2023 Vol. 49, No. 6

Display Method:
Volume 6 Issue E-journal
Volume 49 Issue62023
iconDownload (34665) 1290 iconPreview
Mural inpainting progressive generative adversarial networks based on structure guided
CHEN Yong, CHEN Jin, TAO Meifeng
2023, 49(6): 1247-1259. doi: 10.13700/j.bh.1001-5965.2021.0440
Abstract:

Aiming at the problems of improper structural repair and loss of mural detail reconstruction after repairing during the process of damaged mural image inpainting, mural inpainting progressive generative adversarial networks based on structure guided is proposed. Firstly, a structure generator is designed to generate the missing structure content of the mural. Secondly, the mural generator is used to generate adversarial learning, and combined with the improved double pooling SKNet multi-scale feature extraction modular, the repaired structure image is used to guide the damaged mural to achieve progressive repair, which improves the detailed feature learning ability of the mural. Lastly, the reconstruction of the structural picture and the mural image is finished using the local discriminator and the global discriminator, which improves the overall consistency of the mural restoration result. Experiments on digital restoration of real Dunhuang murals show that the proposed method can effectively repair damaged Dunhuang murals, and the restored murals have a stronger structure and high-quality texture details than other comparison algorithms. Meanwhile, the proposed has better both subjective and objective evaluation.

A workpiece location algorithm based on improved SSD
LI Lin, FU Mingheng, ZHANG Tie, ZOU Yanbiao
2023, 49(6): 1260-1269. doi: 10.13700/j.bh.1001-5965.2021.0442
Abstract:

Accurate position information is essential for the robots to complete tasks such as picking, sorting, and assembling workpieces. However, the location accuracy of the prediction box is sensitive to the design of the loss function of the object detection algorithm. The four boundary information's correlation is disregarded in the SSD original regression loss function, which also does not account for changes in the evaluation index IoU. In response to the above problems, a workpiece location algorithm based on improved SSD is proposed. To address the problem of inaccurate bounding box regression, the suggested algorithm uses efficient intersection over union (EIoU) as the regression loss function of SSD. To represent the closeness of the center points and the difference in side length between the prediction box and the ground truth box, respectively, two penalty terms representing center point loss and aspect loss are added to the four boundary information as a whole. Experimental results demonstrate that the average location error is no more than 0.18 mm and the peak error is below 0.76 mm. The proposed algorithm not only can effectively improve the accuracy of the workpiece location but also work well in different kinds of workpieces or similar location tasks, which is promising for industrial applications.

Scattering characteristics of cavity-like targets based on carrier-to-cancellation method
AI Junqiang, LOU Changyu, ZHAO Jingcheng, ZHANG Yang, LI Jiabi
2023, 49(6): 1270-1277. doi: 10.13700/j.bh.1001-5965.2021.0428
Abstract:

Scattering from cavity-type targets such as air intakes is an important part of scattering from stealth vehicles, and the existing studies on scattering from cavity-type targets do not give results on scattering characteristics of cavity-type targets after installation. By applying the carrier-to-cancellation technique to the electromagnetic scattering calculation of the cavity model, the scattering from the outer surface of the cavity can be effectively eliminated and more accurate scattering characteristics of the inner cavity can be obtained. Two cavity models with closed mouth surface and filled with absorbing materials are constructed, and the effectiveness and accuracy of the carrier-to-cancellation technique are verified by the point-frequency radar cross section (RCS), one-dimensional imaging and two-dimensional imaging of the cavity model. The numerical calculation results show that the contribution of the incident electromagnetic wave to the total scattering of the cavity is smaller for the internal scattering of the cavity in the angle range of 60° to 90°, and the contribution of the scattering from the outer surface of the cavity is larger, with a difference of more than 30 dB at ±90°. When analyzing the internal scattering of cavity-like targets such as air intakes in this angle range, the influence of the outer surface of the cavity must be effectively eliminated.

An efficient spatial interpolation method involving position shading
ZHOU Changcong, LIU Hongwei, HE Baoming, WANG Wei, TAN Chunlong
2023, 49(6): 1278-1286. doi: 10.13700/j.bh.1001-5965.2021.0443
Abstract:

The inverse distance weight interpolation method has a wide range of applications in aerospace, but it only considers the distance relationship and ignores the azimuth relationship. This shortcoming is addressed by the adjusted inverse distance weight interpolation method with position shading, although it is only appropriate for plane interpolation. Based on the basic assumption of this method, according to the different spatial distribution of normalized sample points, this paper formulates a unified uniformity quantization standard based on the plane uniform angle and spherical uniform angle, and proposes a three-dimensional spatial interpolation method. This study proposes a new technique that significantly increases the effectiveness of interpolation by searching sample points close to the interpolation points. Through the calculation of test functions, it is found that compared with the inverse distance weight interpolation method, the error of the proposed method issignificantly reduced. The proposed method is applied to the aerodynamic loads interpolation of a civil aircraft nacelle, and the results show that the proposed method has the advantages of high efficiency and high accuracy.

