Volume 51 Issue 6
Jun.  2025
Turn off MathJax
Article Contents
YANG Y F,WANG Y,LIU A Y,et al. Calculation and error analysis of kinematic accuracy reliability of VSV adjustment mechanism[J]. Journal of Beijing University of Aeronautics and Astronautics,2025,51(6):2070-2080 (in Chinese) doi: 10.13700/j.bh.1001-5965.2023.0410
Citation: YANG Y F,WANG Y,LIU A Y,et al. Calculation and error analysis of kinematic accuracy reliability of VSV adjustment mechanism[J]. Journal of Beijing University of Aeronautics and Astronautics,2025,51(6):2070-2080 (in Chinese) doi: 10.13700/j.bh.1001-5965.2023.0410

Calculation and error analysis of kinematic accuracy reliability of VSV adjustment mechanism

doi: 10.13700/j.bh.1001-5965.2023.0410
Funds:

National Science and Technology Major Project (J2019-Ⅳ-0002-0069)

More Information
  • Corresponding author: E-mail:diyuanyinian@163.com
  • Received Date: 24 Jun 2023
  • Accepted Date: 29 Aug 2023
  • Available Online: 08 Sep 2023
  • Publish Date: 06 Sep 2023
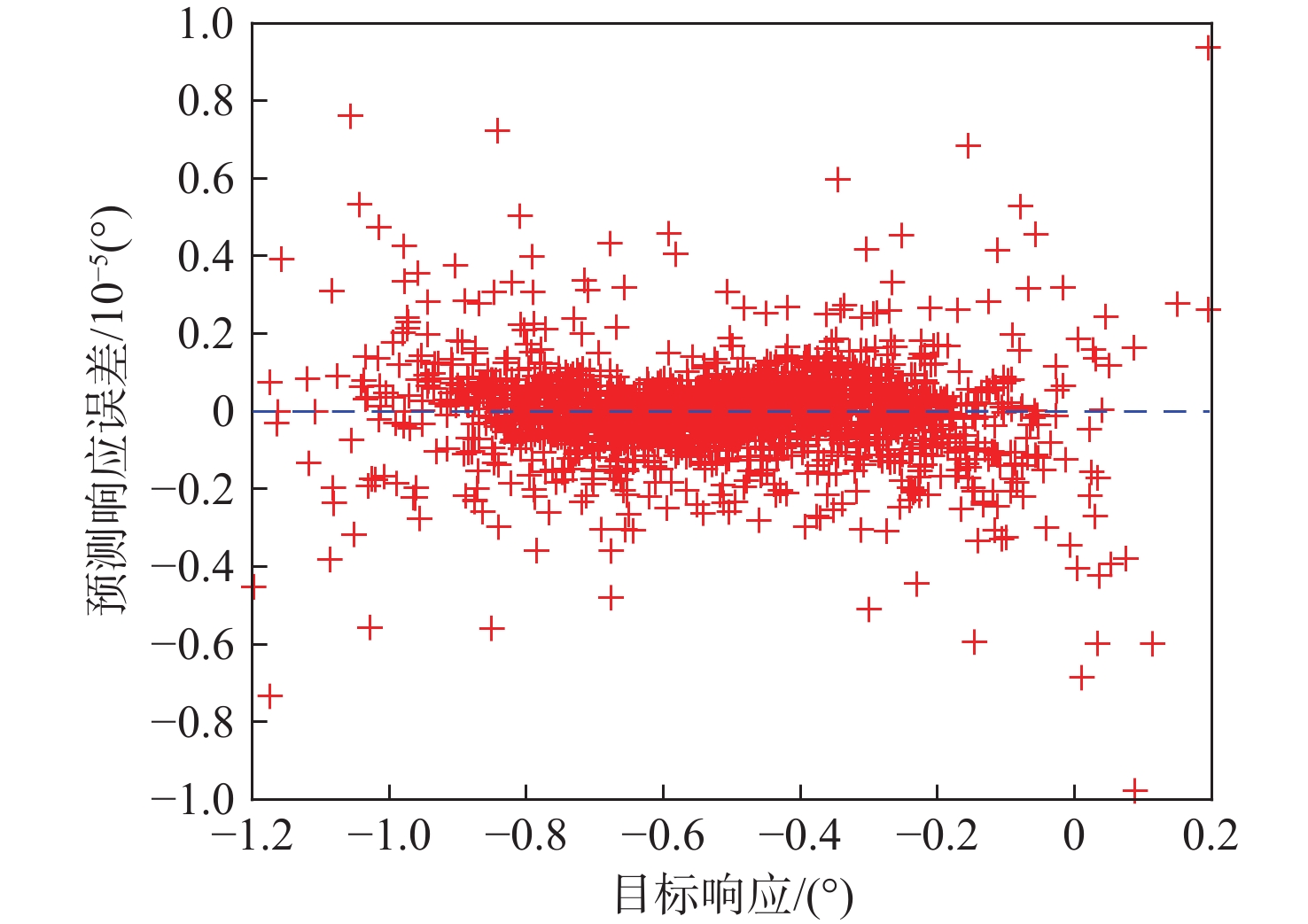
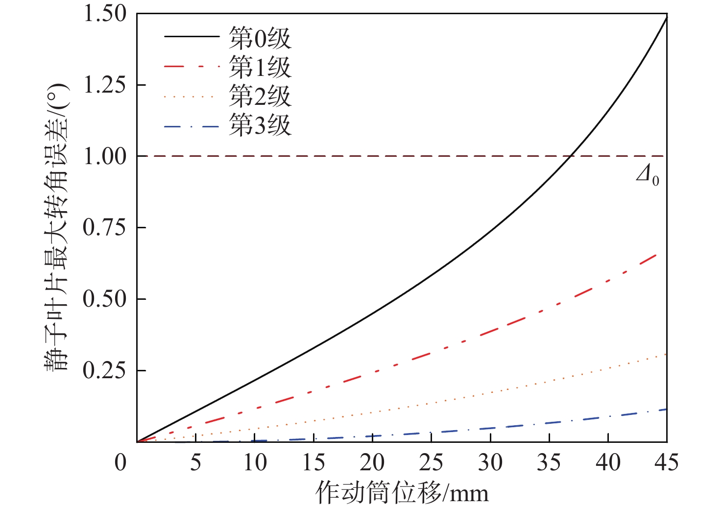
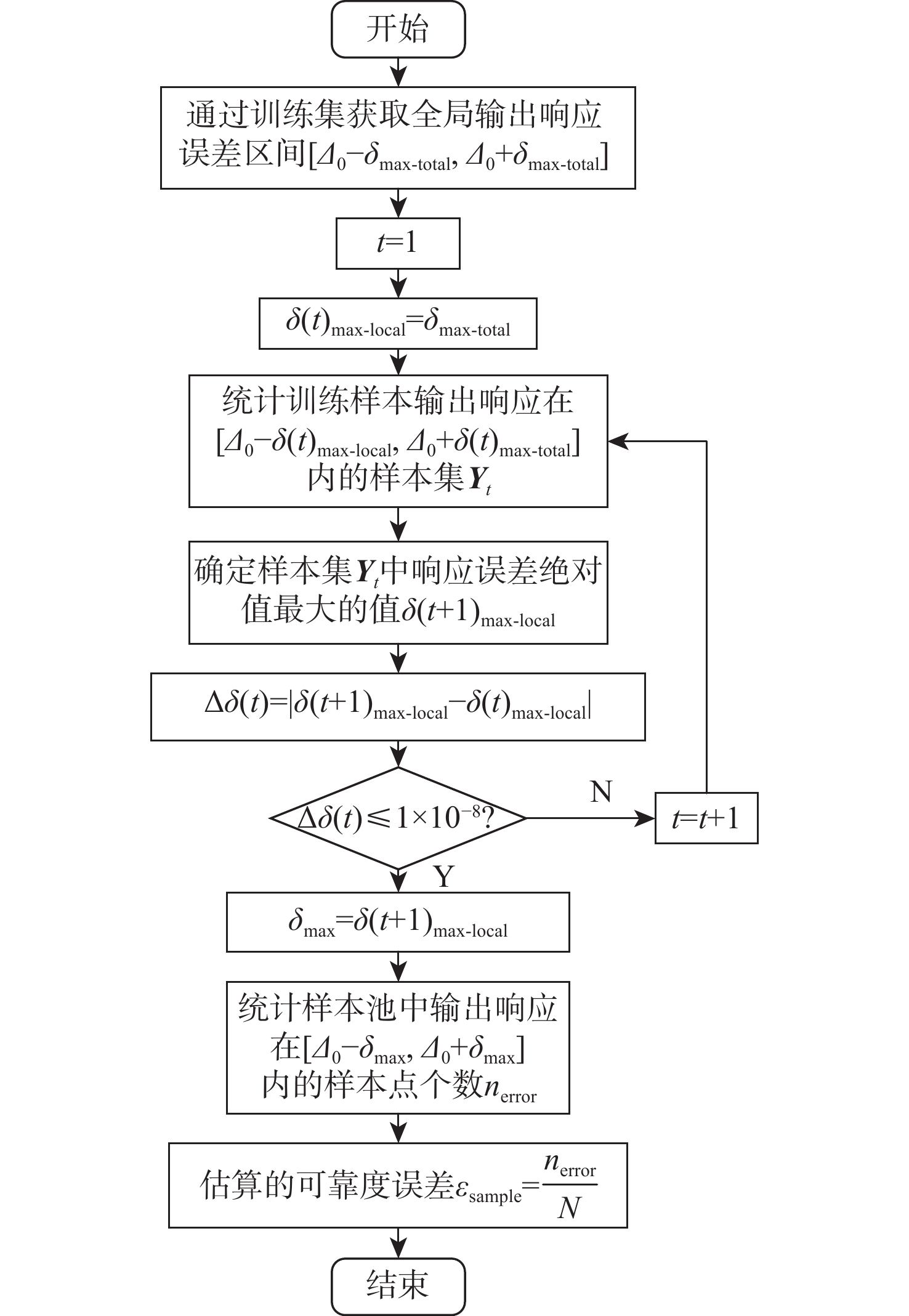
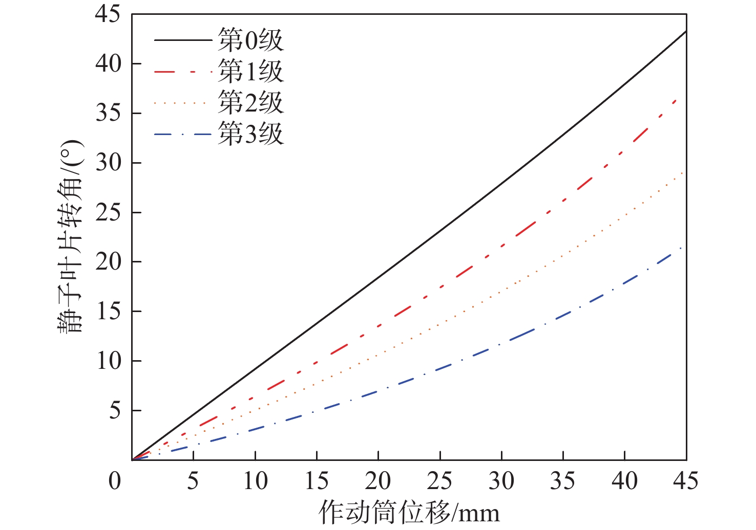
  • A kinematic model considering joint clearance is developed for the variable stator vane (VSV) adjustment mechanism of an aero-engine. A reliability model of the mechanism’s kinematic accuracy is constructed considering the failure correlation among stator vanes, as well as the stochastic nature of driving errors, dimensional tolerances, and assembly clearances. Based on the BP neural network (BPNN) surrogate model, the mechanism’s reliability is evaluated through Monte Carlo simulation. The effects of the number of stator vanes and the failure threshold on the system’s reliability are investigated. Compared with the system model of the unit failure independent assumption and the complete correlation, the mechanism system kinematic accuracy reliability model considering failure correlation is more reasonable. Lastly, a method for estimating the complex system’s reliability error caused by surrogate model approximation is proposed, and the accuracy and credibility of the VSV adjustment mechanism’s reliability assessment are confirmed.

