2025 Vol. 51, No. 6

Display Method:
Volume 6 Issue E-journal
Volume 51 Issue62025
iconDownload (83976) 392 iconPreview
Overview of low-altitude intelligent networked system
ZHANG Xuejun, LIU Fawang, ZHANG Zuyao, TIAN Ye
2025, 51(6): 1793-1815. doi: 10.13700/j.bh.1001-5965.2025.0060
Abstract:

Recently, the Low-Altitude Industry Alliance released the Reference Architecture of the Low-Altitude Intelligent Networked System (2024 Edition) report, which outlines the basic content of the developmental evolution stages, components, and system framework of the low-altitude intelligent networked system. This document provides a reliable reference and foundation for the development of the low-altitude intelligent networked system. However, as a framework-based report, the report focuses on presenting the key components of the low-altitude intelligent networked system in the most concise and precise manner, lacking detailed descriptions of the underlying scientific methods, theoretical foundations, and implementation approaches. This paper comprehensively elaborates on the current state of development, design concepts, system logic, and key technologies of the low-altitude intelligent networked system based on the report. It aims to further analyze and interpret the content of the report, providing a scientific theoretical reference for the subsequent development and construction of the low-altitude intelligent networked system.

Study progress of gap sealing structure for aircraft movable wing
CHENG Xiaoquan, CAI Moquan, WANG Songwei
2025, 51(6): 1816-1823. doi: 10.13700/j.bh.1001-5965.2023.0397
Abstract:

The gap between the main wing surface and the movable wing surface might have a certain impact on the flight performance of the aircraft. The application of the gap-sealing structure will improve the surface smoothness of the wing while achieving effects such as increasing lift, reducing drag, and optimizing operation. This article compares various sealing structure design forms and divides them into two categories: relying on materials and relying on mechanisms. The benefits and drawbacks of each category are examined.The sealing structure products of several aviation parts companies are compared. Analysis is done on intricate designs like wear-resistant free ends. Design suggestions are provided at last, such as rapid disassembly and repair, limitation for the range of the structural stiffness, and a combination of simulation and experiment while designing.

Research progress on transmission performance of special vehicle based on power loss characteristics analysis
GAO Qinhe, GAO Lei, LIU Zhihao, WANG Dong, MA Dong, ZHANG Yibo
2025, 51(6): 1824-1842. doi: 10.13700/j.bh.1001-5965.2023.0413
Abstract:

A vehicle transmission system is a power transmission device between the engine and wheel load. As the connection hub of the power system, walking system and braking system, it ensures the mobility and safety of special equipment in combat tasks. Firstly, it was demonstrated that transmission efficiency was an important technical index to evaluate the transmission system performance from four aspects: structure characteristics, power transmission characteristics, energy flow characteristics and vehicle dynamic characteristics. Second, the transmission system’s global power loss model framework was developed from the standpoint of generation mechanism and structural features based on the relationship analysis between power loss and transmission efficiency. This gave the transmission system performance characterization a theoretical foundation. Then, the research difficulties and emphases of vehicle transmission system power loss were summarized from three aspects: theoretical numerical study, simulation study and experimental demonstration study. It was noted that the experimental study of large mechanical equipment under complex operating conditions and the simulation analysis of multi-media and multi-parameter couplings can offer guidance for the matching design of the transmission system, performance evaluation, and health management of vehicle transmission components. Finally, it is considered that the comprehensive transmission efficiency analysis under multi-factors and the coupling research of power loss characteristics, efficiency characteristics and performance degradation characteristics based on intelligent algorithms have practical engineering significance for the performance monitoring and evaluation of large machinery equipment.

Human-robot physical interaction control method based on iterative optimal impedance
LIU Weirong, WEI Zifeng, JIN Zhenbing, MENG Jiahao, WANG Xingkun, ZHANG Haochen
2025, 51(6): 1843-1851. doi: 10.13700/j.bh.1001-5965.2023.0314
Abstract:

In order to improve the accuracy and compliance of human-robot physical interaction and achieve optimal interaction performance, a human-robot physical interaction control method based on iterative optimal impedance was proposed to solve the problem that iterative learning-based impedance control method needs to repeat the same task many times. The proposed method draws on the mechanism by which iterative optimal control can optimize cost function to determine optimal control input to the system without information of the system matrix. A double-loop control structure was used for the proposed control method. An iterative optimal impedance controller (IOIC) was designed for a task-oriented outer loop. The problem of determining optimal impedance parameters was described as a linear quadratic regulator problem, which utilized iterative optimal control to find optimal feedback gain and minimize cost function including tracking error and interaction force. Robot jitter caused by parameter mutations was avoided by introducing soft auxiliary functions. A nonsingular terminal sliding mode trajectory tracking controller (NTSMTC) was used in the inner loop of the robot to make the actual trajectory of the robot track impedance trajectory output by the outer loop, and the chattering of control law was eliminated by saturation function. Simulation results prove that the proposed method can obtain optimal impedance parameters only by using interactive information in the initial stage of the task once in a human-robot collaborative task, so as to minimize the trajectory tracking error and the force consumed by the human during the task.

SAR image coherence speckle suppression method based on edge-guided dual-branch network
ZHU Lei, YAO Tongyu, CHE Chenjie, YAO Lina, ZHANG Bo, PAN Yang
2025, 51(6): 1852-1862. doi: 10.13700/j.bh.1001-5965.2023.0322
Abstract:

In order to further improve the coherence speckle suppression and edge preservation performance of synthetic aperture radar (SAR) images by deep learning methods, a coherence speckle suppression method based on edge-guided dual-branch network was proposed. The method constructed a new speckle suppression network model, which consisted of an edge information extraction block and a dual-branch speckle suppression network. Firstly, a dense cascade strategy was used to build the edge information extraction block to enhance the edge perception capability of the model. Secondly, the channel attention-based residual despeckling network (CARNet), the mixed attention-based enhanced despeckling network (MAENet), and the multi-branch parallel based multi-scale feature fusion block (MPMFFB) were used to form a dual-branch speckle suppression network, so as to better preserve edge details while suppressing coherence speckles. The experimental results show that the proposed method has better coherence speckle suppression and edge preservation performance compared with recent state-of-the-art methods such as SAR-Transformer and HTNet. For the simulated SAR images, the peak signal to noise ratio, structural similarity index measure, and edge preserve index are improved by 0.96 dB, 2.60%, and 0.60% on average, respectively. For the real SAR images, the equivalent number of looks is improved by more than 14.12%, and the edge preserve index is improved by 4.52% on average.

