Volume 51 Issue 6
Jun.  2025
Turn off MathJax
Article Contents
HUANG D,LONG J F,CHENG Y,et al. Experimental study on beam characteristics of µHT-1 thruster under wide range adjustment of operating parameters[J]. Journal of Beijing University of Aeronautics and Astronautics,2025,51(6):2119-2128 (in Chinese) doi: 10.13700/j.bh.1001-5965.2023.0406
Citation: HUANG D,LONG J F,CHENG Y,et al. Experimental study on beam characteristics of µHT-1 thruster under wide range adjustment of operating parameters[J]. Journal of Beijing University of Aeronautics and Astronautics,2025,51(6):2119-2128 (in Chinese) doi: 10.13700/j.bh.1001-5965.2023.0406

Experimental study on beam characteristics of µHT-1 thruster under wide range adjustment of operating parameters

doi: 10.13700/j.bh.1001-5965.2023.0406
Funds:

National Key R&D Program of China (2021YFC2202700); Natural Science Foundation of Hunan Province (2021JJ30564); Key Project of Hunan Provincial Department of Education (19A440); Science and Technology Research Project of Chongqing Municipal Education Commission (KJZD-K202101506); Independent Project of Hangzhou Institute of Advanced Studies, National University of Science and Technology (2022ZZ01009)

More Information
  • Corresponding author: E-mail:ljf510@163.com
  • Received Date: 21 Jun 2023
  • Accepted Date: 13 Oct 2023
  • Available Online: 12 Jan 2024
  • Publish Date: 05 Jan 2024
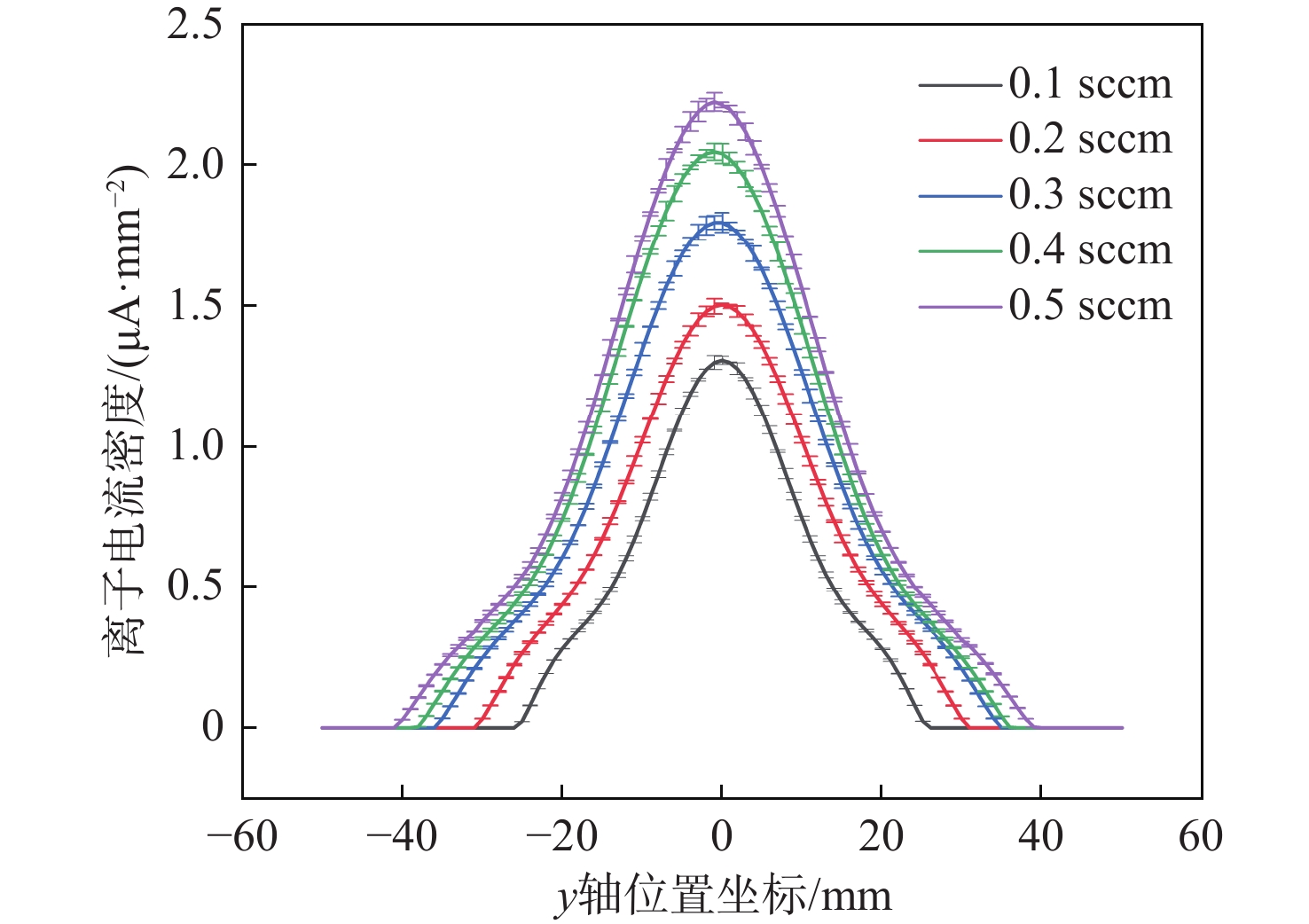
  • The beam properties of the micro Hall thruster µHT-1, which is intended for space gravitational wave detection, are being experimentally investigated for the first time. A Faraday probe combined with a three-dimensional mobile mechanism was used for diagnosis, and the beam ion current density distribution under a wide range of the anode voltage from 700 to 1200 V and the anode mass flow from 0.1 to 0.5 sccm was obtained. Moreover, the variation trend of total ion beam current, anode current, current utilization efficiency, beam divergence angle and other parameters were further analyzed. According to test data, the spatial distribution of beam ions changes from dense to sparse as one moves away from the axial direction of the µHT-1 thruster. Additionally, the beam becomes more flat due to the diffusion motion of beam ions in space and the binding motion of electrons and ions. The µHT-1 thruster can work stably under a wide range of conditions (anode voltage 700~1200 V, anode mass flow 0.1~0.5 sccm), and the beam current presents a good axis-symmetric distribution. With the increase of anode voltage, the average temperature of electrons can be increased, which further leads to the increase of ionization rate, that is, the current utilization efficiency increases from 53.4% to 67.7%; and the magnetic field restraint ability of high-energy electrons is weakened, affecting the electric field focusing, and the beam divergence angle increases from 41.3 ° to 56.1 °. With the increase of anode mass flow, the neutral atom density distribution in the channel is affected, the current utilization efficiency fluctuates in the range of 57.1 % ~ 66.8 %; and the ion collision zone is transferred to the outlet, making the beam divergence angle increase from 43.4 ° to 56.7 °. The total ion beam current of the thruster changes linearly with anode mass flow and anode voltage, which provides the data basis for the subsequent thrust wide range adjustment and thrust resolution analysis.

