2018 Vol. 44, No. 11

Display Method:
Volume 44 Issue112018
iconDownload (27664) 1070 iconPreview
Maneuvering decision in air combat based on multi-objective optimization and reinforcement learning
DU Haiwen, CUI Minglang, HAN Tong, WEI Zhenglei, TANG Chuanlin, TIAN Ye
2018, 44(11): 2247-2256. doi: 10.13700/j.bh.1001-5965.2018.0132
Abstract:

To solve the problem of maneuvering decision in the autonomous air combat of unmanned combat aerial vehicle, the existing research achievements are analyzed and a maneuvering decision model that combines optimization idea with machine learning is proposed. The multi-objective optimization method is used as the core of decision model, which solves the problem of setting weight for multiple optimization targets and improves the extensibility of decision model. On the basis of multi-objective optimization, an evaluation network is trained by reinforcement learning and used for auxiliary decision-making to enhance the antagonism of decision model. In order to test the performance of decision model, with the background of short-range air combat, three simulation experiments are designed to test the feasibility of multi-objective optimization method, the effectiveness of auxiliary decision network and the overall performance of decision model. The simulation results show that the maneuvering decision model can be used in real-time confrontation with the maneuvering enemy aircraft.

Connected autonomous vehicle speed control at successive signalized intersections
LU Yingrong, XU Xiaotong, DING Chuan, LU Guangquan
2018, 44(11): 2257-2266. doi: 10.13700/j.bh.1001-5965.2018.0110
Abstract:

In order to improve fuel economy and reduce emissions on the urban road, a speed control method in successive signalized intersections was proposed for autonomous vehicles to interact with the roadside facilities and the regional center control system under the connected vehicles environment. The proposed automatic driving speed control model computes a constant speed that a vehicle can pass multiple downstream signalized intersections based on the information obtained in advance such as the distance between the vehicle and downstream signal intersections and the signal phasing and timing information. Meanwhile, in order to guarantee driving comfort and avoid sharp acceleration/deceleration at the intersection, we use the smooth curve of trigonometric function to represent the change of speed during the acceleration or deceleration process. To verify the efficiency of the speed control algorithm, the speed control simulation system embodying the cha-racteristics of the connected vehicles environment in successive signalized intersections is developed using the multi-agent technology, in which the fuel consumption, CO2 emissions and travel time under the speed control algorithm are compared with those without speed control algorithm when vehicles pass three signalized intersections. The results show that when vehicles go through the three successive intersections under low traffic density, the average fuel consumption and CO2 emissions are reduced by more than 30% by the aid of the speed control algorithm, and the travel time is reduced by about 5%; the fuel consumption and CO2 emissions can be reduced by approximately 20%, and the travel time is reduced by about 15% under the medium and high traffic density. In addition, compared with the current speed control model for the isolated signalized intersection, the proposed speed control model in successive signalized intersections has some advantages in energy saving and emission reduction.

Performance analysis of shock thrust vector nozzle under different gas injections
WANG Xiaoming, LIU Hui, HAN Longzhu, YUAN Xiugan
2018, 44(11): 2267-2272. doi: 10.13700/j.bh.1001-5965.2018.0161
Abstract:

Aimed at the research status of the shock thrust vector control, which is limited to the mainstream and secondary flow gas as the same gas, the influence of different secondary flow gas molecular mass on thrust vector performance is investigated. First, a turbulence model described by two equations (AUSM+ scheme and k-ω SST) at two-order accuracy was utilized to solve the Favre averaged three-dimensional Navier-Stokes equations, which simulated the complex interference inner flow field of the nozzle, and the vectorial deflection angles and thrust coefficients were calculated under different gas injection angles, injection pressures and nozzle pressure ratios when the secondary flow gas of He, N2 and CO2 were selected. The calculation results show that the smaller the mean molecular mass of the secondary flow gas is, the larger the vectorial deflection angle is, the less the thrust loss is. Therefore, the gas with smaller mean molecular mass could be used as the gas source of the secondary flow, or the high temperature gas derived from the combustion chamber could be mixed with the gas with a smaller mean molecular mass.

