2023 Vol. 49, No. 7

Display Method:
Volume 7 Issue E-journal
Volume 49 Issue72023
iconDownload (28977) 1326 iconPreview
Conception and development of software-defined satellite technology
XU Fanjiang, ZHOU Xin, ZHAO Junsuo, WU Fengge, LIN Yijun, XIA Yuli
2023, 49(7): 1543-1552. doi: 10.13700/j.bh.1001-5965.2021.0562
Abstract:

Focusing on the trend of massive, networked, and intelligent development of in-orbit satellites, this paper explores the background, concept, and trends of software-defined satellite technology as well as the challenges it is faced today. First, it is presented that the satellite system is evolving from platform and load-first to algorithm-first, which promotes the emergence and development of software-defined satellite technology. Then, the concept and boundary of software-defined satellite technology are proposed, with the belief that the purpose of software-defined satellite technology is not to develop a new type of satellite, but to realize the hardware resource virtualization, system software platformization and application software diversification for various intelligent satellites. Next, the main contents of software-based satellite technology are analyzed along with the challenges to this technology. Finally, the prospect for this technology is given.

Experimental study on adverse attitude emergency evacuation of civil aircraft after crash landing
FENG Wenchun, ZHANG Tong, LI Wei
2023, 49(7): 1553-1562. doi: 10.13700/j.bh.1001-5965.2021.0483
Abstract:

Based on dynamic emergency evacuation test environment, the effects of adverse attitude on emergency evacuation were studied and more than two hundred tests, including individual evacuation and group evacuation tests, were implemented. Then the average evacuation speed of individuals at seat and aisle area was analyzed according to free walk and quick evacuation model, with the results of which models of individual average speed attenuation ratio was established. The tests show that the adverse attitude of landing has effects on evacuation time, personnel density and forward distance. Under roll condition, the speed attenuation ratio is 0.948 and 0.859 at 5 degrees and 10 degrees, respectively, declining with the increase of the roll angle. Under pitch condition, the effects of acceleration appears at −5 degrees and the evacuation speed of the last person is 1.35 meter per second, with speed attenuation ratio increasing with the evacuation sequence; while at −10 degrees, the individual movement displays two-sidedness, with the speed in inverse proportion with the evacuation sequence. The test results reveal the movement patterns of the individual and group evacuation under adverse attitude landing condition and provides important reference data for evacuation simulation of civil aircraft.

Improved PSO-RBF neural network adaptive sliding mode control for quadrotor systems
TANG Zhiyong, MA Fuyuan, PEI Zhongcai
2023, 49(7): 1563-1572. doi: 10.13700/j.bh.1001-5965.2021.0477
Abstract:

An improved particle swarm optimization-radial basis function (PSO-RBF) neural network adaptive sliding mode controller is proposed for quadrotor systems with nonlinearity, strong coupling, and inaccurate interference. First, based on smooth improvement of the control amount of the RBF neural network sliding mode controller, an improved particle swarm optimization with global optimization capability was used to adjust the fitting parameters of the RBF neural network, thus improving the fitting ability of the network. Next, a dynamic model of quadrotor was built according to themodel parameters of actual quadrotors, the stability of which was then proved by Lyapunov theory.In contrast to the RBF neural network adaptive sliding mode controller and the double closed-loop PID controller, the improved PSO-RBF neural network adaptive sliding mode controller can find the appropriate control quantity in one control cycle, and its adjustment time is about 50% and 75% faster than that of RBF neural network adaptive sliding mode controller and double closed-loop PID controller, respectively. The simulation results show that the improved PSO-RBF neural network adaptive sliding mode controller featuresfasttrack speed with high accuracy, strong disturbance rejection and better robustness.

Design and experiment of cryogenic loop heat pipe of two-dimensional pointing at liquid nitrogen zone
LI Nan, GUO Yuandong, XU Cheng, ZHANG Hongxing, LIN Guiping
2023, 49(7): 1573-1582. doi: 10.13700/j.bh.1001-5965.2021.0500
Abstract:

The cooperation of the two-dimensional pointing mechanism and the infrared detector is conducive to the realization of large-scale dynamic tracking, pointing, and rapid positioning of space targets. Coupling the cryogenic loop heat pipe (CLHP) with the two-dimensional pointing mechanism can greatly reduce system complexity, while achieving long-distance heat transmission, and improving detection accuracy and steering flexibility. A two-dimensional pointing CLHP working at the liquid nitrogen zone is designed and developed. The component parameters are introduced, and a pitch and yaw rotation of more than ±90° through the servo motor drive is realized. The thermal vacuum experiment was carried out, examining the effects of different working parameters on the supercritical start and heat transfer limit. The results show that the system designed has a maximum heat transfer capacity of 13 W. Appropriately increasing the filling pressure can help improve the stability and heat transfer capacity of the system, and increasing the auxiliary load of the secondary evaporator can increase the maximum heat transfer ability.