     

  • loading
  • [1]
    王云. 航空发动机原理[M]. 北京: 北京亚洲成人在线一二三四五六区出版社, 2009: 85-99.

    WANG Y. Aeroengine principle[M]. Beijing: Beihang University Press, 2009: 85-99(in Chinese).
    [2]
    曹志鹏, 刘波, 丁伟. 静叶角度调节对组合压气机性能优化机理[J]. 北京亚洲成人在线一二三四五六区学报, 2007, 33(8): 878-881. doi: 10.3969/j.issn.1001-5965.2007.08.003

    CAO Z P, LIU B, DING W. Stator setting angles adjustment on performance improvement of axial-centrifugal compressor[J]. Journal of Beijing University of Aeronautics and Astronautics, 2007, 33(8): 878-881(in Chinese). doi: 10.3969/j.issn.1001-5965.2007.08.003
    [3]
    隋岩峰, 邴连喜, 施磊, 等. 某发动机高压压气机进口可调静子叶片角度控制方法[J]. 航空动力学报, 2010, 25(11): 2589-2593.

    SUI Y F, BING L X, SHI L, et al. Control method of compressor stator vane angle for an aero-engine[J]. Journal of Aerospace Power, 2010, 25(11): 2589-2593(in Chinese).
    [4]
    于嘉鹏, 孙加明, 纪福森, 等. 航空发动机静叶联调机构运动分析及优化[J]. 航空动力学报, 2019, 34(6): 1193-1200.

    YU J P, SUN J M, JI F S, et al. Motion analysis and optimization of jointly adjusting mechanism of aero-engine stator vane[J]. Journal of Aerospace Power, 2019, 34(6): 1193-1200(in Chinese).
    [5]
    张哲, 王汉平, 孙浩然, 等. VSV调节机构阻滞力和调节精度的归因分析[J]. 航空学报, 2020, 41(12): 380-390.

    ZHANG Z, WANG H P, SUN H R, et al. Attribution analysis of blocking force and adjustment accuracy of adjusting mechanism of variable stator vane[J]. Acta Aeronautica et Astronautica Sinica, 2020, 41(12): 380-390(in Chinese).
    [6]
    高华, 翟敬宇, 张昊, 等. 考虑转动副特性的发动机静叶调节机构动态性能分析[J]. 动力学与控制学报, 2022, 20(1): 51-59.

    GAO H, ZHAI J Y, ZHANG H, et al. Dynamic performance analysis of engine VSV adjustment mechanism considering the characteristics of revolute joint[J]. Journal of Dynamics and Control, 2022, 20(1): 51-59(in Chinese).
    [7]
    唐佑远, 郭为忠. 静叶调节机构尺度全局优化设计方法研究[J]. 机械工程学报, 2020, 56(11): 26-36. doi: 10.3901/JME.2020.11.026

    TANG Y Y, GUO W Z. Global dimensional optimization for the design of adjusting mechanism of variable stator vanes[J]. Journal of Mechanical Engineering, 2020, 56(11): 26-36(in Chinese). doi: 10.3901/JME.2020.11.026
    [8]
    庞欢. 飞机典型机构运动功能可靠性建模方法及应用[D]. 西安: 西北工业大学, 2016: 13-20.