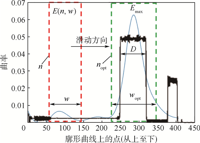
Automatic registration method of rail profile in train-running environment
WANG Hao, WANG Shengchun, WANG Weidong
2018, 44(11): 2273-2282. doi: 10.13700/j.bh.1001-5965.2018.0050
Abstract:

Aimed at the influence of train vibration and environmental noise on the measurement of track wear, we proposed a method for automatic extraction of small circular arc of the rail waist, and achieved the high-precision registration of rail profile. First, a polynomial fitting method based on truncated residual histogram was proposed to find the optimal fitting curve of the profile and reduce the influence of noise on profile curve fitting; Then, aimed at the curvature distribution characteristics of the fitting curve, the interval search algorithm based on dynamic window's maximum curvature entropy was proposed to realize the automatic segmentation of small circular arc; Finally, two circle centers were fitted as matching reference points based on small circular arcs on both sides, and the alignment from the measured profile to the standard designed profile was realized. The static experimental results show that the mean value of system measurement error and standard deviation of the method are controlled within 0.01 mm with small measurement errors and high repeatability. The dynamic test also verified the repeatability accuracy of the method in the train-running environment, and the dynamic measurement deviation of rail wear is within 0.2 mm with high repeatability.

Experiment and simulation study on tip leakage suppression by a compound method
HU Jianjun, ZHANG Duo, ZHANG Xianglan, KONG Xiangdong
2018, 44(11): 2283-2291. doi: 10.13700/j.bh.1001-5965.2018.0038
Abstract:

To reduce the tip leakage and flow loss of gas turbine, the new method of pneumatic seal combined with tip structure modification was put forward based on flow reorganization. Three typical combination schemes of tip groove and spontaneous tip injection were investigated by model test and numerical simulation. The coupling mechanism of the two passive suppression methods was discussed. The results show that the coupling effects between tip groove and spontaneous tip injection (STI) are obvious. When the outlet of STI locates at the base of the groove, strong mixing occurs between the STI and the groove vortex (GV), which deteriorates the suppression effect for both of them, and cannot suppress the leakage flow effectively, so it is not a good coupling scheme. When the outlet of STI locates on the top of rib, neither on pressure side or suction side, the effect of counter blowing by STI and kinetic energy dissipation by GV can add up to generate twice effective seal, meaning that they are effective coupling schemes. In particular, when the outlet of STI locates on the top of suction-side-rib, the suppression effect on leakage flow is the best.

Application of HRV in air traffic controllers' fatigue detection
JIN Huibin, ZHANG Jing, LYU Chuan
2018, 44(11): 2292-2298. doi: 10.13700/j.bh.1001-5965.2018.0122
Abstract:

In order to study the application of heart rate variability (HRV) indexes in the fatigue detection of the air traffic controllers (ATC), the simulation control experiment platform was set up, the real-time physiological recorder was used to record the electrocardiogram (ECG) signals of 20 subjects in real time under normal and fatigue conditions, and their subjective fatigue (Karolinsaka sleepingness scale) and operational performance were collected. The HRV index with high correlation with fatigue grade was selected by partial correlation analysis and used to model the multivariate linear regression model for fatigue detection. The analysis results show that there is no correlation between the SDNN and the fatigue status of the subjects; LFnorm and HFnorm are weakly correlated with the fatigue; RR interval and LF/HF have a strong correlation with the fatigue degree of the controlled subjects; The multivariate linear regression model, the goodness of fit is greater than 0.5, RR interval and LF/HF can be used as valid indicators of controller fatigue detection. This study can provide scientific evidence and experimental support for the future real-time detection of controller fatigue.

Simulation of electromagnetic scattering from 2D sea surface with 3D electrically large ship target
GE Zhishan, XIAN Ning, WANG Jinshen, LI Yang
2018, 44(11): 2299-2304. doi: 10.13700/j.bh.1001-5965.2018.0105
Abstract:

The modeling, simulation and analysis of target features are of great significance for synthetic aperture radar (SAR) image-based automatic recognition (ATR) systems. The electromagnetic scattering calculation and radar imaging simulation of the surface ship target are studied. Based on the method of moment method and its parallel computation, the scattering characteristics of electrically large ship targets and sea surface composites are studied, and the scattering characteristics of different frequency bands, incident and sca-ttering directions and polarizations are given. The inverse Fourier transform of the echo data is performed in the frequency domain to obtain a 1D high resolution range profiles of the ship target. The polar coordinate format imaging algorithm is used to obtain the 2D spotlight SAR imaging results, and the contour of the target is reconstructed clearly.