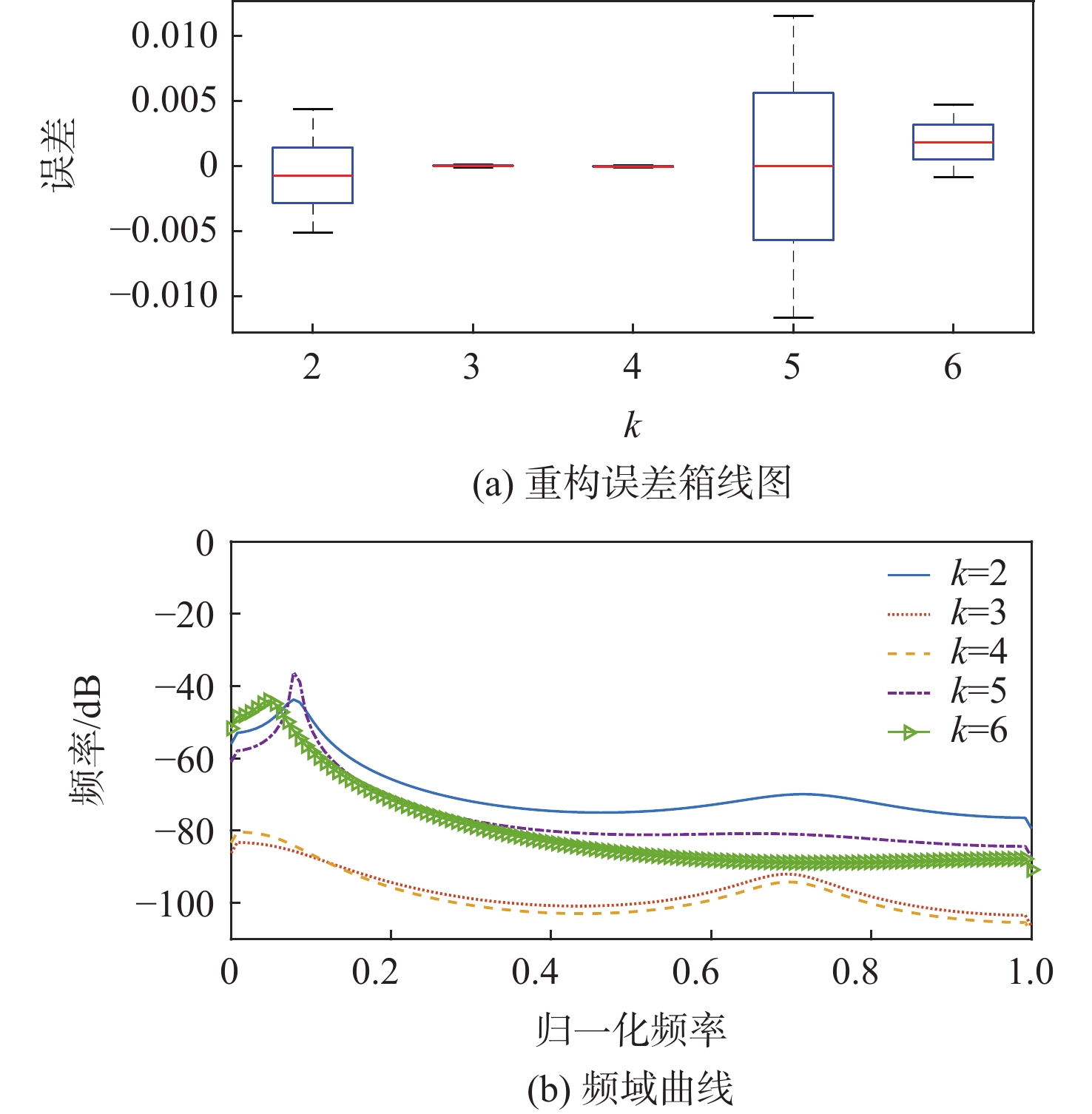
Sensor fault detection and data reconstruction method of power supply vehicle
JIANG Dongnian, BA Yujiang, LI Wei
2023, 49(7): 1583-1592. doi: 10.13700/j.bh.1001-5965.2021.0501
Abstract:

Aiming at the problem that the power supply vehicle is prone to sensor fault due to the complex operating environment, a sensor fault detection and data reconstruction method based on spatiotemporal correlation is proposed in this paper. Firstly, according to the time-series relationship characteristics of single sensor operation data, the fault detection sub-model of the power vehicle sensor is established with the help of the selective forgetting extreme learning machine (SF-ELM) mechanism, and the fault detection of power vehicle sensor is realized. Secondly, simultaneous interpreting the fault sensors, using the spatial correlation among different sensors, and through redundancy analysis, the improved mutual information entropy is used to screen out the auxiliary sensor data which is highly correlated with the fault sensor data, and the online reconstruction of the failure sensor data is realized. Finally, the feasibility and effectiveness of the proposed method in sensor fault detection and data reconstruction of power vehicles are verified by simulation.

Segmentation extraction of feature points for time series pattern matching
LI Zhengxin, LIU Chang, WU Shihui, GUO Jiansheng
2023, 49(7): 1593-1599. doi: 10.13700/j.bh.1001-5965.2021.0546
Abstract:

It is difficult for the common time series pattern matching methods to balance the computational complexity and matching accuracy. To solve this problem, a time series matching method based on segmented extraction of feature points is proposed. Firstly, the feature points on each variable dimension of the time series are extracted and the sequence length is compressed. Then, the quantile matrix is calculated according to the feature sequence, and the similarity of the quantile matrix is measured by Euclidean distance. Finally, the effectiveness of the proposed method is verified on the application data set. Experimental results show that the proposed method can effectively reduce the computational complexity and ensure high matching accuracy.

Precise orbit determination method for angle-only observation data of space debris based on angle conversion theory
ZHANG Yao, LIU Jing
2023, 49(7): 1600-1605. doi: 10.13700/j.bh.1001-5965.2021.0507
Abstract:

On the basis of the angle conversion method, a brand-new accurate orbit determination technique for space debris was developed. First, based on the commonly used two-line-element (TLE) data application requirements, a TLE precise orbit determination model based on the SGP4/SDP4 forecast model was established according to the differential idea. Secondly, the advantages and disadvantages of the original definition method and the right ascension projection method were discussed by taking right ascension-declination observation as an example. Then the angle conversion method was proposed, which converts the two-element angle data into three-element angle data. Finally verifies based on the simulation that when the observation data is concentrated in the direction of the zenith of the station, the angle conversion method could increase the speed of precise orbit determination by about 25%, and increase the accuracy of orbit determination by 2−10 times.