Improved MRF rail surface defect segmentation method based on fusion of clustering features
MIN Yongzhi, LIU Yang
2025, 51(6): 1863-1872. doi: 10.13700/j.bh.1001-5965.2023.0336
Abstract:

In view of the characteristics of the small number and many types of rail defect samples, unstable transfer learning effect in real scenes, and threshold segmentation susceptible to environmental factors, an improved Markov defect segmentation method with zero samples was proposed. Firstly, the collected data was processed using Gabor functions to highlight defect features and reduce data dimensionality, resulting in a reduced dimensionality feature map. To mitigate the effects of glare and shadows, the feature map was subjected to Kmeans clustering to reduce data distribution. The clustering results were then used as a pre-classification matrix. Based on the reduced dimensionality feature map and the pre-classification matrix, a two-layer graph model of the improved Markov random field (MRF) was constructed for inference. The model analyzed the local geometric structure of the defect area by using the eigenvalues of the classification matrix inferred by the model. Finally, the defect regions were labelled, and the defect segmentation was completed. In the experimental part, a self-sampled dataset was used to draw the final conclusion through comparative and ablation experiments. The experimental results show that the proposed method achieves pixel accuracy, mean pixel accuracy, weighted intersection over union, and mean intersection over union of 93.6%, 80.7%, 89.4%, and 68.2%, respectively, on the self-sampled dataset, surpassing the accuracy of other comparative detection algorithms.

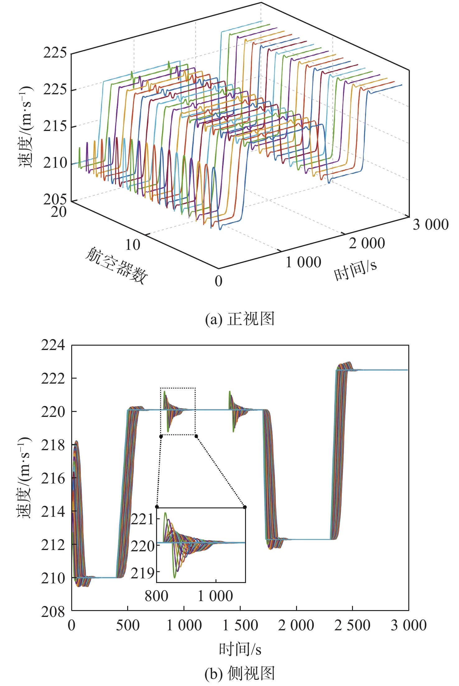
Aircraft multi-velocity difference car-following model based on flight networking operation
WANG Lili, ZHAO Yunfei, GUO Weimeng
2025, 51(6): 1873-1881. doi: 10.13700/j.bh.1001-5965.2023.0340
Abstract:

In order to improve the stability of air traffic flow, this study investigated an aircraft multi-velocity difference car-following model considering offsets based on the characteristics of flight networking operations. Firstly, to quantitatively describe the influence of offsets between aircraft on the car-following behavior, the concept of offset hindrance was introduced, and the relationship between offset and the velocity of the leading aircraft was established, extending the car-following model to a three-dimensional mode. Secondly, by considering the multi-aircraft information interaction mode in the flight networking environment, a multi-velocity difference aircraft car-following model was constructed, and stability analysis methods were applied to derive the stability discrimination conditions and calculate the steady-state traffic capacity of the proposed model. Finally, based on the parameter calibration of the model, numerical simulation experiments were designed by using the multi-velocity difference car-following model considering three leading aircraft. The results show that the hindrance effect decreases as the offset increases, and for the same offset value, heavy aircraft have the highest hindrance effect while light aircraft have the lowest hindrance effect. The proposed model has a better stable region compared to traditional models, and the stability of the proposed model improves with an increase in the number of leading aircraft and the weight coefficient. Under the same parameter values, the fuel consumption coefficient of the proposed model is lower than that of the traditional car-following model, and when the sensitivity coefficient is set to 1 s−1, the fuel consumption coefficient decreases by 27.12%. Numerical simulations demonstrate that the aircraft multi-velocity difference model contributes to improving the stability of air traffic flow and reducing fuel consumption.

Artificial gorilla troops optimizer based on double random disturbance and its application of engineering problem
DU Xiaoxin, HAO Tianru, WANG Bo, WANG Zhenfei, ZHANG Jianfei, JIN Mei
2025, 51(6): 1882-1896. doi: 10.13700/j.bh.1001-5965.2023.0404
Abstract:

Traditional artificial gorilla troops optimizer (GTO) has the drawbacks of easily falling into local optimum, slow convergence speed, and low optimization accuracy. Aiming at these problems, an artificial gorilla troops optimizer based on a double random disturbance strategy (DGTO) was proposed. Firstly, the Halton sequence was introduced to initialize the population to increase the diversity of the population. Secondly, the method’s convergence speed was increased by using the multi-dimensional random number technique during the algorithm optimization stage and proposing an adaptive position exploration mechanism. Thirdly, a double random disturbance strategy was proposed, which solved the group effect of gorillas and enhanced the ability of the algorithm to jump out of the local optimum. Finally, the individual position was updated by a dimension-by-dimension update strategy, which improved the convergence accuracy of the algorithm. It is evident that the enhanced technique has a greater improvement in optimization accuracy and convergence speed when comparing the Wilcoxon rank sum test results with the optimization results of ten benchmark test functions. In addition, through the experimental comparative analysis of one practical engineering optimization problem, the superiority of the proposed algorithm in dealing with practical engineering problems is further verified.

Sliding mode control of magnetic levitation ball systems based on a high-gain disturbance observer
LIN Junting, CHEN Xinzhou
2025, 51(6): 1897-1906. doi: 10.13700/j.bh.1001-5965.2024.0518
Abstract:

Using a high-gain disturbance observer(HGDO), a self-adaptive nonsingular terminal sliding mode control (ANTSMC) approach is devised to solve the issue of control performance degradation in magnetic levitation ball systems caused by modeling errors and unknown disturbances. First, a model of the maglev ball system is developed and the model is linearized at the equilibrium point. Then, to weaken the chattering of the sliding mode controller and guarantee the finite-time convergence of tracking errors, an adaptive nonsingular terminal sliding mode controller is designed. To estimate the lumped disturbance, a high-gain disturbance observer is employed. Theoretical convergence findings demonstrate that the suggested high-gain disturbance observer may rapidly converge to an adjustable neighborhood of real disturbance values. Adaptive nonsingular terminal sliding mode control law with disturbance compensation is designed based on the disturbance estimation, the system is proven globally uniformly and ultimately bounded under the control law. According to simulation and quantitative analysis, the system's robustness under the same control method is improved when the controller with a high-gain disturbance observer lowers the integral time squared error(ITSE)value by 75% and the integral time absolute error(ITAE) value by 60% for the total disturbance observation error when compared to the controller with a generalized proportional-integral observer.