Violation elimination of nominal models for manipulators constructed with Udwadia-Kalaba equation
LYU Guizhi, LIU Rong
2018, 44(11): 2305-2311. doi: 10.13700/j.bh.1001-5965.2018.0076
Abstract:

In the nominal model of the manipulator trajectory tracking controller constructed by Udwadia-Kalaba equation, the initial conditions are difficult to satisfy the constraint equations, and the constraint violation is generated by the accumulation of errors in the process of numerical solution, which are all problems to be solved at present. Problems are solved by the method of eliminating violation errors directly. This method adds correction items to position and speed terms which are produced by the numerical solution process. The dynamic nominal model of the three-link manipulator is constructed, and the trajectory tracking simulation is carried out under the desired trajectory based on the Udwadia-Kalaba modeling idea. The simulation numerical results are corrected by using the traditional Baumgarte stability method and the proposed error direct elimination method. The results show that the direct elimination method can control the constraint violation in a smaller range more quickly, and is more suitable for the use of trajectory correction to manipulator dynamic nominal model.

Influence of heat treatment and measurement methods on material hardness evaluation by longitudinal wave velocity
MEN Ping, DONG Shiyun, YAN Shixing, KANG Xueliang, LI Enzhong
2018, 44(11): 2312-2320. doi: 10.13700/j.bh.1001-5965.2018.0086
Abstract:

Hardness is one of the important indexes of mechanical performance of materials, and employing ultrasonic nondestructive testing method for hardness evaluation faces many challenges now. In this paper, through setting up high-precision ultrasonic wave transmission time measurement system, the longitudinal wave propagation time in the thickness direction of different heat treated 45 steel specimens was measured by pulse reflected echo method, and the longitudinal wave velocity was calculated. Simultaneously, the gate signal measurement methods were changed, and the effects of different heat treatment and gate signal measurement methods on hardness evaluation by the longitudinal wave velocity were studied.On this basis, the mapping relationship among material hardness, microstructure and longitudinal wave velocity was obtained, and the calibration model for evaluating the hardness of 45 steel specimens by longitudinal wave velocity was established and verified. The hardness prediction error by the calibration model meets the error requirement of 10% for engineering application.

Principle analysis and modeling of rotor imbalance vibration in magnetically suspended control and sensing gyroscope
XIA Changfeng, CAI Yuanwen, REN Yuan, WANG Weijie, FAN Yahong, YIN Zengyuan
2018, 44(11): 2321-2328. doi: 10.13700/j.bh.1001-5965.2018.0044
Abstract:

Magnetically suspended control and sensing gyroscope (MSCSG) is a kind of new-concept gyro, which takes Lorentz force magnetic bearing as torquer to drive the rotor to tilt in radial direction. As there is dynamic unbalance in the magnetically suspended rotor system because of the uneven mass distribution, the generation principle of imbalance vibration is analyzed and the analytic model of it is established. First, the working principle of MSCSG is introduced. Then, the geometric analytic relation between geometric and inertial axis of rotor is determined on condition that rotor is unbalanced; the mathematic model of unba-lance vibration torque is established and the observability of imbalance disturbance is demonstrated. The model of bearing-rotor control system containing vibration source is constructed and the vibration generation mechanism in closed-loop system is analyzed. The dynamic response characteristics of unbalance vibration with different rotate speeds are simulated and the simulation result indicates the correctness of the proposed model. Finally, the requirement for suppression of unbalance vibration is put forward according to its vibration characteristics, which lays the theoretical foundation for realizing MSCSG rotor imbalance vibration control.