Secondary electron multiplication of aluminum under strong vacuum electromagnetic field
SHANG Shengfei, YANG Xiaoning, YANG Yong, BI Yanqiang, WU Nankai, YU Lantao
2023, 49(7): 1606-1613. doi: 10.13700/j.bh.1001-5965.2021.0514
Abstract:

This paper primarily employs the 1D3V particle-in-cell (PIC) method to investigate the rule of multifactor of aluminum material on satellite surface under the strong electromagnetic environment of space in order to study the charge and discharge effect brought on by the strong electromagnetic environment on the satellite surface. The result shows that there is an "easiest" multiplication range for the multifactor effect of aluminum materials under different microwave amplitudes and frequencies. The multifactor rules are: At a specific frequency, the multifactor of aluminum first increases and then decreases with the rising of microwave electric field amplitude, and there is an optimal secondary electron multiplication interval; At a certain amplitude, the multifactor effect of aluminum will first increase and then decrease, and it shows that the multifactor effect should be strong at low frequency and inhibited at high frequency.

Tensile fatigue properties of carbon fiber laminates in hygrothermal environments
XU Mingrui, ZENG Benyin, XIONG Xin, MENG Qingchun, CHENG Xiaoquan
2023, 49(7): 1614-1622. doi: 10.13700/j.bh.1001-5965.2021.0565
Abstract:

The hygrothermal environment is one of the main factors affecting the mechanical properties of composite laminates. To maintain the safety of the flight structures, it is crucial to study how hygrothermal conditions affect composite structures.The tensile fatigue properties of carbon fiber composite laminates (CFRP) in room temperature and dry (RTD) condition, cool temperature and dry (CTD) condition and elevated temperature and wet (ETW) condition were experimentally studied, then the S-N curves and fatigue damage modes of CFRP laminates in three different environments were obtained. This served as the foundation for the development of the laminate finite element analysis model, the study of laminate fatigue performance, the analysis and discussion of the effects of temperature and humidity on laminate fatigue performance, and the development of a method for determining the environmental factors influencing the fatigue life of laminates. The results show that the tensile fatigue properties of orthometric laminates are greatly affected by the environment of ETW condition. Compared with the RTD condition, the fatigue strength of orthometric laminates decreases by 2.76% in CTD condition when the fatigue life equates to 106, while the fatigue strength of orthometric laminates decreases by 23.77% ETW condition. The damage modes in RTD condition and in ETW condition are mainly fiber fracture and delamination, while the damage mode in CTD condition is almost fiber fracture. The S-N curve includes two stages of rapid and slow reduction for fatigue strength. The influence of temperature on fatigue performance is obviously stronger than that of humidity. When the temperature exceeds 45 ℃, the influence of humidity on fatigue performance enters the strong influence zone.

A sparse estimation method for radar target direction with sliding-window subarray configuration in mainlobe jamming
ZHOU Bilei, LI Rongfeng, ZENG Li, CHEN Hui, LIU Weijian, LI Binbin
2023, 49(7): 1623-1629. doi: 10.13700/j.bh.1001-5965.2021.0552
Abstract:

The suppression of mainlobe jamming (MLJ) is a hard task and an open problem in the radar field. This paper considers the problem of radar target direction estimation in MLJ. Hence, we propose a sparse estimation method for radar target direction with sliding-window subarray configuration in MLJ. MLJ is suppressed in each subarray with the proposed method, and the angle atom is constructed according to the phase relationship between the sliding-window subarrays. Finally, the target direction can be estimated with the orthogonal matching pursuit (OMP) algorithm. When the target input signal-to-noise ratio is 20 dB and the angle between the target and MLJ is 1/2 3 dB beam width, the target angle estimation error is smaller than 1/10 3 dB beam width. The accuracy of the angle estimation is well kept and the MLJ can be cancelled without any prior information.

Configuration and multibody separation scheme of compact missile swarm
FU Jiawei, WANG Chen
2023, 49(7): 1630-1638. doi: 10.13700/j.bh.1001-5965.2021.0508
Abstract:

One type of missile swarm system is proposed, where numerous small UAVs are compressed in a missile carrier, to solve the weakness of swarm penetration capability and operational radius while speeding up the formation of cooperation. It uses tactics by multistage transport, making the swarm deploy rapidly. Taking advantage of the compatibility design, aerodynamic configuration optimization design technology, layout selection, numerical simulation analysis, and wind tunnel test, the research achieves a kind of compact missile swarm layout design, one missile can carry 80 small UAVs by arranging UAVs circumferentially around the cylinder. In order to overcome the challenge of multibody separation design, a swarm can safely separate by adopting an optimum separation approach that has been confirmed by improved delayed detached eddy simulation and nested grid. Finally, the design scheme can not only ensure the efficiency of saturation attack but also improve the capability of penetration and endurance, meeting the requirement of future strong confrontation battlefield.

Multi-objective optimization of aerodynamic layout for hypersonic reentry vehicle
FAN Boxuan, CHEN Guiming, CAO Yiqun
2023, 49(7): 1639-1650. doi: 10.13700/j.bh.1001-5965.2021.0566
Abstract:

Multi-objective optimization of aerodynamic layout is a key technology in aircraft design. A new multi-objective optimization method is proposed for aerodynamic shape parameters of hypersonic reentry vehicle, and then the influence of the method on the performance of hypersonic reentry vehicle is proved. Through example simulation, the influence of drag and lift on guidance performance is verified and analyzed in detail, with 3 performance indicators, including circular error probable of aircraft landing point, proportion of landing speed greater than 500 m/s, and proportion of maximum flight overload less than 60g, set as the optimization objective. By taking lift characteristics as intermediate parameters, the aerodynamic layout optimization problem divided into two sub problems. Through the lift characteristic optimization based on search algorithm and the shape parameter optimization based on an improved simulated annealing algorithm, the optimization calculation time is reduced, the calculation efficiency is improved, thus optimizing the overall aerodynamic layout of the main body and flap of the aircraft, and obtaining the best aircraft shape under hypersonic flow. The simulation results show that under determined constraints, the optimization algorithm increases the aerodynamic lift of the aircraft under supersonic flow and effectively improves the lift drag ratio. On the premise of not affecting the maximum flight overload, the optimized aircraft shows higher aerodynamic performance, and significantly improved hit accuracy, with the landing speed in compliance with the index requirements, and the performance of the guidance system effectively improved.