    PANG H. Modeling method and application of motion function reliability of typical aircraft mechanisms[D]. Xi’an: Northwestern Polytechnical University, 2016: 13-20(in Chinese).
    [9]
    李铭, 谢里阳, 丁丽君. 行星机构的可靠性分析与计算[J]. 航空学报, 2017, 38(8): 421145. doi: 10.7527/S1000-6893.2017.421145

    LI M, XIE L Y, DING L J. Reliability analysis and calculation for planetary mechanism[J]. Acta Aeronautica et Astronautica Sinica, 2017, 38(8): 421145(in Chinese). doi: 10.7527/S1000-6893.2017.421145
    [10]
    周长聪, 吉梦瑶, 张屹尚, 等. 多失效模式下起落架机构可靠性及灵敏度研究[J]. 西北工业大学学报, 2021, 39(1): 46-54. doi: 10.3969/j.issn.1000-2758.2021.01.006

    ZHOU C C, JI M Y, ZHANG Y S, et al. Mechanism reliability and sensitivity analysis of landing gear under multiple failure modes[J]. Journal of Northwestern Polytechnical University, 2021, 39(1): 46-54(in Chinese). doi: 10.3969/j.issn.1000-2758.2021.01.006
    [11]
    张政, 王攀, 周瀚渊. 含区间分布参数的尾喷管调节机构可靠性分析[J]. 北京亚洲成人在线一二三四五六区学报, 2023, 49(12): 3377-3385.

    ZHANG Z, WANG P, ZHOU H Y. Reliability analysis of nozzle adjustment mechanism with interval distribution parameters[J]. Journal of Beijing University of Aeronautics and Astronautics, 2023, 49(12): 3377-3385(in Chinese).
    [12]
    LI X Y, CHEN W B, KANG R. Performance margin-based reliability analysis for aircraft lock mechanism considering multi-source uncertainties and wear[J]. Reliability Engineering & System Safety, 2021, 205: 107234.
    [13]
    ZENG C D, QIU Z C, ZHANG F H, et al. Error modelling and motion reliability analysis of a multi-DOF redundant parallel mechanism with hybrid uncertainties[J]. Reliability Engineering & System Safety, 2023, 235: 109259.
    [14]
    ZHAN Z H, ZHANG X M, JIAN Z C, et al. Error modelling and motion reliability analysis of a planar parallel manipulator with multiple uncertainties[J]. Mechanism and Machine Theory, 2018, 124: 55-72. doi: 10.1016/j.mechmachtheory.2018.02.005
    [15]
    王博文, 谢里阳, 樊富友, 等. 考虑共因失效的折叠翼展开机构可靠度分析[J]. 机械工程学报, 2020, 56(5): 161-171. doi: 10.3901/JME.2020.05.161

    WANG B W, XIE L Y, FAN F Y, et al. Reliability analysis of folding wing deployable mechanism considering common cause failure[J]. Journal of Mechanical Engineering, 2020, 56(5): 161-171(in Chinese). doi: 10.3901/JME.2020.05.161
    [16]
    刘胜利, 王兴东, 孔建益, 等. 多源不确定性下平面变胞机构运动可靠性分析[J]. 机械工程学报, 2021, 57(17): 64-75. doi: 10.3901/JME.2021.17.064

    LIU S L, WANG X D, KONG J Y, et al. Kinematic reliability analysis of planar metamorphic mechanism with multi-source uncertainties[J]. Journal of Mechanical Engineering, 2021, 57(17): 64-75(in Chinese). doi: 10.3901/JME.2021.17.064
    [17]
    李媛媛. 考虑铰链间隙的太阳翼刚柔耦合多体动力学特性研究[D]. 哈尔滨: 哈尔滨工业大学, 2019: 6-8.

    LI Y Y. Study on rigid-flexible coupling multi-body dynamic characteristics of solar wing considering hinge clearance[D]. Harbin: Harbin Institute of Technology, 2019: 6-8(in Chinese).
    [18]
    谢里阳, 王正, 周金宇, 等. 机械可靠性基本理论与方法[M]. 2版. 北京: 科学出版社, 2012: 120-128.

