2025 Vol. 51, No. 4

Display Method:
Volume 4 Issue E-journal
Volume 51 Issue42025
iconDownload (35717) 671 iconPreview
Research progress of EMB systems key technology
ZHAO Lijin, YANG Shichun, QU Jingyao
2025, 51(4): 1037-1047. doi: 10.13700/j.bh.1001-5965.2023.0210
Abstract:

The electro-mechanical brake (EMB) is a true brake-by-wire system that completely eliminates hydraulic/pneumatic components, enabling decoupling between driver and vehicle, achieving higher response speed, and providing more precise braking force control. As an ideal braking actuator for high-level autonomous driving technology, EMB has not yet to be widely mass-produced due to challenges related to system reliability, functional safety, and cost.This paper analyzes the current technological development and typical system structures of EMB, comparing the two major technological approaches: linear self-amplifying and nonlinear force-amplifying methods. It introduces the electronic wedge brake (EWB) , as well as hybrid EMB systems, and discusses their applicability in autonomous driving environments. Second, this study focuses on the redundancy design solutions for system architecture, electronic control units (ECU), communication architecture, and failure modes. Additionally, it explores clamping force control technology based on a sensorless clamping force estimation method. Finally, the paper analyzes the challenges faced by EMB for future industrial applications and presents prospects for further research.

Dehazing network based on residual global contextual attention and cross-layer feature fusion
YANG Yan, CHEN Fei
2025, 51(4): 1048-1058. doi: 10.13700/j.bh.1001-5965.2023.0194
Abstract:

Current deep learning-based image dehazing algorithms usually use traditional convolutional layers when extracting features, which easily cause loss of information, such as details and edges of the image, ignore the location information of the image in feature extraction, and neglect the original information of the image in feature fusion, and they thus fail to recover a high-quality dehazing image with complete and clear structure. To address this problem, a dehazing algorithm based on residual contextual attention and cross-layer feature fusion was proposed. Firstly, the residual group structure was obtained by serializing the proposed residual contextual blocks, and feature extraction was performed on the first two layers of the network, i.e. the shallow layers, to obtain rich contextual information in the shallow layers; secondly, coordinate attention was introduced to build an attention graph with location information and apply it to the residual contextual feature extraction, which was placed in the third layer of the network, i.e. the deep layer, to extract deeper semantic information; then, by fusing feature information from different resolution streams across layers in the middle layer of the network, the information exchange between the deep and shallow layers was enhanced to achieve feature enhancement; finally, the semantic information-rich features obtained from the network were combined with the original input, thus enhancing the recovery effect. Experimental results on the RESIDE dataset and the Haze4K dataset show that the proposed algorithm achieves better results in terms of visual effects and objective metrics.

Adaptive incomplete multi-view clustering
CHEN Mei, MA Xueyan, ZHANG Chi, ZHANG Jinhong, QIAN Luoxiong
2025, 51(4): 1059-1073. doi: 10.13700/j.bh.1001-5965.2023.0178
Abstract:

A high-quality complete initial graph can effectively improve the performance of incomplete multi-view clustering. However, inappropriate filling of missing values will lead to the initial graph losing the underlying structure of the data, and incomplete fusion of affine graphs of each view will make the unified learned representations miss the complementary information among the views. To address the aforementioned problems, an adaptive incomplete multi-view clustering (AIM) method was proposed in this paper. In the initial graph construction, AIM used the average value of similarity of valid views to fill the missing values at corresponding positions to obtain a complete potential structure of the data and introduced sparsity constraints to improve the robustness of the model to noise. In the graph optimization process, initially, low-rank constraints were introduced to capture the global structure of the data, followed by spectral constraints to enhance the closeness between data within classes to make the affine graph have a clearer block diagonal structure. The consistency constraints were introduced to minimize the differences between the affine graph and the unified representation of each view to capture the complementary information between the views. Ultimately, a unified robust representation graph with high discriminative features was obtained. The experimental comparisons with nine kinds of incomplete multi-view clustering in real and incomplete multi-view datasets simulated under multiple missing rates demonstrate that AIM obtains the best clustering performance.

Image preprocessing acceleration method based on RISC-V vector extension
LIU Qiang, YIN Wei, LI Kai
2025, 51(4): 1074-1084. doi: 10.13700/j.bh.1001-5965.2023.0208
Abstract:

As the pre-order step of convolutional neural network (CNN) computing, image preprocessing is indispensable but time-consuming. To accelerate image preprocessing, a method based on RISC-V vector extension was proposed to accelerate eleven image preprocessing algorithms such as gray scale processing, standardization, and Gaussian filtering. Firstly, eleven image preprocessing algorithms were classified into four categories according to the computing mode, and acceleration schemes for the preprocessing algorithms were designed based on RISC-V vector extension. In order to further improve the performance, six customized vector instructions were added. The customized instructions were implemented by modifying the compiler and designing the hardware module. Finally, a field programmable gate array (FPGA) was used for testing, and the impact of vector processor configuration on performance and resource consumption was analyzed. The results showed that the proposed method achieves 3.13–9.97 times speedup compared with scalar processors, which effectively solves the performance bottleneck problem of image preprocessing in deep learning.

Object detection algorithm based on DSGIoU loss and dual branch coordinate attention
MA Sugang, LI Ningbo, HOU Zhiqiang, YU Wangsheng, YANG Xiaobao
2025, 51(4): 1085-1095. doi: 10.13700/j.bh.1001-5965.2023.0192
Abstract:

The bounding box regression loss effect is limited, and the multi-scale feature representation ability is insufficient in the YOLOX algorithm, which leads to inaccurate detection results. To address this issue, an object detection algorithm based on distance shape of generalized intersection over union (DSGIoU) loss and dual branch coordinate attention was proposed. Based on the intersection over union (IoU) loss term, the regression convergence effect of the bounding box was optimized by adding three penalty terms: non-overlapping area, distance from the center, and aspect ratio between the true box and the predicted box. Meanwhile, the feature was encoded in two directions by using average pooling and max pooling to obtain directional perception information and position information, so as to enhance the feature. To demonstrate the detection performance of the proposed algorithm, YOLOX with network sizes of Tiny, S, and M was used as the benchmark to carry out tests on PASCAL VOC and KITTI datasets. The experimental results show that the detection accuracy of the proposed algorithm on the PASCAL VOC dataset reaches 80.0%, 82.6%, and 85.8%, respectively, which is 1.5%, 1.6%, and 2.0% higher than the YOLOX as the benchmark. On the KITTI dataset, the detection accuracy reaches 87.7%, 89.7%, and 90.7%, which is increased by 1.7%, 2.9%, and 1.3%, respectively. The proposed algorithm can optimize the network convergence, improve the representation ability of multi-scale features, and significantly boost the detection accuracy.

