Volume 51 Issue 6
Jun.  2025
Turn off MathJax
Article Contents
HUANG Y,WANG H Q,TU S L,et al. On-board timekeeping method based on improved Kalman filter[J]. Journal of Beijing University of Aeronautics and Astronautics,2025,51(6):2157-2164 (in Chinese) doi: 10.13700/j.bh.1001-5965.2023.0400
Citation: HUANG Y,WANG H Q,TU S L,et al. On-board timekeeping method based on improved Kalman filter[J]. Journal of Beijing University of Aeronautics and Astronautics,2025,51(6):2157-2164 (in Chinese) doi: 10.13700/j.bh.1001-5965.2023.0400

On-board timekeeping method based on improved Kalman filter

doi: 10.13700/j.bh.1001-5965.2023.0400
More Information
  • Corresponding author: E-mail:hqwang@zju.edu.cn
  • Received Date: 21 Jun 2023
  • Accepted Date: 22 Sep 2023
  • Available Online: 27 Jun 2025
  • Publish Date: 26 Oct 2023
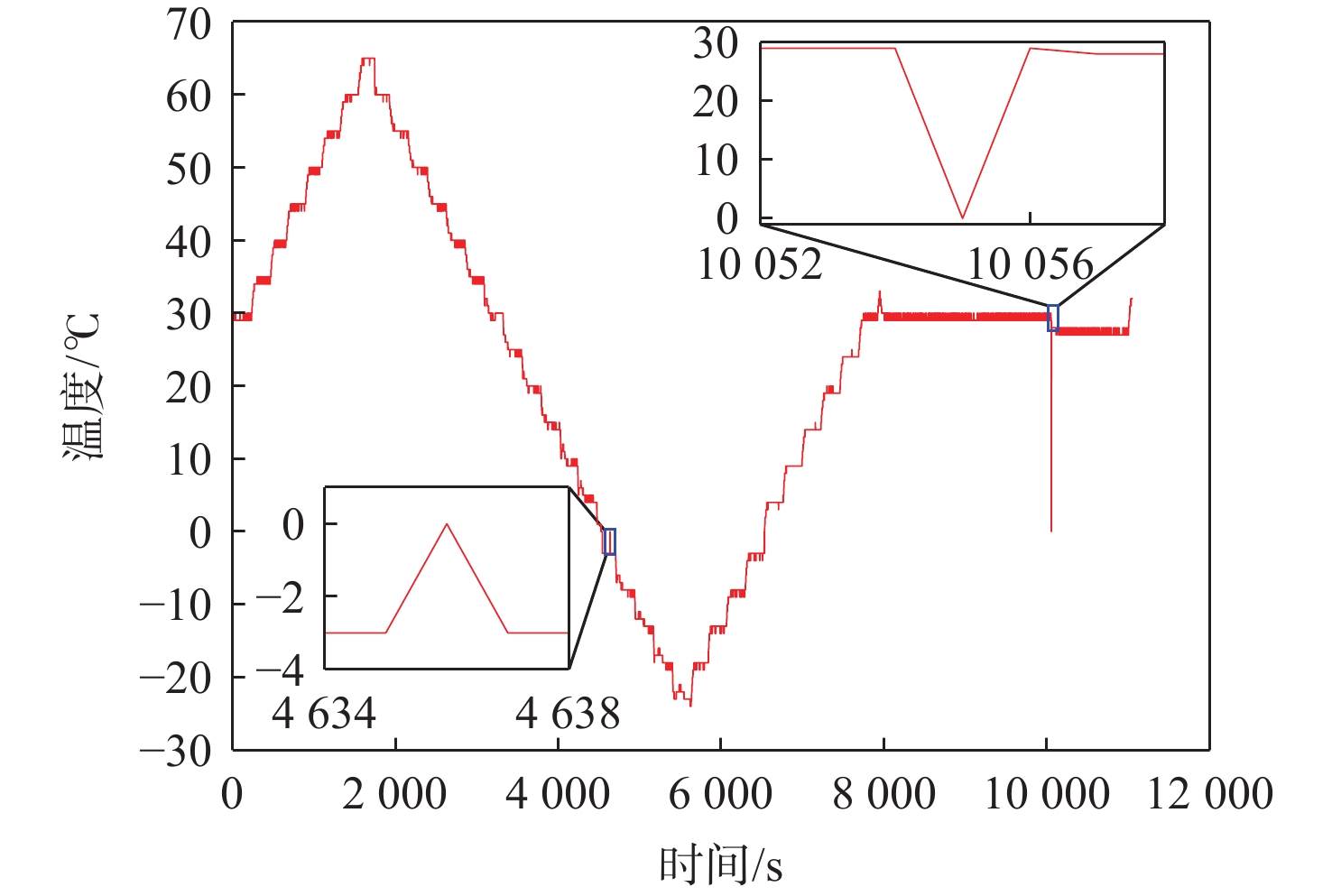
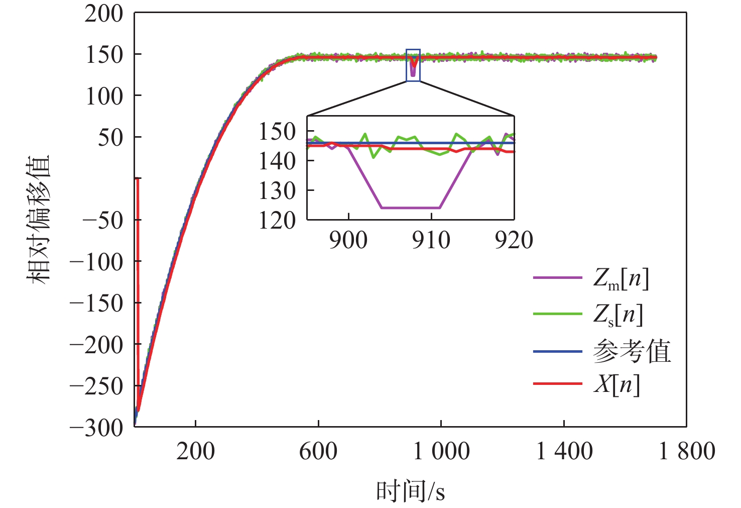
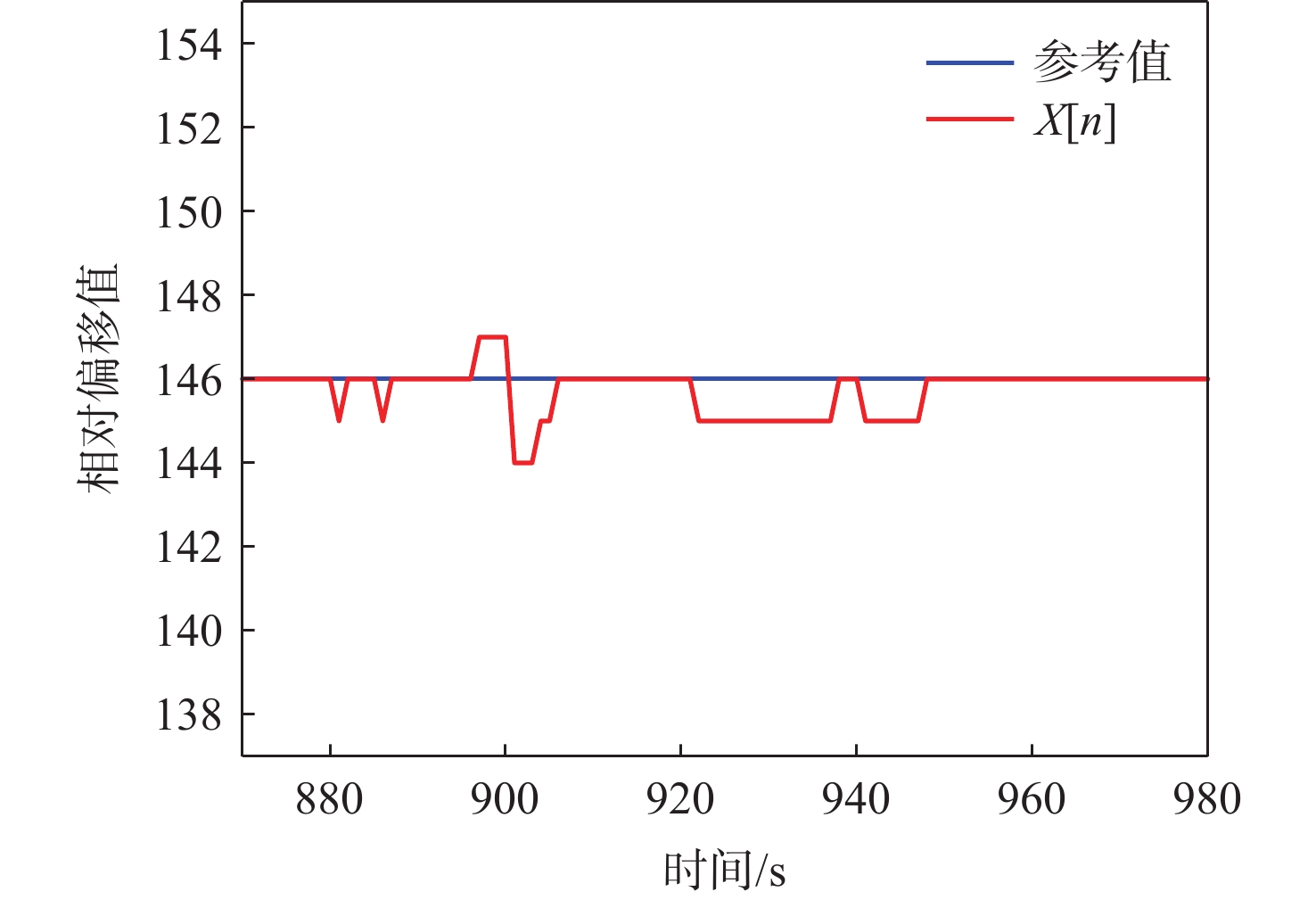
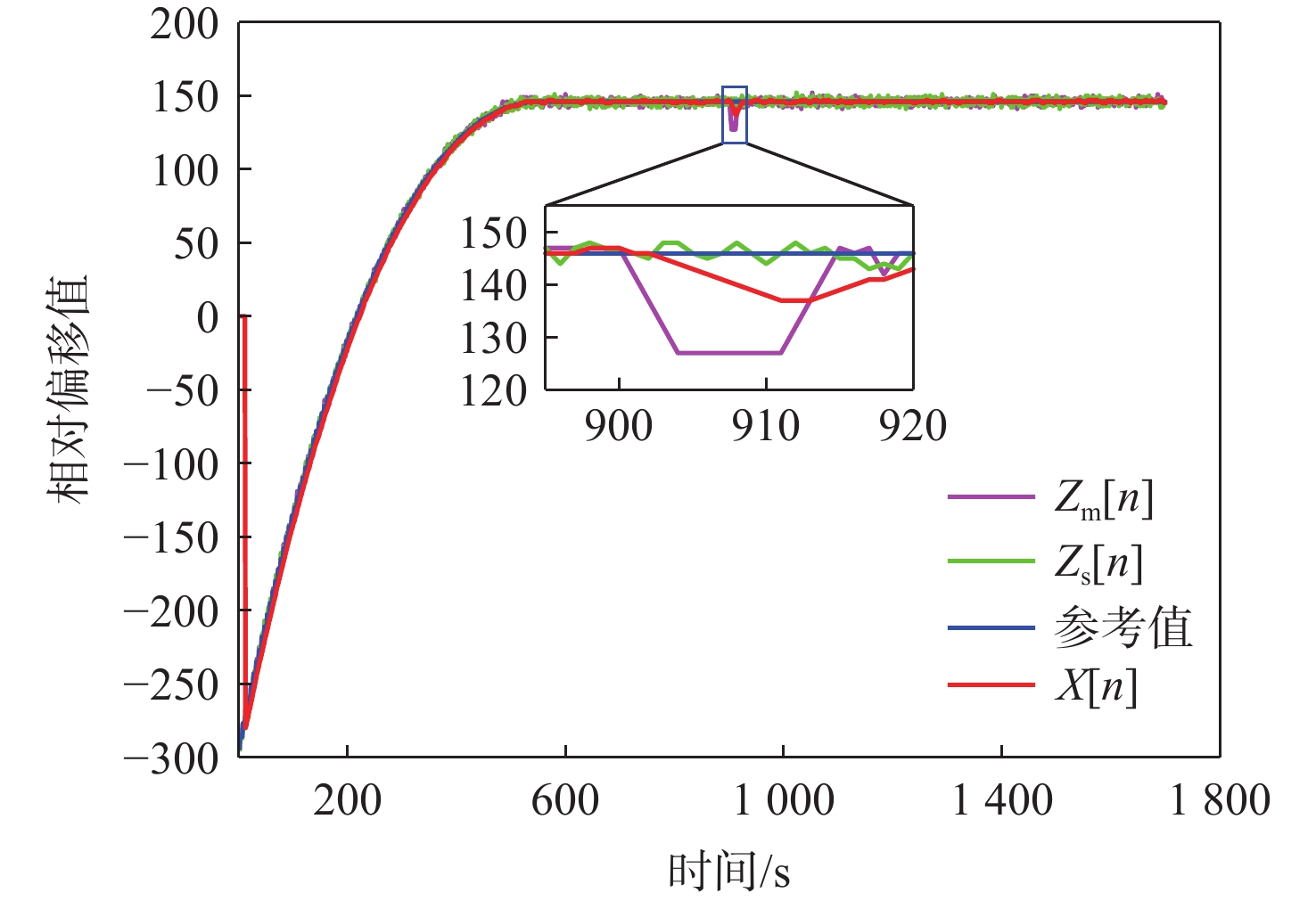
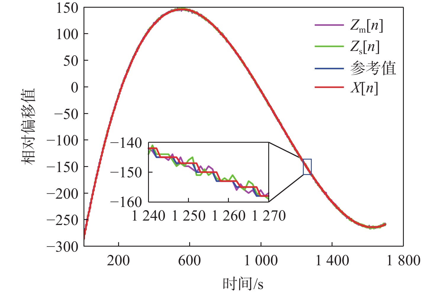
  • A new innovation-weighted adaptive Kalman filtering algorithm is proposed to improve system performance by addressing the issues of poor stability of the internal calibration punctual system of micro-nano satellites and low punctuality accuracy when large changes occur due to the influence of ambient temperature. A model of frequency change of temperature-compensated crystal oscillator with temperature is established, the Kalman filter algorithm is used to filter out the input noise and realize the calibration of the crystal oscillator model parameters, the input field value is filtered out by new innovation-weighted technology, and the influence of system noise on the filtering results is reduced by adaptive technology. The experimental results show that the algorithm can achieve the convergence of model parameters in about 600s and can be adjusted in real time during the calibration period. The influence of input field value and system noise can be successfully controlled throughout the calibration process; when the ambient temperature changes, the punctual accuracy can reach 178 μs/day. The proposed algorithm effectively improves the stability and punctual accuracy of the system.

