Volume 51 Issue 6
Jun.  2025
Turn off MathJax
Article Contents
JIA W,ZHANG F,YANG B W,et al. Ice crystal particles melting characteristics in a low-pressure compressor[J]. Journal of Beijing University of Aeronautics and Astronautics,2025,51(6):1991-2003 (in Chinese) doi: 10.13700/j.bh.1001-5965.2023.0326
Citation: JIA W,ZHANG F,YANG B W,et al. Ice crystal particles melting characteristics in a low-pressure compressor[J]. Journal of Beijing University of Aeronautics and Astronautics,2025,51(6):1991-2003 (in Chinese) doi: 10.13700/j.bh.1001-5965.2023.0326

Ice crystal particles melting characteristics in a low-pressure compressor

doi: 10.13700/j.bh.1001-5965.2023.0326
Funds:

National Natural Science Foundation of China (12102457); Open Fund for Key Laboratory of Icing and Anti/De-icing of China Aerodynamics Research and Development Center (IADL20210303)

More Information
  • Corresponding author: E-mail:caucjiawei@163.com
  • Received Date: 08 Jun 2023
  • Accepted Date: 13 Sep 2023
  • Available Online: 29 Mar 2024
  • Publish Date: 03 Apr 2024
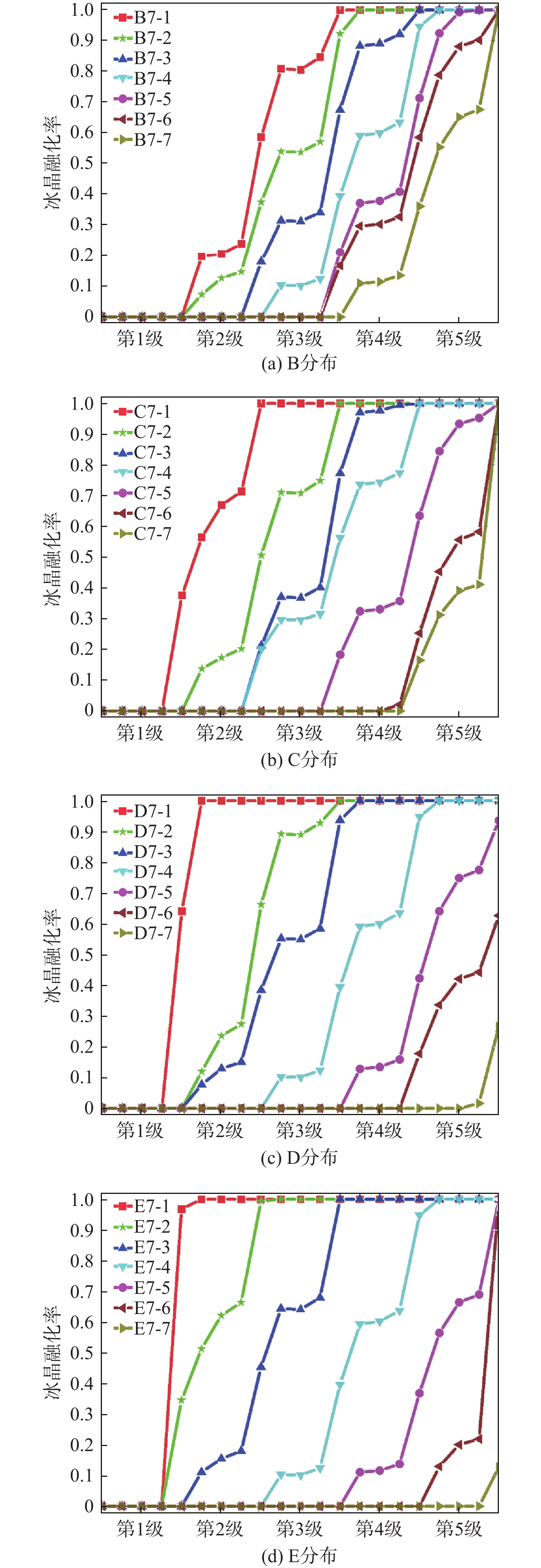
  • The melting of ice crystals in the compressor leads to ice formation on the blades. It is of great significance to analyze the ice crystal melting characteristics to study the ice crystal icing in the compressor. Based on the one-dimensional aerodynamic characteristics of the compressor, a rapid method for calculating the ice crystal melting ratio was developed and validated. A low-pressure compressor of a turbofan engine with a large bypass ratio was selected to study the influence of ice crystal size and ambient temperature on the ice crystal melting characteristics at the same particle size. The results show that the initial position of ice crystal melting tends to move to the rear stage of the low-pressure compressor with the increase in ice crystal size, and the decrease in ice crystal size or the increase in ambient temperature leads to the increase in ice crystal melting ratio. On this basis, the hypothesis of spherical ice crystals with equal particle size is broken through, and the influence of sphericity of non-spherical ice crystals and the particle size distribution of spherical ice crystal on the melting characteristics were analyzed by considering ice crystal shape and particle size distribution. The results demonstrate that the sphericity has an effect on the ice crystal melting ratio within a certain range. When the sphericity is between 0.710 and 0.958, the ice crystal melting ratio decreases with the increase in sphericity. Compared with the sphericity, the equivalent diameter of non-spherical ice crystals has a more significant effect on the ice crystal melting ratio. When the mean volume diameter (MVD) of the ice crystal is constant, the difference in particle size distribution leads to the maximum deviation of 20.5% in the ice crystal melting ratio at the same position in the compressor. For the particle size distributions with the same MVD but different coefficients of variation, in the front half of the ice crystal melting characteristic curve, the melting of small-sized ice crystals is dominant, and the particle size distribution with a larger coefficient of variation has a relatively higher melting ratio. However, in the latter part, the melting of large-sized ice crystals is dominant, and the particle size distribution with a smaller coefficient of variation has a relatively higher melting ratio.

