2025 Vol. 51, No. 2

Display Method:
Volume 2 Issue E-journal
Volume 51 Issue22025
iconDownload (93128) 783 iconPreview
HRRP recognition of midcourse ballistic targets based on AF-BiTCN
WANG Xiaodan, WANG Peng, SONG Yafei, XIANG Qian, LI Jingtai
2025, 51(2): 349-359. doi: 10.13700/j.bh.1001-5965.2023.0025
Abstract:

To address the problem of temporal feature extraction and recognition of high-resolution range profiles (HRRP) of midcourse ballistic targets, a recognition method based on bidirectional temporal convolutional networks with additive fusion (AF-BiTCN) was proposed, which could make full use of the bidirectional temporal information of HRRP of midcourse ballistic targets and further improve the recognition performance. Firstly, the HRRP data was processed into a bidirectional sequence by the bidirectional sliding window algorithm. Then, the BiTCN was constructed to extract bidirectional deep temporal features of HRRP in each layer, and the bidirectional features were fused by an additive strategy. Finally, more robust fusion features were utilized to recognize ballistic targets, and the Adam algorithm was used to optimize the convergence speed and stability of AF-BiTCN. The experimental results show that the proposed HRRP recognition method of midcourse ballistic targets based on AF-BiTCN in this paper has higher accuracy and faster recognition speed compared with six methods such as stack long short-term memory (SLSTM), stack gate recurrent unit (SGRU) and so on, and it achieves an accuracy of 96.60% on the test set. Moreover, the proposed method indicates better robustness on noise datasets.

Doppler positioning technology based on Globalstar opportunity signals
QIN Honglei, ZHANG Yu, SHI Guangting, WANG Danyao
2025, 51(2): 360-367. doi: 10.13700/j.bh.1001-5965.2023.0013
Abstract:

Using signals broadcast by a large number of non-navigation low Earth orbit satellites as navigation sources can provide positioning, navigation, and timing (PNT) services independently of global navigation satellite system (GNSS). Due to the low signal-to-noise ratio and compound orthogonal spread spectrum modulation using multiple spread spectrum codes, it is difficult to extract Doppler from the opportunity signals broadcasted by the Globalstar low Earth orbit communication constellation. Therefore, the research on Doppler positioning technology based on Globalstar opportunity signals was carried out. By analyzing the Globalstar pilot signal through measured data, the decoding method of the Globalstar pilot spread spectrum signal using square cross-term was proposed, and the decoding results were further used to extract Doppler observation by parallel code phase search acquisition algorithm. Finally, a mathematical model of coarse-time Doppler positioning was established, and the positioning was realized. The results of the experiments show that horizontal positioning performance with an accuracy of better than 100 m can be achieved by using the actual signals of two Globalstars.

Hybrid flow-shop scheduling problem considering joint of machine and AGV with renewable energy
ZHU Guangyu, JIA Weihong, LI Debiao
2025, 51(2): 368-379. doi: 10.13700/j.bh.1001-5965.2023.0021
Abstract:

The manufacturing industry in China is undergoing a digital and green low-carbon transformation. To achieve energy saving and emission reduction and improve the equipment utilization rate, a mathematical model of the hybrid flow-shop scheduling problem considering the joint of machine and automated guided vehicle (AGV) with renewable energy (HFSP-MA-RE) was established.To resolve this model, a joint scheduling strategy and an energy distribution strategy of machines and AGVs based on advance scheduling were proposed. In the case of AGV path optimization and charging constraints, four objectives of the maximum completion time, carbon emissions, total energy consumption, and AGV utilization rate were optimized.The multi-objective optimal foraging algorithm based on a positive projection gray target (PPGT_OFA) was constructed to resolve this problem. Through twenty-four test cases and one engineering application, the proposed algorithm and five multi-objective optimization algorithms were tested to verify the effectiveness of the HFSP-MA-RE model and PPGT_OFA in solving this multi-objective optimization problem.

Joint algorithm for time of arrival estimation of S-mode baseband signals with low SNR
GONG Fengxun, DIWU Yaoguang
2025, 51(2): 380-388. doi: 10.13700/j.bh.1001-5965.2023.0027
Abstract:

To improve the wide area multilateration (WAM) accuracy when receiving S-mode baseband signals with low signal-to-noise ratio (SNR), a joint time of arrival (TOA) estimation algorithm based on non-coherent integration was proposed.According to the correlation characteristics of target reply signals during the beam scanning dwell time of the secondary surveillance radar (SSR), a low SNR baseband pulse signal rising edge estimation method with a four-pulse matched filter and amplitude squared operation and accumulation was proposed, which effectively improved the TOA estimation accuracy of S-mode baseband signals with a low SNR ranging from −15 dB to 5 dB. The Monte Carlo simulation results show that the root mean square error (RMSE) of TOA estimation by using the joint algorithm is less than 25 ns for S-mode signals with a low SNR ranging from −15 dB to 5 dB. For non-ideal S-mode baseband signals, when the SNR is as low as −15 dB, the TOA estimation accuracy of the joint algorithm after the non-coherent integration of five pulses can reach 22.245 ns, which is much better than the WAM requirement.

Total ionizing dose effect analysis and radiation hardening design method of Buck-Boost converter
GUO Zhongjie, LU Hu, LIU Nan, WU Longsheng
2025, 51(2): 389-396. doi: 10.13700/j.bh.1001-5965.2023.0050
Abstract:

DC-DC converter in the total dose radiation environment will mainly bring the output voltage drift, linear adjustment rate load adjustment rate decline and other effects so that the output stability performance of the circuit deteriorates. In order to address the issues with the conventional total ionizing dose effect hardening method that stem from process and layout, including high cost, large layout area, and poor universality, this paper suggests a total ionizing dose effect hardening design method with parallel monitoring and hardening. This method can accomplish total ionizing dose effect hardening at the circuit level without the need for a process. The anti-total dose capability of the Buck-Boost converter is improved. The circuit design and physical implementation of the proposed method are verified based on the 0.18 μm BCD process. According to the findings, with a dosage of 2000 Gy (Si), it is possible to enhance the output voltage shift rate from 0.0663% to 0.0074% and compensate the system gain drop rate from 19.26% to 6.65%. The load adjustment rate and linear adjustment rate are reduced by 2.15%/A and 0.0389%/V, respectively, which provides a new idea for the design of total ionizing dose effect hardening at the circuit and system level.

