Volume 51 Issue 4
Apr.  2025
Turn off MathJax
Article Contents
CHEN M,MA X Y,ZHANG C,et al. Adaptive incomplete multi-view clustering[J]. Journal of Beijing University of Aeronautics and Astronautics,2025,51(4):1059-1073 (in Chinese) doi: 10.13700/j.bh.1001-5965.2023.0178
Citation: CHEN M,MA X Y,ZHANG C,et al. Adaptive incomplete multi-view clustering[J]. Journal of Beijing University of Aeronautics and Astronautics,2025,51(4):1059-1073 (in Chinese) doi: 10.13700/j.bh.1001-5965.2023.0178

Adaptive incomplete multi-view clustering

doi: 10.13700/j.bh.1001-5965.2023.0178
Funds:

National Natural Science Foundation of China (62266029); Gansu Key Research and Development Program (21YF5GA053); Gansu Higher Education Industry Support Program (2022CYZC-36) 

More Information
  • Corresponding author: E-mail:chenmeilz@mail.lzjtu.cn
  • Received Date: 14 Apr 2023
  • Accepted Date: 14 Sep 2023
  • Available Online: 22 Apr 2025
  • Publish Date: 20 Oct 2023
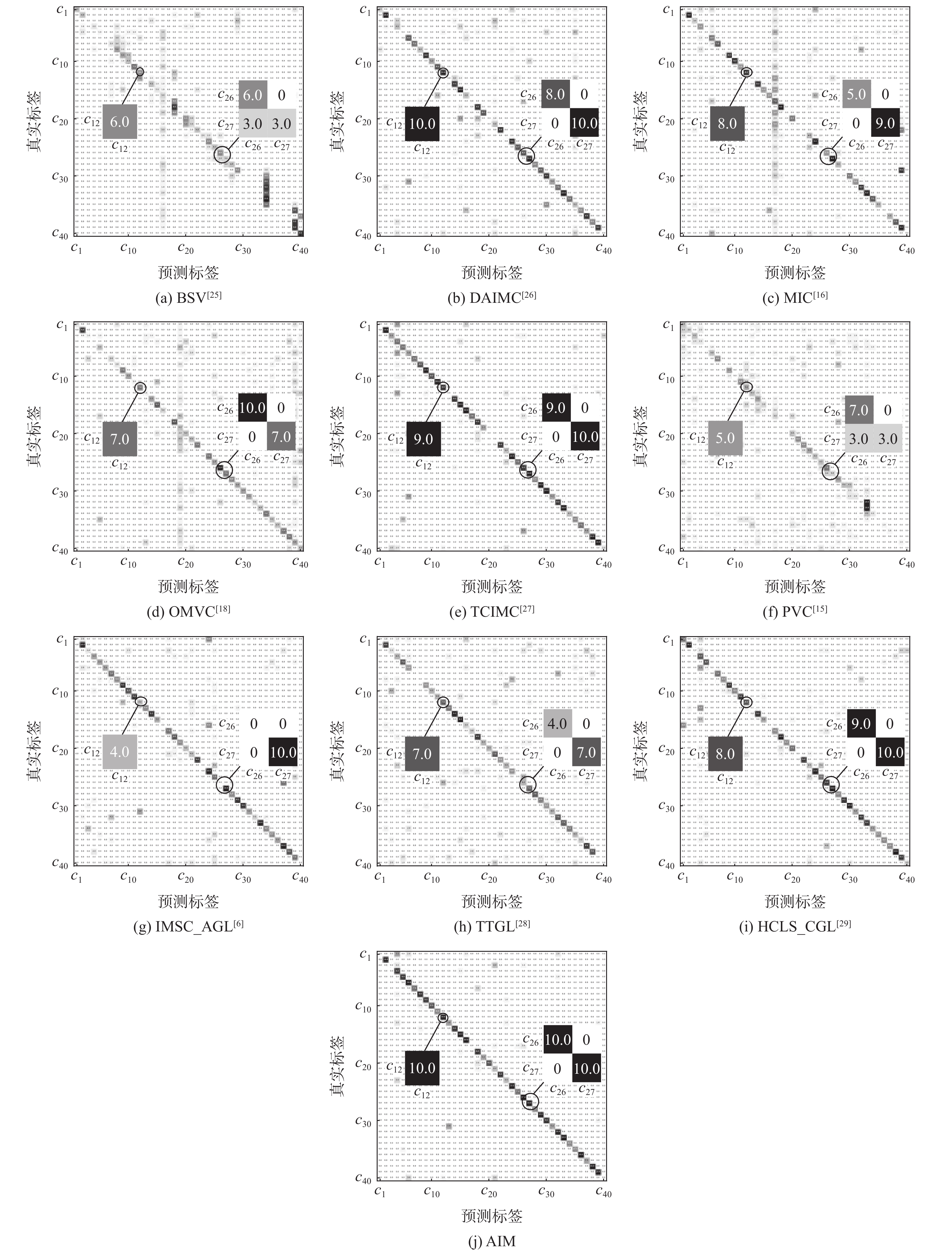
  • A high-quality complete initial graph can effectively improve the performance of incomplete multi-view clustering. However, inappropriate filling of missing values will lead to the initial graph losing the underlying structure of the data, and incomplete fusion of affine graphs of each view will make the unified learned representations miss the complementary information among the views. To address the aforementioned problems, an adaptive incomplete multi-view clustering (AIM) method was proposed in this paper. In the initial graph construction, AIM used the average value of similarity of valid views to fill the missing values at corresponding positions to obtain a complete potential structure of the data and introduced sparsity constraints to improve the robustness of the model to noise. In the graph optimization process, initially, low-rank constraints were introduced to capture the global structure of the data, followed by spectral constraints to enhance the closeness between data within classes to make the affine graph have a clearer block diagonal structure. The consistency constraints were introduced to minimize the differences between the affine graph and the unified representation of each view to capture the complementary information between the views. Ultimately, a unified robust representation graph with high discriminative features was obtained. The experimental comparisons with nine kinds of incomplete multi-view clustering in real and incomplete multi-view datasets simulated under multiple missing rates demonstrate that AIM obtains the best clustering performance.