     

  • loading
  • [1]
    ABBOTT B P, ABBOTT R, ABBOTT T D, et al. Observation of gravitational waves from a binary black hole merger[J]. Physical Review Letters, 2016, 116(6): 061102. doi: 10.1103/PhysRevLett.116.061102
    [2]
    罗子人, 张敏, 靳刚, 等. 中国空间引力波探测“太极计划” 及“太极1号” 在轨测试[J]. 深空探测学报, 2020, 7(1): 3-10.

    LUO Z R, ZHANG M, JIN G, et al. Introduction of Chinese space-borne gravitational wave detection program“taiji” and “taiji-1” satellite mission[J]. Journal of Deep Space Exploration, 2020, 7(1): 3-10 (in Chinese).
    [3]
    涂良成. 天琴计划的回顾与小结[J]. 中山大学学报(自然科学版), 2021, 60(增刊1): 253.

    TU L C. Review and summary of Tianqin Project[J]. Acta Scientiarum Naturalium Universitatis Sunyatseni, 2021, 60(Sup 1): 253 (in Chinese).
    [4]
    胡越欣, 张立华, 高永, 等. 空间引力波探测航天器关键技术分析[J]. 航天器工程, 2022, 31(4): 1-7. doi: 10.3969/j.issn.1673-8748.2022.04.001

    HU Y X, ZHANG L H, GAO Y, et al. Analysis of key technologies of spacecraft for gravitational waves detection in space[J]. Spacecraft Engineering, 2022, 31(4): 1-7 (in Chinese). doi: 10.3969/j.issn.1673-8748.2022.04.001
    [5]
    祝竺, 赵艳彬, 尤超蓝, 等. 面向空间引力波探测的非接触式卫星平台无拖曳控制技术[J]. 南京亚洲成人在线一二三四五六区学报, 2022, 54(增刊1): 9-13.

