Volume 51 Issue 4
Apr.  2025
Turn off MathJax
Article Contents
BAI C P,ZHANG S Y,ZHANG X,et al. Spaceborne particle identification platform and application based on convolutional neural network[J]. Journal of Beijing University of Aeronautics and Astronautics,2025,51(4):1313-1323 (in Chinese) doi: 10.13700/j.bh.1001-5965.2023.0171
Citation: BAI C P,ZHANG S Y,ZHANG X,et al. Spaceborne particle identification platform and application based on convolutional neural network[J]. Journal of Beijing University of Aeronautics and Astronautics,2025,51(4):1313-1323 (in Chinese) doi: 10.13700/j.bh.1001-5965.2023.0171

Spaceborne particle identification platform and application based on convolutional neural network

doi: 10.13700/j.bh.1001-5965.2023.0171
Funds:

National Natural Science Foundation of China (42204180) 

More Information
  • Corresponding author: E-mail:zsy@nssc.ac.cn
  • Received Date: 10 Apr 2023
  • Accepted Date: 21 Jul 2023
  • Available Online: 01 Sep 2023
  • Publish Date: 18 Aug 2023
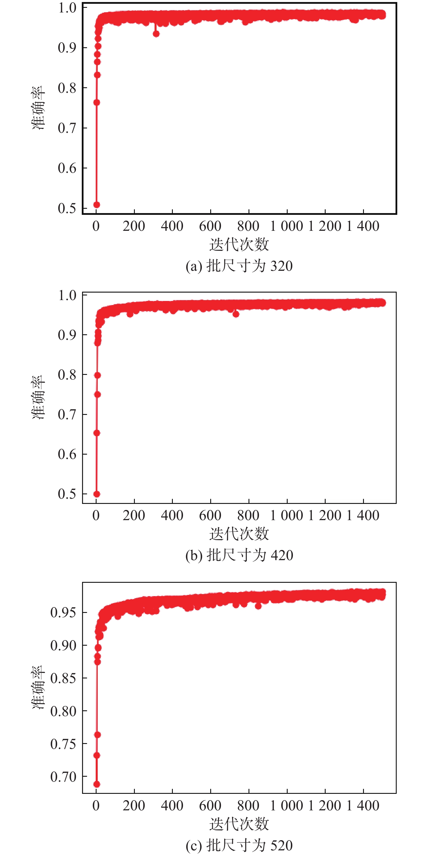
  • Accurate identification of space radiation particles is crucial for both scientific research and engineering applications. Existing particle identification methods, including detector telescope methods, electrostatic analysis time-of-flight methods, time-of-flight energy methods, and waveform analysis energy methods, have achieved good results in practical applications. However, by leveraging the powerful feature extraction and classification capabilities of convolutional neural networks (CNN), it is expected to further enhance the precision of particle energy measurement and species identification. Based on common space environment detection payloads, this paper proposes a method to build an on-orbit CNN-based particle identification platform for particle species identification. The platform first constructs a multidimensional input dataset, with model training and weight extraction completed through software platforms, and waveform inference and dataset expansion carried out on the hardware platform. The established identification platform is used to train and test neutron and gamma waveform data obtained from actual tests, and the identification accuracy of both the software and hardware platforms is analyzed, completing the platform verification. The establishment and application of this identification platform provide a new approach and method for future particle measurement and identification in space environment detection, with significant engineering practical implications.

     

  • loading
  • [1]
    朱金涛. 基于脉冲波形分析的带电粒子鉴别方法研究[D]. 长沙: 国防科学技术大学, 2014.

    ZHU J T. Research on charged particle identification method based on pulse waveform analysis[D]. Changsha: National University of Defense Technology, 2014 (in Chinese).
    [2]
    朱金涛, 刘国福, 杨云, 等. 带电粒子鉴别方法的发展与现状[J]. 核电子学与探测技术, 2014, 34(2): 194-199. doi: 10.3969/j.issn.0258-0934.2014.02.016

    ZHU J T, LIU G F, YANG Y, et al. Development of charged particle identification methods[J]. Nuclear Electronics & Detection Technology, 2014, 34(2): 194-199(in Chinese). doi: 10.3969/j.issn.0258-0934.2014.02.016
    [3]
    孔令高, 张爱兵, 田峥, 等. 自主火星探测高集成离子与中性粒子分析仪[J]. 深空探测学报, 2019, 6(2): 142-149.

    KONG L G, ZHANG A B, TIAN Z, et al. Integrated ion and neutral particle analyzer for Chinese Mars mission[J]. Journal of Deep Space Exploration, 2019, 6(2): 142-149(in Chinese).
    [4]
    张惠鸽, 王哲斌, 张文海. 粒子鉴别技术简介[J]. 核电子学与探测技术, 2010, 30(11): 1473-1479. doi: 10.3969/j.issn.0258-0934.2010.11.016

    ZHANG H G, WANG Z B, ZHANG W H. The brief introduction of particle identification[J]. Nuclear Electronics & Detection Technology, 2010, 30(11): 1473-1479(in Chinese). doi: 10.3969/j.issn.0258-0934.2010.11.016
    [5]
    MAHATA K, SHRIVASTAVA A, GORE J A, et al. Particle identification using digital pulse shape discrimination in a nTD silicon detector with a 1 GHz sampling digitizer[J]. Nuclear Instruments and Methods in Physics Research Section A: Accelerators, Spectrometers, Detectors and Associated Equipment, 2018, 894: 20-24.
    [6]
    侯东辉, 张珅毅, 杨祎罡, 等. 基于CLYC闪烁体的中子能谱测量及反演方法[J]. 北京亚洲成人在线一二三四五六区学报, 2021, 47(1): 106-114.