Inverted residual target detection algorithm based on LGC
ZHANG Yunzuo, LI Wenbo, ZHENG Tingting
2023, 49(6): 1287-1293. doi: 10.13700/j.bh.1001-5965.2021.0452
Abstract:

Target detection based on deep learning is a research hotspot in computer vision. Although existing mainstream detection models usually increase the depth and width of the network to acquire better detection results, it is unamiable to suffer from parameters increasing and detection rate decreasing. To address this problem, an efficient lightweight Ghost convolution (LGC) model, which aims to balance the detection accuracy and speed, and obtain more feature maps with fewer parameters, was proposed by referring to the lightweight idea of Ghost convolution and group convolution. CSPDarkNet53 that was redesigned with the above convolution and an inverted residual structure was introduced to generate an inverted residual feature extraction network to improve the global feature information extraction capability of the model. On this basis, the inverted residual feature extraction network was used as the backbone network of YOLOv4, and depthwise separable convolution was used to reduce the parameters. To improve the overall performance of the algorithm, an inverted residual target detection algorithm was proposed. Experimental results show that compared with the current mainstream target detection algorithm, the proposed algorithm has prominent advantages in the number of model parameters and detection speed under the premise of similar detection accuracy.

Lattice based strong designated verifier signature scheme
ZHANG Ping, CHI Huanhuan, LI Jinbo, SHANG Youlin
2023, 49(6): 1294-1300. doi: 10.13700/j.bh.1001-5965.2021.0445
Abstract:

The signer can identify a verifier using the strong designated verifier signature (SDVS) scheme. Only the selected verifier can confirm that the signature was created by the signer. Using the trapdoor generation process, we first built a lattice-based strongly designated verifier signature scheme and demonstrated its accuracy. At the same time, based on the improved small integer solution (SIS) problem, the existential unforgeability of the scheme under adaptive chosen message attack is proved in the standard model. The non-transferability of the technique and the secrecy of the signer’s identity are demonstrated utilizing learning with errors (LWE) problem. In order to successfully protect the user’s privacy, the signature technique is then used to the data integrity audit mechanism in cloud computing. As a result, only the approved third party has the right to verify the data.

A robust adaptive filtering algorithm based on predicted residuals in integrated navigation
LIU Fei, WANG Zhi, DAI Yeying, LIU Xin, SUN Rui
2023, 49(6): 1301-1310. doi: 10.13700/j.bh.1001-5965.2021.0460
Abstract:

Integration of the global navigation satellite system (GNSS) and the inertial navigation system (INS) can effectively improve the accuracy and reliability of the navigation system, and therefore has been widely used in many applications. In particular, the Kalman filter is commonly used in the fusion algorithm, but its performance will be severely degraded due to the vehicle motion and the low quality GNSS measurements. To deal with the above issues, a robust adaptive Kalman filter (RAKF) based algorithm has been proposed for the GNSS/INS fusion. By the construction of adaptive factor based on predicted residuals in the robust estimation process, the proposed algorithm can effectively improve the stability, reliability and accuracy of the system in the conditions of abnormal disturbance in the GNSS measurements and vehicle dynamic model. The simulation results show that the 3D positioning results obtained by the proposed algorithm is superior to the standard Kalman filter in both loosely and tightly coupled integrated navigation, with an improvement of 45.9% and 46.8%, respectively.

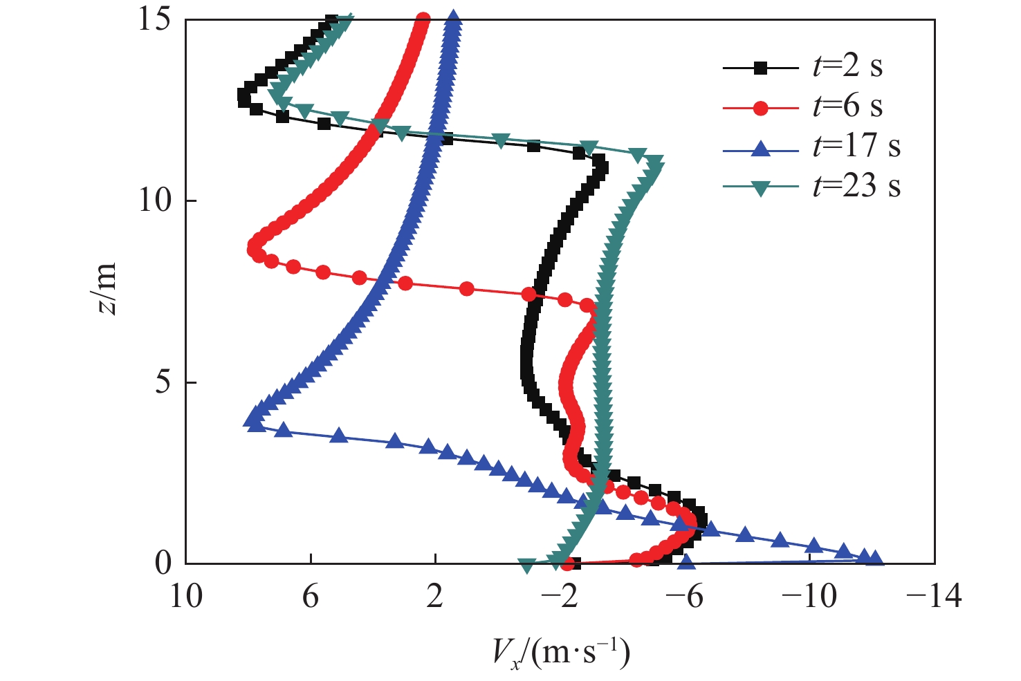
Simulation of cavity flow at high Mach number based on adaptive unstructured hybrid mesh
ZHANG Peihong, TANG Yin, TANG Jing, LUO Lei, JIA Hongyin, ZHANG Yaobing
2023, 49(6): 1311-1318. doi: 10.13700/j.bh.1001-5965.2021.0424
Abstract:

The cavity flow, especially at high Mach numbers (Ma>2), is complicated due to strong shock waves and shear, separation vortices, and their mutual interference. The mesh distribution and the quality of mesh generation thus significantly affect simulation results. The adaptive detector based on unstructured hybrid mesh established by our project team is applied to the numerical simulation of cavity flow at high Mach numbers. The evaluation of standard cavity model verifies that the high Mach number cavity flow with large separation and strong shear can be better simulated by mesh adaptive technique. The effect of flow parameters such as Mach number and Reynolds number on cavity flow characteristics are examined. With the increase of Mach numbers, the dynamic pressure in the cavity increases sharply, the shock effect of free flow and shear layer on the back wall increases obviously, the unevenness of pressure distribution increases, and the pressure peak on the back wall increases gradually. Increasing the Reynolds number leads to an increase in pressure peak at the back wall, and the effect of Reynolds numbers on the pressure distribution of the cavity becomes more significant at high Mach numbers than low Mach numbers.

Reduced order method for large flexible wing structure based on dynamic response data
XIE Changchuan, ZHANG Duoyao, AN Chao
2023, 49(6): 1319-1330. doi: 10.13700/j.bh.1001-5965.2021.0439
Abstract:

Due to the flexibility of modern aircraft wing, geometric nonlinearity cannot be neglected. Based on dynamic response data samples, non-linear stiffness coefficients in structural dynamics equation are identified based on harmonic balance and fast Fourier transform, and a non-linear structural order reduction model is established. The basic mode of displacement residue is introduced to recover the displacement of large flexible wings. A geometrically nonlinear aeroelastic analysis framework for large flexible wings is established by combining non-planar vortex lattice method and non-planar spline interpolation method. Compared with reduced order model for the traditional geometric nonlinear structure based on static data regression analysis, the proposed method requires a small number of load sets and improves analysis efficiency. Results show that compared with the nonlinear finite element method, the proposed model has high accuracy and can be effectively applied to the geometric nonlinear static aeroelastic analysis of large flexible wings. The result of traditional linear calculation method is significantly different from that of the nonlinear method.

Evaluation and optimization of departure flight schedule stability of airport group
WANG Xinglong, XU Yanfeng, XUE Yichen
2023, 49(6): 1331-1341. doi: 10.13700/j.bh.1001-5965.2021.0462
Abstract:

As China’s aviation traffic keeps growing, issues including dwindling flight schedule resources and major flight delays in airport clusters are rapidly becoming more and more prevalent. It is necessary to thoroughly study flight schedule optimization in airport groups. On the basis of defining the concept of departure flight schedule stability of airport groups, this paper puts forward six evaluation indexes of departure flight schedule stability of airport groups, such as departure flight delay rate and average delay time, and evaluates the stability quality by using improved TOPSIS (a technique for order preference by similarity to ideal solution). Following the establishment of the airport group’s departure flight schedule optimization model and the selection of an improved particle swarm optimization algorithm to optimise the model, the flight plans before and after optimization are contrasted using the stability quality as the benchmark. Finally, taking Beijing-Tianjin-Hebei airport group as an example, the simulation results show that the proposed optimization model and algorithm can reduce the average delay time of departure flights at Beijing airport by 18.8 s and the average delay rate by 9.9%; The average delay time of busy routes is reduced by 12.7 s, and the average delay rate is reduced by 3.0%, which effectively reduces the overall delay level of Beijing-Tianjin-Hebei airport group and improves the stability of departure flight schedule of the airport group.

Airport risk propagation network oriented to aviation network
GUAN Xiangmin, ZHAO Shuaizhe
2023, 49(6): 1342-1351. doi: 10.13700/j.bh.1001-5965.2021.0469
Abstract:

Aviation network traffic has increased day by day, and operations between airports are closely coupled. Airport risk diffusion has grown to be a major issue that affects their ability to operate safely and effectively. However, the spread mechanism of airport risk at the network level has not yet been fully understood. This paper first proposes an airport risk coupling quantification method based on clustering algorithm and taking into account multiple risk factors, then constructs risk time series and applies causality testing methods to construct airport risk propagation network in order to better study the mechanism of airport risk propagation at the network level. By comparing the performance of different types of networks, analyzing the characteristics of risk propagation networks, and studying the overall characteristics and laws of risk propagation. The findings demonstrate that the degree distribution of the risk propagation network meets the requirements for dual-zone logarithmic distribution, exhibits small-world properties, has a small network width and high community, and can be separated into a number of densely connected areas. The low network efficiency of the risk propagation network indicates that it is more difficult for the risk to spread globally.

Accelerated computational method of helicopter brownout based on DEM
TAN Jianfeng, HAN Shui, WANG Chang, YU Lingjun
2023, 49(6): 1352-1361. doi: 10.13700/j.bh.1001-5965.2021.0450
Abstract:

Numerical simulation of helicopter brownout is a major analysis method to investigate the evolution characteristics of helicopter brownout. However, the sand cloud is composed by many sand particles with complex characteristics resulting in a large computational cost. Based on a discrete element method (DEM) and dynamic equations of sand particles, a background grid mapping-splitting model is proposed, where sand particles are mapped in background grids to accelerate the numerical simulation and the background grids are divided into several zones to reaccelerate the numerical simulation. Coupling the model with contact model of particle-particle interaction, model of particle-fluid interaction, model of rotor/ground unsteady flow, an accelerated computational method of helicopter brownout based on DEM is established, and is compared with the flight test of US Army EH-60L brownout in an approaching flight. The results show that the present numerical method has ability to accurately capture the process of helicopter brownout. Compared to the numerical simulation with direct method, the present computational cost is significantly reduced. Additionally, the computational cost of the direct method increases as a parabola, whereas that of the present method is a linear growth. The computational cost of the present method is reduced by 70.29% when compared with the just background mapping method for a 1×107 particles case.

