area by introducing the delay factor, improving modeled-stress depletion and reducing the sensitivity to CDES. However, DDES is prone to over protection in the calculation process, resulting in lesser ability to solve the instantaneous vortex structure than DES method. The analysis is related to the introduction of delay factors and the construction form of shielding functions.

An iterative pedestrian detection method sensitive to historical information features
DAI Peizhe, LIU Xiang, ZHANG Xing, SHANG Yanfeng, ZHAO Jingwen, WANG Shiyu
2023, 49(9): 2493-2500. doi: 10.13700/j.bh.1001-5965.2021.0665
Abstract:

Object detection algorithms based on deep learning usually need to use post-processing methods such as non-maximum suppression to filter the prediction box, and can not balance the detection accuracy and recall rate of the model in the crowded pedestrian scene. Although the iterative detection method can solve the problems caused by non-maximum suppression methods, repeated detection will also limit the performance of the model. In this paper, a pedestrian iterative detection method sensitive to historical information features is proposed. Firstly, the weighted historical information characteristics (WHIC) is introduced to improve the feature discrimination. Second, the historical information feature extraction module (HIFEM) suggested in this paper is utilized to obtain and fuse historical information features of various scales into the main network for multi-scale detection, increasing the sensitivity of the model to the historical information features. This method can effectively suppress the generation of repeated detection frames. Experimental results show that the proposed method achieves the best detection accuracy and recall on CrowdHuman and WiderPerson.

Attitude control law based on L1-ITD for a tail-sitter UAV
WANG Shuyang, ZHANG Jing, YANG Lingyu
2023, 49(9): 2501-2509. doi: 10.13700/j.bh.1001-5965.2021.0681
Abstract:

Aiming at the problem that the tail-sitter UAV is sensitive to wind disturbance in the vertical take-off and landing (VTOL) stage, an attitude control law based on L1-ITD is proposed. Firstly, a 6-DOF nonlinear model of a tail-sitter UAV in VTOL stage is established, and an L1 adaptive attitude controller for the UAV is designed. The controller can suppress the influence of disturbance on system performance and achieve good attitude control performance with wind disturbance and model uncertainty in VTOL stage. Then, aiming at the problem that L1 adaptive control method is sensitive to measurement noise and cannot directly obtain effective differential signal, an improved tracking differentiator is used to track the signal quickly and accurately while suppressing the influence of measurement noise. Finally, the simulation results demonstrate the effectiveness of the proposed control method.

Analysis of CO2 distribution characteristics in cabin of civil aircraft
GAO Jingcheng, CHEN Weijian, HU Wanjun, FENG Shiyu, LIU Haozheng
2023, 49(9): 2510-2517. doi: 10.13700/j.bh.1001-5965.2021.0683
Abstract:

The interior of civil aircraft cockpit is relatively closed, the air circulation is not smooth, the personnel density is large, and there are organic heat sources such as personnel and electronic equipment. It is essential to have a firm grasp of the flight envelope’s CO2 concentration, temperature distribution, and air velocity in order to certify civil aircraft as airworthy. The research introduced in this paper uses the computational fluid dynamics (CFD) method to simulate the flow field in the civil aircraft cockpit. The distribution of CO2 concentration, temperature field, and velocity field in the cockpit under various operating conditions is determined by varying the return air and fresh air temperatures, cruise altitude, and return air ratio. Compared with the existing literature data, the correctness of the calculation model is verified. The research results show that the flow field in the cabin in the ground standard day and cruise state basically meets the requirements. When the air supply is 50 ℃ and the return air ratio is 0.5 in winter, the temperature in some areas of the cabin is higher, and the CO2 concentration increases and approaches the standard value. The environmental control system scheme can be determined according to the actual needs.