Low illumination image enhancement algorithm for UAV aerial photography with color consistency
WANG Dianwei, LIU Wang, FANG Jie, XU Zhijie
2025, 51(4): 1096-1106. doi: 10.13700/j.bh.1001-5965.2023.0172
Abstract:

To address the issue of low brightness and poor visual effect of unmanned aerial vehicles (UAVs) in low illumination conditions, this paper established a low illumination dataset of UAV aerial photography and proposed a low illumination image enhancement algorithm for UAV aerial photography with color consistency. Firstly, in the brightness enhancement stage, this paper constructed a brightness enhancement network (BENet) to enhance the brightness of images and used the color network (CNet) module and the pyramid color embedding (PCE) module to combine the color features and content features of the images, which avoided color distortion in the enhanced image. In the image correction stage, this paper constructed a correction network based on domain transmission, trained the network with the self-built dataset, corrected the enhanced image after the first stage with the help of well-illuminated images, reduced the effect of noise on the image, and finally obtained the enhanced image. The experimental results show that the algorithm effectively avoids the problems of color distortion and noise amplification while enhancing the image brightness, and it outperforms other advanced algorithms in terms of objective indicators and improves the detection performance of the target detection algorithm at night.

Design of aircraft anti-skid braking system integral sliding mode control system based on novel reaching law
XU Meng, LI Yan, GAO Jie, XU Hai, GAO Bing
2025, 51(4): 1107-1116. doi: 10.13700/j.bh.1001-5965.2023.0185
Abstract:

Aircraft anti-skid braking system (AABS) has the characteristics of strong time variability, strong unpredictability, and many internal and external interference factors. Therefore, an integral sliding mode control (ISMC) method of AABS with variable exponential fractional order exponential reaching law was proposed. Firstly, the dynamics model of the aircraft landing system was established. Secondly, in order to improve the rapidity and robustness of the system, a variable structure control method was introduced to realize the tracking of optimal slip rate and optimal binding coefficient. Then,by improving the ISMC law of the exponential fractional order reaching law, the chattering phenomenon was suppressed, and the tracking speed to the optimal slip rate was accelerated. In addition, a sliding mode observer was designed to observe the aircraft speed to reduce the internal and external nonlinear interference. Finally, the feasibility and effectiveness of the algorithm were verified by the MATLAB simulation platform. The simulation results show that the overall control effect of the designed integral sliding mode controller with variable exponential fractional order reaching law is better than the traditional linear sliding mode controller, and the sliding mode observer can accurately estimate the aircraft speed.The method improves the robustness of the overall system design and shortens the braking time and braking distance, and the control effect is great.

Aero-engine fault diagnosis based on fusion convolutional Transformer
ZHAO Hongli, YANG Jiaqiang
2025, 51(4): 1117-1126. doi: 10.13700/j.bh.1001-5965.2023.0206
Abstract:

Aero-engine faces the problems of corrosion and erosion when working in an atmospheric environment for a long time, and the features of fault parameters are not obvious. Therefore, an accurate aero-engine fault diagnosis method is of great significance to ensure the safe operation of aircraft. To improve the prediction accuracy, an aero-engine fault diagnosis method based on a fusion convolutional Transformer was proposed, which used the self-attention mechanism to extract useful features and restrain redundant information. In addition, the MaxPool was introduced into the Transformer model to reduce the model memory consumption further and the number of parameters and mitigate overfitting. The turbofan engine simulation dataset based on GasTurb modeling was used for verification. Compared with Transformer network and other traditional deep learning models, such as back propagation (BP) neural network, convolutional neural network (CNN), and recurrent neural network (RNN), the proposed model has improved prediction accuracy by 6.552%, 28.117%, 13.189%, and 10.29%, which proves its effectiveness, and it can provide a reference for aero-engine fault diagnosis.

Flexible arrival trajectory optimization at terminal airspace based on mixed integer programming
ZHAO Xiangling, ZHOU Zhiliang
2025, 51(4): 1127-1142. doi: 10.13700/j.bh.1001-5965.2023.0240
Abstract:

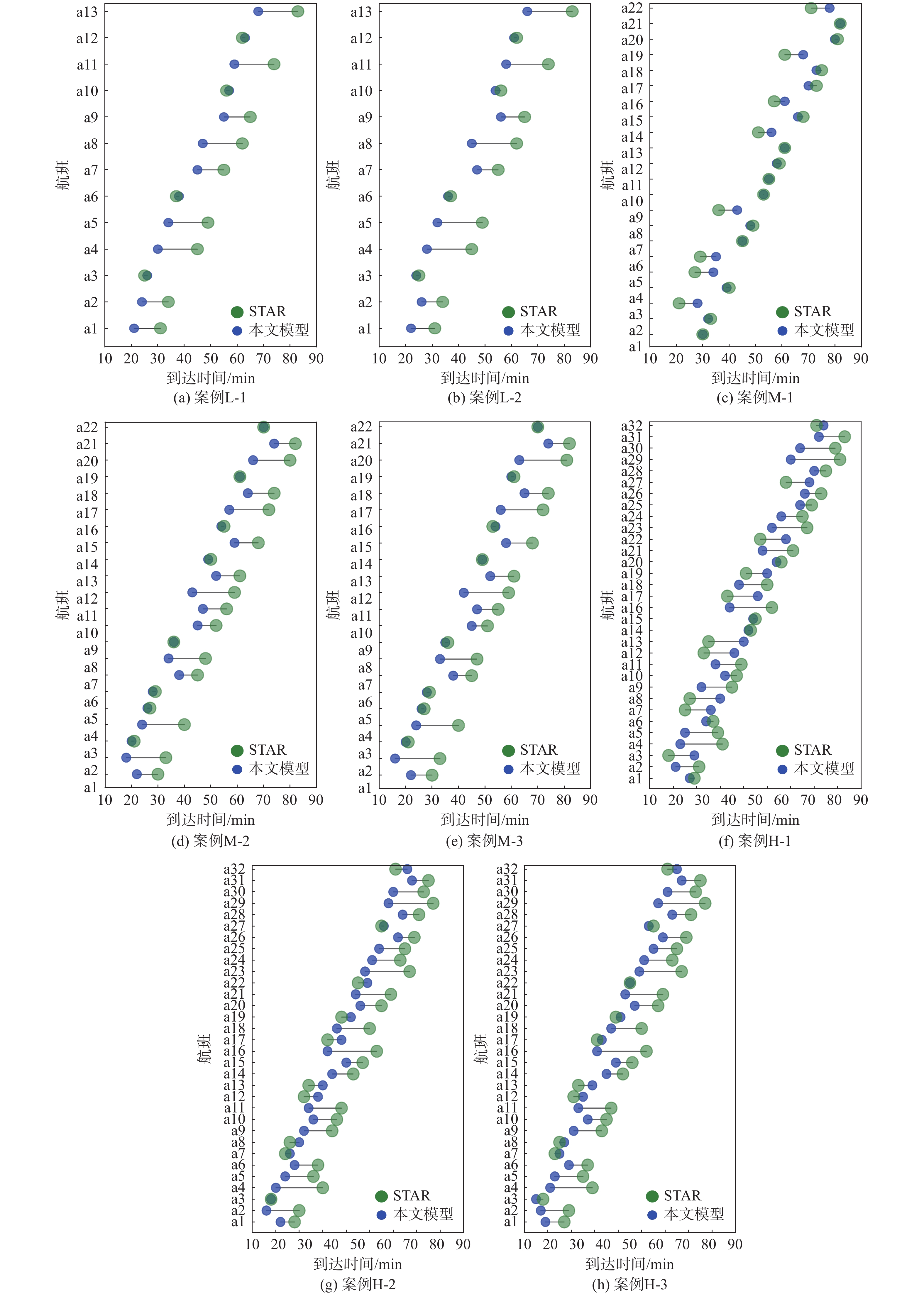
Problems with flight conflicts, difficult deployment, lengthy wait times, and high carbon emissions are becoming more frequent as a result of the continuous growth in air traffic, the saturation of available airspace, and the rigidity of the conventional fixed approach procedure used in the terminal area. A solution based on flexible approach trajectory optimization is developed and detailed, taking into account the operating processes of multiple flights such as descent, approach, sequencing, and margining in the terminal area. A spatiotemporal discrete network grid of flight approaches in the terminal area is created based on the characteristics of the terminal and aircraft operation. A mixed integer programming model is developed with the objective of minimizing the trajectory and overall flight length, as well as being constrained by factors including grid regulations, airplane turning characteristics, flying conflicts, safety separation, and trajectory continuity. The model is solved and validated using the commercial solver Gurobi, and multiple sets of typical experimental scenarios are put up depending on different traffic density levels and the entrance time frame, using the Tianjin Airport terminal area as an example. The results show that the flexible approach trajectory length is decreased by an average of 127.375 km and the total flight length is reduced by 534.75 km compared with the standard instrument approach procedure (STAR), with an average reduction of 6.24 min in flight arrival times. Additionally, with the same traffic density level and a fair entrance time window setting, the flexible approach trajectory is resilient enough to handle slight variations in the number of flights.