Mechanism of butterfly forward flight and prototype verification based on characteristic motion observation
ZHANG Yixin, WANG Xingjian, WANG Shaoping, CHI Xiaokai, DU Shaoyang
2023, 49(7): 1651-1660. doi: 10.13700/j.bh.1001-5965.2021.0497
Abstract:

To investigate the mechanism of butterfly flapping wing flight and develop a low-frequency flapping wing bionic robot, the fligh kinematics of the butterfly are capturedand documented using a high-speed camera, three characteristic motion states of butterflies are proposed: flapping wing motion, thorax pitching motion and abdomen swinging motion. Through analysis of the phase relationship among these three states, a kinematics model of the butterfly forward flight is constructed. Then based on the new procedure of the "rod-membrane" bionic wings and a miniature onboard flight control system, a lightweight butterfly-inspired flapping wing air vehicle is developed, the flight control strategy of which is studied as well. Next, a six-dimensional force sensor is used to test the dynamics of the prototype on the ground, and a high-speed camera is used to track the flight of the prototype, which proves the effectiveness of the development of the prototype based on the characteristic motion states of the butterfly forward flight mechanism.

Soil moisture retrieval using Beidou GEO satellite interference signal power
HAN Mutian, XU Zhichao, CHANG Qing, ZHANG Bo, WANG Feng, HONG Xuebao
2023, 49(7): 1661-1670. doi: 10.13700/j.bh.1001-5965.2021.0478
Abstract:

Soil moisture retrieval using Beidou geostationary Earth orbit (GEO) interference signal power was studied. Current researches mainly establish empirical models for retrieving soil moisture. Therefore, a semi-empirical retrieval method was proposed. Taking the advantage of Beidou GEO satellite’s stable geometric configuration relative to the earth, this method utilized the interference amplitude metric obtained in two consecutive days to cancel the influence of the power of the transmitted signal, therefore, achieving the retrieval of the reflection coefficient. Then, based on the reflection coefficient theoretical model under the influence of cross-polarization , a semi-empirical soil moisture retrieval model was constructed. Finally, the proposed method and model are validated through simulations and experiments. The simulation results showed that the proposed method and model can better adapt to the nonlinear situation encountered in the retrieval process. Finally, the experiment results show that the root mean square error of soil moisture retrieval is less than 0.02 cm3 ·cm−3, and the correlation coefficient exceeds 0.8.

Aerodynamic performance analysis of supercritical airfoil with lower surface jet
WANG Ruochen, ZHANG Guoxin, WANG Xiangyu, MA Xiaoping
2023, 49(7): 1671-1679. doi: 10.13700/j.bh.1001-5965.2021.0489
Abstract:

To investigate the influence of key parameters of the lower surface jet on aerodynamic performance of supercritical airfoil, a numerical simulation is performed using Reynolds average Navier-Stokes (RANS) equation and Spalart-Allmaras (S-A) turbulence model. By comparing the flow field between the benchmark RAE2822 airfoil and the lower surface jet airfoil, the lower surface jet induces a counterclockwise separation vortex at the trailing edge of the airfoil, deflecting the streamlines downward. This deflection increases the equivalent camber of the airfoil and the suction peak of the leading edge, leading to the aerodynamic performance enhancement of the airfoil. The effects of key parameters such as the jet position, the jet momentum coefficient, the jet angle and the Mach number on the aerodynamic performance of RAE2822 airfoil are explored. The results show that under given conditions, the closer the lower surface jet is to the trailing edge and the greater the momentum coefficient is, the better the aerodynamic performance of the airfoil. The optimal angle of the lower surface jet is 110° at α=0° and 2°, and 160° at α=4°. The aerodynamic performance of the airfoil can be effectively improved at the optimal angles with the Mach number varied from 0.3 to 0.6.

Numerical study of blood pump weaning effects on hemocompatibility of centrifugal blood pump
XIE Nan, TANG Yumeng, ZHANG Yan, LIU Yangwei
2023, 49(7): 1680-1688. doi: 10.13700/j.bh.1001-5965.2021.0494
Abstract:

The four stages of blood pump weaning are used to methodically assess the hemodynamic performance and hemocompatibility of the datum and modified centrifugal blood pumps. The distribution of parameters and the changes of normalized index of hemolysis in four stages of weaning are researched, the pressure pulsation of each monitoring point is also analyzed. Results show that both the datum pump and the modified pump own good hemocompatibility, and it satisfies the requirement of anti-hemolysis and anti-thrombosis in the first blood pump weaning stage. The leakage vortex formed in clearance is the main flow characteristic that induces hemolysis. The intensity of leakage vortex becomes weaken, and the index of hemolysis as well as its pulsation decrease significantly during the blood pump weaning process. Compared with the datum pump, the NIH of the modified pump is reduced by more than 30%. The pressure spectrum exhibits typical discrete characteristics, and the modified pump's rotor-stator interaction is stronger than that of the datum pump, indicating a high need for the blood pump's electromagnetic control technology.