     

  • loading
  • [1]
    HRADECKY S. Incidents and news in aviation [EB/OL]. (2013-07-31)[2023-02-01]. http://avherald.com/h?article=46679ba1&opt=0.
    [2]
    BRAVIN M, STRAPP J W, MASON J. An investigation into location and convective lifecycle trends in an ice crystal icing engine event database[C]//Proceedings of the SAE International Conference on Icing of Aircraft, Engines, and Structures. Warrendale: SAE International, 2015.
    [3]
    沈浩, 韩冰冰, 张丽芬. 航空发动机中冰晶结冰的研究进展[J]. 实验流体力学, 2020, 34(6): 1-7. doi: 10.11729/syltlx20190124

    SHEN H, HAN B B, ZHANG L F. Research progress of the ice crystal icing in aero-engine[J]. Journal of Experiments in Fluid Mechanics, 2020, 34(6): 1-7(in Chinese). doi: 10.11729/syltlx20190124
    [4]
    袁庆浩, 樊江, 白广忱. 航空发动机内部冰晶结冰研究综述[J]. 推进技术, 2018, 39(12): 2641-2650.

    YUAN Q H, FAN J, BAI G C. Review of ice crystal icing in aero-engines[J]. Journal of Propulsion Technology, 2018, 39(12): 2641-2650(in Chinese).
    [5]
    ADDY Jr H E, VERES J P. An overview of NASA engine ice-crystal icing research[C]//Proceedings of the SAE International Conference on Aircraft and Engine Icing and Ground Deicing. Warrendale: SAE International, 2011.
    [6]
    DEZITTER F, GRANDIN A, BRENGUIER J L, et al. HAIC-high altitude ice crystals[C]//Proceedings of the 5th AIAA Atmospheric and Space Environments Conference. Reston: AIAA, 2013.
    [7]
    NAGORSKI M, KOCH C, STAUDACHER S. Boundary conditions for compressor cascade ice crystal icing testing[J]. Journal of Turbomachinery, 2021, 143(10): 101013. doi: 10.1115/1.4050945
    [8]
    MASON J, STRAPP W, CHOW P. The ice particle threat to engines in flight[C]//Proceedings of the 44th AIAA Aerospace Sciences Meeting and Exhibit. Reston: AIAA, 2006.
    [9]
    MACLEOD J, FULEKI D. Ice crystal accretion test rig development for a compressor transition duct[C]//Proceedings of the AIAA Atmospheric and Space Environments Conference. Reston: AIAA, 2010.
    [10]
    HAUK T, BONACCURSO E, ROISMAN I V, et al. Ice crystal impact onto a dry solid wall. Particle fragmentation[J]. Proceedings of the Royal Society A: Mathematical, Physical and Engineering Sciences, 2015, 471(2181): 20150399 . doi: 10.1098/rspa.2015.0399
    [11]