Risk assessment of landing phase exceedance based on QAR data and association rule
WANG Lei, ZHANG Nan, GAO Shan
2025, 51(6): 1907-1915. doi: 10.13700/j.bh.1001-5965.2023.0402
Abstract:

The monitoring and analysis of exceedance events within the flight operation quality assurance (FOQA) program is one of the crucial ways to identify potential risks in flights. However, existing methods lack comprehensive consideration for the interrelationships between various exceedance events, thereby failing to systemically quantify the risks associated with several interdependent events. This study introduces a risk assessment method for landing exceedance events by integrating association rule mining and quick access recorder (QAR) data. Firstly, based on the frequency of exceedance events and the findings of an expert survey conducted during the approach and landing phases of 9 799 flight segments, six exceedance events were found to be indicators of risk assessment: high normal acceleration at landing, low pitch at landing, long landing, excessive bank angle below 50 m, high speed below 50 m, and high descent rate (152~15 m). Secondly, we calculated the possibility and severity of the six indicators based on their correlations and deviations, respectively. Subsequently, a risk assessment model for landing was constructed using the cloud model. Lastly, the real QAR data were used to verify the model. The results can differentiate risk levels associated with specific exceedance events. In order to improve flight safety supervision and operational efficiency, this model offers a useful method for evaluating the exceedance risk during the landing phase.

Performance study on bonding strength of radome based on cohesive zone model
HOU Baojiang, WANG Jiao, XING Yufeng, ZHANG Fei, LI Yanxi
2025, 51(6): 1916-1925. doi: 10.13700/j.bh.1001-5965.2023.0790
Abstract:

The radome and aircraft are often connected by adhesive bonding and auxiliary connection. With the development of aircraft technologies, higher requirements are raised by severe thermo-mechanical environments for the properties of bonding structure during flight. In practical engineering applications, the linear elastic constitutive model is usually used as the constitutive model of adhesives for analysis. The calculation results often greatly deviate from the actual bearing capacity, and it is difficult to accurately simulate the mechanical behavior of the related bonding structures. The frequently used bilinear cohesive constitutive model was employed in this paper. First, the constitutive model was calibrated by the test results of the actual performance of the adhesive. Then, the effectiveness of the model under a complex stress environment was further verified by the performance test of the actual bonding structure at the level of the surface plate. The verified constitutive model was used to analyze the bonding strength for aircraft-level radome, and the results were compared with the actual test results. The calculation accuracy of the model was verified, which provided an effective way for accurately predicting the bonding strength of similar structures in the future.

Dual-phase scheduling of apron support vehicles considering multi-vehicle coordination
JIANG Yu, ZHANG Shimiao, CHEN Mingyang, ZHANG Wenjing, WU Weiwei
2025, 51(6): 1926-1934. doi: 10.13700/j.bh.1001-5965.2023.0405
Abstract:

The coordination restrictions of several apron support services and dynamic flight information have resulted in increased operational demand on large airport apron support vehicles and more difficulties with vehicle scheduling. Considering the difference of vehicle operation constraints in three different modes of continuous operation, capacity-limited continuous operation and round-trip operation, a multi-vehicle cooperative apron support vehicle scheduling model is established with the goal of minimizing the number of vehicles and the total driving distance. The model is solved in two stages according to the actual operation of the airport. In the static stage, a local search non-dominated corting genetic algorithms Ⅱ (LS-NSGA II) algorithm integrating local search is designed. In the dynamic stage, a similar neighborhood search algorithm is designed. The static results show that the number of vehicles and the total driving distance are reduced by 18.9% and 8.9% respectively compared with the first-come-first-served. In comparison to the big neighborhood search technique, the dynamic results can keep the number of cars in the static scheduling plan while reducing the adjusted driving distance by 25.8%. The research results can provide a certain guiding significance for the scheduling management and decision-making of large airport apron support vehicles.

Performance degradation modelling of civil aviation engines based on component characteristic map optimization
GUO Qing, HUANG Qilian, CHEN Jinliang
2025, 51(6): 1935-1945. doi: 10.13700/j.bh.1001-5965.2023.0341
Abstract:

In order to provide a theoretical basis for the gas path performance degradation of civil aviation engines at the module level, the CFM56-3 engine was taken as the research object. Firstly, the characteristic map scaling method was used to obtain the component characteristic equations, and the selection process of the general fan characteristic map scaling reference point was optimized. A characteristic map surface fitting method was proposed to construct an engine component-level benchmark performance model that conformed to specific speed conditions under steady-state operating mode. Then, by introducing fault factors to generate a fault coefficient matrix, the deviation of engine monitoring parameters with the decrease in component efficiency was calculated and compared with the fingerprint diagram data in the General Electric Company training manual. The results show that the engine steady-state performance model integrating fan characteristic map scaling reference point optimization and characteristic map surface fitting methods has good accuracy and application prospects in gas performance degradation analysis.

MRI reconstruction based on geometry distillation and feature adaptation
DUO Lin, REN Yong, XU Boyu, YANG Xin
2025, 51(6): 1946-1954. doi: 10.13700/j.bh.1001-5965.2023.0323
Abstract:

Although the existing compressed sensing-magnetic resonance imaging (CS-MRI) methods based on deep learning have achieved good results, the interpretability of these methods still faces challenges, and the transition from theoretical analysis to network design is not natural enough. In order to solve the above problems, this paper proposed a deep dual-domain geometry distillation feature adaptive network (DDGD-FANet). The deep unfolding network iteratively expanded the MRI reconstruction optimization problem into three sub-modules: data consistency module, dual-domain geometry distillation module, and adaptive network module. It could compensate for the lost context information of the reconstructed image, restore more texture details, remove global artifacts, and further improve the reconstruction effect. Three different sampling modes were used in the public dataset. The results show that DDGD-FANet achieves a higher peak signal-to-noise ratio and structural similarity index in all three sampling modes. At the Cartesian 10% compressed sensing(CS )ratio, the peak signal-to-noise ratio is increased by 5.01 dB, 4.81 dB, and 3.34 dB, respectively, higher than that of iterative shrinkage-thresholding algorithm (ISTA)-Net +, fast ISTA (FISTA)-Net, and DGDN models.