Influence of power line harmonic radiation on ionospheric energetic electrons
ZHANG Chong, WU Jing, MA Qishuang, GUO Qiang
2018, 44(11): 2329-2335. doi: 10.13700/j.bh.1001-5965.2018.0138
Abstract:

As a man-made pollutant to the ionospheric electromagnetic environment, power line harmonic radiation (PLHR) is widely known in these years. It is urgent to conduct research of the influence of PLHR on ionospheric state parameter variation. Based on the observed data of instrument for detection of particles (IDP) onboard DEMETER, by combination analysis on self-orbit and revisiting orbits of PLHR, we statistically studied the variation of pitch angles and energetic electron fluxes of low, middle and high energy bands before and after 72 PLHR events detected in the ionosphere above China. The results show that before PLHR a few events show pitch angle scattering, and the energetic electron fluxes of low energy band tend to decrease. This may be due to the influence of PLHR, or due to this state variation of ionospheric energetic electrons which leads to the easy detection of PLHR.

A self-calibration method for space manipulators based on POE formula
WANG Yecong, WEI Qingqing, HU Chengwei, DING Xilun
2018, 44(11): 2336-2342. doi: 10.13700/j.bh.1001-5965.2018.0071
Abstract:

To overcome the influence of launching process and on-orbit extreme temperature environment on the tool pose accuracy of a space manipulator, a space manipulator kinematics on-orbit self-calibration method based on product of exponentials (POE) formula was presented. Using the binocular space camera fixed on the end-effector and a checkerboard calibration plate, the actual tool pose of the space manipulator was measured. According to the adjoint transformation between the theoretical value and actual value of joint twists, the actual kinematics model of the space manipulator was established. The linearized kinematics error model of the space manipulator was obtained by differentiating the kinematics model. A least-squares kinematics calibration model for the space manipulator was given. Kinematics self-calibration simulation of a seven-degree-of-freedom space manipulator was carried out. The simulation results show that the kinematics calibration process can converge to a stable value quickly and there is a significant improvement on the tool pose accuracy of the space manipulator after kinematics calibration.

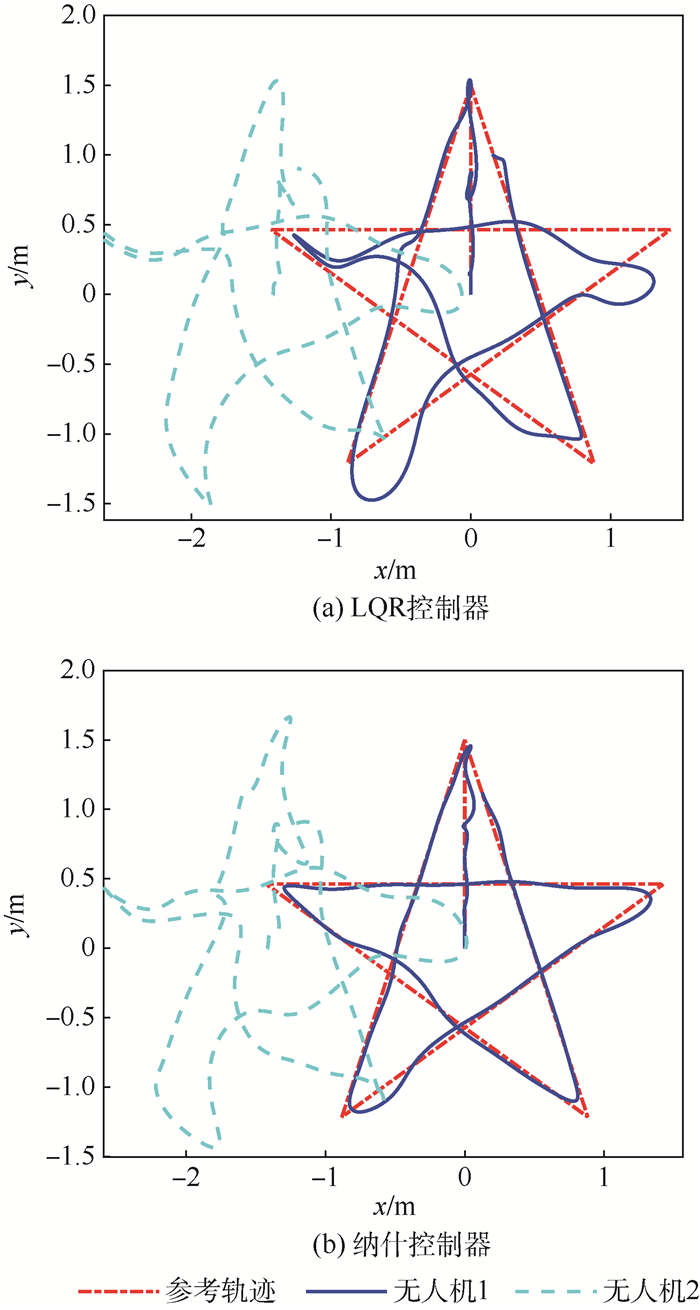
Receding Nash control for quadrotor UAVs carrying a cable-suspended payload
GUO Minhuan, SU Yan, ZHU Xinhua
2018, 44(11): 2343-2349. doi: 10.13700/j.bh.1001-5965.2018.0036
Abstract:

Transporting a cable-suspended payload with two quadrotor unmanned aerial vehicles (UAVs) involves controlling two quadrotor UAVs cooperatively. The existing methods formulate the problem into a control system with only one cost function. In this paper, in order to exploit their individual interest, quadrotor UAVs are considered as two decision-makers with different cost functions and its controller is designed in the framework of noncooperative game theory. Firstly, the system's mathematic model is built with the existence of exogeneous disturbances acting on the payload. Then its linearized form is given and considered as a difference game problem under an open-loop information structure. Based on its Nash equilibrium solution and receding optimization policy, a state-feedback receding-horizon Nash controller is designed. Finally, two numerical simulations are presented, which illustrate that the quad-rotors cooperative well with the proposed controller.

A thin plate spline based method for correction of position and posture of electromagnetic tracking system
GUAN Shaoya, MENG Cai, WAN Yuanyu, JIA Jia, WANG Tianmiao, ZHENG Lifang
2018, 44(11): 2350-2355. doi: 10.13700/j.bh.1001-5965.2018.0162
Abstract:

Electromagnetic tracking system (EM) is widely used in various environments needing tracking or positioning, due to its high accuracy, flexible reaction, simple operation, cheap price and insensitivity to blocks. In vascular interventional surgery, EM performs well in clinical environment with inaccurate optical positioning due to tissue occlusion. However, EM suffers a lot from the principle of electromagnetic induction which makes it sensitive to ferromagnetic material, like steel. The magnetic field generated by ferromagnetic materials in the operation environment will cause the distortion of the magnetic field of EM, which affects the positioning accuracy seriously. In this paper, the positioning principle of EM is analyzed. By analyzing the position and orientation changes of sensors at the same position before and after the EM interference, a correction method of the electromagnetic tracking system based on the thin plate spline function is proposed to correct the position and posture of the EM after interference.The effectiveness of our method is verified by experiments.

Airport ground movement disruption recovery via mixed-integer programming
ZHANG Tianci, DING Meng, ZUO Hongfu
2018, 44(11): 2356-2363. doi: 10.13700/j.bh.1001-5965.2018.0078
Abstract:

To deal with the insufficient capability of the existing airport ground movement disruption recovery approaches in handling some major kinds of disruptive events such as the deviation from the planned route and the closure of a taxiway and the lack of optimisation criteria in taxiing trajectory adjustment, a mixed-integer programming based disruption recovery approach was proposed. The planned trajectories of aircraft affected by the disruptive events were adjusted in a coordinated manner using optimisation techniques, with the aim to reduce the impact of disruptive events on the ground movement efficiency and the scheduling of other airport surface operations. An iterative conflict avoidance strategy was introduced to improve the solution efficiency. The experimental results based on real-world airport layout demonstrate that the proposed approach can quickly and effectively adjust the planned trajectories of aircraft in response to two kinds of major disruptive events (i.e., the deviation from the planned route and the closure of a taxiway), recovering the order and safety status of airport ground movement.