Lightweight video crowd counting with spatial shuffling and chain residual enhancement
CHEN Yong, ZHANG Jiaojiao, ZHOU Fangchun
2025, 51(2): 397-408. doi: 10.13700/j.bh.1001-5965.2023.0063
Abstract:

The problems with the large complexity, low accuracy, and slow real-time performance of the current video crowd counting techniques in network models are addressed by a lightweight solution based on spatial shuffling and chain residual augmentation. The proposed model consists of an encoder, decoder, and prediction network. In the encoder section, firstly, a multi-scale deep separable reverse residual block is designed to extract crowd features of different resolutions and temporal feature information between adjacent frames, thereby improving the lightweight of the model. Then, a spatial shuffling module is proposed to be embedded in the coding backbone network to enhance the ability to extract features of people at different scales. Next, to reduce the loss of detail features in the decoder section, enhance the fusion module and chain residual module to combine the various resolution characteristics that the encoder produces layer by layer. Finally, by predicting the output through the decoder, a regression population density map is obtained, and the counting result is output by summing the density map pixel by pixel. The method proposed in this paper was compared on population datasets such as Mall, UCSD, FDST, and ShanghaiTech. The results showed that the model outperformed the comparison algorithm in terms of detection frame rate and parameter quantity. For example, on the Mall dataset, compared to the ConvLSTM population counting algorithm, the error values of mean absolute error (MAE) and mean square error (MSE) in this method were reduced by 43.75% and 72.71%, respectively, showing higher accuracy and real-time performance for crowd counting in different scene videos.

Kinematic absolute and relative orbit determination of Swarm satellites with heterogeneous orbits
JIN Biao, LI Shenyang, LIU Ningning, ZHAO Liqian
2025, 51(2): 409-418. doi: 10.13700/j.bh.1001-5965.2023.0039
Abstract:

Precise position information is the key to guaranteeing the successful implementation of low-earth-orbit satellite missions. The fixing of carrier phase ambiguities is important for the precise positioning and precise orbit determination of the GPS. The satellite-end hardware bias was corrected by using the observation specific bias product, and the receiver-end bias was eliminated by using the inter-satellite single difference to fix the single receiver ambiguity. Swarm satellite-borne measured data was used to carry out kinematic absolute and relative orbit determination, and the single-satellite ambiguity and double-difference ambiguity were fixed respectively to research the influence of fixing ambiguities on kinematic orbit determination accuracy. The results show that fixing ambiguities can significantly improve orbit determination accuracy. The standard deviation of the satellite laser ranging (SLR) residuals for the reduced dynamic single difference ambiguity resolution (SD-AR) orbit as a reference is better than 10 mm, which is improved by 20% compared with that of the floating solution. For kinematic absolute orbit determination, the orbit determination accuracy of the double difference ambiguity resolution (DD-AR) is improved by 26% compared with that of the floating solution, and the accuracy of the SD-AR is improved by 46%. For kinematic relative orbit determination, the baseline accuracy of the SD-AR and DD-AR of the Swarm-AC formation is improved by 40% compared with that of the floating solution. For the Swarm-AB and Swarm-BC formation satellites on heterogeneous orbits, observation data of specific periods are selected for relative orbit determination. Compared with the floating solution results, the baseline accuracy of the SD-AR is improved by 48%, and the accuracy of the DD-AR is improved by 54%. Fixing the carrier phase ambiguity in the kinematic orbit determination of low-earth-orbit satellites can significantly improve the accuracy of absolute and relative orbit determination.

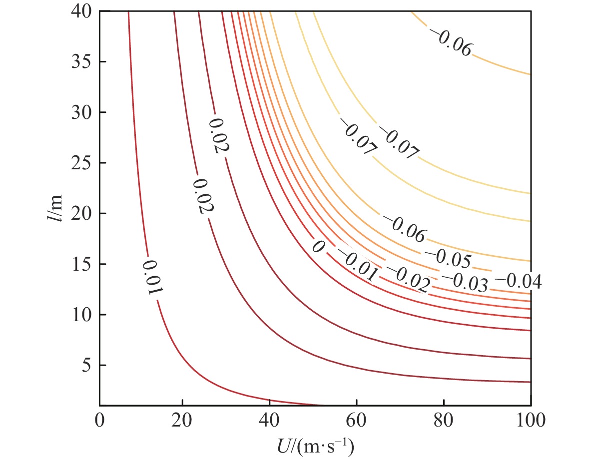
Dynamic stability analysis of a single-point hanging container
LYU Yuzhu, WAN Haiming, XU Yumao
2025, 51(2): 419-427. doi: 10.13700/j.bh.1001-5965.2023.0036
Abstract:

To study the dynamic stability of a single-point hanging container, the divergent motion of the hanging container was captured by a wind tunnel test, and the motion equation of the single-point hanging system was decoupled for dynamics analysis. It was found that the reason for the divergent motion of the container was that the lateral aerodynamic force had a motivating effect on the swing motion. The stability criterion showed that the necessary condition for the stability of the single-point hanging system was the damping action of the yawing moment and lateral force of the hanging body on its yawing motion, but an excessive yawing recovery force may reduce the dynamic stability of the hanging system. Keeping the lateral damping force and yawing recovery moment appropriate, reducing the resistance, and increasing the mass and moment of inertia of the hanging body were beneficial to the stability of the hanging system. In the process of hanging flight, if the hanging system becomes unstable, the helicopter can be controlled by decelerating properly, and the sling length can be reduced to increase the flight speed of the stable forward flight of the helicopter with an external hanging body. Besides, there is an optimal sling length to ensure the optimal stability of the single-point hanging system at cruising speed.