    ZHU Z, ZHAO Y B, YOU C L, et al. Drag-free control technology of non-contact satellite platform for space gravitational wave detection[J]. Journal of Nanjing University of Aeronautics & Astronautics, 2022, 54(Sup 1): 9-13 (in Chinese).
    [6]
    于达仁, 崔凯, 刘辉, 等. 用于引力波探测的微牛级霍尔电推进技术[J]. 哈尔滨工业大学学报, 2020, 52(6): 171-181. doi: 10.11918/201911131

    YU D R, CUI K, LIU H, et al. Micro-Newton hall electric propulsion technology for gravitational wave detection[J]. Journal of Harbin Institute of Technology, 2020, 52(6): 171-181 (in Chinese). doi: 10.11918/201911131
    [7]
    于达仁, 牛翔, 王泰卜, 等. 面向空间引力波探测任务的微推进技术研究进展[J]. 中山大学学报(自然科学版), 2021, 60(增刊1): 194-212.

    YU D R, NIU X, WANG T B, et al. The developments of micro propulsion technology based on space gravitational wave detection task[J]. Acta Scientiarum Naturalium Universitatis Sunyatseni, 2021, 60(Sup 1): 194-212 (in Chinese).
    [8]
    ZIEMER J, MARRESE-READING C, DUNN C, et al. Colloid microthruster flight performance results from space technology 7 disturbance reduction system[C]//Proceedings of International Electric Propulsion Conference. Reston: AIAA, 2017.
    [9]
    LEITER H, LOTZ B, FEILI D, et al. Design development and test of the RIT-ÁX mini ion engine system[C]//Proceedings of the 31st International Electric Propulsion Conference. Michigan: IEPC, 2009: 179.
    [10]
    李永, 刘旭辉, 汪旭东, 等. 空间极小推力宽范围可调推进技术研究进展[J]. 空间控制技术与应用, 2019, 45(6): 1-12,19. doi: 10.3969/j.issn.1674-1579.2019.06.001

    LI Y, LIU X H, WANG X D, et al. Review and prospect on the large-range thrust throttling technology with extremely small thrust[J]. Aerospace Control and Application, 2019, 45(6): 1-12,19 (in Chinese). doi: 10.3969/j.issn.1674-1579.2019.06.001
    [11]
    AMARO-SEOANE P, AUDLEY H, BABAK S, et al. Laser interferometer space antenna[EB/OL]. (2017-02-01) [2013-05-28]. http://arxiv.org/abs/1702.00786, 2017.
    [12]
    HEY F G. Micro Newton thruster development[M]. Wiesbaden: Springer Fachmedien Wiesbaden, 2018.
    [13]
    XU S Y, XU L X, CONG L X, et al. First result of orbit verification of Taiji-1 hall micro thruster[J]. International Journal of Modern Physics A, 2021, 36: 2140013-21400S9. doi: 10.1142/S0217751X21400133
    [14]
    POTRIVITU G C, SUN Y F, BIN ROHAIZAT M W A, et al. A review of low-power electric propulsion research at the space propulsion centre Singapore[J]. Aerospace, 2020, 7(6): 67. doi: 10.3390/aerospace7060067
    [15]
    杭观荣, 李诗凝, 康小录, 等. 霍尔电推进空间应用现状及未来展望[J]. 推进技术, 2023, 44(6): 38-51.

    HANG G R, LI S N, KANG X L, et al. Current space application status and future prospect of Hall electric propulsion[J]. Journal of Propulsion Technology, 2023, 44(6): 38-51 (in Chinese).
    [16]
    MIKELLIDES I G, KATZ I, GOEBEL D M, et al. Hollow cathode theory and experiment. II. A two-dimensional theoretical model of the emitter region[J]. Journal of Applied Physics, 2005, 98(11): 113303.1-113303.14.
    [17]
    HOFER R R, GOEBEL D M, MIKELLIDES I G, et al. Magnetic shielding of a laboratory Hall thruster. II. Experiments[J]. Journal of Applied Physics, 2014, 115(4): 043304.
    [18]
    朱悉铭, 宁中喜, 于达仁. HEP-70 霍尔推力器的发射光谱诊断研究[C]//第十八届全国等离子体科学技术会议摘要集. 合肥: 中国科学技术大学出版社, 2017: 240.

    ZHU X M, NING Z X, YU D R. Emission spectroscopy diagnostics of HEP-70 Hall thruster [C]//Proceedings of the 18th National Conference on Plasma Science and Technology. Hefei: University of Science and Technology of China Press, 2017: 240(in Chinese).
    [19]
    陈新伟, 高俊, 顾左, 等. 变工况下自励磁模式 LHT-60 霍尔推力器放电特性试验研究[J]. 真空与低温, 2022, 28(1): 106-114(in Chinese). doi: 10.3969/j.issn.1006-7086.2022.01.013