Resource optimization of multi UAV assisted communication system based on user scheduling
TANG Jingmin, HUANG Jiaqi, WANG Bingwen, SONG Yaolian, YU Guicai
2025, 51(4): 1143-1151. doi: 10.13700/j.bh.1001-5965.2023.0241
Abstract:

In order to improve the transmission rate of multi-user mobile communication downlink wireless transmission systems, a resource optimization method for multi-unmanned aerial vehicle (UAV) auxiliary communication systems based on user scheduling and trajectory optimization is proposed. The proposed method formulates an optimization problem based on maximizing the total throughput of multiple users while satisfying constraints such as user scheduling, total energy consumption of drones, and user service quality requirements. In order to solve the nonconvex problem, the original nonconvex problem is decomposed into three easy to deal with nonconvex subproblems by the block coordinate descent (BCD), and the approximate suboptimal solution of the original nonconvex problem is obtained by introducing relaxation variables, first-order Taylor expression, successive convex approximation (SCA) and other methods to transform the subproblems and solve them alternately. Simulation results show that the proposed method can effectively improve overall system throughput and has good convergence in single and multiple UAV communication systems.

Fault diagnosis method of rolling bearings based on SSA-IWT-EMD
LEI Chunli, JIAO Mengxuan, FAN Gaofeng, LIU Shichao, XUE Linlin, LI Jianhua
2025, 51(4): 1152-1162. doi: 10.13700/j.bh.1001-5965.2023.0174
Abstract:

Wavelet threshold denoising is insufficient, and feature frequency extraction of empirical mode decomposition (EMD) is unclear. To address these issues, a fault diagnosis method of rolling bearings based on sparrow search algorithm - improved wavelet threshold-EMD (SSA-IWT-EMD) was proposed. Firstly, two adjustment factors were introduced, and an IWT function was presented to overcome the shortcomings of traditional soft and hard thresholds. The SSA was used to globally optimize the parameters of the IWT to reduce the noise of rolling bearing signals. Secondly, a comprehensive index P was put forward to select and reconstruct the components generated by EMD, so as to highlight the fault feature information of the signals. Finally, the fault diagnosis of bearings was realized by envelope spectrum analysis. The simulation and experimental results verified the effectiveness of the proposed method. At the same time, the comparison with the single index component selection method and the literature method indicated that the comprehensive index P and the method proposed in this paper had stronger denoising ability and feature extraction ability, and the envelope spectrum amplitude and frequency doubling component were more obvious, which could better realize the fault diagnosis of rolling bearings.

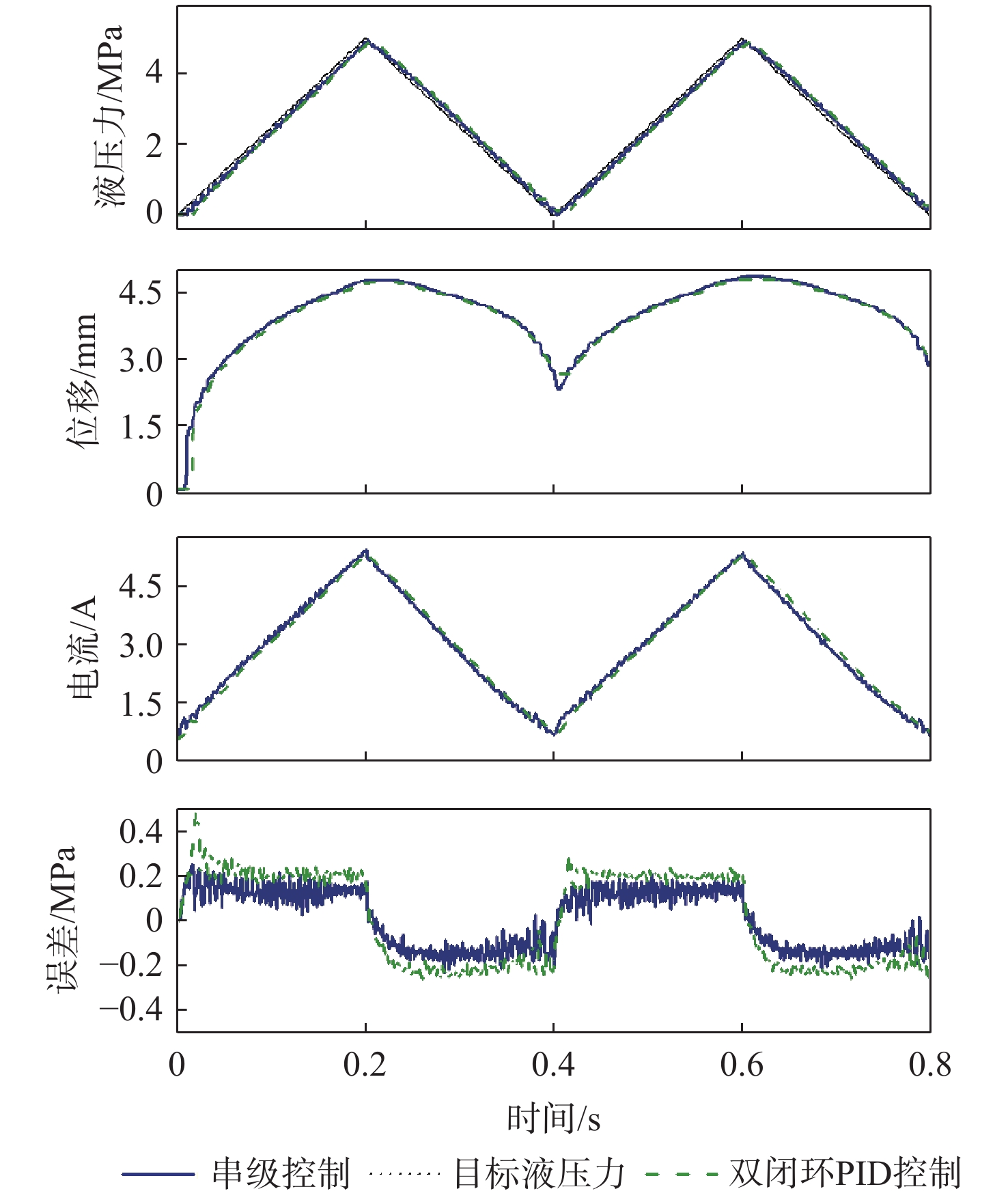
Pressure cascade control of brake-by-wire unit based on direct drive pump-valve cooperative
TAN Cao, YU Peng, LI Bo, LU Jiayu, REN Yunyun
2025, 51(4): 1163-1171. doi: 10.13700/j.bh.1001-5965.2023.0216
Abstract:

Aiming at the requirements of distributed braking and high-level automatic driving, a brake-by-wire unit based on a direct drive pump-valve cooperative is designed, to realize the wheel cylinder pressure regulation, the hydraulic pump directly driven by the electromagnetic linear actuator coordinates with the active valve. A control-oriented system dynamics model is established to realize the precise control of pressure, and a cascade control method is proposed, which includes an outer loop to control the cylinder pressure and an inner loop to control the plunger position in the pump. An adaptive integral robust controller is created for the inner loop to lessen the impact of time-varying interference and parameter uncertainty, while a sliding mode controller is designed for the outer loop to increase reaction speed. It is proved that the algorithm is Lyapunov stable. The results suggest that the developed brake unit is a possible novel scheme for distributed braking, and the proposed method mechanism can increase braking pressure speed and control accuracy even further.

Fault diagnosis method of rolling bearing based on MDAM-GhostCNN
GUO Junfeng, TAN Baohong, WANG Zhiming
2025, 51(4): 1172-1184. doi: 10.13700/j.bh.1001-5965.2023.0224
Abstract:

A rolling bearing fault diagnostic approach based on mixture domain attention mechanism (MDAM)-GhostCNN is developed to address the issues of inadequate feature extraction, complicated computation, and low recognition accuracy under varied working conditions in conventional fault detection methods. First of all, the Markov transfer field (MTF) is used to transform the bearing vibration signal into a two-dimensional feature graph with time correlation. Secondly, taking advantage of the simplification of Ghost convolution calculation, GhostCNN is constructed. Then, a MDAM is designed, which makes the network fully capture the feature information from the two dimensions of channel and space, and makes the network pay attention to the feature space information effectively while realizing the interdependence between the feature channels, and construct the MDAM-GhostCNN model. Finally, the MTF two-dimensional feature map is input into the MDAM-GhostCNN model for training and output diagnosis results. Experimental verification and noise processing were performed on the bearing data sets from Jiang Nan University (JNU) and Case Western Reserve University. The results show that under variable working conditions, the constructed model has higher recognition accuracy, noise immunity and generalization performance.

Unlabeled data fault diagnosis method based on multi-domain adaptation
WANG Jinhua, LIU Rui, CAO Jie
2025, 51(4): 1185-1194. doi: 10.13700/j.bh.1001-5965.2023.0166
Abstract:

in industrial production, due to the difference in the distribution of source domain data and target domain data and the small amount of labeled fault data, the accuracy of domain adaptation-based bearing fault diagnosis algorithms proposed in the past is generally not high. In view of this, the multi-domain adaptation neural network (MDANN) fault diagnosis method was proposed in this paper, which was used for rolling bearing fault diagnosis without labeled data. Firstly, the original vibration signal was processed by using wavelet packet transformation (WPT) to reduce signal redundancy and avoid the loss of key signal features. Secondly, the multi-kernel maximum mean discrepancy (MK-MMD) algorithm was used to calculate the difference of input eigenvalues, and the network parameters of MDANN were updated by backpropagation so that the network can extract domain invariant features. Finally, in order to ensure that unlabeled target domain data can participate in network training normally, the maximum probability label was used as a pseudo-label strategy of the real label to solve the problem that unlabeled target domain data cannot be trained and enhance the acquisition of reliable diagnosis knowledge of the model. Two publicly available datasets, CWRU and PU, were used for validation. The experimental results show that the proposed method has higher diagnosis accuracy compared with common domain adaptation methods, which further shows that the method can effectively learn the transferable features and fit the discrepancy in data distribution between the two datasets.

Performance of Gyroid heat exchanger based on structural parameters analysis
YANG Xiaojun, ZHANG Xueli, LI Peiran
2025, 51(4): 1195-1204. doi: 10.13700/j.bh.1001-5965.2023.0245
Abstract:

In order to study the flow and heat transfer characteristics of triple periodic minimal surfaces (TPMS) in an air-fuel heat exchanger, the influence of structural parameters on the performance of the heat exchanger was analyzed. By using the Taguchi method, the Nusselt number and friction coefficient were comprehensively evaluated for the three structural parameters of wall thickness, unit cell size, and offset size and compared with the performance of a tube-in-tube helical coil (TTHC) heat exchanger. The primary and secondary order of each structural parameter affecting the Nusselt number and friction coefficient of the Gyroid heat exchanger was obtained, and the optimal scheme was determined by using the matrix analysis method. The results show that compared with that of the TTHC heat exchanger, the hot-side outlet temperature of the Gyroid heat exchanger is reduced by up to 13.13 K, and the pressure drop of the Gyroid heat exchanger is reduced by 3.02 kPa. The highest performance evaluation coefficient of the hot-side channel is 14.72, and that of the cold-side channel is 0.78.

One-stage object detection based on adjacent feature fusion and feature decoupling
ZHENG Jian, HE Zhaohui, YU Xiangchun
2025, 51(4): 1205-1214. doi: 10.13700/j.bh.1001-5965.2023.0249
Abstract:

In view of reduced large-scale object detection accuracy caused by the feature pyramid network (FPN) in object detection and the inconsistency of the semantic characteristics of the two sub-tasks of object detection, a new model based on adjacent feature fusion (AFF) and feature decoupling network (AFFDN) model was proposed. Firstly, the AFF module in the model introduced a shorter gradient return path by using the many-to-one connection, thereby alleviating the problem of large-scale object gradient disappearance. At the same time, AFF effectively reduced the amount of model parameters and enhanced the semantic consistency of multi-scale features by sharing parameters and offsets. In addition, compared with neural architecture search FPN (NAS-FPN), the parameters of AFF were smaller, and the performance gain was more significant. Secondly, the feature decoupling module (FDM) in the AFFDN used the dynamic receptive field and global attention to decouple fine-grained features in the three dimensions of receptive field, channel, and space, generating unique task-related features for different task branches and thereby improving the accuracy of object detection. Finally, when AFFDN was applied to different one-stage object detection models, the detection accuracy of the baseline model was improved by at least 0.9% and 2.3% on the PASCAL VOC dataset and MS COCO2017 dataset, respectively.