Gait learning method of quadruped robot based on policy distillation
ZHU Xiaoqing, WANG Tao, RUAN Xiaogang, CHEN Jiangtao, NAN Borui, BI Lanyue
2025, 51(2): 428-439. doi: 10.13700/j.bh.1001-5965.2023.0069
Abstract:

Reinforcement learning algorithm represented by flexible action evaluation (SAC) has been successful in reproducing the motor skills of higher animals. This framework combines strategy search and state action value function. However, the agent use strategy exploration is greedy, and the Q value function of evaluation network estimation uses low valuation. This paper proposes a policy distillation (PD) soft actor-critic (PDSAC) algorithm that integrates PD and SAC algorithms to enable agents to adopt better policies. This algorithm allows the agent to explore using hybrid policies and speeds up the convergence of the reward function from reinforcement learning. To validate the proposed algorithm, Theoretical proof that the PDSAC algorithm improves the efficiency of policy exploration and validation in quadruped robot gait learning tasks. According to simulation results, the PDSAC outperforms the SAC in the gait learning task, achieving a 40% increase in convergence speed and a 26.7% improvement in the reward value function.

Optimization of key parameters of electromagnetic coil launching based on uniform design experimentation
YANG Baocheng, HAN Junfeng
2025, 51(2): 440-445. doi: 10.13700/j.bh.1001-5965.2023.0040
Abstract:

An electromagnetic coil launcher's muzzle velocity and launch efficiency are determined by critical system characteristics like circuit and structural design. To obtain higher muzzle velocity and launch efficiency, this article establishes an electromagnetic coil vertical launch model according to the circuit principle and dynamics principle and uses the finite element simulation software Ansoft Maxwell for dynamic simulation of the proposed model. Several experiments are conducted using the uniform experimental design method to examine the influence of key parameters, such as the trigger positions of the five-stage coil launcher system, on the launch efficiency. The simulated annealing algorithm is used to propose a method of optimizing the trigger sites and produce the ideal trigger sequence after the simulation results are assessed using the stepwise regression approach. Finally, the simulation is carried out based on the trigger positions obtained by the simulated annealing, and the launch efficiency of 56.27% is achieved. This result verifies the effectiveness of the proposed optimization method and provides a valuable reference for the optimization of high-mass launch technology in the future.

Autonomous path planning of departing aircraft in terminal area
WANG Hongyong, GUO Yupeng
2025, 51(2): 446-456. doi: 10.13700/j.bh.1001-5965.2023.0065
Abstract:

With the gradual development of the aircraft self-separation operation and the continuous climbing operation (CCO) mode, it can effectively solve the problem that the departure path of aircraft in the current terminal area is fixed and single, which leads to the low operational efficiency of airspace. Therefore, an autonomous path planning method based on artificial potential field-particle swarm optimization(APF-PSO) algorithm was proposed in this paper. To guarantee operation safety, the airspace environment was first rasterized, the aircraft autonomous operation mode was taken into consideration, and the airspace complexity of each grid was computed. This prevented departing aircraft from flying into high-complexity grids. The aircraft climbing performance constraint model was constructed based on the BADA database and reduced force climbing mode. Then the path planning was carried out by using the APF-PSO algorithm of artificial potential field(APF) and particle swarm optimization(PSO) algorithm, and the local extremum-target unreachable problem inherent in the artificial potential field method was solved by using the region search algorithm of particle swarm optimization. The Bessel curve method was used to optimize the path planning and the concept of sliding time window was introduced to optimize the departure time of aircraft. Finally, using the actual structure and operation data of Shanghai terminal airspace, the proposed method was applied to simulate. The simulation test results show that the APF-PSO algorithm can effectively generate the aircraft conflict-free departure path and avoid busy airspace. The optimized path satisfies the aircraft climbing performance constraints and is better than the actual path (path length reduced by 23.78%, maximum turning rate reduced by 55.73%, maximum climbing rate reduced by 9.94%). Additionally, the autonomous operation mode of departing aircraft results in a more balanced airspace operation condition than the actual operating mode (a reduction of 3.92% in peak grid complexity), which can significantly increase the airspace utilization rate.

A point cloud semantic segmentation method for unstructured roads
WANG Zhangyu, CHEN Yang, ZHOU Bin, WANG Jie, DUAN Xingji, ZHAO Zhongshan
2025, 51(2): 457-465. doi: 10.13700/j.bh.1001-5965.2023.0045
Abstract:

A point cloud semantic segmentation method for unstructured road scenes, represented by open-pit mining areas, is proposed to address issues such as harsh environmental conditions, blurred road boundaries, and significant differences in obstacle sizes. The method includes preprocessing, feature extraction networks, and inverse processing. Among them, preprocessing maps the three-dimensional point cloud to a two-dimensional Range View (RV) graph through coordinate transformation to improve network inference speed; The feature extraction network includes a convolutional attention module and a multi-scale residual module. The convolutional attention module is used to refine the segmentation boundaries and solve the problem of blurred road boundaries; The multi-scale residual module uses a large convolution kernel to expand the receptive field and fuse up and down sampling features to adapt to the problem of large changes in obstacle size in unstructured road environments; Inverse processing uses the K-nearest neighbor (KNN) algorithm to correct semantic labels and map point clouds back to three-dimensional space. The proposed method was tested on a typical unstructured road open-pit mining dataset, with an average intersection to union ratio of 85.1% and an inference speed of 6.423 ms. Compared with mainstream semantic segmentation network based on spherical projection, the overall accuracy was improved by 3%. In addition, the proposed method has been practically applied in unstructured road scenarios.