     

  • loading
  • [1]
    ZHAO J, XIE X J, XU X, et al. Multi-view learning overview: recent progress and new challenges[J]. Information Fusion, 2017, 38: 43-54. doi: 10.1016/j.inffus.2017.02.007
    [2]
    谢娟英, 丁丽娟. 完全自适应的谱聚类算法[J]. 电子学报, 2019, 47(5): 1000-1008.

    XIE J Y, DING L J. The true self-adaptive spectral clustering algorithms[J]. Acta Electronica Sinica, 2019, 47(5): 1000-1008(in Chinese).
    [3]
    XIA K J, GU X Q, ZHANG Y D. Oriented grouping-constrained spectral clustering for medical imaging segmentation[J]. Multimedia Systems, 2020, 26(1): 27-36. doi: 10.1007/s00530-019-00626-8
    [4]
    SHARMA K K, SEAL A. Multi-view spectral clustering for uncertain objects[J]. Information Sciences, 2021, 547: 723-745. doi: 10.1016/j.ins.2020.08.080
    [5]
    GAO H C, NIE F P, LI X L, et al. Multi-view subspace clustering[C]//Proceedings of the IEEE International Conference on Computer Vision. Piscataway: IEEE Press, 2015: 4238-4246.
    [6]
    WEN J, XU Y, LIU H. Incomplete multiview spectral clustering with adaptive graph learning[J]. IEEE Transactions on Cybernetics, 2020, 50(4): 1418-1429. doi: 10.1109/TCYB.2018.2884715
    [7]
    NISHOM M. Perbandingan akurasi Euclidean distance, Minkowski distance, Dan Manhattan distance pada algoritma K-means clustering berbasis Chi-square[J]. Jurnal Informatika: Jurnal Pengembangan IT, 2019, 4(1): 20-24. doi: 10.30591/jpit.v4i1.1253
    [8]
    YIN J, SUN S L. Incomplete multi-view clustering with cosine similarity[J]. Pattern Recognition, 2022, 123: 108371. doi: 10.1016/j.patcog.2021.108371
    [9]
    DING X J, LIU J, YANG F, et al. Random compact Gaussian kernel: application to ELM classification and regression[J]. Knowledge-Based Systems, 2021, 217: 106848. doi: 10.1016/j.knosys.2021.106848
    [10]
    SHANG R H, ZHANG Z, JIAO L C, et al. Self-representation based dual-graph regularized feature selection clustering[J]. Neurocomputing, 2016, 171: 1242-1253. doi: 10.1016/j.neucom.2015.07.068
    [11]
    WENG L B, DORNAIKA F, JIN Z. Graph construction based on data self-representativeness and Laplacian smoothness[J]. Neurocomputing, 2016, 207: 476-487. doi: 10.1016/j.neucom.2016.05.021
    [12]
    WANG Y, ZHANG W J, WU L, et al. Iterative views agreement: an iterative low-rank based structured optimization method to multi-view spectral clustering[C]//Proceedings of the 25th International Joint Conference on Artificial Intelligence. New York: ACM, 2016: 2153-2159.
    [13]
    WANG Y, WU L, LIN X M, et al. Multiview spectral clustering via structured low-rank matrix factorization[J]. IEEE Transactions on Neural Networks and Learning Systems, 2018, 29(10): 4833-4843.
    [14]
    ZHANG P, LIU X W, XIONG J, et al. Consensus one-step multi-view subspace clustering[J]. IEEE Transactions on Knowledge and Data Engineering, 2020, 34(10): 4676-4689.
    [15]
    LI S Y, JIANG Y, ZHOU Z H. Partial multi-view clustering[C]//Proceedings of the AAAI Conference on Artificial Intelligence. Palo Alto: AAAI Press, 2014: 1968-1974.
    [16]