Aerodynamic order reduction method for elastic aircraft flight dynamics simulation
SHI Yan, WAN Zhiqiang, WU Zhigang, GONG Yinan
2023, 49(7): 1689-1706. doi: 10.13700/j.bh.1001-5965.2021.0510
Abstract:

We develop an aeroelasticity and flight dynamics simulation model with nonlinear aerodynamic reduced order model for low-speed solar unmanned aerial vehicles under high angle of attack caused by gust. Five aerodynamic reduced-order models are created in light of the aforementioned issues, and their use in simulating flight dynamics is further explored. The reduced order models include the model based on the autoregressive model with eXogenous inputs (ARX) method, multi-wavelet Volterra series method, back propagation (BP) neural network, radial basis function (RBF) neural network and support vector regression. Then the convergence and the generalization ability of the five models are compared, and a new model with high precision and strong generalization ability is proposed, which is a combination of ARX and neural network model. Taking a solar UAV model as an example, combining an aerodynamic reduced order model with a rigid-elastic coupling dynamic equation, the flight dynamics simulation model of elastic aircraft is established. Lastly, the computational fluid dynamics-computational structural dynamics (CFD-CSD) outputs and the outcomes of the simulation model based on linear aerodynamics are compared with the simulation results to determine how the UAV model responds to gusts. The results show that the performance of the elastic aircraft simulation model in aerodynamic prediction and gust response analysis is better than that of the model based on linear aerodynamics and is in good agreement with the CFD-CSD model, and the simulation efficiency is much higher than that of the CFD-CSD analysis.

Experiment research on high-speed ultrasonic vibration milling of titanium alloy
HAN Xiong, SUN Zhefei, GENG Daxi, ZHANG Deyuan
2023, 49(7): 1707-1714. doi: 10.13700/j.bh.1001-5965.2021.0519
Abstract:

Conventional milling (CM) causes problems for titanium alloys, such as high cutting forces, large deformation of thin-walled workpieces, low processing efficiency, and severe tool wear due to low cutting speeds. To address these problems, a new method of high-speed ultrasonic vibration milling (HUVM) is adopted to machine titanium alloys. Their surface quality and the cutting force are also examined through experiments. The kinematic equation of HUVM is constructed. An HUVM experimental platform including ultrasonic vibration system, machining system and measurement system is built. Single factor experiments are carried out to explore the effects of CM and HUVM on the surface quality and cutting force. The experimental results show that compared with CM, HUVM could generate more uniform surface structure with increased surface roughness. Unlike CM with residual tensile stress of the machined surfaces, HUVM has residual compressive stress with its value decreasing with the increase of feed per tooth and cutting speed. Moreover, HUVM could reduce cutting force by 32.6%~35.3% compared to CM.

Simulation analysis of reduction effect of symmetrical winding method for multi-polar fiber ring on Shupe error
ZHANG Dongbo, WANG Lixin, LI Can
2023, 49(7): 1715-1721. doi: 10.13700/j.bh.1001-5965.2021.0530
Abstract:

The Shupe bias error is one of the biggest bottleneck problems in the engineering application of interferometric fiber optic gyroscope (IFOG). A turn-by-turn finite element model for fiber coils is established in this article. Based on this model, analyze the temperature performance of the 8 level, 16 level and 32 level symmetric winding method are analyzed under different temperature excitations. The results show that compared with octupolar symmetrical winding methods, the 16-polar and 32-polar symmetrical winding methods can effectively reduce the thermally induced gyro drift, and that the 16-polar symmetrical winding methods have the best temperature performance among the three methods. This conclusion provides guidance for the selection of fiber coil winding method for high precision IFOG.

Design and performance analysis of spatial large extension parallel mechanism
HE Litao, FANG Hairong, CHEN Yufei, LI Yin
2023, 49(7): 1722-1734. doi: 10.13700/j.bh.1001-5965.2021.0548
Abstract:

In the process of large-scale workpiece machining, the insufficient extension space of the executive mechanism is an urgent problem to be solved in the aerospace manufacturing industry. To increase the working space at the end of the executive mechanism, and to provide the mechanism with a stable and reliable extension foundation, a parallel extendable mechanism with high stiffness and large extension is proposed. This paper focuses on the design and analysis of parallel extensible mechanisms. Based on graph theory, the configuration of the extendable mechanism was synthesized, and the three extendable branch unit configurations, PRRR, PRRR-3R and PRRR-6R (P represents prismatic pair, R represents rotation pair) were obtained by using the configuration evolution. On this basis, the extensibility and stiffness of the branch chain unit of the three extensible mechanisms were compared and analyzed. And finally, the PRRR branch chain unit that satisfies the requirements was configured as a parallel extensible mechanism. The parallel extendable mechanism can be applied to occasions that need to provide large extension and large stiffness and realize the expansion of the movement space of other actuators.

Analysis of influence of ultrasonic drilling structure parameters on output characteristics
ZHANG Xingwang, ZHANG Ming, YU Dengyun, ZENG Ting, YIN Shen, YANG Shuai, PANG Yong
2023, 49(7): 1735-1742. doi: 10.13700/j.bh.1001-5965.2021.0554
Abstract:

The ultrasonic drill has the characteristics of lightweight, low power consumption, the small axial force required, easy real-time detection and in-situ analysis, and good adaptability to different objects. It is highly anticipated in exploring new scientific drilling technologies and new methods suitable for deep space exploration. In order to improve the adaptability of the drill to different drilling objects and its design efficiency further, the influence of the structural parameters of the ultrasonic driller is studied. The frequency is mainly considered to be affected by the number of collisions, the vibration of the spring and drilling rod, and the vibration of the drilling rod itself. On this basis, a physical model of the influencing factors was established. Experiments are used to examine how the spring stiffness, initial preload, and mass of the free masses affect the output frequency, displacement, and speed. The effect that the initial preloads of the spring have on the frequency is more significant, followed by spring stiffness and mass of the free masses. Finally, a technical reference for the optimization design of variable frequency ultrasonic drills suitable for high-efficiency drilling of objects with different hardness is provided.