     

  • loading
  • [1]
    ZHAO X Y, ZHAO C J, LI J L, et al. Research on design, simulation, and experiment of separation mechanism for micro-nano satellites[J]. Applied Sciences, 2022, 12(12): 5997. doi: 10.3390/app12125997
    [2]
    XU J L, ZHANG C J, WANG C H, et al. Approach to inter-satellite time synchronization for micro-satellite cluster[J]. Journal of Systems Engineering and Electronics, 2018, 29(4): 805-815. doi: 10.21629/JSEE.2018.04.15
    [3]
    YAO J, YOON S, STRESSLER B, et al. GPS satellite clock estimation using global atomic clock network[J]. GPS Solutions, 2021, 25(3): 106. doi: 10.1007/s10291-021-01145-8
    [4]
    BIANCALANA F, SKRYABIN D V, YULIN A V. Theory of the soliton self-frequency shift compensation by the resonant radiation in photonic crystal fibers[J]. Physical Review E, Statistical, Nonlinear, and Soft Matter Physics, 2004, 70(1 Pt 2): 016615.
    [5]
    GIRALO V, D’AMICO S. Distributed multi-GNSS timing and localization for nanosatellites[J]. Navigation, 2019, 66(4): 729-746. doi: 10.1002/navi.337
    [6]
    苏星, 王慧泉, 金仲和. 基于GPS校准的皮卫星高精度时间系统方案[J]. 传感技术学报, 2016, 29(8): 1200-1204. doi: 10.3969/j.issn.1004-1699.2016.08.013