Overall scheme optimization of BWB UAVs based on comprehensive evaluation
SUO Xinshi, WANG Yu, ZHU Zheng
2025, 51(2): 466-477. doi: 10.13700/j.bh.1001-5965.2023.0250
Abstract:

To improve the overall scheme optimization efficiency of blended wing body (BWB) unmanned aerial vehicles (UAVs), a model involving multi-disciplinary analysis, comprehensive evaluation, and optimization suitable for the overall scheme of UAVs in the conceptual design stage was established, in consideration of the geometric and performance characteristics of BWB UAVs. Additionally, corresponding tools were developed. The analysis of geometry, mass, aerodynamics, and stealth characteristics of the BWB UAVs in the overall scheme was performed by combining numerical analysis with engineering methods. An improved TOPSIS method was adopted to establish a comprehensive evaluation model concerning payload capacity, economy, and adaptability of UAVs. The rationality of the analysis model was verified by using several UAV schemes as calculation cases. A parallelizable subset simulation optimization algorithm was utilized to perform a traditional multi-objective optimization with the objectives of maximizing the cruise lift-to-drag ratio and minimizing the forward radar cross section (RCS), and scheme optimization based on the comprehensive evaluation was achieved with the goal of realizing the optimal competitiveness. Based on all schemes generated during the multi-objective optimization process, a parameter correlation analysis was completed, verifying the impact of wingspan, sweep angle, and twist angle on aerodynamic and stealth characteristics. The final multi-objective optimization scheme achieves a 41.6% reduction in RCS and a 3.5% increase in cruise lift-to-drag ratio. The competitiveness score of the optimization scheme based on comprehensive evaluation was improved by 44.0%.

Kinematic characteristics analysis of vehicle-aircraft towing taxi system considering wheel deformation
LU Xin, SUN Yuning, TANG Jie, ZHANG Wei
2025, 51(2): 478-486. doi: 10.13700/j.bh.1001-5965.2023.0029
Abstract:

To explore the influence of the restraint relationship between the wheel-holding mechanism and the nose landing gear wheel on the kinematic characteristics of the towing system, this paper established the relationship between the radial force and radial contact deformation of the aircraft nose landing gear wheel based on the Winkler contact model. With the Douglas TBL-180 towbarless aircraft tractor and B737-800 passenger aircraft as reference objects, the kinematic model of the tractor-aircraft system was established, and under the different constraint relationships between the wheel-holding mechanism and the nose landing gear wheel, the change law of the acceleration bias of the tractor and the aircraft under various operating conditions was explored. The results show that the radial force of the nose landing gear wheel has a strong nonlinear relationship with the radial contact deformation, which greatly influences the motion characteristics of the towing system. Under the acceleration and braking states, the increase in the constraint force at both ends of the nose landing gear wheel will reduce the acceleration bias of the tractor and the aircraft. However, under the acceleration state, the increase in the constraint force is the main influencing factor for the decrease in the acceleration bias, and under the braking state, the constraint force has little effect on the acceleration bias when increasing to a certain value (about 10 000 N).

Guidance and control method for dynamic net-recovery of UAV and the flight test verification
WANG Yujie, CHEN Qingyang, GAO Xianzhong, DENG Xiaolong, HOU Zhongxi
2025, 51(2): 487-497. doi: 10.13700/j.bh.1001-5965.2023.0043
Abstract:

This study focuses on the guidance and control technology for shipborne fixed-wing unmanned aerial vehicle (UAV) during dynamic recovery. The guidance system for precise recovery based on a segmented control strategy is proposed. The scheme design and integration test of the system for dynamic net-recovery are completed. Online recovery route planning is achieved by predicting contact time through a numerical iteration method, while a nonlinear guidance algorithm based on guidance points is employed for accurate mid-phase tracking. Based on the classical proportional guidance and the longitudinal/lateral decoupling strategy, a three-dimensional terminal guidance law is designed to achieve accurate control of the impact point in the terminal guidance phase of dynamic recovery. The effectiveness of the segmented guidance strategy with the algorithm in each phase is proved through simulation and flight tests. The results show that the recovery route planning method is simple, effective and adaptable. The tracking deviation of the guidance algorithm for the route is less than 0.5 m, and the steady-state accuracy of altitude control is better than 0.5 m. The terminal guidance accuracy of UAV in the dynamic net-recovery test is better than 0.8 m. The guidance and control accuracy throughout all phases meets UAV net-recovery requirements, making the proposed method suitable for engineering applications.

Sparse classification and recognition method of fuzed targets and jamming signals
LIU Bing, HAO Xinhong, QIN Gaolin, SHI Mingxin, LIU Jiaqi
2025, 51(2): 498-506. doi: 10.13700/j.bh.1001-5965.2023.0071
Abstract:

To enhance the frequency modulation radio fuze’s ability to prevent interference in the complex electromagnetic environment, a method of classifying and identifying the target and interference signals is suggested. This method is based on the sparse representation theory and uses the sparse representation coefficient reconstruction. The goal is to address the issue of the frequency modulation radio fuze’s insufficient ability to prevent interference. The output signals of the detector end of the radio fuze were collected, and the overcomplete dictionary of the target signal and the overcomplete dictionary of the interference signal were constructed. The test signals underwent sparse decomposition and reconstruction on both types of dictionaries. Based on the reconstruction errors, the test sample categories were determined. The results show that the classification and recognition method of frequency modulation radio fuze targets and interference signals based on sparse representation can effectively recognize targets and interference signals, and at the same time meet the lower false alarm probability. The research results have important reference significance for frequency modulation radio fuze’s anti-jamming and effective attack in complex electromagnetic environments.