Visual tracking algorithm based on multi-attention and dual-template update
MA Sugang, SUN Siwei, HOU Zhiqiang, YU Wangsheng, PU Lei
2025, 51(6): 1955-1964. doi: 10.13700/j.bh.1001-5965.2023.0334
Abstract:

To address the problem of insufficient representational capability and lack of online update of the fully-convolutional Siamese network (SiamFC) tracker in complex scenes, this paper proposed a visual tracking algorithm based on multi-attention and dual-template update. First, the feature extraction network was constructed by replacing AlexNet with the VGG16 network, and SoftPool was used to replace the maximum pooling layer. Secondly, the multi-attention module (MAM) was added after the backbone network to enhance the network’s ability to extract object features. Finally, a dual template was designed for feature fusion and response map fusion, and average peak-to-correlation energy (APCE) was used to determine whether to update the dynamic templates, which effectively improved the tracking robustness. The proposed algorithm was trained on the GOT-10k dataset and tested on the OTB2015, VOT2018, and UAV123 datasets. The experimental results show that, compared with the benchmark algorithm SiamFC, the tracking success rate of the proposed algorithm is increased by 0.085 and 0.037, and the accuracy is increased by 0.118 and 0.058 on the OTB2015 and UAV123 datasets, respectively. On the VOT2018 dataset, the tracking accuracy, robustness, and expected average overlap (EAO) are improved respectively by 0.030, 0.295 and 0.139. The proposed algorithm achieves high tracking accuracy in complex scenes, and the tracking speed reaches 33.9 frame/s, which meets the real-time tracking requirements.

Dynamic modelling of angular contact ball bearings with local defects under EHL considering impact force
LEI Chunli, XUE Wei, FAN Gaofeng, SONG Ruizhe, LIU Kai
2025, 51(6): 1965-1977. doi: 10.13700/j.bh.1001-5965.2023.0335
Abstract:

In order to precisely analyze the operating status of angular contact ball bearings (ACBBs) with local defects and response to the impact force caused by bearing lubrication and defects in the traditional model, a dynamic model of ACBBs with local defects considering impact force under elastohydrodynamic lubrication (EHL) conditions was proposed. Firstly, an EHL model for defective bearings considering spin was established, and the oil film thickness and oil film stiffness of the defective bearings were calculated. Time-varying displacement excitation model and time-varying stiffness model for local defects in ACBBs were presented. On this basis, an instantaneous impact force function related to defect size and bearing speed was established. Secondly, based on Hertz contact theory and impact force function, a dynamic calculation method for ACBBs with local defects on the outer ring was proposed. Finally, the vibration characteristics of ball bearings with faults were investigated, and the influence of different parameters on the dynamic response of the bearings was analyzed through experiments. The calculation results show that under lubrication conditions, the impact force on the vibration of the bearing is significantly weakened. With the increase in defect size and load, the frequency of bearing fault characteristics remains unchanged, but its amplitude increases. As the bearing speed increases, the characteristic frequency and amplitude of bearing faults increase, providing a powerful basis for fault diagnosis and maintenance of rolling bearings.

DPC algorithm based on K-reciprocal neighbors and kernel density estimation
ZHOU Yu, XIA Hao, LIU Hongyu, BAI Lei
2025, 51(6): 1978-1990. doi: 10.13700/j.bh.1001-5965.2023.0342
Abstract:

Clustering by fast search and find of density peaks (DPC) algorithm is a density-based clustering algorithm that does not require iteration or too many parameter settings. However, it fails to identify cluster centers with low cluster density because the local structure of data is not considered when computing local density. To solve this problem, a DPC algorithm based on K-reciprocal neighbors (KN) and kernel density estimation (KDE), called KKDPC was proposed. The number of KN and local kernel density of data points were obtained using the k-nearest neighbor and KDE methods. The number of KNs and local kernel density were weighted to obtain the new local density. The relative distance of data points was obtained based on their local density, and cluster centers and non-center points were selected based on the decision graph. Experiments were conducted on artificial and real datasets and compared with seven clustering algorithms including DPC, density-based spatial clustering of applications with noise (DBSCAN), K-means, fuzzy C-means clustering (FCM), DPC based on K nearest neighbors (DPC-KNN) algorithm, DPC with nearest neighbor optimization (DPC-NNO) algorithm, and DPC-FWSN algorithm. The performance of the KKDPC algorithm was verified by calculating the adjusted mutual information (AMI), adjusted Rand index (ARI), and normalized mutual information (NMI). The experimental results show that the proposed KKDPC algorithm can accurately identify cluster centers and improve clustering accuracy effectively.

Ice crystal particles melting characteristics in a low-pressure compressor
JIA Wei, ZHANG Feng, YANG Bowen, ZHENG Miao
2025, 51(6): 1991-2003. doi: 10.13700/j.bh.1001-5965.2023.0326
Abstract:

The melting of ice crystals in the compressor leads to ice formation on the blades. It is of great significance to analyze the ice crystal melting characteristics to study the ice crystal icing in the compressor. Based on the one-dimensional aerodynamic characteristics of the compressor, a rapid method for calculating the ice crystal melting ratio was developed and validated. A low-pressure compressor of a turbofan engine with a large bypass ratio was selected to study the influence of ice crystal size and ambient temperature on the ice crystal melting characteristics at the same particle size. The results show that the initial position of ice crystal melting tends to move to the rear stage of the low-pressure compressor with the increase in ice crystal size, and the decrease in ice crystal size or the increase in ambient temperature leads to the increase in ice crystal melting ratio. On this basis, the hypothesis of spherical ice crystals with equal particle size is broken through, and the influence of sphericity of non-spherical ice crystals and the particle size distribution of spherical ice crystal on the melting characteristics were analyzed by considering ice crystal shape and particle size distribution. The results demonstrate that the sphericity has an effect on the ice crystal melting ratio within a certain range. When the sphericity is between 0.710 and 0.958, the ice crystal melting ratio decreases with the increase in sphericity. Compared with the sphericity, the equivalent diameter of non-spherical ice crystals has a more significant effect on the ice crystal melting ratio. When the mean volume diameter (MVD) of the ice crystal is constant, the difference in particle size distribution leads to the maximum deviation of 20.5% in the ice crystal melting ratio at the same position in the compressor. For the particle size distributions with the same MVD but different coefficients of variation, in the front half of the ice crystal melting characteristic curve, the melting of small-sized ice crystals is dominant, and the particle size distribution with a larger coefficient of variation has a relatively higher melting ratio. However, in the latter part, the melting of large-sized ice crystals is dominant, and the particle size distribution with a smaller coefficient of variation has a relatively higher melting ratio.