    CHEN X W, GAO J, GU Z, et al. Experimental study on discharge characteristics of self-field mode LHT-60 Hall thruster under variable operating conditions[J]. Vacuum and Cryogenics, 2022, 28(1): 106-114. doi: 10.3969/j.issn.1006-7086.2022.01.013
    [20]
    LU S X, LUO W, LONG J F, et al. Numerical simulation optimization of neutral flow dynamics in low-power Hall thruster[J]. Results in Physics, 2023, 46: 106268. doi: 10.1016/j.rinp.2023.106268
    [21]
    罗威, 龙建飞, 徐禄祥, 等. 霍尔推力器放电通道中性气体分布及检测技术研究进展[J]. 固体火箭技术, 2023, 46(1): 158-166. doi: 10.7673/j.issn.1006-2793.2023.01.019

    LUO W, LONG J F, XU L X, et al. Research progress of distribution and detection technology neutral gas in Hall thruster discharge channel[J]. Journal of Solid Rocket Technology, 2023, 46(1): 158-166 (in Chinese). doi: 10.7673/j.issn.1006-2793.2023.01.019
    [22]
    龙建飞, 徐禄祥, 吴铭钐, 等. 一种霍尔推力器供气管路的气路分压绝缘方法及其应用: 中国, CN114458565B[P]. 2022-07-12.

    LONG J F, XU L X, WU M S, et al. A method of gas circuit pressure divider insulation for Hall thruster supply line and its application: China, CN114458565B[P]. 2022-07-12(in Chinese).
    [23]
    龙建飞, 徐禄祥, 吴铭钐, 等. 一种霍尔推力器环式分压气路绝缘结构: 中国, CN114458564B[P]. 2022-07-12.

    LONG J F, XU L X, WU M S, et al. An annular voltage-division gas path insulation structure for Hall thruster: China, CN114458564B [P]. 2022-07-12(in Chinese).
    [24]
    宁中喜. 霍尔推力器羽流发散角的定向探针测量方法[J]. 推进技术, 2011, 32(6): 895-899.

    NING Z X. Directional probe measurement of plume divergence angle in Hall thrusters[J]. Journal of Propulsion Technology, 2011, 32(6): 895-899 (in Chinese).
    [25]
    龙建飞, 张天平, 吴辰宸, 等. LIPS-200离子推力器放电室出口离子密度分布研究[J]. 推进技术, 2018, 39(5): 1194-1200.

    LONG J F, ZHANG T P, WU C C, et al. Study on ion density distribution in discharge chamber exit of LIPS-200 ion thruster[J]. Journal of Propulsion Technology, 2018, 39(5): 1194-1200 (in Chinese).
    [26]
    刘星宇, 李鸿, 毛威, 等. 霍尔推力器能量损失系统性评价方法[J]. 推进技术, 2022, 43(7): 470-480.

    LIU X Y, LI H, MAO W, et al. Systematic evaluation method for power loss of Hall thruster[J]. Journal of Propulsion Technology, 2022, 43(7): 470-480 (in Chinese).
    [27]
    商圣飞, 顾左, 贺碧蛟, 等. 离子推力器束流密度分布模型[J]. 真空科学与技术学报, 2015, 35(12): 1414-1419.

    SHANG S F, GU Z, HE B J, et al. Modelling of ion beam current density of ion thruster[J]. Chinese Journal of Vacuum Science and Technology, 2015, 35(12): 1414-1419 (in Chinese).
    [28]
    卿绍伟, 鄂鹏, 段萍. 壁面二次电子发射对霍尔推力器放电通道绝缘壁面双鞘特性的影响[J]. 物理学报, 2013, 62(5): 279-286. doi: 10.7498/aps.62.055202

    QING S W, E P, DUAN P. Effect of wall secondary electron emission on the characteristics of double sheath near the dielectric wall in Hall thruster[J]. Acta Physica Sinica, 2013, 62(5): 279-286 (in Chinese). doi: 10.7498/aps.62.055202
    [29]
    杨三祥, 王倩楠, 高俊, 等. 径向磁场对霍尔推力器性能影响的数值模拟研究[J]. 物理学报, 2022, 71(10): 347-355.

    YANG S X, WANG Q N, GAO J, et al. Numerical study of the effect of radial magnetic field on performance of Hall thruster[J]. Acta Physica Sinica, 2022, 71(10): 347-355 (in Chinese).
  • 加载中

Catalog

    通讯作者: 陈斌, bchen63@163.com
    • 1. 

      沈阳化工大学材料科学与工程学院 沈阳 110142

    1. 本站搜索
    2. 百度学术搜索
    3. 万方数据库搜索
    4. CNKI搜索

    Figures(11)

    Article Metrics

    Article views(151) PDF downloads(9) Cited by()
    Proportional views
    Related

    /

    DownLoad:  Full-Size Img  PowerPoint
    Return
    Return