Pedestrian trajectory prediction method based on pedestrian pose
WANG Ruiping, SONG Xiao, CHEN Kai, GONG Kaiqi, ZHANG Junfan
2023, 49(7): 1743-1754. doi: 10.13700/j.bh.1001-5965.2021.0557
Abstract:

In the field of autonomous driving, pedestrian trajectory prediction has been one of the research hotspots, and the uncertainty of pedestrian behavior poses a great challenge to trajectory prediction. Most of the current trajectory prediction methods only focus on the information interaction between pedestrians, ignoring the influence of pedestrian intention and other semantic information in the scene on the pedestrian trajectory. In order to achieve this, this paper suggests a method for predicting target pedestrian trajectory using pose keypoints based convolutional encoder-decoder network (PKCEDN). The method includes an attention mechanism that can learn the relationship between the current moment and past moment trajectories, as well as an encoder-decoder model based on convolutional, long and short-term memory (LSTM) networks. The proposed method has been tested on the MOT16, MOT17, and MOT20 public datasets, and the average error is reduced by about 36% compared to mainstream methods such as Linear, LSTM, Social-LSTM, Social-GAN, SR-LSTM, and Msgtv, while ensuring no reduction in prediction speed.

Improved modeling strategy and result evaluation of steroid-induced femoral head necrosis in rabbits
YANG Fenghe, FENG Guiyu, LI Jinyu, NIU Xufeng
2023, 49(7): 1755-1760. doi: 10.13700/j.bh.1001-5965.2021.0558
Abstract:

The establishment of animal model of femoral head necrosis is of great significance for the clinical treatment of this disease. To successfully induce femoral head necrosis while reducing the mortality of modeling animals, this study improves the commonly used modeling method of steroid-induced femoral head necrosis in rabbits. Ninety male New Zealand white rabbits (2.8~3.2 kg) are randomly divided into control group, conventional model group and improved model group. The control group is only injected with normal saline; the conventional model group is injected with lipopolysaccharide and methylprednisolone; the improved model group is supplemented with penicillin, ranitidine, diclazuril, intestinal lubricant and lactasin based on conventional model. The results show that the death rate of the improved model group (13.3%) is much lower than that of the conventional model group (70%). The Micro-CT and histological results exhibit that the bone volume, bone volume/tissue volume ratio, bone mineral density and trabecular thickness in improved model group are significantly lower than those in control group, while the number of empty bone lacunae is significantly higher than that in control group. These results demonstrate the successful establishment of steroid-induced femoral head necrosis in rabbits.

Influence of rotor/wing aerodynamic interference on performance of compound helicopters
YANG Kelong, HAN Dong
2023, 49(7): 1761-1771. doi: 10.13700/j.bh.1001-5965.2021.0561
Abstract:

To investigate the influence of rotor/wing aerodynamic interference on the high-speed flight performance of a dual-propeller propelled compound helicopter, a flight performance prediction model of compound helicopters is established. Taking the AS365N ‘Dolphin’ helicopter equipped with a wing and propeller as an example, the influence and mechanism of rotor/wing aerodynamic interference on the flight performance are investigated at a high speed of 400 km/h. The change rule of the helicopter power is investigated when the aileron control is utilized to trim the wing rolling moment caused by the aerodynamic interference. The studies indicate that the aerodynamic interference increases the induced velocity of the wing, resulting in a decrease in the lift coefficient and an increase in the drag coefficient of the wing. Due to the asymmetrical vortex of main rotor, the induced velocity, lift and drag coefficients of the wing under the advancing side of the rotor change more significantly than those on the retreating side. Aerodynamic interference decreases the wing lift share from 80.00% to 71.59%, and increases the rotor lift share from 20.04% to 28.48%. The power of the main rotor, propeller and helicopter is increased by 16.60%, 1.86% and 3.76% respectively. Aerodynamic interference increases the wing rolling moment and decreases the main rotor rolling moment, which is conducive to the aircraft trim, but is inconducive for the power reduction of the aircraft. When the aileron is utilized to balance the wing rolling moment caused by the aerodynamic interference, the lateral cyclic pitch and drag of main rotor are reduced, and hence the aircraft power is decreased.

Weakly supervised evaluation of airport traffic situation based on metric learning
DU Jinghan, HU Minghua, ZHANG Weining, YIN Jianan
2023, 49(7): 1772-1778. doi: 10.13700/j.bh.1001-5965.2021.0568
Abstract:

In order to accurately perceive the operating environment of the airport surface, a weakly supervised evaluation method of traffic situation based on metric learning is proposed. Firstly, according to the space-time distribution types of aircraft on the airport surface, the traffic situation index system is constructed from the perspectives of traffic flow, take-off and landing queues, and resource demand; secondly, learning from the metric learning paradigm, the distance measure between situation samples is automatically learned by using pre-defined similar sets and dissimilar sets; on this basis, the K-means algorithm is used to achieve traffic situation classification under weak supervision. Taking the actual operation data of Shanghai Pudong International Airport as an example, the effectiveness of the proposed method is analyzed and verified. The experimental results show that:when the distance coefficients of the departure instantaneous flow at the beginning, the departure cumulative flow, the length of the departure runway queue, and the arrival cumulative flow are greater than 0.5, it has a greater impact on the surface situation; metric learning improves the optimal contour coefficient by 33.3% when compared to the K-means algorithm based on Euclidean distance, and obtains clustering results that meet the e-criterion; in addition, the longer the average taxi time of the airport and the more complex the runway configuration, the higher the level of the traffic situation on the surface.