Data processing technology of balanced dynamic characteristics based on wavelet reconstruction
ZHANG Junbin, XU Xiaobin, WANG Xiong, JIANG Wanqiu, SHU Haifeng, SUN Peng
2023, 49(6): 1362-1371. doi: 10.13700/j.bh.1001-5965.2021.0441
Abstract:

Forced vibration occurs in wind tunnel experiments, thus, the data measured by balance is the aliasing of forced vibration and the aerodynamic force of a model. This affects the accuracy of force data. To address this problem, data processing technology of balanced dynamic characteristics is proposed based on wavelet reconstruction. Acceleration sensors are installed on the model, with vibration data obtained by knocking model, and natural frequency analyzed by fast Fourier transform (FFT). The filtering threshold is determined, and then the wavelet reconstruction is used for filtering. Finally, the dynamic compensation coefficient is calculated by projection equation. The aerodynamic data measured by the balances compensated by the compensation coefficient. Through the analysis of the experimental data, model forced vibration interference data can be processed by balance dynamic characteristics based on wavelet reconstruction. This study shows important application potential of the proposed technology in engineering.

Effect of nitrate on exfoliation corrosion of 2A12-T4 aluminum alloy under full-immersion corrosion condition
ZHANG Sheng, HE Yuting, NI Bo, XU Dawei, YAN Yong, CUI Changjing
2023, 49(6): 1372-1382. doi: 10.13700/j.bh.1001-5965.2021.0473
Abstract:

The 2A12-T4 aluminum alloy specimen exposed to the coastal atmosphere for 20 years was analyzed with spherical aberration corrected transmission electron microscope. The presence of nitrogen was first determined in the corrosion products at the deepest corrosion part of the longitudinal section of the exfoliation corrosion area. This indicated the presence of ${\text{NO}}_x^{{ - }}$ in the coastal atmospheric exfoliation corrosion process of aluminum alloy. Then the full immersion corrosion tests of 2A12-T4 aluminum alloy in four different nitrate concentration corrosion solutions were carried out. It was found that the exfoliation corrosion severity of the specimens decreased significantly with the decrease of nitrate concentration in the solution; while in the solution containing ${\text{Cl}}_{}^{{ - }}$ and ${\text{SO}}_4^{{{2 - }}}$ rather than ${\text{NO}}_3^{{ - }}$, the exfoliation corrosion of the specimens did not occur. At the same time, combined with the test of the generated gas, ion chromatograph analysis, surface and sectional corrosion behavior SEM and EDS analysis, etc., the influence mechanism of nitrate on the exfoliation corrosion of aluminum alloy was analyzed and discussed. It is suggested that the role of nitrate in the corrosive environment cannot be ignored when carrying out the coastal atmospheric exfoliation corrosion simulation tests of aircraft aluminum alloy structures.

Trajectory optimization algorithm of skipping missile based on deep reinforcement learning
GONG Kaiqi, WEI Hongkui, LI Jiawei, SONG Xiao, LI Yong, LI Yixin, ZHANG Yue
2023, 49(6): 1383-1393. doi: 10.13700/j.bh.1001-5965.2021.0436
Abstract:

The skipping flight process of the skipping missile can be modeled as a set of time-varying nonlinear differential equations which cannot be solved analytically. Therefore, it brings great difficulties to optimize the trajectory optimization of the skipping missile. To solve this problem, a deep reinforcement learning trajectory optimization method based on double deep Q-network (DDQN) is proposed to maximize the range of the missile under certain constraints of heat flux, dynamic pressure, and overload. The procedure of this method is as follows. Firstly, the action space, state space, and reward function of the algorithm are designed. The appropriate greedy strategy is then determind, along with the learning rate, an important algorithmic parameter. Further, the network optimization (NEO) strategy is introduced and then the NEO-DDQN algorithm is proposed. Finally, comparison experiments with the optional constant angle of attack (OCAOA) scheme and genetic algorithm (GA) are designed. Results show that the network optimization strategy effectively improves the stability of the algorithm and increases the flight range by 2.52%. Compared with OCAOA scheme and GA, the NEO-DDQN method improves the range of skipping missiles by 2.61% and 1.33% respectively. In addition, the proposed method successfully avoids directly dealing with complex nonlinear differential equations and innovatively provides a learning-based method for the trajectory optimization of the missile.

GNSS instantaneous attitude determination method based on multi-variable constraints
CHEN Jiajia, YUAN Hong, XU Ying, YUAN Chao, GE Jian
2023, 49(6): 1394-1401. doi: 10.13700/j.bh.1001-5965.2021.0453
Abstract:

The traditional direct attitude determination or least square method depends on the correct fixation of the ambiguity. When the number of satellites is small or there is interference, the success rate of ambiguity will be greatly reduced, which will lead to inaccurate attitude determination results. This study employs the multivariate constraint-based attitude determination method, which treats attitude determination and ambiguity as a single problem to be solved and does not place any strict restrictions on the baseline's length. This paper uses the geometric information of the antennas and the orthogonal characteristics of the attitude matrix to perform multivariate constraints on the observation model. It can effectively improve the success rate of ambiguity and achieve instantaneous attitude determination. The simulation results show that the multivariable constraint method can achieve 75.7% ambiguity fixed success rate even in the scene with very low signal observation accuracy. Even if there are only four satellites, the success rate of this method can reach more than 90%. Under the premise of using the ultra-short baseline, this method can achieve an attitude accuracy of 0.93°.