Aircraft surveillance data fusion method in flight area based on Trans-Attention
WANG Xinglong, YIN Hao, DING Junfeng
2025, 51(4): 1215-1223. doi: 10.13700/j.bh.1001-5965.2023.0234
Abstract:

An aircraft surveillance data fusion method based on a Transformer and attention mechanism is proposed to address the issues of low monitoring accuracy and position jump in a single surveillance source for aircraft in the flight area. Prior to assigning weight values to various surveillance sources via the attention mechanism, features are first extracted from each surveillance source data using the Transformer’s encoder structure. Finally, regression calculations are performed through a fully connected network to obtain the final fusion result. The multilateration (MLAT) data are employed as actual tags, while the surveillance data from the autonomous dependent surveillance-broadcast (ADS-B) system and the surface movement radar (SMR) are chosen as fusion sources. The experimental results show that the proposed method effectively reduces the surveillance error of a single surveillance source, and the fusion effect is better than that of the long short-term memory network based on the attention mechanism, recurrent neural network, and extended Kalman filter fusion methods. The mean absolute error is increased by 2.81%, 16.73% and 35.80% respectively.

Multi-ground station system-based link allocation strategy for satellite constellation
JIANG Yifei, HE Wanxia, LIU Wenzheng, WU Shufan, WEI Xiao, MO Qiankun
2025, 51(4): 1224-1233. doi: 10.13700/j.bh.1001-5965.2023.0177
Abstract:

Aiming at the research of large-scale satellite constellation, the research content of communication resources is put forward. With the successful construction of several low-orbit constellations, the commercialization of large-scale satellite constellations has begun. This kind of large-scale satellite constellation can simultaneously take into account the advantages of low delay, wide coverage and large traffic. In order to make efficient use of earth station resources, it has become the technical bottleneck of large-scale satellite constellation research. The multi-star and multi-station topology is proposed to better focus on this problem. Combined with the link time resources, a satellite-earth link time model is proposed. On this basis, the time-slot insertion strategy is proposed, and the multi-star and multi-station link schedules are obtained by taking the overall link efficiency of multi-ground stations as the optimization objective. The feasibility and superiority of the proposed strategy are verified by comparing the performance with random strategy and greedy strategy.

Complex network-based air traffic complexity analysis in TBO
PENG Yating, WEN Xiangxi, WU Minggong, YANG Zhiwei, WANG Nan
2025, 51(4): 1234-1244. doi: 10.13700/j.bh.1001-5965.2023.0231
Abstract:

Since the complex network constructed based on the unified spacing standard does not take into account the differences in aircraft type operation, it cannot meet the refined requirements of air traffic complexity analysis under trajectory based operation (TBO). A complex network-based air traffic complexity analysis model is suggested as a solution to this issue in order to differentiate between various aircraft types. In order to create an aircraft precision protection zone and optimize the foundation for identifying the aircraft related edges in the flight conflict network, a lateral flight safety interval calculation model is first developed for various aircraft types. Based on the information on aircraft heading and speed, the flight conflict judgment focuses on different performances and status of aircraft, so that the flight conflict network can be closer to the operation mode of TBO. The findings demonstrate that the model can improve the operational efficiency of the airspace, decrease the complexity of the airspace, lessen the workload of controllers, improve the horizontal separation criteria between aircraft, and give aircraft more freedom to select the best course on their own than the previous flight conflict network.

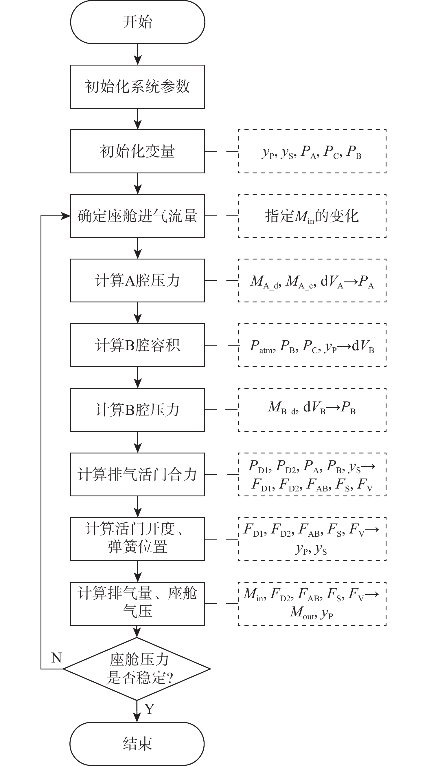
Effect of balance chamber on rapid pressure regulation ability of outflow valve
WU Hao, LIU Meng, WANG Jun
2025, 51(4): 1245-1254. doi: 10.13700/j.bh.1001-5965.2023.0248
Abstract:

Under aircraft cabin inflow impact, the inadequate dynamic regulation speed of the pneumatic cabin pressure control system (PCPCS) may lead to a cabin pressure spike, causing “barotrauma”. Therefore, the working principle of the PCPCS was analyzed, and it was pointed out that the balance chamber may hinder the rapid movement of the outflow valve. A dynamic model of the PCPCS was established. The working states of the control chamber (A chamber) and the balance chamber (B chamber) in the outflow valve were described. The dynamic simulation of the PCPCS under cabin inflow impact was carried out. The dynamic working characteristics of the outflow valve and the force changes of the poppet were quantitatively displayed. The effects of the metering hole diameter of the balance chamber, the top diameter of the balance chamber, and the diameter of the balance diaphragm on the outflow valve’s response to cabin inflow impact were discussed. The simulation results show that appropriately increasing the metering hole size of the balance chamber can help to improve the response speed of the valve; the top diameter of the balance chamber has no significant effect on the movement speed of the outflow valve, and reducing the area of the balance diaphragm improves the response speed of the outflow valve significantly.

Numerical simulation of unsteady aerodynamic characteristics of parafoil airfoil
WANG Zhen, ZHONG Wei, WANG Tongguang, LI Xudong, ZHANG Hongying
2025, 51(4): 1255-1266. doi: 10.13700/j.bh.1001-5965.2023.0184
Abstract:

The unsteady aerodynamic characteristics of parafoils are a matter of flight stability and flight safety and are worthy of in-depth study. In this paper, the computational fluid dynamics (CFD) method was used to carry out an unsteady numerical simulation of the parafoil airfoil under the dynamic change of the angle of attack, so as to analyze the influence of the average angle of attack, the amplitude of the angle of attack, and the reduced frequency on the unsteady aerodynamic force and flow field pattern of the parafoil airfoil. The results show that an increase in any one of the above three parameters leads to a significant increase in the aerodynamic unsteadiness of the parafoil airfoil. The average angle of attack and the amplitude of the angle of attack amplitude jointly determine the dynamic range of the angle of attack of the airfoil, which significantly affects the dynamic stall characteristics of the parafoil airfoil; the change in reduced frequency affects the lift hysteresis effect of the parafoil airfoil, with the maximum lift coefficient increasing linearly with increasing reduced frequency. Further flow field analysis shows that the unsteady effect of the angle of attack of the parafoil airfoil in the dynamic increase stage delays the occurrence of airfoil flow separation on the one hand, and on the other hand, it flattens the separating vortex against the upper airfoil, which together contributes to a significant increase in the critical angle of attack and maximum lift coefficient of the parafoil airfoil relative to the constant case. The results of this essay will help to enhance the understanding of the unsteady aerodynamic force and flow field patterns of parafoil airfoil, support the prediction of unsteady aerodynamic forces and safety assessment of parafoil in complex wind environments.