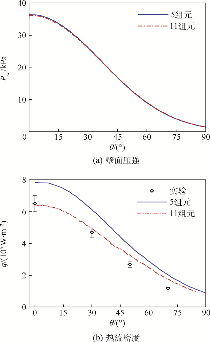
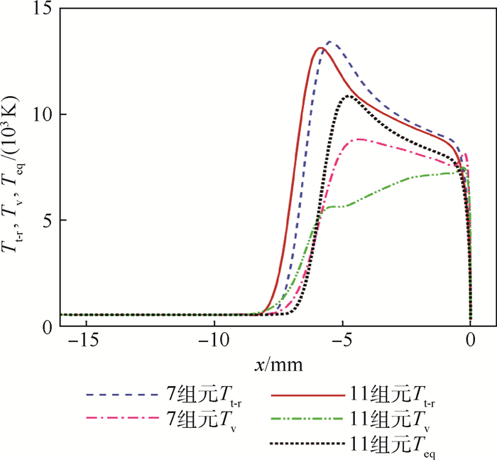
Influence of ionization on hypersonic thermo-chemical non-equilibrium aerodynamic thermal environments
YANG Jianlong, LIU Meng
2018, 44(11): 2364-2372. doi: 10.13700/j.bh.1001-5965.2018.0079
Abstract:

The high temperature gas after shock wave occurs to ionize in hypersonic flight, which makes the aerodynamic thermal environments to be complicated. The 5 species (N2, O2, NO, O, N), 7 species (N2, O2, NO, O, N, NO+, e-) and 11 species (N2, O2, NO, O, N, N2+, O2+, NO+, O+, N+, e-) thermo-chemical reactions of Gupta's chemical reaction model were taken to numerically study the influence of ionization on hypersonic thermo-chemical non-equilibrium aerodynamic thermal environments, respectively. The characteristics of hypersonic thermo-chemical non-equilibrium ionization flow field aerodynamic thermal environments in different catalytic wall conditions were also researched. The effect of ionization on the shock standoff distance and the aerodynamic force load is very small. The flow filed temperature and the wall heat flux calculated by 5 species thermo-chemical non-equilibrium reactions are much bigger because the effect of ionization is not considered. The hypersonic strong ionization flow field temperature calculated by 11 species thermo-chemical equilibrium reactions is the lowest. The amounts of NO+ and e- in hypersonic weak ionization flow field calculated by 7 species thermo-chemical non-equilibrium reactions are too small. The aerodynamic force and the wall heat flux loads in hypersonic thermo-chemical non-equilibrium ionization flow field can be effectively predicted by 11 species thermo-chemical reactions. The wall heat flux increases when the effect of wall catalysis is considered. However, the temperature of hypersonic thermo-chemical non-equilibrium ionization flow field and the aerodynamic force load are less affected by the wall catalysis.

RCC-OBE estimation fusion approach for MEMS gyro array
SHEN Qiang, LIU Jieyu, ZHAO Qian, WANG Qi
2018, 44(11): 2373-2379. doi: 10.13700/j.bh.1001-5965.2018.0091
Abstract:

In order to improve the accuracy of micro-electro-mechanical system (MEMS) gyro, an optimal bounding ellipsoid (OBE) algorithm based on relaxed Chebyshev center (RCC) is proposed and used to fuse gyro array signals. On the basis of the error model of single gyro, the maneuvering fusion model of the array system is established. Because of the uncertainty of the noise statistics, the accuracy of the traditional fusion method is reduced. The set-membership estimation theory with unknown but bounded disturbances is introduced and the OBE algorithm is used to achieve the robust estimation of the angular rate. In the OBE algorithm, the ellipsoid geometry center is often used as the point estimate of the true value, but it is not optimal theoretically. The Chebyshev center of the feasible set has many excellent features. Meanwhile, considering that it is very difficult to solve the exact Chebyshev center, the relaxed Chebyshev center is used as a substitute for the point estimate of the true angular rate. Then an OBE update process with RCC as output is designed and a novel parameter optimization criterion is proposed. The verification experiment is performed by using a gyro array composed by six gyroscopes. The experimental results show that the estimation fusion method based on the proposed algorithm can obtain the angle rate guaranteed boundary and further improve the MEMS gyroscope accuracy.