    VERES J P, JORGENSON P, JONES S M. Modeling of highly instrumented honeywell turbofan engine tested with ice crystal ingestion in the NASA propulsion system laboratory[C]//Proceedings of the 8th AIAA Atmospheric and Space Environments Conference. Reston: AIAA, 2016.
    [12]
    ASHLIE F. Ice crystal icing investigation on a Honeywell uncertified research engine in an altititude simulation icing facility[J]. Journal of Turbomachinery, 2021, 143(10): 1-22.
    [13]
    VILLEDIEU P, TRONTIN P, CHAUVIN R. Glaciated and mixed phase ice accretion modeling using ONERA 2D icing suite[C]//Proceedings of the 6th AIAA Atmospheric and Space Environments Conference. Reston: AIAA, 2014.
    [14]
    IULIANO E, MONTREUIL E, NORDE E, et al. Modelling of non-spherical particle evolution for ice crystals simulation with an eulerian approach [C]//Proceedings of the SAE International Conference on Icing of Aircraft, Engines, and Structures. Warrendale: SAE International, 2015.
    [15]
    NORDE E. Eulerian method for ice crystal icing in turbofan engines [D]. Enschede: University of Twente, 2017.
    [16]
    AL-KHALIL K, IRANI E, MILLER D. Mixed phase icing simulation and testing at the cox icing wind tunnel[C]//Proceedings of the 41st Aerospace Sciences Meeting and Exhibit. Reston: AIAA, 2003.
    [17]
    姜飞飞, 董威, 郑梅, 等. 冰晶在涡扇发动机内相变换热特性[J]. 航空动力学报, 2019, 34(3): 567-575.

    JIANG F F, DONG W, ZHENG M, et al. Phase change heat transfer characteristic of ice crystal ingested into turbofan engine[J]. Journal of Aerospace Power, 2019, 34(3): 567-575(in Chinese).
    [18]
    谭燕. 基于欧拉方法的2维翼型冰晶结冰数值计算[J]. 航空发动机, 2020, 46(4): 30-35.

    TAN Y. Numerical calculation of 2D airfoil ice crystal icing based on Euler method[J]. Aeroengine, 2020, 46(4): 30-35(in Chinese).
    [19]
    卜雪琴, 李皓, 黄平, 等. 二维机翼混合相结冰数值模拟[J]. 航空学报, 2020, 41(12): 124085. doi: 10.7527/S1000-6893.2020.24085

    BU X Q, LI H, HUANG P, et al. Numerical simulation of mixed phase icing on two-dimensional airfoil[J]. Acta Aeronautica et Astronautica Sinica, 2020, 41(12): 124085(in Chinese). doi: 10.7527/S1000-6893.2020.24085
    [20]
    郭向东, 胡站伟, 丁亮, 等. 大型结冰风洞中冰晶热/力平衡特性数值研究[J]. 航空动力学报, 2022, 37(3): 478-491.

    GUO X D, HU Z W, DING L, et al. Numerical investigation of thermal and mechanical equilibrium characteristics of ice crystal in large icing wind tunnel[J]. Journal of Aerospace Power, 2022, 37(3): 478-491(in Chinese).
    [21]
    黄平, 卜雪琴, 刘一鸣, 等. 混合相/冰晶条件下的结冰研究综述[J]. 航空学报, 2022, 43(5): 025178.