Configuration and calculation evolution mechanism of air data system for aircraft
XIONG Liang, ZHANG Rui, XU Bin, HUANG Qiaoping
2025, 51(6): 2004-2013. doi: 10.13700/j.bh.1001-5965.2023.0339
Abstract:

The air data sensing system provides the necessary parameters for aircraft flight control, delivery and trajectory control, such as static pressure, total pressure, angle of attack, and sideslip angle. The inter-generation development of aircraft has induced the evolution of the basic element acquisition method for parameter calculation of air data sensing systems from direct type to decoupled extraction. This paper summarized and refined the configuration and development history of the air data sensing system and systematically analyzed the causes and processes of configuration evolution for the air data sensing system, the principle of air parameter calculation model, the diagnosis and detection process of fault air parameters, and system reconstruction model. It also summarized the key research directions for configuration and parameter solution design of air data sensing systems for aircraft in the future.

Anti-stain method of satellite-borne absolute-to-be optical encoder
HAN Qingyang, SHEN Honghai, MA Tianxiang, LIANG Chao, WANG Zhichong
2025, 51(6): 2014-2021. doi: 10.13700/j.bh.1001-5965.2024.0194
Abstract:

In order to improve the pollutant resistance of satellite-borne absolute-to-be optical encoder, a method based on multiple references and probes is proposed. First, the composition and circuit design of the satellite-borne absolute-to-be optical encoder was introduced. Second, the data from several probes was combined and references were utilized to differentiate absolute angle shift. This solved the problem which is caused by contaminated circle grating. At last, angular curve and velocity were employed to prove this. The accuracy is tested using autocollimation and a 23-surface polyhedron. The outcome demonstrates its effectiveness. The biggest error is 4.6", the smallest error is −0.6", the pink is 5.2", and the RSME is 4.3". This method could meet the requirements and has been successfully applied in engineering. The proposed method has practical value for improving the oil pollution resistance of spaceborne quasi-absolute optical encoders.

Self-supervised learning for community detection based on deep graph convolutional networks
WANG Zaisheng, WANG Xiaofeng, SHEN Guodong, ZHANG Zengjie, QUAN Daying
2025, 51(6): 2022-2032. doi: 10.13700/j.bh.1001-5965.2023.0408
Abstract:

To alleviate the excessive dependence of graph neural networks on prior knowledge in community discovery and improve recognition accuracy, a novel self-supervised learning model for community detection based on a deep graph convolutional network (GCN) is proposed. The model makes full use of the semantic features of a small number of nodes and obtains pseudo-labels of unknown nodes through a semantic alignment mechanism, and thus introduces a self-supervised module to alleviate the dependence on a large number of prior labels during the training of GCN. Furthermore, by stacking self-supervised modules, a deep graph self-supervised learning model is built to increase the accuracy of community detection by obtaining the global information of networks. Two strategies, identity mapping and initial residual, are employed to address the over-smoothing issues that the deep model introduces. According to experiments conducted on publicly available datasets, the suggested approach outperforms current models in terms of community recognition accuracy when a limited number of prior labels are used and the model depth is increased.

Limit cycle oscillation suppression of an airfoil based on sliding mode control law
WANG Shiqi, ZHANG Zheng, SONG Chen, YANG Chao, ZHENG Yanwu
2025, 51(6): 2033-2040. doi: 10.13700/j.bh.1001-5965.2023.0376
Abstract:

Limit cycle oscillation happens in airfoil systems with freeplay nonlinearity within a specific velocity range. Because the traditional linear control law’s limit cycle suppression effect is typically insignificant and its robustness is insufficient, a corresponding nonlinear control law must be designed in order to improve the system’s control effect and robustness. According to this article, the limit cycle speed range is optimized between 11.4−16.9 m/s and 12.9−19.2 m/s. The linear quadratic regulartor (LQR) control law is created for the 2D airfoil aeroelastic system with freeplay nonlinearity. At the same time, the sliding mode control law (SMC) is designed for the 2D airfoil aeroelastic system with freeplay nonlinearity above, it shows that the speed range of the limit cycle is optimized from 11.4−16.9 m/s to 29.4−39.3 m/s. The result of the calculating example shows that the SMC law is better than that of LQR for nonlinear systems in this paper.

Performance test and constitutive model selection of diaphragm materials in hot diaphragm forming
ZHAO Yueqing, LIN Dezhi, CHEN Hui, TANG Jiali, CHEN Ping
2025, 51(6): 2041-2050. doi: 10.13700/j.bh.1001-5965.2023.0350
Abstract:

The selection of the diaphragm constitutive model is directly related to the precision of hot diaphragm forming simulation. In order to analyze the applicability of five hyperelastic constitutive methods to different diaphragm materials, uniaxial tensile tests were carried out on two different types of diaphragm materials (nylon diaphragm and silicone rubber diaphragm) at different temperatures, and the performance differences of the two types of materials were analyzed by stress-strain curves, fracture elongation, and modulus. Five hyperelastic constitutive models were used to fit the data of diaphragm materials in the uniaxial tensile tests, and the data were compared with the simulation data of the uniaxial tension and hot diaphragm forming process of the diaphragm materials. The results indicate that the rubber diaphragm material has a greater fracture elongation than the nylon diaphragm, but its modulus is much smaller than the nylon diaphragm material. The Ogden, Polynomial (N = 2), and Marlow models have a high degree of fit for uniaxial tensile data of nylon and rubber diaphragms. However, the Yeoh model has a low degree of fit for uniaxial tensile data of nylon diaphragms but a high degree of fit for rubber diaphragms. Mooney-Rivlin model fails to accurately reflect the stress-strain relationship of hyperelastic material under large deformation, and the degree of fit of uniaxial tensile data of two diaphragm materials is relatively low. The Ogden and Polynomial (N = 2) models established based on uniaxial tensile data exhibit excessive stiffness during the simulation of hot diaphragm forming, while the Marlow model has high prediction accuracy.