Network time reliability evaluation method based on uncertainty theory
MA Ji, LI Ruiying, ZHANG Qingyuan, KANG Rui
2025, 51(4): 1267-1276. doi: 10.13700/j.bh.1001-5965.2023.0191
Abstract:

The current network time reliability evaluation methods only consider the effect of inherent uncertainty but ignore the impact of epistemic uncertainty due to a lack of failure information on reliability evaluation results. To address this issue, a new method based on uncertainty theory was proposed. Based on the node range for network reliability, two metric parameters including single-node-pair time reliability and multi-node-pair time reliability were designed. An extended uncertain network model was proposed, which could directly model the epistemic uncertainty features on both nodes and links. Two algorithms were proposed to compute single-node-pair and multi-node-pair time reliability based on the most reliable path and the most reliable extended uncertain subnetwork. Finally, the proposed method was proposed to evaluate two time reliability metrics with a six-node network and the China education and research network (CERNET) backbone network as the example, and the results verify the correctness and effectiveness of the method.

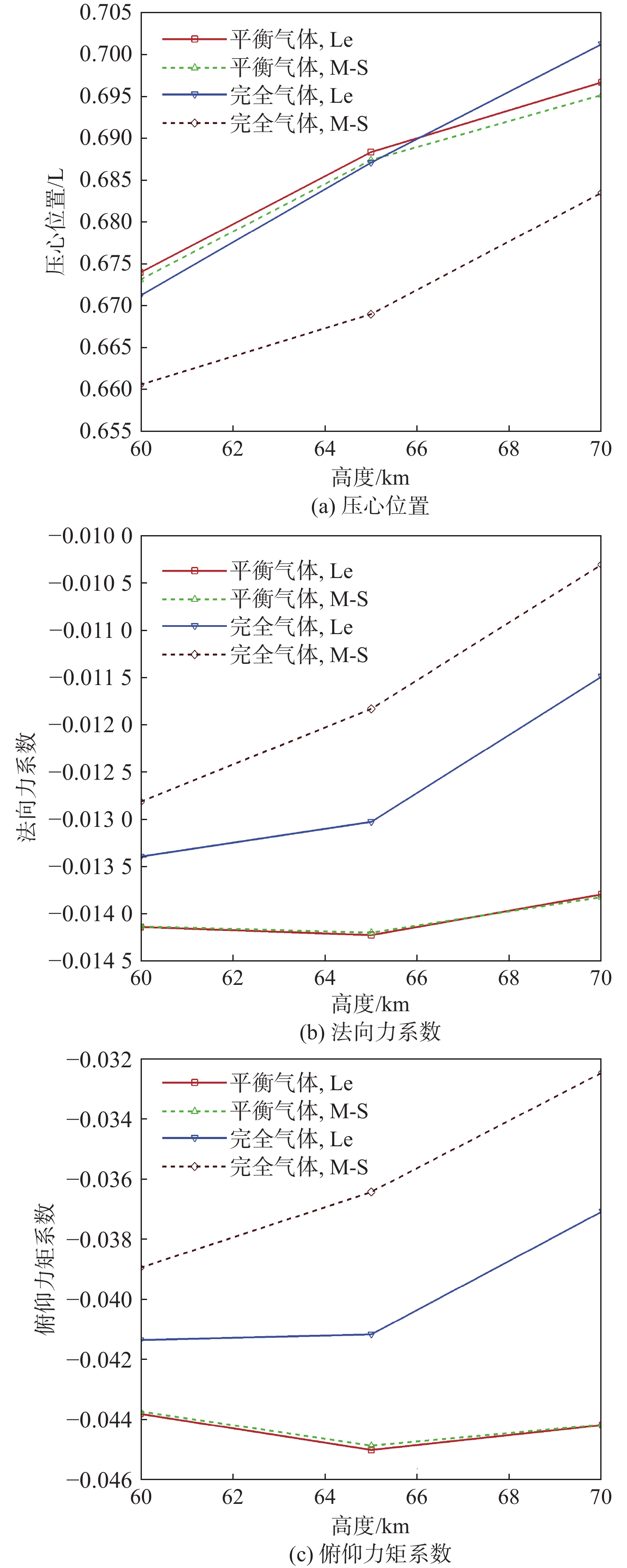
Friction and heat flux prediction of lift body under different gas models and slip boundary models
YAN Pan, LI Qin, HUANG Xiao, GUO Xiaoming, WENG Yihui, YOU Yancheng
2025, 51(4): 1277-1291. doi: 10.13700/j.bh.1001-5965.2023.0209
Abstract:

In view of the friction and heat flux prediction problems in the hypersonic flows around a lift body, the influence of different gas models (perfect gas and equilibrium gas), slip boundary models (M-S and Le), and incoming flow conditions (height, Mach number, and wall temperature) on the prediction of friction and heat flux was studied with the developed third-order weighted essentially non-oscillatory scheme. Firstly, numerical simulation and analysis of double Mach reflection problem and typical hypersonic examples were carried out by different slip boundary models and gas models. The results show that high-fidelity gas models, slip boundary models, and high-precision schemes show better accuracy in the calculation of hypersonic problems. On this basis, numerical simulation and analysis of hypersonic flows around a lift body at different heights, Mach numbers, and wall temperatures are carried out. The effects of slip boundary models and gas models on the prediction of friction and heat flux are comprehensively analyzed. The results show that different gas models are quite different, and the equilibrium gas model gets lower temperature in the boundary layer, smaller thickness of the boundary layer, greater wall heat flux, and slightly larger friction coefficient and total drag coefficient. The difference between the two gas models increases with the increase in height. Under the perfect gas model, the total drag coefficient, position of the center of pressure, and heat flux distribution of different slip boundary models show greater difference, which increases with the increase in height. Under the equilibrium gas model, the results of different slip boundary models are similar.

Three convexification-based methods for six-degree-of-freedom powered descent guidance
WANG Chi, LIU Wei, GAO Yang
2025, 51(4): 1292-1303. doi: 10.13700/j.bh.1001-5965.2023.0235
Abstract:

A key technology for the safe landing of spacecraft in powered descent is to solve the six degrees of freedom(6-DoF) powered descent guidance problem in real time. This problem is a fuel-optimal problem with multiple constraints. In this paper, three optimization methods are established by three independent variables, namely flight time, time substitution variable, and height. Three onboard navigation techniques are created by transforming the trajectory optimization issue into a form that can be solved by successive convexification algorithms. The comparative analysis shows that all three methods can solve the 6-DoF powered descent problem. Although the flight time must be known beforehand, the optimization with flight time as an independent variable has the maximum computing efficiency and the lowest fuel use. The other two optimizations can optimize the flight time, but both are sub-optimal solutions, and the computation time is greatly increased. The accuracy of the three methods is similar under the same number of discrete points. If successive convexification algorithms are used as the online guidance algorithms for power descent, problems such as how to determine the optimal flight time, approach the optimal fuel solution and shorten the calculation time still need to be further studied.