    HUANG P, BU X Q, LIU Y M, et al. Mixed phase/glaciated ice accretion: Review[J]. Acta Aeronautica et Astronautica Sinica, 2022, 43(5): 025178(in Chinese).
    [22]
    马乙楗, 柴得林, 王强, 等. 翼面结冰过程中的冰晶运动相变与黏附特性[J]. 航空学报, 2023, 44(1): 35-46.

    MA Y J, CHAI D L, WANG Q, et al. Phase change and adhesion characteristics of ice crystal movements in wing icing[J]. Acta Aeronautica et Astronautica Sinica, 2023, 44(1): 35-46(in Chinese).
    [23]
    王进, 周玲, 季路成. 轴流压气机一维特性计算方法简介及展望[J]. 实验流体力学, 2021, 35(2): 1-12. doi: 10.11729/syltlx20200088

    WANG J, ZHOU L, JI L C. Brief introduction and prospect of calculation methods for one-dimensional characteristics of axial flow compressor[J]. Journal of Experiments in Fluid Mechanics, 2021, 35(2): 1-12(in Chinese). doi: 10.11729/syltlx20200088
    [24]
    WHITE N M, TOURLIDAKIS A, ELDER R L. Axial compressor performance modelling with a quasi-one-dimensional approach[J]. Proceedings of the Institution of Mechanical Engineers, Part A: Journal of Power and Energy, 2002, 216(2): 181-193. doi: 10.1243/09576500260049197
    [25]
    张军. 多级轴流压气机方案设计与特性计算研究[D]. 北京: 北京理工大学, 2016.

    ZHANG J. Study on scheme design and characteristic calculation of multistage axial compressor[D]. Beijing: Beijing Institute of Technology, 2016(in Chinese).
    [26]
    张长生, 王小莉. 轴流压气机设计点流动损失的预估和分析[J]. 航空动力学报, 1993, 8(1): 29-33.

    ZHANG C S, WANG X L. Estimation of flow loss at design point in an axial-flow compressor[J]. Journal of Aerospace Power, 1993, 8(1): 29-33(in Chinese).
    [27]
    CROWE C T, SCHWARZKOPF J D, SOMMERFELD M, et al. Multiphase flows with droplets and particles[M]. Boca Raton: CRC Press, 2011.
    [28]
    WRIGHT W, JORGENSON P, VERES J. Mixed phase modeling in GlennICE with application to engine icing[C]//Proceedings of the AIAA Atmospheric and Space Environments Conference. Reston: AIAA, 2010.
    [29]
    OLIVER M. Ice crystal icing engine testing in the NASA Glenn research center’s propulsion systems laboratory: altitude investigation[J]. SAE International Journal of Aerospace, 2015, 8(1): 33-37. doi: 10.4271/2015-01-2156
    [30]
    VERES J, JORGENSON P, WRIGHT W. A model to assess the risk of ice accretion due to ice crystal ingestion in a turbofan engine and its effects on performance[C]//Proceedings of the 4th AIAA Atmospheric and Space Environments Conference. Reston: AIAA, 2012.
    [31]
    Federal Aviation Administration. Appendix D to Part 33-mixed phase and ice crystal icing envelope (deep convective clouds): 79 FR 65538 [S]. Washington, D.C.: Federal Aviation Administration, 2014: 743–745.
    [32]
    PRUPPACHER H R, KLETT J D. Microphysics of clouds and precipitation[M]. Berlin: Springer, 1978.
    [33]
    VERES J P, JORGENSON P C E, JONES S M, et al. Modeling of a turbofan engine with ice crystal ingestion in the NASA propulsion system laboratory[C]//Proceedings of the Turbomachinery Technical Conference and Exposition. New York: ASME, 2017.
  • 加载中

Catalog

    通讯作者: 陈斌, bchen63@163.com
    • 1. 

      沈阳化工大学材料科学与工程学院 沈阳 110142

    1. 本站搜索
    2. 百度学术搜索
    3. 万方数据库搜索
    4. CNKI搜索

    Figures(15)  / Tables(9)

    Article Metrics

    Article views(151) PDF downloads(12) Cited by()
    Proportional views
    Related

    /

    DownLoad:  Full-Size Img  PowerPoint
    Return
    Return