Structure of highly dynamic pixel based on adaptive integral capacitance
LIU Suiyang, GUO Zhongjie, YU Ningmei, XU Ruiming
2025, 51(6): 2051-2059. doi: 10.13700/j.bh.1001-5965.2023.0349
Abstract:

Infrared image sensing technology has received widespread attention due to its advantages of not being affected by the environment, good target recognition, and strong anti-interference ability. However, with the improvement of the integration of the infrared focal plane, the constraints among the dynamic range, noise, and full well capacity of the photoelectric system are particularly prominent. Therefore, in order to solve the contradiction between noise in low light and full well capacity in strong light, in the 5T infrared pixel circuit, the relationship between the capacitance value and voltage of the inverse MOS capacitor in a specific voltage interval was used to automatically change the integral capacitance of the infrared image sensor from 6.5 fF to 37.5 fF, and a highly dynamic pixel structure based on adaptive integral capacitance was proposed. Based on 55 nm CMOS process technology, the performance parameters of an infrared sensor with a 12 288 × 12 288 pixel scale were studied. The research results show that a small-size pixel of 5.5 µm × 5.5 µm has a large full well capacity of 1.31 Me, and a variable conversion gain. The noise is less than 0.43 e, and the dynamic range is more than 130 dB.

Deep reinforcement learning intelligent guidance for intercepting high maneuvering targets
ZHANG Hao, ZHU Jianwen, LI Xiaoping, BAO Weimin
2025, 51(6): 2060-2069. doi: 10.13700/j.bh.1001-5965.2023.0375
Abstract:

An adaptive proportional navigation law with intelligent parameter adjustment by deep reinforcement learning is presented to address the issue of excessive miss distances and energy loss in the interception of moving targets using fixed coefficient proportional navigation law. First, a state space based on real-time flight states, an action space containing lateral and vertical gains, and a reward function model integrating different states is established. Meanwhile, a prediction-correction method is introduced to improve the accuracy of action evaluation in the model design of the reward function. Secondly, the soft actor-critic (SAC) algorithm is employed to train a network parameter and guidance parameter decision system that takes into account the miss distances and energy loss according to the relative motion states of the interceptor and the target. In comparison to traditional proportional navigation guidance, the simulation results demonstrate that the guidance technique has strong adaptability and can greatly minimize energy loss while retaining low miss distances.

Calculation and error analysis of kinematic accuracy reliability of VSV adjustment mechanism
YANG Yifeng, WANG Yi, LIU Aoyu, LI Jia, XIE Liyang
2025, 51(6): 2070-2080. doi: 10.13700/j.bh.1001-5965.2023.0410
Abstract:

A kinematic model considering joint clearance is developed for the variable stator vane (VSV) adjustment mechanism of an aero-engine. A reliability model of the mechanism’s kinematic accuracy is constructed considering the failure correlation among stator vanes, as well as the stochastic nature of driving errors, dimensional tolerances, and assembly clearances. Based on the BP neural network (BPNN) surrogate model, the mechanism’s reliability is evaluated through Monte Carlo simulation. The effects of the number of stator vanes and the failure threshold on the system’s reliability are investigated. Compared with the system model of the unit failure independent assumption and the complete correlation, the mechanism system kinematic accuracy reliability model considering failure correlation is more reasonable. Lastly, a method for estimating the complex system’s reliability error caused by surrogate model approximation is proposed, and the accuracy and credibility of the VSV adjustment mechanism’s reliability assessment are confirmed.

Reliability assessment and lifetime prediction for train traction system considering multiple dependent components
TIAN Guishuang, WANG Shaoping, SHI Jian
2025, 51(6): 2081-2090. doi: 10.13700/j.bh.1001-5965.2023.0797
Abstract:

The traction system, serving as the power core of urban rail transit trains, plays a crucial role in ensuring the safe operation of the trains. Reliability assessment and lifespan prediction are investigated in order to tackle the difficulties brought about by the traction system’s intricate structure and numerous failure types. The physics of failure model for motor demagnetization and insulated gate bipolar transistor (IGBT) are constructed. The degradation processes for those performance indicators are described by the Wiener process fusing failure mechanism while considering unit-to-unit variability. The Copula function is used to describe the dependent relationship between performance indicators. As for off-line parameter estimation, the Bayesian Markov chain Monte Carlo method estimates unknown parameters. As for online remaining useful life prediction, the algorithm combining Bayesian and expectation-maximization is implemented to update unknown parameters. The proposed model and algorithm are validated by the degradation data of the traction system. The results indicate that the reliability model considering the dependent relationship between the motor and IGBT improves the accuracy of reliability assessment. The remaining useful life prediction accuracy is improved by the parameter updating approach that combines Bayesian and expectation-maximization.

Spray ignition and blow-out boundary of centrally staged annular combustor
WANG Zhihui, ZHANG Chi, GAN Zhichao, GAO Anwen, HAN Xiao, TAO Wenjie
2025, 51(6): 2091-2098. doi: 10.13700/j.bh.1001-5965.2023.0352
Abstract:

An experimental study of an annular model combustor was conducted to investigate spray ignition and blow-out problems in a centrally staged annular combustor. In the annular model combustor composed of 16 centrally staged injectors, the spray ignition and blow-out process of aviation kerosene RP-3 was experimentally studied under atmospheric temperature and pressure. Within the range of 0.5%–3% of the pressure drop in the combustor, with the increase in the pressure drop, the fuel-air ratio of the ignition boundary first decreases and then increases, while the fuel-air ratio of the blow-out boundary gradually decreases and then remains constant. The research results show that the lean oil ignition boundary of the annular combustor can be significantly improved by installing the flow deflector at the injectors. The ignition and blow-out process of the annular combustor is recorded with a digital single lens reflex. The circumferential propagation of flame is similar under different pressure drops, and the flame propagation is circumferential asymmetry. The blow-out sequence of the injector is related to the fuel uniformity.