    SU X, WANG H Q, JIN Z H. The high-precisiontime system design of pico-satellite based on GPS receiver[J]. Chinese Journal of Sensors and Actuators, 2016, 29(8): 1200-1204 (in Chinese). doi: 10.3969/j.issn.1004-1699.2016.08.013
    [7]
    GIORGI G, NARDUZZI C. Performance analysis of Kalman-filter-based clock synchronization in IEEE 1588 networks[J]. IEEE Transactions on Instrumentation and Measurement, 2011, 60(8): 2902-2909. doi: 10.1109/TIM.2011.2113120
    [8]
    PALLIER D, LE CAM V, PILLEMENT S. Energy-efficient GPS synchronization for wireless nodes[J]. IEEE Sensors Journal, 2021, 21(4): 5221-5229. doi: 10.1109/JSEN.2020.3031350
    [9]
    李振海, 唐金锐, 熊斌宇, 等. 基于新息加权自适应UPF算法的智能变电站PTP主时钟源校准新方法[J]. 电网技术, 2022, 46(5): 1662-1671.

    LI Z H, TANG J R, XIONG B Y, et al. A novel calibration method for the master PTP clock in smart substations using new information sequence weighting and adaptive unscented Kalman particle filter algorithms[J]. Power System Technology, 2022, 46(5): 1662-1671 (in Chinese).
    [10]
    KOSYKH A V, IONOV B P. Dynamic temperature model and dynamic temperature compensation of crystal oscillators[J]. IEEE Transactions on Ultrasonics, Ferroelectrics, and Frequency Control, 2002, 41(3): 370-374.
    [11]
    LIU Z, CHENG Y H, WANG P, et al. A method for remaining useful life prediction of crystal oscillators using the Bayesian approach and extreme learning machine under uncertainty[J]. Neurocomputing, 2018, 305: 27-38. doi: 10.1016/j.neucom.2018.04.043
    [12]
    TAN F, LIAO S, XU L, et al. New method for 100-MHz high-frequency temperature-compensated crystal oscillator[J]. IEEE Transactions on Ultrasonics, Ferroelectrics, and Frequency Control, 2020, 67(12): 2745-2749. doi: 10.1109/TUFFC.2020.3013664
    [13]
    ANDREJEVIC M V, LITOVSKI V. Electronic circuits modeling using artificial neural networks[J]. Journal of Automatic Control, 2003, 13(1): 31-37. doi: 10.2298/JAC0301031A
    [14]
    VIG J R. Quartz crystal resonators and oscillators for frequency control and timing applications. A tutorial [J]. Nasa Sti/recon Technical Report N, 1994, 95: 19519.
    [15]
    MOHAMED A H, SCHWARZ K P. Adaptive Kalman filtering for INS/GPS[J]. Journal of Geodesy, 1999, 73(4): 193-203.
    [16]
    BEN SASSI H, FATIMA E, ES-SBAI N. State of charge estimation by multi-innovation unscented Kalman filter for vehicular applications[J]. Journal of Energy Storage, 2020, 32: 101978. doi: 10.1016/j.est.2020.101978
  • 加载中

Catalog

    通讯作者: 陈斌, bchen63@163.com
    • 1. 

      沈阳化工大学材料科学与工程学院 沈阳 110142

    1. 本站搜索
    2. 百度学术搜索
    3. 万方数据库搜索
    4. CNKI搜索

    Figures(12)  / Tables(1)

    Article Metrics

    Article views(91) PDF downloads(11) Cited by()
    Proportional views
    Related

    /

    DownLoad:  Full-Size Img  PowerPoint
    Return
    Return