    SHAO W, HE L. Multiple incomplete views clustering via weighted nonnegative matrix factorization with l2,1 regularization[C]//Proceedings of the European Conference on Machine Learning and Principles and Practice of Knowledge Discovery in Databases. Berlin: Springer, 2017: 318-334.
    [17]
    GAO H, PENG Y X, JIAN S L. Incomplete multi-view clustering[C]//Proceedings of the 9th IFIP TC 12 International Conference on Intelligent Information Processing VIII. Berlin: Springer, 2016: 245-255.
    [18]
    SHAO W X, HE L F, LU C T, et al. Online multi-view clustering with incomplete views[C]//Proceedings of the IEEE International Conference on Big Data. Piscataway: IEEE Press, 2016: 1012-1017.
    [19]
    CHEN J, YANG S X, PENG X, et al. Augmented sparse representation for incomplete multiview clustering[J]. IEEE Transactions on Neural Networks and Learning Systems, 2024, 35(3): 4058-4071. doi: 10.1109/TNNLS.2022.3201699
    [20]
    LIU X W, LI M M, TANG C, et al. Efficient and effective regularized incomplete multi-view clustering[J]. IEEE Transactions on Pattern Analysis and Machine Intelligence, 2021, 43(8): 2634-2646.
    [21]
    TRIVEDI A, RAI P, DAUMÉ H. Multiview clustering with incomplete views[C]//Proceedings of the Conference and Workshop on Neural Information Processing Systems workshop. Cambridge: MIT Press, 2010: 1-8.
    [22]
    LIU G C, LIN Z C, YAN S C, et al. Robust recovery of subspace structures by low-rank representation[J]. IEEE Transactions on Pattern Analysis and Machine Intelligence, 2013, 35(1): 171-184. doi: 10.1109/TPAMI.2012.88
    [23]
    CAI J F, CANDÈS E J, SHEN Z W. A singular value thresholding algorithm for matrix completion[J]. SIAM Journal on Optimization, 2010, 20(4): 1956-1982. doi: 10.1137/080738970
    [24]
    XIAO X L, GONG Y J, HUA Z Y, et al. On reliable multi-view affinity learning for subspace clustering[J]. IEEE Transactions on Multimedia, 2020, 23: 4555-4566.
    [25]
    ZHAO H D, LIU H F, FU Y. Incomplete multi-modal visual data grouping[C]//Proceedings of the 25th International Joint Conference on Artificial Intelligence. New York: ACM, 2016: 2392-2398.
    [26]
    HU M L, CHEN S C. Doubly aligned incomplete multi-view clustering[EB/OL]. (2019-03-07)[2023-04-01]. http://arxiv.org/abs/1903.02785v1.
    [27]
    XIA W, GAO Q X, WANG Q Q, et al. Tensor completion-based incomplete multiview clustering[J]. IEEE Transactions on Cybernetics, 2022, 52(12): 13635-13644. doi: 10.1109/TCYB.2021.3140068
    [28]
    ZHANG Z, HE W J. Tensorized topological graph learning for generalized incomplete multi-view clustering[J]. Information Fusion, 2023, 100: 101914. doi: 10.1016/j.inffus.2023.101914
    [29]
    WEN J, LIU C L, XU G H, et al. Highly confident local structure based consensus graph learning for incomplete multi-view clustering[C]//Proceedings of the IEEE/CVF Conference on Computer Vision and Pattern Recognition. Piscataway: IEEE Press, 2023: 15712-15721.
  • 加载中

Catalog

    通讯作者: 陈斌, bchen63@163.com
    • 1. 

      沈阳化工大学材料科学与工程学院 沈阳 110142

    1. 本站搜索
    2. 百度学术搜索
    3. 万方数据库搜索
    4. CNKI搜索

    Figures(8)  / Tables(3)

    Article Metrics

    Article views(254) PDF downloads(34) Cited by()
    Proportional views
    Related

    /

    DownLoad:  Full-Size Img  PowerPoint
    Return
    Return