Countermeasure effect of jamming to FSK modulation system
MA Yanan, WANG Jian, FAN Guangteng, CAO Lu
2025, 51(2): 507-517. doi: 10.13700/j.bh.1001-5965.2023.0007
Abstract:

In view of the different types of jamming faced by satellite communication, frequency-shift keying (FSK) modulated communication signal was taken as the research object, and the relationship between the bit error rate and the signal-to-jamming ratio was mainly studied under the nine countermeasure conditions of jamming, such as single-tone, multi-tone, narrowband, multi-tone narrowband, noise amplitude modulation, noise frequency modulation, noise phase modulation, linear frequency modulation jamming, and pulse jamming. The deterioration degree of the FSK modulated communication system with different types of jamming in the case of different frequency biases and signal-to-jamming ratios was obtained through simulation, and the optimal jamming type was obtained. At the same time, the maximum signal-to-jamming ratio required to block communication (with a bit error rate greater than 10−2) under different frequency biases and different types of jamming was obtained. When the signal-to-jamming ratio was less than 0 dB, the single-tone jamming and noise frequency modulation jamming caused more serious system deterioration. When the signal-to-jamming ratio was greater than 0 dB, the noise frequency modulation jamming, the multi-tone narrowband jamming, and the pulse jamming exhibited better jamming effect. In the case of different frequency biases, the pulse jamming required the minimum power to block communication.

Fatigue life prediction of CFRP flat-joggle-flat bonded joint
XU Chang, XIAO Yong, DENG Pengcheng
2025, 51(2): 518-524. doi: 10.13700/j.bh.1001-5965.2023.0048
Abstract:

Parameter fitting was done using tests for the cohesive model, the normalized fatigue life model, the stiffness degradation model of the unidirectional laminate, and carbon fiber reinforced polymer (CFRP) flat-joggle-flat (FJF) bonded joint. Based on the models mentioned above, the fatigue life of the bonded joint was predicted by using ABAQUS software. Results show that under a certain maximum load, the predicted adhesive cracking life at the end of the overlap zone and the ultimate fatigue life of the bonded joint have an error value of no more than 3%, compared with the corresponding test results, which illustrates good accuracy. It is evident that the adhesive cracking life plays a major role and that the adhesive crack propagation life can be disregarded because the adhesive cracking life at the end of the overlap zone is almost equal to the ultimate fatigue life of the bonded joint.

Drag reduction characteristics analysis of variable camber based on plane parameters of blended wing body configuration
WANG Yutong, LIU Yue, WANG Hao, YANG Tihao, LIU Hongyang, ZHOU Zhu
2025, 51(2): 525-545. doi: 10.13700/j.bh.1001-5965.2023.0011
Abstract:

The variable camber technology can adaptively improve the aerodynamic performance of the aircraft, so combining it with the blended wing body (BWB) configuration can further exert its aerodynamic advantages. However, the tailless BWB only uses the trailing edge flap surface for trimming, with a shorter longitudinal moment arm, resulting in a large penalty in trim drag. Therefore, the trimming of drag loss should be fully considered in the design of the variable camber at the trailing edge of BWB. Since the plane parameters would affect the trimming capability of each flap surface at the trailing edge of tailless BWB, this paper adopted the global optimization method to study the drag reduction principle and effects of the variable camber technology at the trailing edge of BWB with different sweepback angles and different wing positions. The results show that, under different lift coefficients, the trim drag loss significantly reduces the drag reduction benefits of the camber variation technology. Secondly, the planar parameters of BWB affect the shock wave intensity and trim ability, thus influencing the drag reduction benefits of the camber variation technology and the deflection angles of the control surfaces. Compared with the baseline configuration, increasing the sweep angle can increase the drag reduction benefits at small lift coefficients and decrease them at large lift coefficients. When the wing position is forward, the drag reduction benefits increase when moment trimming is not considered, but decrease when moment trimming is considered.When designing the variable camber at the trailing edge of the tailless aircraft in engineering, it is necessary to comprehensively consider the drag reduction benefits of the variable camber at the trailing edge and the deflection angle of the flap surface required for deformation.

Optimization analysis for numerical calculation of UH model
ZHANG Kui, YAO Yangping
2025, 51(2): 546-552. doi: 10.13700/j.bh.1001-5965.2023.0001
Abstract:

Numerical calculation is an important tool for analyzing geotechnical engineering problems, and the accurate and efficient application of the unified hardening (UH) model in numerical calculation of geotechnical engineering is of great value. The superiority of the UH model in theoretical inheritance, loading and unloading judgment, and equivalent concept application was studied. The graphical user interface (GUI) components and user material (UMAT) subroutine for the UH model were developed, and the UH model was effectively embedded in the finite element software. The convergence of numerical calculation was improved through the application of the symmetry method of tangent stiffness matrix and the improved formula of low-pressure stress transformation. The UH model was applied to simulate the foundation load plate test, and the calculated load-settlement curve was found to be close to the test data, which demonstrated the reliability of the UH model in foundation deformation calculation. The research results have effectively developed the numerical calculation capabilities of the UH model and improved the optimization of the calculation methods, which holds important value for solving complex geotechnical engineering problems.

Boltzmann-Rykov model equation gas-kinetic unified algorithm and nozzle flow
LI Fan, LI Zhihui, CHEN Aiguo
2025, 51(2): 553-562. doi: 10.13700/j.bh.1001-5965.2023.0054
Abstract:

The kinetic Boltzmann-Rykov model is used to explore the influence of rotating non-equilibrium on the inner flow of the nozzle, based on the computing principle of the gas-kinetic unified algorithm (GKUA). Mathematical models for the boundary conditions of nozzle flows were developed under the level of molecular velocity distribution function, and a numerical scheme of gas-kinetic was constructed to solve the molecular velocity distribution function directly. The Boltzmann-Rykov model equation considering the effect of rotational energy was numerically solved. The inner flow problems including the one-dimensional unsteady shock tube, one-dimensional steady positive shock structure, and two-dimensional planar nozzle flow were numerically simulated. The computed results match the theoretical solution, simulation value, and experimental data. It verifies the feasibility and accuracy of the unified algorithm for the inner flow problems. Lastly, an analysis was conducted on the nozzle’s inner flow field while taking rotational energy into account. The results show that the Knudsen number can be used as the characterization of nozzle flow characteristics and performance.