Maximum aerodynamic load prediction method during launching of vehicle launch
CHENG Huhua, WU Shuai, JIANG Zhuhui, ZHANG Rucai
2025, 51(4): 1304-1312. doi: 10.13700/j.bh.1001-5965.2023.0237
Abstract:

The maximum aerodynamic load 3 h before the launch of the rocket is one of the important data to determine whether the rocket launch can be carried out as planned, and the different characteristics between 3 h before rocket launch and launch time have rarely been studied. The maximum aerodynamic load absolute difference of the 6.29% sample size surpasses 500 Pa∙rad, according to an analysis of the features of the maximum aerodynamic load difference during 3.5 hours between December 2014 and December 2019. This is mainly due to the anomalous increase and decrease of the upper wind. If the changing characteristics are not detected in advance, it may affect the safe flight of the rocket; for samples with an absolute difference of more than 500 Pa∙rad. The correlation coefficient rose from 0.27 to 0.71, the relative error dropped from 29.02% to 16.32%, and the absolute difference dropped from 713.08 Pa∙rad to 398.22 Pa∙rad. It shows that the modeling method has a certain improvement effect, which is conducive to improving the guaranteed ability of rocket safety flight.

Spaceborne particle identification platform and application based on convolutional neural network
BAI Chaoping, ZHANG Shenyi, ZHANG Xin, SUN Yueqiang, ZHANG Shuai, WANG Ziting
2025, 51(4): 1313-1323. doi: 10.13700/j.bh.1001-5965.2023.0171
Abstract:

Accurate identification of space radiation particles is crucial for both scientific research and engineering applications. Existing particle identification methods, including detector telescope methods, electrostatic analysis time-of-flight methods, time-of-flight energy methods, and waveform analysis energy methods, have achieved good results in practical applications. However, by leveraging the powerful feature extraction and classification capabilities of convolutional neural networks (CNN), it is expected to further enhance the precision of particle energy measurement and species identification. Based on common space environment detection payloads, this paper proposes a method to build an on-orbit CNN-based particle identification platform for particle species identification. The platform first constructs a multidimensional input dataset, with model training and weight extraction completed through software platforms, and waveform inference and dataset expansion carried out on the hardware platform. The established identification platform is used to train and test neutron and gamma waveform data obtained from actual tests, and the identification accuracy of both the software and hardware platforms is analyzed, completing the platform verification. The establishment and application of this identification platform provide a new approach and method for future particle measurement and identification in space environment detection, with significant engineering practical implications.

LPI radar signal recognition based on time-frequency reassignment algorithm
JI Libin, ZHU Yan, CUI Tianshu, WANG Dong, HUANG Yonghui
2025, 51(4): 1324-1331. doi: 10.13700/j.bh.1001-5965.2023.0218
Abstract:

In view of the problems of low probability of acquisition (LPI) radar signal recognition in low signal-to-noise ratio (SNR) and complex network model, an LPI radar signal recognition method based on time-frequency reassignment and multi-scale residual network was proposed. The time-frequency reassignment approach is used to enhance the signal's aggregation based on the Wigner-Ville distribution (WVD). The resulting time-frequency distribution image is then fed into the multi-scale residual network to finish the signal's categorization. In addition, the complex electromagnetic environment simulation was completed by constructing a multi-path Rice-fading channel. According to the experimental results, when the SNR is −8 dB, the suggested approach can achieve 94% recognition accuracy for a total of 13 different types of typical LPI radar modulation patterns, including Costas, Frank, P1~P4, etc. Compared with other methods, it has better recognition performance at a low signal-to-noise ratio.

Parameter optimization method of thrust vector/pneumatic rudder composite control law for aircraft based on singular value method
RUAN Shilong, DONG Zhe, SUN Yao, QU Xiaolei, HUO Shaoze
2025, 51(4): 1332-1341. doi: 10.13700/j.bh.1001-5965.2023.0227
Abstract:

Control coupling is a major problem for advanced aircraft with thrust vector/aerodynamic rudder layouts, as the performance of numerous control loops cannot be balanced using conventional single loop control parameter design techniques. Therefore, a control law parameter optimization method based on the singular value of the feedback matrix is proposed. The optimization interval of the control parameters is first established using the time domain control performance index. The stability margin of the multiple-in multiple-out (MIMO) system is then measured using the singular value method, and the corresponding optimal objective function is established to optimize the controller parameters. The feasibility of this method was verified through numerical simulation, and the results showed that the designed control parameter optimization algorithm has better time-domain control performance and a larger system stability margin compared to traditional single loop control parameter design methods.

Stability control of vehicles powered by non-pneumatic wheels based on robust optimal sliding mode
LI Tian, ZHAO Youqun, XU Tao, SHEN Yawei, LIN Fen
2025, 51(4): 1342-1351. doi: 10.13700/j.bh.1001-5965.2023.0238
Abstract:

Mechanical elastic electric wheel is a new type of non-pneumatic tire, which has the advantages of explosion-proof, anti-puncture, etc. In this paper, based on the distributed vehicle matching with the electric wheel, a robust optimal sliding mode (ROSM) control strategy is proposed to improve the yaw stability of the vehicle. Firstly, the initial additional yaw moment is calculated using a linear 2-DOF regulator (LQR) control rule for the linear 2-DOF model. Secondly, considering the complex nonlinearity of the actual vehicle system, a vehicle dynamics model with uncertain parameters is established. And a robust integral sliding mode controller is designed on the basis of the initial optimal control law. The improved controller has good robustness to uncertain parameters and external disturbances, which could still achieve optimal control effectiveness. Finally, the control scheme is verified by co-simulations of MATLAB/Simulink and Carsim. The findings demonstrate that, in the simulation of double lane change, the mean absolute error (MAE) and root mean square error (RMSE) of the yaw rate under ROSM control are decreased by 63.83% and 65.33%, respectively, in comparison to LQR control. As for the serpentine condition, they respectively decreased by 58.38% and 60.02%.

Rapid planning method for lunar direct ascent and rendezvous trajectory in emergency cases
BAN Huanheng, ZHOU Cong, YAN Xiaodong
2025, 51(4): 1352-1366. doi: 10.13700/j.bh.1001-5965.2023.0160
Abstract:

When a lunar detector encounters unexpected conditions and needs a return to the lunar orbiter or Earth, the lunar ascender should be able to plan an appropriate ascent and rendezvous trajectory independently in emergency cases. In this paper, a direct ascent and rendezvous trajectory optimization model was established based on a successive second-order cone programming method, and minimum ascent and rendezvous time was chosen as the objective function. Additionally, a convex optimization algorithm was proposed to solve the ascent and rendezvous trajectory optimization problem. In order to enhance computational efficiency, the interior point method was customized and modified. The main adaptations included: the process of solving linear equations was customized and modified; a warm starting was used in the interior point method; the second-order cone programming subproblem solving accuracy was adjusted dynamically. Simulation results demonstrate that the proposed lunar ascent and rendezvous trajectory optimization method in emergency cases facilitates the rapid ascent and rendezvous process of the lunar ascender. Moreover, when compared to the traditional successive second-order cone programming method employing a general interior point method solver, the proposed acceleration technique achieves a speedup ratio of approximately 9.5 times while maintaining the same level of solving accuracy. Consequently, the method outlined in this paper holds significant potential for enabling autonomous online trajectory planning of lunar ascenders.