Degradation mechanism and influencing factors on lithium-ion batteries
YAN Xiaoyu, ZHOU Sida, LU Yu, ZHOU Xin’an, CHEN Fei, YANG Shichun, HUA Yang, XU Kai
2023, 49(6): 1402-1413. doi: 10.13700/j.bh.1001-5965.2021.0458
Abstract:

As the development of new energy vehicles has been considered an important strategy for China on becoming an automobile power, electric vehicles, and power batteries have been broadly researched. However, the difficulty in evaluating battery lifespan and health state limits the further application for lithium batteries. In this article, the systematical analysis of the aging mechanism of the battery with the consideration of positive or negative materials, electrolytes, and current collectors is carried out. And to examine the impact of charge and discharge ratio, temperature, and cycle interval, a variety of influencing factors, such as extreme working conditions, elaborate factors of power battery aging, are compiled. Moreover, the article reviews the current mathematical models of battery capacity mechanism, and provides the reference for the construction of the digital twin model, delivering the potential theoretical basis for the design of the vehicle battery health management system.

Tethering behavior detection architecture based on RTT measurement of TCP flows
DAI Xianlong, CHENG Guang, LU Guangyin, JIN Binlei
2023, 49(6): 1414-1423. doi: 10.13700/j.bh.1001-5965.2021.0463
Abstract:

Tethering behaviour is the sharing of an Internet connection service with other connected devices by using a mobile smart device as a NAT gateway. It will share the smartphone's data plan, especially the unlimited data plan. So, it can put ISPs under additional pressure to operate mobile Internet and have an impact on their revenue. It can hide the internal network structure from the public network same as Network Address Translation (NAT). It also provides the possibility for illegal devices to access anonymously. Due to many limitations and circumventing methods in tethering detection, the existing NAT detection technology is difficult to detect tethering behavior. In order to process and forward data traffic, we examine the features of tethering behaviors terminal devices in mobile Internet communication base station. We also analyze the relevant characteristics of RTT in TCP flows in mobile Internet traffic. Then, we propose a tethering detection method based on unsupervised analysis of RTT in TCP flows, and construct the test network environment of this method. The experimental results verify the effectiveness of this method in detecting tethering behavior, and realize the effective detection of tethering behavior in mobile Internet by passive network traffic monitoring ,with an accuracy of 97.50%.

UAV reinforcement learning control algorithm with demonstrations
SUN Dan, GAO Dong, ZHENG Jianhua, HAN Peng
2023, 49(6): 1424-1433. doi: 10.13700/j.bh.1001-5965.2021.0466
Abstract:

The practical application of reinforcement learning (RL) in an unmanned aerial vehicle control is restricted by low learning efficiency. An algorithm integrating RL with imitation learning was proposed to improve the performance of autonomous flight control systems. By establishing new loss and value functions, demonstrations were included as supervisory signals to actor and critic networks updating. Two replay buffers were utilized to store demonstration data and the data generated by interacting with the environment respectively. The prioritized experience replay system enhances the use of high-quality data and may assess the ratio of experience data utilization while learning. Simulation results showed that the RL control algorithm with demonstrations quickly obtained high rewards in the early stage of training and it had higher rewards during the whole training process than the conventional RL algorithm. The control strategy obtained by the proposed algorithm had faster response speed and higher control precision. Demonstrations enhance both the performance of the algorithm and the learning efficiency of the unmanned aerial vehicle autonomous control system, which makes it easier to learn more effective control techniques. The addition of demonstrations expands experience data, and increases the stability of the algorithm, making the unmanned aerial vehicle autonomous control system robust to the setting of the reward function.

Selection method of aim point for surface-to-air missile fragment against military aircraft
HOU Peng, PEI Yang, ZHANG Ruiwen, GE Yuxue, BAI Chunyu, ZHANG Yu
2023, 49(6): 1434-1445. doi: 10.13700/j.bh.1001-5965.2021.0467
Abstract:

To improve the damage efficiency of infrared imaging guided missile fragment warhead against military aircraft, a typical air-to-ground combat aircraft is taken as the research object, and the aim point selection method of fragmentation warhead against combat aircraft in two case is proposed. Based on the vulnerability model and warhead fragment dispersion model of aircraft, the damage probability of aircraft is calculated by using shot line method. For the case that the fuze detection process is not considered, the warhead damage efficiency index based on missile guidance error is established to select the aim point under the given attack direction. For the case that the fuze detection process is considered, the location of the explosion point is determined according to the fuze simulation and missile guidance error. Monte Carlo method is used to calculate the average damage probability of each explosion point, and then the optimal aim point in each attack direction is obtained. The aim point selection method under the attack of infrared guided surface-to-air missile is analyzed and studied through the simulation example. The results indicate that the optimal distribution of aim point is on the edge of the body when the case that the fuze detection process is ignored, and the optimal aiming point will be offset to the body center when the process fuze detection is considered.