Hysteresis model of reducer and its application
CHENG Huiming, SHI Zhaoyao
2025, 51(2): 563-572. doi: 10.13700/j.bh.1001-5965.2023.0055
Abstract:

A reducer is a typical hysteresis system, and the hysteresis affects its transmission performance. The existing hysteresis models of reducers usually ignore the hysteresis characteristics of geometric errors and treat them as constants, which results in the inability of these models to fully reflect the hysteresis characteristics of reducers. In order to better understand the mechanism behind gear reducer hysteresis, this paper theoretically analyzes the effects of friction, elastic deformation, and geometric errors on the phenomenon. Additionally, it develops a new model for gear reducer hysteresis that takes geometric error hysteresis characteristics into account. The model's practical application reveals the dynamic characteristics of the lost motion in the reducer, and a dynamic lost motion formula is deduced. Experimental research verifies the influence of geometric errors on the reducer hysteresis and confirms the effectiveness of the hysteresis model. By changing the loading rate during the lost motion test, the dynamic characteristics of the lost motion are verified. It was found that different materials have different effects on the loading rate. For every 0.05 (N·m)/s increase in the loading rate, the lost motion test results of the small metal gear reducer and the small plastic gear reducer with a modulus of 0.22 mm decrease by about 3′ and 10′, respectively.

Overall design method of ground test equipment for engine dynamic air bleed of aircraft environmental control system
WU Hao, ZHENG Yonggui, LIU Meng, WANG Jun
2025, 51(2): 573-583. doi: 10.13700/j.bh.1001-5965.2023.0014
Abstract:

It is a major problem for the aircraft environmental control system (ECS) design and improvement when encountering failures during dynamic operation. The traditional ground test equipment for the ECS only can supply gas in a steady state or a small range at a low speed, and it is difficult to reproduce the environment of rapid and violent dynamic air bleed of ECS in the air. To make up for the lack of dynamic test capability of ECS, China has built a new double-engine dynamic simulation test bench for ECS with the largest parameter coverage and the highest dynamic index, which can simulate the dynamic air bleed environments of different engines under different working states for the ECS. The overall design method of the test bench was introduced in this paper. The combined adjustment of temperature and pressure was realized by the method of using the main valve for pressure regulation and mixing the cold and the hot for temperature adjustment, and the resistance relationship of each link was reasonably distributed to weaken the coupling in the pressure regulation and temperature adjustment process. The rapidity of temperature adjustment was ensured by using a bypass heater for heating and a heat exchanger for heat exchange. Double-valve linkage control was used to ensure the large range and high precision of pressure regulation, and dual flowmeters were employed to ensure steady-state measurement accuracy and dynamic measurement speed. Based on the traditional distributed control system, a fast interactive network of reflective memory cards was established to realize the fast response of the control system, and the proportional-integral-derivative (PID) algorithm based on the expert system was adopted to improve the control effect of the controller. The test results show that the test bench can rapidly and dynamically regulate pressure and adjust temperature in a wide range.

Mental fatigue recognition algorithm based on cascade forest and multi-modal fusion
DENG Haowei, HOU Yuejiao, ZHANG Chaoyue, XU Muhua, ZHU Lingling, ZHAO Yongqi
2025, 51(2): 584-593. doi: 10.13700/j.bh.1001-5965.2023.0030
Abstract:

Mental fatigue is an important factor affecting human cognitive function and work efficiency, but there is no publicly available multi-modal fusion database related to mental fatigue, and the EEG signals commonly used to identify mental fatigue are prone to burden and activity limitation during the acquisition process, which led to the proposal of a mental fatigue identification algorithm based on multi-modal physiological signals. The experiment used a continuous cognitive task to induce mental fatigue in the subjects, and two physiological signals, EEG and ECG, were acquired simultaneously. The 4-lead (Fp1, F7, F8, Fp2) EEG and ECG signals were used to construct the multi-modal fusion features, and inputted into the cascade forest model to complete the mental fatigue recognition task. Finally, 14 valid mental fatigue multi-modal datasets were obtained and an average recognition rate of 99.60% was achieved. By introducing the cascade forest and multi-modal fusion technology, the accuracy and robustness of mental fatigue recognition are effectively improved, which provides technical support for mental fatigue monitoring and intervention.

Moving targets detection based on multi-satellite joint passive microwave imaging
LI Rui, DENG Li, DUAN Ran
2025, 51(2): 594-601. doi: 10.13700/j.bh.1001-5965.2023.0076
Abstract:

High spatial resolution can be achieved by the satellite formation-based passive interference imaging system in space, however the retrieved image may contain aliasing noise due to sparse detection baselines, which will impede the detection of single-pixel point targets. Considering the slow-varying characteristics of the observation area, a target detection method based on image sequences is proposed. The observation background is estimated by multi-frame retrieved images and historical data, and then background subtraction is applied to the retrieved images. Next, by accumulating sidelobe energy and estimating the noise in the target neighborhood, potential targets are chosen. Lastly, the tracks of the targets are acquired by analyzing the movement characteristics. In the simulation experiment, 10 satellites running in geostationary orbit are designed to detect 50 ship targets in the sea. A total of 300 trials are tested, and the average false alarm rate and average missed alarm rate are shown to be as high as 14.5% and 19.5%, respectively.

A self-decision topic crawler algorithm with online training
XIONG Guanye, YANG Bailong
2025, 51(2): 602-615. doi: 10.13700/j.bh.1001-5965.2023.0002
Abstract:

Tunnel crossing problem is unavoidable in the development of the topic crawler. To solve this problem, a self-decision topic crawler algorithm based on Boyd loop (FCIDOL) was proposed. The algorithm took the Boyd loop as the basic framework and formed a closed loop according to the principle of “observation-assessment-decision-action”. According to the work completed by the crawler, which refers to memory, the algorithm evaluated the current state observed to generate decisions of radical or conservative strategies, guiding the crawler to search for new theme-relevant web pages or to focus on the actions of short-term benefits. The role of memory was to provide training materials for the assessment network, thus realizing the online training of the network to meet the cold start of the crawler. The experiment shows that compared with various topic crawler algorithms in different topic environments, FCIDOL achieves an improvement of over 7.8% in harvest rate, and the number of duplicate links is reduced by more than 15.6%.