Directed interactive topology optimization design for multi-agent affine formation maneuver control
MA Suhui, ZHANG Dong, WANG Mengyang, WANG Tinghui, LIU Songdan
2025, 51(4): 1367-1376. doi: 10.13700/j.bh.1001-5965.2023.0180
Abstract:

This paper investigated the directed interactive topology optimization design problem for multi-agent affine formation maneuver control. Firstly, by considering the optimization indexes such as information interaction cost and energy consumption during information spreading, a directed topology optimization model for affine formation maneuver was established, including topology structure construction and weight allocation. Secondly, in view of the topological structure construction for affine formation maneuver, a directed k-rooted graph detection method was proposed, which could realize the solution of d + 1-rooted constraint for directed information interaction topology. Then, an improved NSGA-II-based topology structure construction optimization algorithm was designed. Finally, a formation of seven agents in two-dimensional space was taken as an example for simulation verification. The results show that the improved NSGA-II-based topology structure construction optimization algorithm has better optimization effects. It can effectively provide a variety of feasible directed interactive topologies for affine formation maneuver control, and the generated interactive topology can meet the requirements of a directed d + 1-rooted graph.

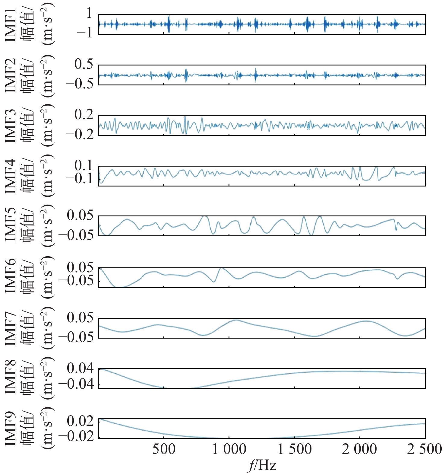
Anti-sweep jamming method for FM fuze based on outlier reconstruction
DUAN Lefan, HAO Xinhong, CHEN Qile
2025, 51(4): 1377-1384. doi: 10.13700/j.bh.1001-5965.2023.0199
Abstract:

An anti-sweep jamming method for frequency modulation (FM) fuze based on outlier reconstruction was proposed for the problem of FM fuze against sweep jamming. Based on the iterative filtering decomposition (IFD) algorithm, the intermediate frequency signal of fuze was decomposed into intrinsic mode function (IMF) components. Sweep jamming was represented as outliers in the IMF components. By detecting and eliminating outliers in the IMF components and using a long short-term memory (LSTM) network to build a data reconstruction network model, the data of outliers was reconstructed, and the sweep jamming could be suppressed. The effectiveness of the proposed method was verified by simulation. The results show that the proposed method improves the ability of FM fuze against sweep jamming.

A deep reinforcement learning based on discrete state transition algorithm for solving fuzzy flexible job shop scheduling problem
ZHU Jiazheng, WANG Cong, LI Xinkai, DONG Yingchao, ZHANG Hongli
2025, 51(4): 1385-1394. doi: 10.13700/j.bh.1001-5965.2023.0211
Abstract:

The study of the intelligent algorithms for the flexible job shop scheduling issue (FJSP), a scheduling problem with a broad range of application backgrounds, is very relevant both academically and practically. To address FJSP with the objective of minimizing the maximum completion time, this paper proposes a discrete state transfer algorithm based on proximal policy optimization (DSTA-PPO). DSTA-PPO has the following three characteristics. Considering that FJSP requires simultaneous scheduling arrangements for operation sequencing and machine assignment. This state feature can adequately express the current scheduling problem that was designed by combining operation coding and machine coding. Various critical path based search operations have been designed for operation sequencing and machine allocation. Reinforcement learning training is an efficient way to direct intelligence to choose the best search operation to maximize the current scheduling sequence.. The effectiveness of each component of the algorithm is verified through simulation experiments on different datasets. Furthermore, a comparison is conducted with existing algorithms using the objective of minimizing the maximum completion time in the same instances. The comparison results show that the suggested method successfully resolves the flexible job shop scheduling issue by typically achieving shorter completion times.

The retrieval model of shore-based GNSS-R code altimetry
NING Baojiao, WANG Nazi, JING Lili, GAO Fan, KONG Yahui, HE Yunqiao
2025, 51(4): 1395-1403. doi: 10.13700/j.bh.1001-5965.2023.0213
Abstract:

With the continuous innovation of GNSS technology, its application fields continue to expand. Because of its all-weather capabilities, low cost, and high spatiotemporal resolution, Global Navigation Satellite System-Reflectometry (GNSS-R) sea surface altimetry has many benefits in the field of ocean remote sensing. However, due to the limitation of GNSS chip width, the optimal accuracy of shore-based GNSS-R code-delay sea level measurements is only decimeter level, which makes it difficult to meet the accuracy requirements of Geodesy for sea surface height. In order to maximize the GNSS-R code-delay altimetry results, this research suggested using the Fourier series fitting method. To validate the suggested approach, GNSS-R code altimetry experiments were conducted in Weihai City, Shandong Province. The code-delay altimetry results of QZSS L2C signal, QZSS L5 signal and GPS L5 signal are respectively fitted and processed, and the inversion accuracy is calculated. When compared to the original altimetry findings, it is discovered that the RMSEs of the three original altimetry values with varying lengths have improved from 70-90 cm to 9-15 cm following Fourier series fitting. On this basis, the sea surface heights in the next 24 hours are predicted using the fitted Fourier series curve. Compared with the tide gauge data, the prediction results still maintain high accuracy, with RMSE of 13-18 cm and correlation a coefficient greater than 0.97. The above results indicate that the method proposed in this article can not only optimize the code-delay height measurement results and supplement the missing data, but also make high-precision predictions for future sea levels.

A micro expression recognition method integrating LBP and parallel attention mechanism
LI Shuaichao, LI Mingze, SUN Jiaao, LU Shuhua
2025, 51(4): 1404-1414. doi: 10.13700/j.bh.1001-5965.2023.0215
Abstract:

This research proposes a micro expression recognition network that incorporates LBP and parallel attention method to address the issues of small feature discrimination, background noise interference, and weak intensity of facial micro-expression changes. The network inputs the RGB image into the densely connected improved Shuffle Stage branch to extract the global features of the face and enhance the association of contextual semantic information. The LBP image is input into the local texture feature branch composed of a multi-scale layered convolutional neural network to extract detailed information. Following extraction of the dual-branch feature, the network backend implements a parallel attention technique to enhance feature fusion capabilities, reduce background noise, and concentrate on the micro-expression feature's interest region. The proposed method is tested on three public data sets including CASME, CASME II and SMIC, and the recognition is accurate The rates reached 85.18%, 74.53% and 81.19% respectively. The experimental results show that the proposed method effectively improves the accuracy of micro expression recognition, which is better than many current advanced methods.