Influence of open water in retrieval of soil moisture by spaceborne GNSS-R
YANG Wentao, XU Tianhe, WANG Nazi, GAO Fan, JING Lili, HE Yunqiao
2023, 49(7): 1779-1786. doi: 10.13700/j.bh.1001-5965.2021.0479
Abstract:

Soil moisture(SM) information can be obtained through the high spatial and temporal resolution spaceborne GNSS-R technology, however, open water will affect the accuracy of the retrieval results. To solve this problem, this paper proposes an improved method of removing open water. Prior to precisely removing the open water region based on the mask data, the simulated power must first be corrected to achieve the reflectivity.In order to verify the feasibility of the improved method, a one-year CYGNSS level 1 data was processed in two test areas with dense open water. The retrieval result was compared and analyzed with the soil moisture active passive (SMAP) level 3 soil moisture product. The root mean square error was 0.052 1 cm3/cm3, and the correlation was 0.654. Compared with the results before removing open water, it increased by 6.2% and 9%, respectively; Compared with the products officially released by CYGNSS, it increased by 32% and 24%. As a result, the retrieval results can be utilized to complement SMAP of SM measurements by providing highly time-resolved SM values.

UAV information interaction topology generation considering task allocation
XUE Ying, HE Feng, GU Xiaoyan
2023, 49(7): 1787-1795. doi: 10.13700/j.bh.1001-5965.2021.0486
Abstract:

The optimization of information interaction topology for persistent unmanned aerial vehicle (UAV) formation is an important basis for the stability of UAV formation structure and the timeliness of task execution. The existing formation generation algorithms assign weights and generate topologies based on the factor of distance rather than task allocation; therefore, the overall task execution may be too long or even fail, causing unnecessary loss of UAV energy. This study proposes an information interaction topology optimization algorithm considering the factor of task allocation, with the task message transmission time and energy loss being the key optimization objectives, and with the premise of ensuring the stability of UAV formation structure. The key aggregation links performing high real-time communication tasks are preferentially connected, and the penalty term is introduced for the remaining links. Furthermore, the weight factor of task message transmission is taken into account to generate the final information interaction topology. OMNet++ is used for simulation verification. Compared with the information interaction topology generation algorithm considering only the distance factor, the algorithm considering the task factor can reduce the message transmission time by 57.3% and 28.1% at the highest and lowest levels in the formation scenario of 20 UAVs, respectively. The arrival delay of mission-critical messages is reduced by 45.2% to 51.6%. During the mission execution, the energy loss of a single UAV is reduced by 17.5% overall, and the loss per node is reduced by 16.1% on average.

Design of robust controller for single outrigger of vibration active isolation platform based on LPV
TANG Yucong, ZHU Qinghua, LIU Fucheng, CAO Heyang
2023, 49(7): 1796-1801. doi: 10.13700/j.bh.1001-5965.2021.0513
Abstract:

When the control moment gyro (CMG) is used to achieve agile attitude maneuvering control, the mechanical CMG vibration should be effectively isolated after the maneuvering is in place to achieve high-stability attitude control, while the rapid response of the control output torque is ensured during the maneuvering. This paper presents a design of outrigger controller for CMG vibration isolation platform based on linear parameter varying (LPV), setting the angular velocity of the CMG outer frame as a variable parameter. A comparison with other active vibration isolation methods demonstrates better performance of the design in different mechanical transmission requirements for the vibration isolation platform during agile attitude maneuvering and after the maneuvering in place.

Double-loop surrogate model for time-dependent reliability analysis based on NARX and Kriging models
CHANG Zeming, LI Luyi
2023, 49(7): 1802-1812. doi: 10.13700/j.bh.1001-5965.2021.0541
Abstract:

Structural systems with dynamic output performance has gained more and more attention in engineering practice. However, most existing surrogate models for estimating time-dependent reliability of such systems only consider the effect of the random variables which are acting on the system at the current moment, but ignores their effect with time-dependent accumulation. Therefore, these models cannot give an accurate prediction for time-dependent reliability of the dynamic systems. To solve this problem. this paper proposes a double-loop surrogate model method for time-dependent reliability analysis based on the nonlinear autoregressive with exogenous input (NARX) model and Kriging model. In the inner loop of the proposed method, NARX model is used to describe the variation of the output response with time under given random input variables, which can accurately simulate the dynamic behavior of the system. In the outer loop, the Kriging model of the extreme value of the dynamic systems is built based on the random input samples and the corresponding extreme values predicted by the inner NARX model. The reliability of the time-varying structure system then can be easily obtained based on the outer Kriging model. Finally, the effectiveness and accuracy of the proposed method for reliability analysis of dynamic structural systems with fluctuating outputs is verified by three examples.

Conflict resolution algorithms for UAV low-altitude flight based on reachable set
YANG Jianhang, ZHANG Fubiao, WANG Jiang
2023, 49(7): 1813-1827. doi: 10.13700/j.bh.1001-5965.2021.0542
Abstract:

Aiming at the conflict resolution problem in unmanned air traffic management (UTM), real-time collision avoidance algorithms based on reachability set analysis are proposed. To assure the secure operation of unmanned aerial vehicles (UAV) in low-altitude urban environments with dense traffic flow, these algorithms can be deployed. Based on the relative motion between the UAVs, the collision avoidance problem is modeled as a dynamic game problem in the 2D horizontal airspace, further the key concept of the reachable set of the UAV can be analyzed and calculated using the level set method and optimal control theory. Aided by airborne sensors, a new collision avoidance strategy for each drone is proposed using information about drones and surrounding objects. The technique can safely resolve the conflict resolution problem in real-time with a smooth flight route, according to simulation findings from three examples in varied airspace settings, and it is also successful against both cooperative and non-cooperative UAVs.