Research on pre-curved spiral wound pneumatic soft gripper
TAN Tunxu, TENG Yan, WANG Chunyuan
2025, 51(2): 616-624. doi: 10.13700/j.bh.1001-5965.2023.0010
Abstract:

The use of elastic instability to improve the performance of bionic soft robots is getting more and more attention. In this paper, a pre-curved spiral wound pneumatic soft gripper with a monostable structure was designed, which consisted of a strain-limiting layer and a fast pneumatic grid channel layer. The strain-limiting layer was axially pre-stretched, and the fast pneumatic grid channel layer was deflected at a certain angle along the axial pre-stretching direction to bond with the strain-limiting layer. After the pre-stretching was released, a spiral gripper with a pre-curved angle was obtained, which could exhibit a monostable behavior when actuated. Through theoretical and simulation analysis, the pre-bending mechanism under non-pressure actuation and the bending mechanical behavior under pressure actuation were studied. The analysis shows that the stretching ratio and the deflection angle are the key parameters affecting the performance of the gripper. At last, the static test and grasping test of the soft gripper are carried out. The results show that the gripper has good target adaptability and grasping ability. Due to its monostable structure, the gripper can hold objects 1.35 times its weight in the initial state of zero air pressure, and under the condition of pressure actuation, it can hold objects up to 20.85 times its weight.

Identification of pulsatile tinnitus and visualization of high pathogenic regions based on CT images
TIAN Shan, WANG Zhiwen, CAO Xuepeng, SU Lei, LIU Zhaohui
2025, 51(2): 625-632. doi: 10.13700/j.bh.1001-5965.2023.0074
Abstract:

The diagnosis of pulsatile tinnitus (PT) typically relies on medical imaging tests. However, due to the wide range of possible causes, there is still a lack of universally accepted diagnostic criteria with a clearly defined mechanism. This study aims to propose a neural network model for high-accuracy PT identification based on CT images of PT patients and non-PT individuals, as well as automatically label the high pathogenic regions to assist in diagnosis. Transfer learning based on the ResNet-v1-50 model was employed to identify PT using horizontal cross-sections of the middle temporal bone in the bone window. The high-weight regions for identification were labeled using the grad-CAM method. These regions, along with related anatomical structures, were statistically analyzed across three databases: large sections (entire cranium), medium sections (bilateral temporal bones), and small sections (right-side temporal bone), allowing for the gradual refinement of the area of interest and increased resolution of high-weight regions in classification. The best identification, which achieved 100% accuracy in the test set, came from the medium area that included both temporal bones. The high-weight regions identified in PT were concentrated in either bilateral or unilateral temporal bones, primarily involving the temporal bone air cells, tympanic antrum, sigmoid sinus cortical plate, and superior tympanum. The occurrence of PT is closely associated with temporal bone and nearby bone structures. PT patients have a probability of structural abnormalities in either bilateral or contralateral temporal bones, which are different from those without tinnitus. Specifically, bone structures including temporal bone air cells, tympanic antrum, sigmoid sinus cortical plate and tympanic cavity have a high probability of containing the primary pathogenic factors for PT. These imaging-based conclusions align with previous biomechanical findings, further corroborating the understanding of PT etiology.

Three-dimensional polarization filtering method of generalized oblique projection based on SVT
WANG Liyuan, HE Huafeng, HE Yaomin, HAN Xiaofei, LI Zhen
2025, 51(2): 633-643. doi: 10.13700/j.bh.1001-5965.2023.0019
Abstract:

The generalized oblique projection filter has a “blind area of filtering” and is easily influenced by the estimation error of the noise covariance matrix in different noise backgrounds. To address these issues, a generalized oblique projection polarization-spatial domain joint filtering method based on singular value thresholding (SVT) was proposed. Firstly, based on the uniform circular array polarization-sensitive array, the received signal model of the array was established. Secondly, the three-dimensional polarization filter of the generalized oblique projection was designed by using the minimized interference constrained generalized oblique projection operator with minimal interference constraints. Then, under the condition of unknown interference parameters, a filtering weight vector calculation method based on SVT was proposed. Finally, through the theoretical analysis of the filter performance and the simulation comparison with three similar algorithms, the results show that the three-dimensional polarization filtering method of generalized oblique projection based on SVT can suppress interference and recover the target signal without estimating the noise covariance matrix.

A self-expanding identification method for non-cooperative space radiation sources
CHEN Shikai, JI Jinjin, JING Youbo
2025, 51(2): 644-654. doi: 10.13700/j.bh.1001-5965.2023.0024
Abstract:

The research on radio frequency fingerprint identification (RFFI) of radiation sources is usually regarded as a typical closed-set classification problem. However, in the non-cooperative space, the radiation sources are unknown, so the closed-set classification algorithm is inapplicable. To solve this problem, this paper proposed an open set recognition (OSR) method for the expert model self-extension of non-cooperative space radiation sources, which can self-expand to identify unknown radiation sources in non-cooperative space. Firstly, the open set method was used to identify the known/unknown radiation source samples, and several independent radiation source identification expert models were formed through the sample library construction. Secondly, a model decoupling federation strategy was proposed for the expert model self-expansion of radiation source identification, which ensured the online continual learning (CL) of the expert model on the radiation source samples in space, effectively overcoming the problems in the traditional radiation source identification model design, such as the inability to automatically learn and identify new radiation source samples and the vulnerability to catastrophic forgetting. Finally, the sample balance and interleaving techniques were used to enhance the specificity of expert models for fingerprint features of radiation sources to ensure the rapid convergence of expert models and maintain the high-generalization ability for specific radiation source identification. The experimental results show that the classification accuracy of the proposed method on the radiation source equipment is more than 97.8% in the signal-to-noise (SNR) environment of 5 dB and 100% in the signal-to-noise environment of 27 dB.

