Volume 51 Issue 6
Jun.  2025
Turn off MathJax
Article Contents
GUO Q,HUANG Q L,CHEN J L. Performance degradation modelling of civil aviation engines based on component characteristic map optimization[J]. Journal of Beijing University of Aeronautics and Astronautics,2025,51(6):1935-1945 (in Chinese) doi: 10.13700/j.bh.1001-5965.2023.0341
Citation: GUO Q,HUANG Q L,CHEN J L. Performance degradation modelling of civil aviation engines based on component characteristic map optimization[J]. Journal of Beijing University of Aeronautics and Astronautics,2025,51(6):1935-1945 (in Chinese) doi: 10.13700/j.bh.1001-5965.2023.0341

Performance degradation modelling of civil aviation engines based on component characteristic map optimization

doi: 10.13700/j.bh.1001-5965.2023.0341
Funds:

2022 Tianjin Postgraduate Research Innovation Project (2022SKY156)

More Information
  • Corresponding author: E-mail:qguocauc@sina.com
  • Received Date: 12 Jun 2023
  • Accepted Date: 11 Aug 2023
  • Available Online: 01 Sep 2023
  • Publish Date: 22 Aug 2023
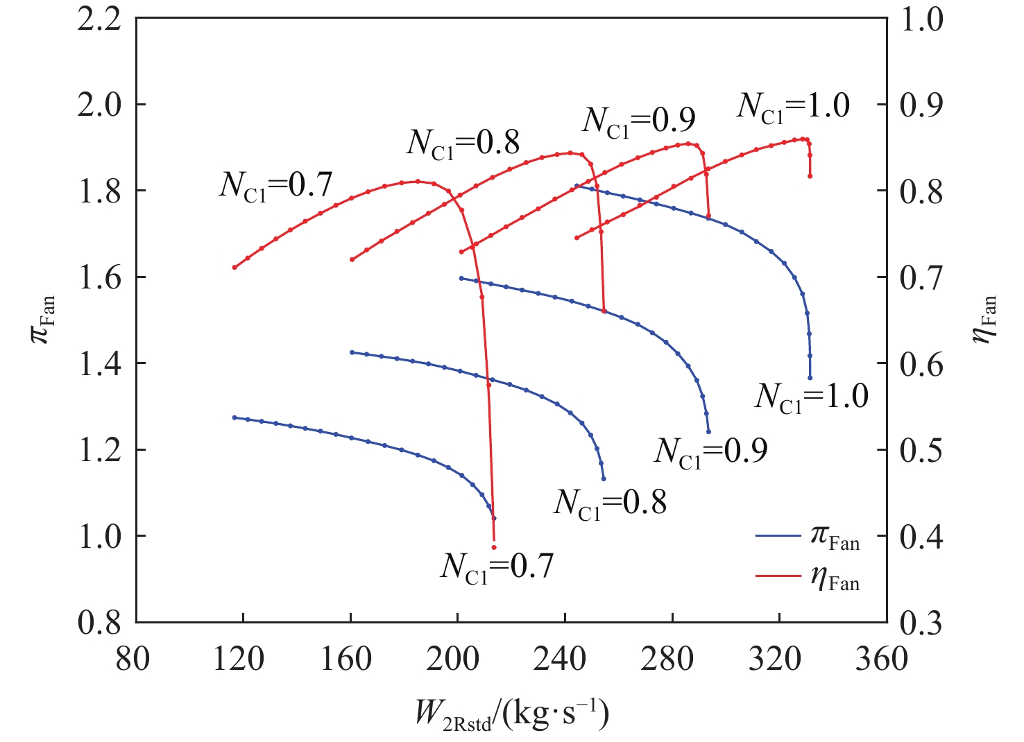
  • In order to provide a theoretical basis for the gas path performance degradation of civil aviation engines at the module level, the CFM56-3 engine was taken as the research object. Firstly, the characteristic map scaling method was used to obtain the component characteristic equations, and the selection process of the general fan characteristic map scaling reference point was optimized. A characteristic map surface fitting method was proposed to construct an engine component-level benchmark performance model that conformed to specific speed conditions under steady-state operating mode. Then, by introducing fault factors to generate a fault coefficient matrix, the deviation of engine monitoring parameters with the decrease in component efficiency was calculated and compared with the fingerprint diagram data in the General Electric Company training manual. The results show that the engine steady-state performance model integrating fan characteristic map scaling reference point optimization and characteristic map surface fitting methods has good accuracy and application prospects in gas performance degradation analysis.