Semantic segmentation of remote sensing images based on U-shaped network combined with spatial enhance attention
BAO Yintu, LIU Wei, LI Runsheng, LI Qin, HU Qing
2023, 49(7): 1828-1837. doi: 10.13700/j.bh.1001-5965.2021.0544
Abstract:

The performance of semantic segmentation based on deep learning still need to be improved when analyzing small-sized objects and object boundaries in remote sensing images. Aiming at this problem, we propose a U-shaped network (SGE-Unet). Firstly, the structure of the model is optimized to enhance the representation of feature. Secondly, we add the attention module of spatial group enhance to extract semantic information. Finally, the median frequency balance cross-entropy loss function is used to suppress the unbalanced distribution of classes. The experiment was conducted on two datasets and shows that the overall accuracy,mean interaction over union, $\overline F _{1} $, and Kappa of SGE-Unet are better than mainstream models. In experiments of the Vaihingen dataset, the interaction over union and F1 of the car reached 0.719 and 0.901, which were 16% and 11% higher than those of the model with the second-highest performance. The experimental results show that the proposed module greatly improves the segmentation of easily confused objects, small-sized objects, and object boundaries.

Stacking scheduling method for time-triggered messages in off-chip network
ZANG Guangjie, LI Qiao, WANG Tong, XIONG Huagang
2023, 49(7): 1838-1846. doi: 10.13700/j.bh.1001-5965.2021.0553
Abstract:

To ensure the strict time determinism of message transmission between avionics communication tasks, time-triggered (TT) communication methods are also applied to the off-chip interconnection network. When avionics tasks have multiple operation modes, the time-triggered schedules between chips belonging to different modes will overlap and occupy time slots. The stacking scheduling method for time-triggered messages in off-chip network, which can reduce the queuing delay of application layer messages due to the waiting TT time window, is proposed to improve the flexibility and efficiency of using network resources,. Simulation experiments show that compared with the super scheduling method, the stack scheduling method can reduce the total end-to-end delay of TT messages in the off-chip interconnection network and the average time slot occupancy rate of the link. For scenarios where the end-to-end delay time is long and the average link bearer message transmission is large, the effect of using the stack scheduling method to reduce the end-to-end delay is more significant.

Detection of debonding defect in CFRP laminates using infrared pulse thermal wave tomography
ZHONG Jiacen, XU Haojun, WEI Xiaolong, HAN Xinmin, CHANG Yipeng
2023, 49(7): 1847-1856. doi: 10.13700/j.bh.1001-5965.2021.0555
Abstract:

To achieve the three-dimensional tomography for detecting debonding defects of carbon fiber reinforced plastic (CFRP) laminates based on infrared pulse thermal wave imaging, consummate the out-field quantitative detection guarantee system, and improve the safety and reliability of laminates in service, research on infrared pulse thermal wave tomography method and detection technology is carried out. A specimen with artificial debonding defects was prepared, infrared pulse thermal wave imaging technology is employed to detect debonding defects. The transient response process of surface thermal signal in debonding and sound region and detection ability of infrared pulse thermal wave imaging are analyzed. Through reconstructed thermal signal difference between debonding and sound region based on logarithmic polynomial fitting, extreme time of thermal signal are calculated, and the change law of debonding region extreme time and defect state are analyzed;. Kernel fuzzy C-means clustering is used to classify extreme time array corresponding to the same defect depth, and the array average value is calculated as defect extreme time. Statistical relationship between the time and debonding region extreme time array is established to construct tomographic images sequence, and the corresponding defect depth is calculated. Three-dimensional visualization of debonding defects in laminate is achieved by isosurface drawing method. Research shows that infrared pulse thermal wave tomography can detect debonding defects of CFRP laminate. This method can accurately and reliably display distribution and morphology of internal defects in laminate. Maximum relative deviation between detected and actual defect depth is less than 15%, which has certain guiding significance for engineering application.

Uniform circular multiphase modulation correlation radiometer and its sensitivity analysis
CHEN Ruihou, LUO Jing, HU Anyong, MIAO Jungang
2023, 49(7): 1857-1863. doi: 10.13700/j.bh.1001-5965.2021.0560
Abstract:

A correlation radiometer structure with uniform multiphase modulation around the circumference is proposed in order to address the issue of decreased measurement accuracy caused by the operational amplifier’s offset drift and gain fluctuation in correlation radiometers. The measurement result is processed using the least square fitting method, which removes the influence of the operational amplifier’s offset drift on the measurement deviation. Based on the structure of the correlation radiometer and the noise statistical model, the expression of the temperature sensitivity of the uniform circular multiphase modulation correlation radiometer is computed, and the relationship between the system sensitivity and phase modulation order, gain fluctuation and phase shift error is analyzed. The analysis shows that with the increase of the modulation order, the influence of gain fluctuation and phase modulation error on the sensitivity becomes smaller, and the sensitivity of the uniform circular multiphase modulation correlation radiometer tends to the sensitivity of the ideal correlation radiometer.

Numerical study of wing gust response alleviation based on camber morphing trailing edge
WEI Rukai, DAI Yuting, YANG Chao, YU Siheng
2023, 49(7): 1864-1874. doi: 10.13700/j.bh.1001-5965.2021.0563
Abstract:

A mathematical model for gust response analysis is established for a wing with camber morphing trailing edges, and a simulation study of gust response alleviation is carried out. The computational fluid dynamics method is used to calculate the generalized unsteady aerodynamic force under the given dynamic morphing of the trailing edge, and the generalized aerodynamic force model under the dynamic deflection of the trailing edge is established based on the state observer method,. The panel method is used to calculate the generalized aerodynamic force caused by mode motion and gust, while the generalized predictive control (GPC) method is used in the design of gust alleviation control law. On this basis, the aerodynamic characteristics of the camber morphing trailing edge and the traditional hinged flap are compared. The simulation results show that the GPC method based on the camber morphing trailing edge can effectively alleviate the wing-tip acceleration response caused by gust, and the wing-tip acceleration reduction efficiency is 44.25%. The wing with morphing trailing edge has a more continuous pressure distribution on the upper and lower surfaces, a greater impact on the aerodynamics, and higher acceleration reduction efficiency. The use of camber morphing trailing edges for gust alleviation has a broader application prospect.