Research and application of parallel infill sampling method based on non-dominated sorting
LIU Rui, BAI Junqiang, QIU Yasong
2023, 49(6): 1446-1459. doi: 10.13700/j.bh.1001-5965.2022.0831
Abstract:

The surrogate-based optimization method can greatly improve the efficiency of high-precision numerical optimization, while the infill sampling method is very important for the optimization result and efficiency. Several training samples can be infilled using the parallel infill sampling approach in a single step, fully using computer resources and increasing efficiency. In this article, based on the surrogate-based optimization framework including sub-optimization, three multi-objective parallel infill methods are constructed, using the prediction value, prediction variance and expected improvement(EI) function value as sub-optimization objectives. Besides, a strategy for selecting samples based on non-dominated sorting is proposed. Next, take the six-hump camel back(SC) function, the 2-dimensional griewank(GN) function, the 5-dimensional Rosenbrock function and the 10-dimensional high-dimension 1(HD1) function as unconstrained optimization examples, and the 7-dimensional G9 function as the constrained optimization example, the three multi-objective parallel infill sampling methods are compared with the hybrid parallel infill sampling methods. The outcomes demonstrate the superiority of the multi-objective parallel infill technique. Finally, the lift-drag ratio optimization of the two-dimensional multi-foil at take-off state was carried out by using the multi-objective infill sampling method, the hybrid parallel infill method and the genetic algorithm based on computational fluid dynamics(CFD). The optimization findings demonstrate the usefulness of the parallel infill sampling method in engineering issues by increasing the lift-to-drag ratio by 14% after a minimal amount of CFD evaluation under the constraint that the lift coefficient does not drop.

Experimental study on parallel control of axial dual-piezoelectric stack actuator
ZHENG Shufeng, ZHU Yuchuan, LING Jie, LIU Chang, LIN Wen
2023, 49(6): 1460-1470. doi: 10.13700/j.bh.1001-5965.2021.0432
Abstract:

Compared with common piezoelectric stack actuators, the dual-piezoelectric stack actuator exhibits displacement amplification functionality, but suffers from poor positioning accuracy due to the inherent hysteresis nonlinearity of piezoelectric materials. To reduce the hysteresis nonlinearity of dual-piezoelectric stack actuators, an improved Prandtl-Ishlinskii(PI) dynamic hysteresis model is established and the related parameters are identified. Then, an output displacement allocation strategy and parallel control scheme of the dual-piezoelectric stack actuator are proposed. Based on the inverse hysteresis model, the feedforward-feedback compound control is examined by experiments, and compared with the linear active disturbance rejection control (LADRC) scheme which is independent on the inverse hysteresis model. The control algorithm is validated on the Links-RT real-time control system. Experimental results indicate that the feedforward-feedback compound control performs the best within the frequency range of 1~200 Hz. When the tracking signal frequency reaches 200 Hz, the root mean square error and maximum absolute error are 0.454 4 μm and 1.95 μm respectively, much lower than those of open loop control (4.369 6 μm and 6.08 μm).

Ground object classification based on height-aware multi-scale graph convolution network
WEN Pei, CHENG Yinglei, WANG Peng, ZHAO Mingjun, ZHANG Bixiu
2023, 49(6): 1471-1478. doi: 10.13700/j.bh.1001-5965.2021.0434
Abstract:

The point cloud acquired by airborne LiDAR has the complex characteristics of uneven distribution of categories and large differences in sample elevation. Existing methods are difficult to fully identify fine-grained local structures. This paper proposes an end-to-end network for airborne LiDAR point cloud classification after employing stacked multi-layer edge convolution operators to simultaneously extract local and global information. It also introduces elevation attention weights as a supplement to feature extraction. First, the original point cloud is divided into sub-blocks and sampled to a fixed number of points. Then the multi-scale edge convolution operator is used to extract multi-scale local-global features which are merged thereafter, at the same time, the height-aware module is used to generate attention weights and applied to the feature extraction network. Finally, the improved focus loss function is used to further solve the problem of uneven distribution of categories and complete the classification. The standard test data set provided by the International Society for Photogrammetry and Remote Sensing (ISPRS) was used to verify the proposed method. Overall, 85.9% of the classifications were accurate. The single-category classification accuracy, especially the roof, was increased by 4.6% than the best result published in the ISPRS competition. The research results have reference significance for practical applications and network design optimization.

Multi-robot cooperative coverage of key regions considering prior information
DUAN Anna, ZHOU Rui, DI Bin
2023, 49(6): 1479-1486. doi: 10.13700/j.bh.1001-5965.2021.0435
Abstract:

This paper addresses the cooperative continuous monitoring coverage problem of multiple mobile robots for key target areas in complex environments. It is assumed that a number of obstacles and fixed observation points are distributed in the target area, and that the historical measurement data of the target parameters at the fixed observation points have been obtained. A group of monitoring paths are planned for the robot crowd to realize the monitoring coverage of the key target area with high coverage and high frequency. Firstly, the mathematical model of multi-robot cooperative continuous monitoring problem is established. Then, based on the cerebellar model articulation controller (CMAC), the measurement data of the fixed observation points in the region are generalized to obtain the target parameter estimation in the region. Finally, the combined path planning strategy based on sensor configuration-path framework partition is used to obtain the optimal path of each robot. Simulation experiments verify the effectiveness of the proposed method.