     

  • loading
  • [1]
    中国民用航空局. 2021年民航行业发展统计公报[EB/OL]. (2022-05-18)[2023-05-30]. http://www.caac.gov.cn/XXGK/XXGK/TJSJ/202205/t20220518_213297.html.

    Civil Aviation Administration of China. Statistical bulletin on the development of civil aviation industry in 2021[EB/OL]. (2022-05-18)[2023-05-30]. http://www.caac.gov.cn/XXGK/XXGK/TJSJ/202205/t20220518_213297.html(in Chinese).
    [2]
    林京, 张博瑶, 张大义, 等. 航空燃气涡轮发动机故障诊断研究现状与展望[J]. 航空学报, 2022, 43(8): 626565.

    LIN J, ZHANG B Y, ZHANG D Y, et al. Research status and prospect of fault diagnosis for gas turbine aeroengine[J]. Acta Aeronautica et Astronautica Sinica, 2022, 43(8): 626565(in Chinese).
    [3]
    李少尘, 陈敏, 胡金涛, 等. 航空燃气涡轮发动机气路故障诊断进展[J]. 航空发动机, 2022, 48(2): 33-49.

    LI S C, CHEN M, HU J T, et al. A review of research progress on aircraft gas turbine engines gas path fault diagnosis[J]. Aeroengine, 2022, 48(2): 33-49(in Chinese).
    [4]
    SAJTEEV A M. Gas turbine diagnostics based on gas path analysis[D]. Netherlands: Delft University of Technology, 2015: 19-29.
    [5]
    URBAN L A. Gas path analysis applied to turbine engine condition monitoring[J]. Journal of Aircraft, 1973, 10(7): 400-406. doi: 10.2514/3.60240
    [6]
    URBAN L A, VOLPONI A J. Mathematical methods of relative engine performance diagnostics[C]//Proceedings of the Aerospace Technology Conference and Exposition. Warrendale: SAE International, 1992: 922048.
    [7]
    范作民, 孙春林, 林兆福. 发动机故障诊断的主因子模型[J]. 航空学报, 1993, 14(12): 588-595. doi: 10.3321/j.issn:1000-6893.1993.12.008

    FAN Z M, SUN C L, LIN Z F. Primary factor model for jet engine fault diagnosis[J]. Acta Aeronautica et Astronautica Sinica, 1993, 14(12): 588-595(in Chinese). doi: 10.3321/j.issn:1000-6893.1993.12.008
    [8]
    范作民, 孙春林, 白杰. 航空发动机故障诊断导论[M]. 北京: 科学出版社, 2004: 2-45.

    FAN Z M, SUN C L, BAI J. Introduction to aeroengine fault diagnosis[M]. Beijing: Science Press, 2004: 2-45(in Chinese).
    [9]
    STAMATIS A, MATHIOUDAKIS K, PAPAILIOU K D. Adaptive simulation of gas turbine performance[J]. Journal of Engineering for Gas Turbines and Power, 1990, 112(2): 168-175. doi: 10.1115/1.2906157
    [10]
    黄金泉, 王启航, 鲁峰. 航空发动机气路故障诊断研究现状与展望[J]. 南京亚洲成人在线一二三四五六区学报, 2020, 52(4): 507-522.

    HUANG J Q, WANG Q H, LU F. Research status and prospect of gas path fault diagnosis for aeroengine[J]. Journal of Nanjing University of Aeronautics & Astronautics, 2020, 52(4): 507-522(in Chinese).
    [11]
    曹明, 黄金泉, 周健, 等. 民用航空发动机故障诊断与健康管理现状、挑战与机遇Ⅰ: 气路、机械和FADEC系统故障诊断与预测[J]. 航空学报, 2022, 43(9): 625573.

    CAO M, HUANG J Q, ZHOU J, et al. Current status, challenges and opportunities of civil aero-engine diagnostics & health management Ⅰ: diagnosis and prognosis of engine gas path, mechanical and FADEC[J]. Acta Aeronautica et Astronautica Sinica, 2022, 43(9): 625573(in Chinese).
    [12]
    骆广琦, 桑增产, 王如根, 等. 航空燃气涡轮发动机数值仿真[M]. 北京: 国防工业出版社, 2007: 49-51.