    HOU D H, ZHANG S Y, YANG Y G, et al. Neutron measurement and inversion based on CLYC scintillator[J]. Journal of Beijing University of Aeronautics and Astronautics, 2021, 47(1): 106-114(in Chinese).
    [7]
    WANG Q B, TUO X G, DENG C, et al. Characterization of a Cs 2 LiYCl 6: Ce 3 + scintillator coupled with two silicon photomultiplier arrays of different sizes[J]. Nuclear Instruments and Methods in Physics Research Section A: Accelerators, Spectrometers, Detectors and Associated Equipment, 2019, 942: 162339. doi: 10.1016/j.nima.2019.162339
    [8]
    艾鹏程. 基于卷积神经网络的高能物理事例特征信息在线提取算法研究[D]. 武汉: 华中师范大学, 2020.

    AI P C. On-line extraction algorithm of high-energy physics case feature information based on convolutional neural network[D]. Wuhan: Central China Normal University, 2020(in Chinese).
    [9]
    原永朋, 游大涛, 武相军, 等. 类内类间距离在CNN识别心拍类中的应用研究[J]. 计算机工程与应用, 2019, 55(14): 242-248. doi: 10.3778/j.issn.1002-8331.1804-0285

    YUAN Y P, YOU D T, WU X J, et al. Application of intra-class and inter-class distance in CNN recognition of heart beat[J]. Computer Engineering and Applications, 2019, 55(14): 242-248(in Chinese). doi: 10.3778/j.issn.1002-8331.1804-0285
    [10]
    FOBAR D, PHILLIPS L, WILHELM A, et al. Considerations for training an artificial neural network for particle type identification[J]. IEEE Transactions on Nuclear Science, 2021, 68(9): 2350-2357. doi: 10.1109/TNS.2021.3103658
    [11]
    MA Y F, CAO Y, VRUDHULA S, et al. Optimizing loop operation and dataflow in FPGA acceleration of deep convolutional neural networks[C]//Proceedings of the ACM/SIGDA International Symposium on Field-Programmable Gate Arrays. New York: ACM, 2017: 45-54.
    [12]
    PAUSCH G, MOSZYŃSKI M, WOLSKI D, et al. Application of the pulse-shape technique to proton-alpha discrimination in Si-detector arrays[J]. Nuclear Instruments and Methods in Physics Research Section A: Accelerators, Spectrometers, Detectors and Associated Equipment, 1995, 365(1): 176-184. doi: 10.1016/0168-9002(95)00488-2
    [13]
    PAUSCH G, ORTLEPP H G, BOHNE W, et al. Identification of light charged particles and heavy ions in silicon detectors by means of pulse-shape discrimination[J]. IEEE Transactions on Nuclear Science, 1996, 43(3): 1097-1101. doi: 10.1109/23.506644
    [14]
    PAUSCH G, BOHNE W, FUCHS H, et al. Particle identification in solid-state detectors by exploiting pulse shape information[J]. Nuclear Instruments and Methods in Physics Research Section A: Accelerators, Spectrometers, Detectors and Associated Equipment, 1992, 322(1): 43-52.
    [15]
    QUARANTA A A, MARTINI M, OTTAVIANI G. The pulse shape and the timing problem in solid state detectors——a review paper[J]. IEEE Transactions on Nuclear Science, 1969, 16(2): 35-61. doi: 10.1109/TNS.1969.4325151
    [16]
    朱金涛, 刘国福, 杨俊, 等. 带电粒子鉴别的脉冲波形分析法比较研究[C]//第十七届全国核电子学与核探测技术学术年会论文集. 兰州: 中国电子学会, 2014: 253-258.

    ZHU J T, LIU G F, YANG J, et al. Pulse shape analysis comparison research of charged particle ldentification[C]//Proceedings of the 17th National Academic Annual Conference on Nuclear Electronics and Nuclear Detection Technology. Lanzhou: Chinese Institute of Electronice, 2014: 253-258(in Chinese).
    [17]
    DROZ D, TYKHONOV A, WU X, et al. A neural network classifier for electron identification on the DAMPE experiment[J]. Journal of Instrumentation, 2021, 16(7): P07036. doi: 10.1088/1748-0221/16/07/P07036
    [18]
    ASTRAIN M, RUIZ M, STEPHEN A V, et al. Real-time implementation of the neutron/gamma discrimination in an FPGA-based DAQ MTCA platform using a convolutional neural network[J]. IEEE Transactions on Nuclear Science, 2021, 68(8): 2173-2178. doi: 10.1109/TNS.2021.3090670
    [19]
    LU J, TUO X G, YANG H C, et al. Pulse-shape discrimination of SiPM array-coupled CLYC detector using convolutional neural network[J]. Applied Sciences, 2022, 12(5): 2400. doi: 10.3390/app12052400
  • 加载中

Catalog

    通讯作者: 陈斌, bchen63@163.com
    • 1. 

      沈阳化工大学材料科学与工程学院 沈阳 110142

    1. 本站搜索
    2. 百度学术搜索
    3. 万方数据库搜索
    4. CNKI搜索

    Figures(10)  / Tables(10)

    Article Metrics

    Article views(299) PDF downloads(10) Cited by()
    Proportional views
    Related

    /

    DownLoad:  Full-Size Img  PowerPoint
    Return
    Return