Multi-UAV stereoscopic inclusion control based on dynamic scale observer
WANG Hao, LI Xinkai, ZHANG Hongli, YANG Jiaxiu, DOU Lei
2025, 51(2): 655-667. doi: 10.13700/j.bh.1001-5965.2023.0026
Abstract:

To address the problem that individual unmanned aerial vehicle (UAV) in under-actuated multi-UAV inclusion control cannot obtain global information and is subject to unknown external perturbations, making it difficult to converge quickly, this paper proposed a distributed fixed-time control strategy for under-actuated UAVs based on a dynamic scale observer. Firstly, a distributed fixed-time observer was designed to enable each UAV to quickly estimate the space state required to complete the contained mission when most UAVs fail to obtain the target state. Secondly, a finite-time dynamic scale observer based on immersion and invariance theory was proposed to quickly and accurately estimate the external perturbations to each UAV. Finally, a non-singular distributed fixed-time controller was designed to achieve the fast stereoscopic inclusion control of an under-actuated multi-UAV system by using local information. With the proposed control strategy, the upper bound on the convergence time of the system was independent of the initial state and depended only on the eigenvalues of the information transfer array and the controller parameters. The superiority of the designed controller was verified by theoretical demonstration and simulation experiments.

NHC lever arm estimation algorithm for vehicle-integrated navigation systems based on dead reckoning
DENG Chengjian, CHEN Qijin, ZHANG Tisheng, NIU Xiaoji
2025, 51(2): 668-675. doi: 10.13700/j.bh.1001-5965.2023.0035
Abstract:

The non-holonomic constraint (NHC) of vehicle motion can be used as the velocity observation information for the vehicle-integrated navigation system, which can effectively suppress the error accumulation of the inertial navigation system (INS). To fully exert the constraint function of NHC, it is significant to accurately estimate and compensate for the inertial measurement unit (IMU) stagger angle and NHC lever arm. This paper researched the NHC lever arm and estimated the IMU stagger angle and NHC lever arm simultaneously by three-dimensional dead reckoning and Kalman filter without an odometer. The results show that the proposed algorithm can accurately estimate the stagger angle and NHC lever arm of the high-precision INS and low-precision micro-electro-mechanical system (MEMS) INS, and the stagger angle error is less than 0.1°. The estimated NHC lever arm projection point is more in line with the NHC constraint condition than the IMU center, and it can significantly improve the auxiliary effect of NHC constraint and strengthen the performance of the vehicle-integrated navigation system.

Improvement of terrain following flight adaptive angle method under small field of view conditions
ZHU Rinan, WANG Biao, TANG Chaoying
2025, 51(2): 676-682. doi: 10.13700/j.bh.1001-5965.2023.0057
Abstract:

The causes of two wavy tracks were examined in light of the phenomenon of aircraft moving forward in a wavy mode during terrain following flight with the adaptive angle method under the condition of a small field of view. An improved adaptive angle method formula was also proposed when terrain information is lost. A new suppression function was designed and the command gain was derived for the improved formula which verified its consistency with altitude control. The guidance instruction can be given continuously by combining the information before terrain loss with the real-time altitude in the stage of no terrain information. Through the avoidance of frequent changes in flight path angle and normal overload, the method is confirmed to be effective in addressing the wavy track issue in visual simulation experiments with various real terrain data. This allows the aircraft to fly over the peak at the expected safe height and significantly improves the terrain following effectiveness.

Multi-scale infrared and visible image fusion based on nest connection
WU Nan, MU Chengpo, HE Yang, LIU Taiye
2025, 51(2): 683-691. doi: 10.13700/j.bh.1001-5965.2023.0077
Abstract:

This work suggests a multi-scale real-time image fusion model based on nest connection, which aims to address the issues of lengthy running times, unnatural fusion strategies, and the incapacity to extract multi-scale deep features in existing infrared and visible image fusion approaches. Firstly, multi-scale deep features are extracted by a feature extractor. Then, feature maps with multi-scale deep features are generated from the fusion network. Finally, the fusion image is reconstructed by an image re-constructor. In comparison to other algorithms tested on common datasets, a subjective qualitative comparison shows that the algorithm in this paper can contain sharp image edges while maintaining image intensity and it has a better fusion effect under complex conditions such as over-exposure, target occlusion, and detail blurring. In objective quantitative metrics comparison, 5 best values and 2 second best values have been obtained on 9 evaluation metrics of 4 categories which are based on information theory, based on image feature, based on image structure similarity and human perception. Additionally, the other two metrics results have also showed good performance. Moreover, there has been a noticeable reduction in fusion time. The model presented in this paper has a high practicability and may successfully overcome the current issues with picture fusion techniques through experimental verification.

Servo drive unit reliability modeling with multi-stage degradation data fusion
ZHANG Zhongwen, PENG Chong, CHE Zhongyuan, WANG Jikun
2025, 51(2): 692-704. doi: 10.13700/j.bh.1001-5965.2023.0200
Abstract:

In order to accurately evaluate the reliability of the servo drive unit of a computer numerical control (CNC) system, a reliability modeling method with multi-stage degradation data fusion was proposed. Firstly, by analyzing multiple degradation process models, random effects were introduced, and a reliability model building scheme considering individual differences was given for the characteristics of individual differences existing between different servo drive units. Then, a Bayesian approach was adopted to fuse different degradation data by considering multiple degradation processes, and a reliability model of servo drive units with multi-stage degradation data fusion was established. Moreover, a Markov chain Monte Carlo (MCMC) method was used to complete the model parameter estimation. Finally, a servo drive unit loading test platform was built in the laboratory environment to collect experimental data and verify the validity of the model.