    LUO G Q, SANG Z C, WANG R G, et al. Numerical methods for aviation gas turbine engine simulation[M]. Beijing: National Defense Industry Press, 2007: 49-51(in Chinese).
    [13]
    李书明, 王泽芃, 孙爽, 等. 基于贝兹曲线的压气机特性图生成方法[J]. 科学技术与工程, 2021, 21(33): 14428-14433. doi: 10.3969/j.issn.1671-1815.2021.33.054

    LI S M, WANG Z P, SUN S, et al. Compressor engine component maps generating method based on Bézier curve[J]. Science Technology and Engineering, 2021, 21(33): 14428-14433(in Chinese). doi: 10.3969/j.issn.1671-1815.2021.33.054
    [14]
    黄开明, LI Y G, 张伟, 等. 某型涡轴发动机性能衰减与部件退化评估[J]. 航空动力学报, 2015, 30(11): 2673-2679.

    HUANG K M, LI Y G, ZHANG W, et al. Performance degradation and components deterioration degree estimation for a turboshaft engine[J]. Journal of Aerospace Power, 2015, 30(11): 2673-2679(in Chinese).
    [15]
    张冬阳. 压气机特性的系数拟合法[J]. 燃气轮机技术, 1993, 6(3): 27-32.

    ZHANG D Y. Coefficient fitting method for compressor characteristics[J]. Gas Turbine Technology, 1993, 6(3): 27-32(in Chinese).
    [16]
    欧阳辉, 朱之丽. 某涡喷发动机数值建模与改型设计[J]. 北京亚洲成人在线一二三四五六区学报, 2008, 34(3): 311-314.

    OUYANG H, ZHU Z L. Modeling and retrofit of certain turbojet[J]. Journal of Beijing University of Aeronautics and Astronautics, 2008, 34(3): 311-314(in Chinese).
    [17]
    VERBIST M. Gas path analysis for enhanced aero-engine condition monitoring and maintenance[D]. Netherlands: Delft University of Technology, 2017: 15-38.
    [18]
    KURZKE J, HALLIWELL I. Propulsion and power: an exploration of gas turbine performance modeling[M]. Berlin: Springer, 2018: 491-495.
    [19]
    CUMPSTY N. Jet propulsion: a simple guide to the aerodynamic and thermodynamic design and performance of jet engines[M]. Edinburgh: Cambridge University Press, 1997.
    [20]
    POLI R, KENNEDY J, BLACKWELL T. Particle swarm optimization[J]. Swarm Intelligence, 2007, 1(1): 33-57. doi: 10.1007/s11721-007-0002-0
    [21]
    KENNEDY J. Particle swarm optimization[C]//Proceedings of the Encyclopedia of Machine Learning. Berlin: Springer, 2011: 760-766.
    [22]
    RIDAURA J A R. Correlation analysis between HPC blade chord and compressor efficiency for the CFM56-3[D]. Lisbon: University of Lisbon, 2013.
    [23]
    楚武利, 刘前智, 胡春波. 航空叶片机原理[M]. 西安: 西北工业大学出版社, 2009: 9.

    CHU W L, LIU Q Z, HU C B. Principle of aviation blade machine[M]. Xi’an: Northwestern Polytechnical University Press, 2009: 9(in Chinese).
    [24]
    TSOUTSANIS E, LI Y-G, PILIDIS P, et al. Non-linear model calibration for off-design performance prediction of gas turbines with experimental data[J]. The Aeronautical Journal, 2017, 121(1245): 1758-1777. doi: 10.1017/aer.2017.96
    [25]
    MARTINS D A R. Off-design performance prediction of the CFM56-3 aircraft engine[D]. Lisbon: University of Lisbon, 2015.
  • 加载中

Catalog

    通讯作者: 陈斌, bchen63@163.com
    • 1. 

      沈阳化工大学材料科学与工程学院 沈阳 110142

    1. 本站搜索
    2. 百度学术搜索
    3. 万方数据库搜索
    4. CNKI搜索

    Figures(8)  / Tables(4)

    Article Metrics

    Article views(695) PDF downloads(13) Cited by()
    Proportional views
    Related

    /

    DownLoad:  Full-Size Img  PowerPoint
    Return
    Return