Modelling method for pedestrian safety behavior in shared road spaces of pedestrian-traditional vehicle-autonomous vehicle
WU Ruoyu, YANG Dezhen, REN Yi, JIA Lulu, LI Xiaobin, WANG Zili
2025, 51(6): 2099-2105. doi: 10.13700/j.bh.1001-5965.2023.0370
Abstract:

Under the development background that autonomous vehicles will share road resources with traditional traffic participants in the future, pedestrian safety behavior modelling in the shared road spaces of pedestrian-traditional vehicle-autonomous vehicle is crucial to the simulation development and reliability and safety testing of autonomous vehicles. To satisfy this demand, the safe movement behavior of pedestrians was analyzed firstly, and the traditional social force model of pedestrians was improved to build a momentum model of the interaction between pedestrians and other pedestrians, traditional vehicles, and autonomous vehicles in the shared road spaces. Then, a dataset of pedestrian-vehicle interaction motion and a genetic algorithm were adopted to calibrate the safety parameters of the model, and a typical shared road space scene was proposed to verify the effectiveness of the model. The simulation results indicate that the proposed model can simulate the safe movement behavior of pedestrians, and it has better effects in tasks such as shared road space simulation of pedestrian-traditional vehicle-autonomous vehicle.

Detection of typhoons and estimation of eye position using satellite-based GNSS-reflectometry
ZHEN Jiahuan, ZHU Yunlong, YANG Dongkai, ZHANG Guodong, WANG Feng
2025, 51(6): 2106-2118. doi: 10.13700/j.bh.1001-5965.2023.0395
Abstract:

The singularity of the delay-Doppler map (DDM) is the primary focus of study on typhoons using global navigation satellite system (GNSS) reflectometry. However, due to the presence of ambiguity functions, this singularity is blurred, which affects detection performance. The normalized bistatic radar cross section (NBRCS) is reconstructed from deconvolving DDM and mapped to the spatial domain, based on which the detection of typhoon events and estimation algorithm of eye position is studied. The distribution sequence of NBRCS in the spatial domain can be obtained by reconstructing the DDM time series in the typhoon field. A detector of typhoon features is defined, and a sliding window anomaly detection method based on the confidence interval distance radius is used to detect typhoon events. A typhoon eye position estimation algorithm is proposed, which matches the reconstructed spatial scattering coefficient with the model dataset through a model-matching algorithm to obtain the eye position. The findings demonstrate how the signal-to-noise ratio (SNR) affects the typhoon detection algorithm's detection performance, with higher SNRs indicating greater detection performance. When the SNR is 8, the area under curve (AUC) of the receiver operating characteristic (ROC) curve of the typhoon detection performance is 0.80. The average deviation of the eye position estimation under four SNRs does not exceed 0.3°, and the root mean square deviation does not exceed 0.6°.

Experimental study on beam characteristics of µHT-1 thruster under wide range adjustment of operating parameters
HUANG Dan, LONG Jianfei, CHENG Ye, WANG Jiabin, XU Luxiang, YANG Wei
2025, 51(6): 2119-2128. doi: 10.13700/j.bh.1001-5965.2023.0406
Abstract:

The beam properties of the micro Hall thruster µHT-1, which is intended for space gravitational wave detection, are being experimentally investigated for the first time. A Faraday probe combined with a three-dimensional mobile mechanism was used for diagnosis, and the beam ion current density distribution under a wide range of the anode voltage from 700 to 1200 V and the anode mass flow from 0.1 to 0.5 sccm was obtained. Moreover, the variation trend of total ion beam current, anode current, current utilization efficiency, beam divergence angle and other parameters were further analyzed. According to test data, the spatial distribution of beam ions changes from dense to sparse as one moves away from the axial direction of the µHT-1 thruster. Additionally, the beam becomes more flat due to the diffusion motion of beam ions in space and the binding motion of electrons and ions. The µHT-1 thruster can work stably under a wide range of conditions (anode voltage 700~1200 V, anode mass flow 0.1~0.5 sccm), and the beam current presents a good axis-symmetric distribution. With the increase of anode voltage, the average temperature of electrons can be increased, which further leads to the increase of ionization rate, that is, the current utilization efficiency increases from 53.4% to 67.7%; and the magnetic field restraint ability of high-energy electrons is weakened, affecting the electric field focusing, and the beam divergence angle increases from 41.3 ° to 56.1 °. With the increase of anode mass flow, the neutral atom density distribution in the channel is affected, the current utilization efficiency fluctuates in the range of 57.1 % ~ 66.8 %; and the ion collision zone is transferred to the outlet, making the beam divergence angle increase from 43.4 ° to 56.7 °. The total ion beam current of the thruster changes linearly with anode mass flow and anode voltage, which provides the data basis for the subsequent thrust wide range adjustment and thrust resolution analysis.

Effect of plasma excitation on aerodynamic characteristics of airfoil in Martian atmosphere
YANG Xianggang, GAO Yongxin, WANG Zhongming, LI Yiwen, YAO Cheng
2025, 51(6): 2129-2136. doi: 10.13700/j.bh.1001-5965.2023.0312
Abstract:

The aerodynamic characteristics of the airfoil for the Martian unmanned aerial vehicles (UAVs) need to be improved because of the low density and the low pressure in the Martian atmosphere. The active flow control technology with plasma excitation was used to enhance the airfoil lift and reduce the airfoil drag in the Martian atmosphere. Effects of plasma excitation positions, excitation power, and angle of attack on the lift and drag of the airfoil were studied at a low Reynolds number on Mars. It is found that the plasma excitation increases the airfoil lift in the region of the trailing edge of the lower surface with a maximum increase of 37% and reduces the airfoil drag in the region of the leading edge of the lower surface with a maximum drag reduction of 8%. The lift-drag ratio of the airfoil significantly raises when increasing the excitation power and decreasing the angle of attack. The pressure wave induced by the plasma excitation generates a pressurized zone and a depressurized zone in the upstream and downstream regions of the excitation, respectively. Therefore, pressurized and depressurized surfaces appear on the airfoil. When the excitation gets close to the trailing edge, the pressurized surface enlarges, which leads to a higher pressure difference across the upper and lower surfaces of the airfoil and increases the airfoil lift. When the excitation is located near the leading edge, the depressurized surface expands, which reduces the pressure difference of the airfoil and decreases the airfoil drag.