Weak supervision based blind remote sensing image mosaic quality assessment
PAN Linpeng, XIE Fengying, ZHAO Weiwei, ZHOU Ying, LIU Chang, WANG Yan
2023, 49(9): 2518-2526. doi: 10.13700/j.bh.1001-5965.2021.0694
Abstract:

A remote sensing image mosaic is an important research content of remote sensing image interpretation. However, affected by the imaging time, angle, and object texture, mosaic images often suffer inconsistent colors and structure dislocation. Aiming at the above quality problems, a double-branch network is designed to perform the blind assessment of the remote sensing image mosaic quality. The branch network are used to assess the color difference and structural dislocation respectively. Finally, the output of the branch networks is integrated to realize the comprehensive assessment. A weakly supervised learning technique based on two-stage training is proposed to lower the quantity of images in network training because it requires a lot of labor and material resources to determine the true score of the image quality. Firstly, to gain the previous knowledge associated with quality assessment, the network is initially pre-trained on the simulated mosaic dataset, which uses color change and structural dislocation as the objective quality score. Secondly, fine-tuning is performed on the dataset with subjective scores. Secondly, fine-tuning is performed on the dataset with subjective score. The experiment results on the established simulation dataset and authentic dataset show that the proposed method can effectively assess the quality of remote sensing image mosaic and outperforms the comparison algorithms.

Taxiing deviation-correction control of a new variable-friction equipped-skid aircraft
WANG Yucheng, YIN Yin, LIANG Taotao, WEI Xiaohui
2023, 49(9): 2527-2538. doi: 10.13700/j.bh.1001-5965.2021.0700
Abstract:

Flat hypersonic aircraft are better suited to skid landing gear than wheeled landing gear because of its light weight and compact design. However, the inherent characteristic of the wheel skid layout causes the problem of heading instability during mid-speed taxiing. Aiming at the problem, a variable-friction skid landing gear with a directional stability augmentation function is designed. Firstly, a nonlinear ground taxiing model is established, considering aerodynamic forces, ground forces, correction mechanism model, and deviation-correction control system.The ground friction characteristics experiment findings are then used to create the multi-parameter fitting polynomials of the friction coefficients of the skid and material, which are then incorporated into the dynamic model discussed earlier. Finally, an integral line of sight (ILOS) guidance is introduced to realize the effective tracking of the runway centerline during the rollout phase. Particle swarm optimization is introduced to optimize control parameters. Results show that the friction coefficients of the skid and the material first increase and then decrease with the increase of speed and pressure. The effectiveness of the deviation-correction control system is verified by taxiing simulation results under typical initial conditions. The safety set of taxiing increases by 16.6% when the friction coefficient of the friction material increases from 0.3 to 0.4.

Study on tail-slap load characteristics of high-speed projectile based on CFD/CSD coupling
XU Yuntao, TAN Dalin, YANG Chao
2023, 49(9): 2539-2546. doi: 10.13700/j.bh.1001-5965.2022.0939
Abstract:

A calculating approach based on the two-way analysis of computational fluid dynamics (CFD)/computational structure dynamics (CSD) coupling is devised to increase the predictability of the projectile’s tail-slap load. The main governing equation of fluid calculation adopts the Navier-Stokes equation with SST k-ω turbulent flow model and Schnerr-Sauer cavitation model, structural calculations use simplified structural dynamic equations based on the modal superposition method, interpolation of fluid-structural coupling interface using radial basis function method, mesh deformation using spring stretching method. Both the fluid-structural coupling approach and the cavity shape computation method were independently verified. Further, the differences in cavity shape, structural deformation, and characteristics of tail-slap loads between the rigid body and the elastic body of the projectile at a speed of 1000 m/s were calculated and compared. Simulation results show that during the tail-slapping process of the elastic body, the cavity shape of the projectile will produce special phenomena such as ‘secondary slap’, ‘partial wetting’ and a wetting area increased. Structural deformation is dominated by the first-bending mode. The larger deformation causes the dynamic load to increase by 27%~105%, the amplitude of the pitch angle to increase by 13%, and the tail-slapping frequency to increase by 20%. The fluid-structural coupling effect has a strong influence on the cavity shape, loads, and ballistic of tail-slapping.