Two-dimensional imaging algorithm for arcsine-based circular antenna array
YUAN Hang, LUO Ying, CHEN Yijun, SU Linghua
2023, 49(6): 1487-1494. doi: 10.13700/j.bh.1001-5965.2021.0437
Abstract:

Radar imaging technology can capture rich feature information of a target, which provides important basis for target recognition. Vortex electromagnetic wave imaging technology, a widely discussed topic, can capture high-resolution two-dimensional images of relatively stationary targets. To achieve a higher imaging quality, the azimuth resolution in radar beams is obtained using arcsine-based circular antenna array, and a two-dimensional imaging algorithm based on the arcuate ring antenna array is proposed. With only half a circular antenna array, the azimuth resolution similar to that of vortex electromagnetic wave imaging technology can be obtained, and the sidelobe height is reduced. Firstly, the one-dimensional range profile is obtained through the “Dechirp” operation. On this basis, the reference signal is constructed, the cosine function in the phase is changed into a linear function through the conjugate multiplication between the echo and the reference signal. Finally, the echo is accumulated to obtain the two-dimensional image of the target. The effects of the number of array elements and beam width on the azimuth resolution are analyzed. The effectiveness of the proposed method is verified compared with that of vortex electromagnetic wave radar imaging method.

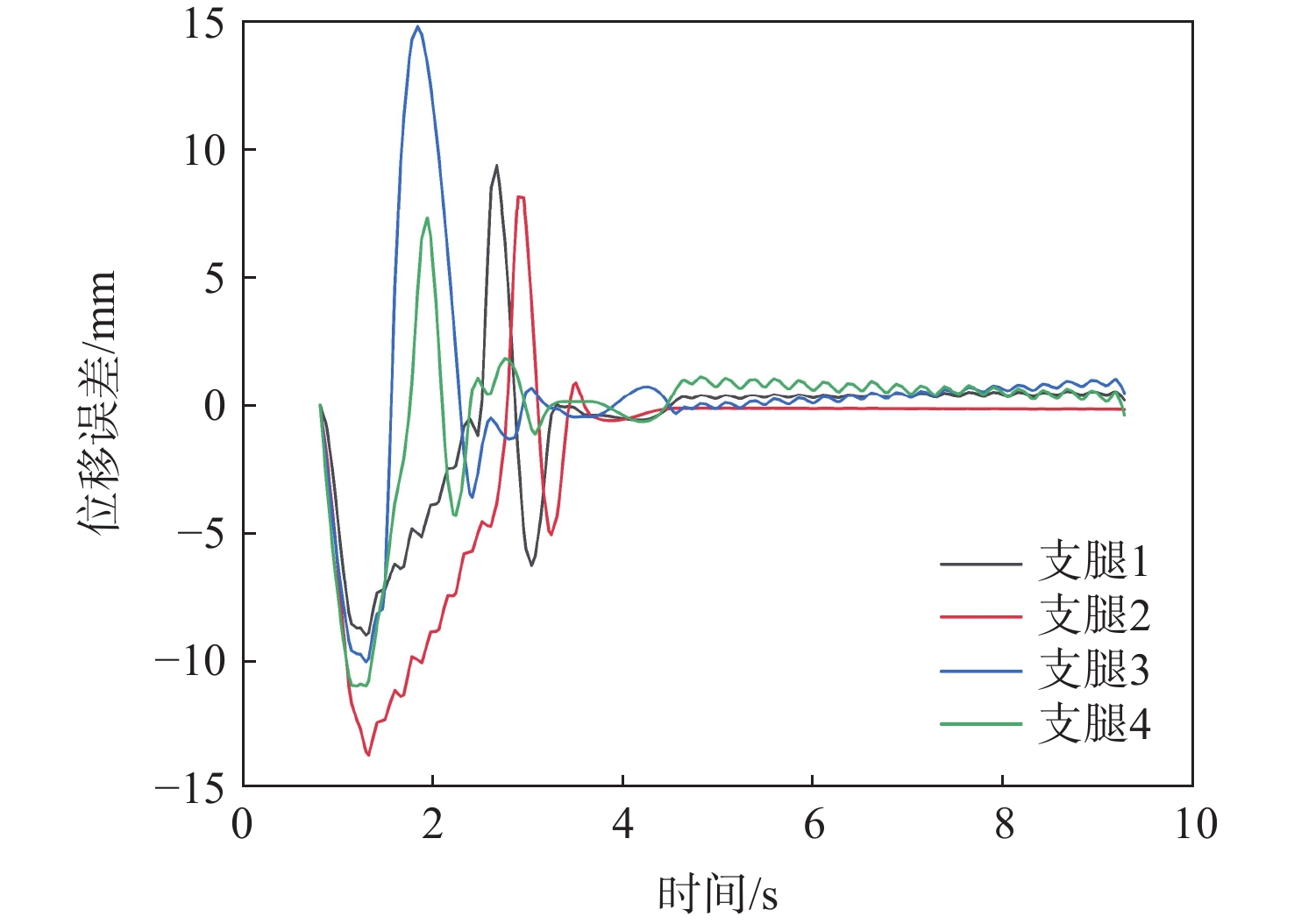
Fast leveling control technology of vehicle platform based on interference compensation
ZHOU Bojun, YU Chuanqiang, TAN Lilong, LIU Zhihao, KE Bing
2023, 49(6): 1495-1503. doi: 10.13700/j.bh.1001-5965.2021.0447
Abstract:

Focusing on the fast leveling requirements of the vehicle-mounted platform under heavy load conditions, the error caused by the deformation of the legs during the leveling process can be accurately calculated by using electric cylinders. To solve the issue of the low leveling accuracy for traditional hydraulic leveling cylinders under heavy load conditions and increase accuracy, this study proposed a rapid leveling control strategy for the vehicle-mounted platform based on interference compensation. Moreover, the load characteristics of the outrigger cylinder under the four-point leveling condition were analyzed, the deformation error model of the electric cylinder was established, and the interference compensation feedback method was used to correct the leveling error. The leveling system was jointly simulated and verified by AMESim and MATLAB/Simulink software, and the experimental prototype was built for experimental verification. The results showed that the four-point leveling control method based on mechanical deformation interference compensation can increase the leveling accuracy by 25%, the leveling time can be shortened by 71.4%. Besides, the vehicle-mounted platform under the condition of large load and large inclination can be leveled quickly and completely in 10 s.