Design and optimization of warranty period of new products with two-parameter degradation
GAO Shuai, LI Yanhong, SUN Fuqiang
2025, 51(6): 2137-2147. doi: 10.13700/j.bh.1001-5965.2023.0316
Abstract:

Due to the lack of outfield failure data and historical warranty claim records of new products, it is difficult to carry out scientific and reasonable warranty cost prediction and warranty period optimization. Considering the interaction between the degradation processes of different product performance parameters, this paper proposed a method for the design and optimization of the warranty period of new products with two-parameter degradation based on Copula theory. Firstly, a single parameter performance degradation model was established according to the laboratory accelerated degradation test data. Copula theory was used to quantify the correlation between degradation processes. In addition, the outfield reliability model was given by quantifying the dynamic operating environment of the outfield. Secondly, the maintenance improvement factor model was used to quantify the imperfect maintenance situation in the process of maintenance, and the Monte Carlo simulation was employed to calculate the predicted number of product failures. Moreover, the warranty cost model was established. Then, the Glickman-Berger model was used to quantify the impact of the warranty period on product sales, and an optimization model of the warranty period was constructed to maximize the manufacturer’s profit. Finally, by taking a certain type of electronic component as an example, the design and optimization of the warranty period of products and sensitivity analysis were carried out to verify the validity and applicability of the model.

Aeroelastic optimization design of SpaRibs wing structure
ZHOU Quanzhi, YANG Youxu, SUN Lubin, ZHANG Xingcui, WU Yifei, HUO Mengwen
2025, 51(6): 2148-2156. doi: 10.13700/j.bh.1001-5965.2023.0343
Abstract:

Traditionally, the internal structure of aircraft wings is generally straight spars and ribs. The use of curvilinear spars and ribs (SpaRibs) can greatly broaden the design space of the aircraft wing structure and further improve the aeroelastic performance of the aircraft wing. Since the linked shape method (LSM) is not easy to automatically model, the projection mapping method was proposed to perform two space transformations to realize the automatic modelling of the SpaRibs. Based on genetic algorithm, an aeroelastic comprehensive optimization design method was proposed for aircraft wings with SpaRibs. The supersonic doublet-lattice method was used to calculate the unsteady aerodynamics, and the modal method was used for the static aeroelastic analysis. The optimal design was carried out by considering the flutter velocity and static aeroelastic deformation constraints. A comprehensive optimization design calculation example of a flying wing aircraft shows that the flutter velocity can be increased by 20.34% on the basis of a weight increase of 1.321% for a wing with a SpaRibs structure. The size parameters are further optimized on the basis of the SpaRibs configuration. Under certain constraints, the weight reduction is 21.76% compared with the initial configuration; the comprehensive (one-step) optimization of the SpaRibs configuration parameters and size parameters is combined, and the weight reduction can reach 26.44% compared with the initial configuration. The weight of the aircraft wing can be effectively reduced by combining SpaRibs design optimization and size optimization, which provides a fast and effective aeroelastic comprehensive optimization design method for the overall design of the flying wing aircraft structure.

On-board timekeeping method based on improved Kalman filter
HUANG Yue, WANG Huiquan, TU Shilei, JIN Zhonghe
2025, 51(6): 2157-2164. doi: 10.13700/j.bh.1001-5965.2023.0400
Abstract:

A new innovation-weighted adaptive Kalman filtering algorithm is proposed to improve system performance by addressing the issues of poor stability of the internal calibration punctual system of micro-nano satellites and low punctuality accuracy when large changes occur due to the influence of ambient temperature. A model of frequency change of temperature-compensated crystal oscillator with temperature is established, the Kalman filter algorithm is used to filter out the input noise and realize the calibration of the crystal oscillator model parameters, the input field value is filtered out by new innovation-weighted technology, and the influence of system noise on the filtering results is reduced by adaptive technology. The experimental results show that the algorithm can achieve the convergence of model parameters in about 600s and can be adjusted in real time during the calibration period. The influence of input field value and system noise can be successfully controlled throughout the calibration process; when the ambient temperature changes, the punctual accuracy can reach 178 μs/day. The proposed algorithm effectively improves the stability and punctual accuracy of the system.

Direct lift control technology of carrier aircraft landing based on reinforcement learning
LIU Rendi, JIANG Ju, ZHANG Zhe, LIU Xiang
2025, 51(6): 2165-2175. doi: 10.13700/j.bh.1001-5965.2023.0403
Abstract:

The direct lift control method of automatic landing based on Proximal Policy Optimization (PPO) algorithm was proposed to solve the problem that it is easy to touch ship due to disturbance of deck movement and carrier air wake during automatic landing of carrier aircraft. The PPO controller takes six state variables of pitch angle, height, flight path angle, pitch angle rate, height error and flight path angle rate as input and output as flap deflection angle, realizing the rapid response of carrier aircraft in different landing states of flight path angle. Compared with traditional PID controller, the Actor-Critic network in PPO controller greatly improves the calculation efficiency of control quantity, and also reduces the difficulty of parameter optimization. The simulation experiment in this paper is based on the dynamics/kinematics model of F/A-18 aircraft constructed in Matlab/Simulink. The intensive learning and training environment built on PyCharm platform is used to realize the data interaction between the two platforms through user datagram protocol (UDP) communication. The simulation results show that the proposed method has the characteristics of fast response speed and small dynamic error, and can stabilize the landing height error within ±0.2 m, with high control accuracy.

Energy consumption prediction of aircraft ground air conditioning based on ISCA-DBN
LIU Han, LIN Jiaquan
2025, 51(6): 2176-2184. doi: 10.13700/j.bh.1001-5965.2023.0409
Abstract:

An improved sine-cosine optimization (ISCA) deep belief network (DBN) prediction model for ground air conditioning energy consumption is suggested in order to increase the prediction accuracy of ground air conditioning energy consumption when the aircraft cabin is cooled by ground air conditioning. In contrast to the standard sine-cosine optimization algorithm, the improved sine-cosine algorithm introduces a cosine adjustment factor to create a new non-linear oscillation adjustment factor to balance the algorithm's overall performance. It also suggests an improved logistic chaotic map, which increases population diversity. In order to prevent the algorithm from reaching a local optimum, a learning technique based on the concept of mutation evolution is finally suggested.Search and local optimization capabilities; finally, a learning strategy is proposed based on the idea of mutation evolution to avoid the algorithm from falling into local optimum. The ISCA-DBN model is applied to the prediction of ground air-conditioning energy consumption of Boeing 737-800 aircraft, and the performance is compared with back propagation (BP)、support vector machine (SVM)、DBN algorithms. There is a certain improvement in both prediction accuracy and real-time performance.