    XIE L Y, WANG Z, ZHOU J Y, et al. Basic theory and method of mechanical reliability[M]. 2nd ed. Beijing: Science Press, 2012: 120-128(in Chinese).
    [19]
    周飞燕, 金林鹏, 董军. 卷积神经网络研究综述[J]. 计算机学报, 2017, 40(6): 1229-1251. doi: 10.11897/SP.J.1016.2017.01229

    ZHOU F Y, JIN L P, DONG J. Review of convolutional neural network[J]. Chinese Journal of Computers, 2017, 40(6): 1229-1251(in Chinese). doi: 10.11897/SP.J.1016.2017.01229
    [20]
    CHEN Y F, HOU F H, DONG S H, et al. Reliability evaluation of corroded pipeline under combined loadings based on back propagation neural network method[J]. Ocean Engineering, 2022, 262: 111910.
    [21]
    吕震宙, 宋述芳, 李璐祎, 等. 结构/机构可靠性设计基础[M]. 西安: 西北工业大学出版社, 2019: 1-4.

    LV Z Z, SONG S F, LI L Y, et al. Fundamentals of structure/mechanism reliability design[M]. Xi’an: Northwestern Polytechnical University Press, 2019: 1-4(in Chinese).
    [22]
    常泽明, 李璐祎. 基于NARX和Kriging的时变可靠性分析双层代理模型[J]. 北京亚洲成人在线一二三四五六区学报, 2023, 49(7): 1802-1812.

    CHANG Z M, LI L Y. Double-loop surrogate model for time-dependent reliability analysis based on NARX and Kriging models[J]. Journal of Beijing University of Aeronautics and Astronautics, 2023, 49(7): 1802-1812(in Chinese).
    [23]
    智鹏鹏, 汪忠来, 李永华, 等. 基于RMQGS-APS-Kriging的主动学习结构可靠性分析方法[J]. 机械工程学报, 2022, 58(16): 420-429.

    ZHI P P, WANG Z L, LI Y H, et al. RMQGS-APS-Kriging-based active learning structural reliability analysis method[J]. Journal of Mechanical Engineering, 2022, 58(16): 420-429(in Chinese).
    [24]
    ECHARD B, GAYTON N, LEMAIRE M. AK-MCS: an active learning reliability method combining Kriging and Monte Carlo simulation[J]. Structural Safety, 2011, 33(2): 145-154.
    [25]
    ZHANG X F, WANG L, SØRENSEN J D. REIF: a novel active-learning function toward adaptive Kriging surrogate models for structural reliability analysis[J]. Reliability Engineering & System Safety, 2019, 185: 440-454.
    [26]
    SU G S, PENG L F, HU L H. A Gaussian process-based dynamic surrogate model for complex engineering structural reliability analysis[J]. Structural Safety, 2017, 68: 97-109.
    [27]
    LI M Y, WANG Z Q. Surrogate model uncertainty quantification for reliability-based design optimization[J]. Reliability Engineering & System Safety, 2019, 192: 106432.
    [28]
    LI L X, CHEN G H, FANG M X, et al. Reliability analysis of structures with multimodal distributions based on direct probability integral method[J]. Reliability Engineering & System Safety, 2021, 215: 107885.
    [29]
    DUBOURG V, SUDRET B, DEHEEGER F. Metamodel-based importance sampling for structural reliability analysis[J]. Probabilistic Engineering Mechanics, 2013, 33: 47-57. doi: 10.1016/j.probengmech.2013.02.002
  • 加载中

Catalog

    通讯作者: 陈斌, bchen63@163.com
    • 1. 

      沈阳化工大学材料科学与工程学院 沈阳 110142

    1. 本站搜索
    2. 百度学术搜索
    3. 万方数据库搜索
    4. CNKI搜索

    Figures(17)  / Tables(3)

    Article Metrics

    Article views(271) PDF downloads(17) Cited by()
    Proportional views
    Related

    /

    DownLoad:  Full-Size Img  PowerPoint
    Return
    Return