Borehole image detection of aero-engine based on self-attention semantic segmentation model
CAO Siyan, LIU Junqiang, SONG Gaoteng, ZUO Hongfu
2023, 49(6): 1504-1515. doi: 10.13700/j.bh.1001-5965.2021.0448
Abstract:

Aiming at the problems that small-scale faults tend to be missed and misjudged when detecting borehole images of aero-engines by using traditional methods, a new method based on self-attention semantic segmentation (SA-SS) model is proposed. Based on the overall architecture of classical semantic segmentation model DeepLabv3+, a lightweight MobileNetV2 is adopted as the backbone feature extraction network instead of Xception to reduce calculation by utilizing expansion-extraction-compression strategy; based on the idea of multi-layer cascade, original atrous spatial pyramid pooling structure of DeepLabv3+ is improved to keep more feature information in feature map; a self-attention mechanism is fused to establish the internal correlation of global pixels and strengthen the attention to details. The decoding layer of original DeepLabv3+ is improved; multi-scale spatial fusion method is introduced into low-level feature extraction to fuse multiple layers of features for classification. Experimental results show that compared with original DeepLabv3+, SegNet-ResNet and other methods, mean intersection over union and pixel accuracy and PA of SA-SS are increased by 4.10% and 3.92% respectively. Also, training cost and detection speed are improved by 24.43% and 5.11frame/s respectively.

Experimental study on influence of filter mesh size on radial permeability of sand
TANG Guohang, WANG Naidong, LIU Songtao, JIE Yuxin
2023, 49(6): 1516-1522. doi: 10.13700/j.bh.1001-5965.2021.0451
Abstract:

Based on the self-developed radial penetration tester, a series of seepage failure tests and stable seepage tests on sand were carried out under various filter pore size conditions to study the influence of filter pore size on the radial permeation characteristics of sand. The influences of filter pore size on critical water head difference, seepage flow, mass loss of soil particles and radial permeability coefficient of sand were analyzed. The results show that the filter pore size has an important effect on the radial permeability of sand; The critical water head difference can be increased by decreasing the filter pore size in the seepage failure tests; Sand’s permeability coefficient can be efficiently decreased in the stable seepage tests by reducing the filter pore size; The mass loss of fine particles precedes that of coarse particles. If there is none of the mass loss of soil particles, the seepage velocity will be stable.

A hybrid method for rare time series classification with FastDTW and SBD
LI Xian, NIU Baoning, LIU Haonan, ZHANG Xukang
2023, 49(6): 1523-1532. doi: 10.13700/j.bh.1001-5965.2021.0471
Abstract:

Rare time series classification (RTSC) is widely used in astronomical observation and other fields. Aiming at the problems of low accuracy and high time cost in the current rare time series classification methods for large-scale data, RTSC-FS is proposed, which takes the short-time scale rare celestial body light change events in astronomical observations as the research object. The dynamic time wrapping (DTW) enhancement FastDTW and SBD are combined in RTSC-FS to estimate sequence distance. The former has low computational complexity, excellent measurement accuracy, while the latter has fast computational speed. Utilizing additional time-saving data preprocessing methods such as resampling, window function smoothing, standardized data, and sliding window filtering. On the time series data set of magnitude changes recorded by the ground-based wide-angle camera (GWAC), RTSC-FS found 44 curves with flare characteristics from approximately 7.91 million days of light change data. The recall rate is 60.27%, and the precision rate is 34.65%. Compared with the Baseline, the number of discoveries is larger, and the recall rate and accuracy rate have been improved.

Modeling and accuracy analysis of GNSS ionospheric error in EU-China based on GA-BP
JIANG Lei, SUN Rui, LIU Zhengwu, XU Cheng, LIANG Dida, HU Dezhen
2023, 49(6): 1533-1542. doi: 10.13700/j.bh.1001-5965.2021.0476
Abstract:

Ionospheric error is one of the main error sources of global navigation satellite system (GNSS). The key to correct ionospheric error is to determine the total electron content (TEC) of ionosphere. Aiming at the problems of low accuracy of empirical model, cumbersome calculation of spherical harmonic function model and insufficient calculation efficiency of other models in the existing ionospheric error correction model, an EU-China GNSS ionospheric error modeling method based on genetic algorithm optimized back propagation neural network (GA-BP) is proposed, and its model accuracy is evaluated. By training the model based on TEC data provided by International GNSS Service (IGS), the GNSS ionospheric TEC prediction rules based on GA-BP model are mined, and the short-term, medium-term and long-term prediction of TEC values at different time and locations are realized. The experimental results show that compared with other models, the root mean square error (RMSE) of short-term prediction of GA-BP model proposed in this paper are 67.61%, 36.33% and 73.68%, higher than that of autoregressive integrated moving average (ARIMA) model in different latitudes. In the medium-term prediction, the improvement has reached 54.07%, 22.6% and 78.48% respectively; in the long-term prediction, the results have reached 45.53%, 43.78% and 48.50% respectively, which can better predict and fit the change of TEC with time.