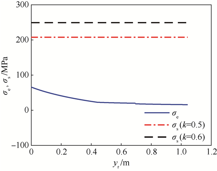
Reliability evaluation of tank under uncertain conditions based on interval convex model
XIN Tengda, WANG Hua, CUI Cunyan, ZHAO Jiguang, HAN Xiangyang
2018, 44(11): 2380-2387. doi: 10.13700/j.bh.1001-5965.2018.0098
Abstract:

Aimed at the reliability evaluation problem of liquid propellant tank under uncertain conditions, the reliability evaluation method of tank stress strength is established based on tank stress strength and interval convex model theory. Firstly, the stress distribution of propellant tank is analyzed and derived based on the liquid propellant tank mathematical model, and the equivalent stress is confirmed through combining with the stress strength theory. Secondly, based on the stress strength interference theory and the area ratio of regularized interval theory, the interval convex model reliability index of tank stress strength is defined. Finally, combined with the actual parameters of a certain type rocket propellant tank, the method is verified through transforming the equivalent stress and critical stress into interval convex set form, and then it is compared with the reliability index results of ellipsoid convex model. The results show that the stress intensity interval convex model reliability index can evaluate the tank's entirely reliable states accurately, and can quantize the reliability degree of tank's non-entirely reliable states into the interval of [0, 1].

Time-triggered scheduling table generation method based on schedulability ranking
SONG Zixu, LI Qiao, WANG Jingjing, XIONG Huagang
2018, 44(11): 2388-2395. doi: 10.13700/j.bh.1001-5965.2018.0043
Abstract:

The time-triggered Ethernet (TTE) static scheduling table is generated based on the satisfiability modulo theories (SMT). If the time-triggered (TT) traffic set is of a large scale, the subsets of traffic need to be selected in batches into the incremental scheduling table generation, where the order of selection has a significant impact on the calculation time consumption. An incremental time-triggered scheduling table generation method based on schedulability ranking is proposed and formed:strict-periodic utilization (SPU) is used to measure the schedulability of TT traffic; TT traffic subsets are selected in batches according to scheduling difficulty descending order, and solved by SMT subset by subset in turn; meanwhile, schedulability check and contention-free constraints reduction are involved. During the solving process, a back-track operation is performed in the case of partly-non-schedulable situation; meanwhile, the interference time is used as the joint constraint condition of the scheduled set on the unscheduled set, and the number of constraints between the two sets is reduced on a large scale, which further improves the solving efficiency. Case study shows that this method's growth rate of the backtracking times with the scale of the problem is lowered down significantly, compared with incremental scheduling method using random order, period ascending order, or scheduling difficulty ascending order.

Influence factor analysis of catapult launch safety for carrier-based aircraft
DONG Apeng, LI Shu, ZHU Wenguo, WU Weixiao
2018, 44(11): 2396-2404. doi: 10.13700/j.bh.1001-5965.2018.0151
Abstract:

To comprehensively investigate the safety performance of carrier-based aircraft (CBA) catapult takeoff process, a multi-body coupled dynamics model was established in absolute coordinate system with the natural coordinate method. Based on the simulation curves of catapult launch, the influence of different parameters on catapult safety is studied from two aspects:the CBA acceleration and the flight trajectory. The simulation results show that the catapult force and the engine thrust are the main reasons that affect the horizontal acceleration during taxiing process and airborne flight process respectively, while the takeoff weight imposes great effects during the entire catapult process; although the enhancement of the fixed-load plug has little effect on the acceleration and flight trajectory, the influence on structure vibration and time delay cannot be ignored; longer deck edge distance can increase the departure lift and reduce the trajectory descent effectively; carrier pitch can cause great sink, so it is important to avoid the departure when carrier pitch is at the maximum, and meanwhile the early release of the holdback bar caused by the ship motion should be considered for controlling the catapult time; catapult launch safety design is a multivariate optimization process and needs comprehensive analysis of various factors rather than focusing on single factor.

Fast calibration method of strapdown inertial navigation system based on partial axis transposition
MIAO Jisong, SHAO Qiongling, REN Yuan, CHEN Xiaocen, WANG Weijie
2018, 44(11): 2405-2415. doi: 10.13700/j.bh.1001-5965.2018.0045
Abstract:

The design of the transposition scheme of inertial measurement unit (IMU) has an important influence on the rapid calibration of strapdown inertial navigation system (SINS). In the traditional transposition scheme, both the rotating shaft and the sensitive axis are reclosed, and only two sensitive axis positions change for once per transposition. In order to stimulate the error more efficiently, a new partial axis installation method of IMU on the turntable is designed, and a new scheme of off-axis transposition is proposed. By properly designing an angle between the rotating shaft and the sensitive shaft, it makes three sensitive axis positions change at the same time, and opens up a new transposition space of IMU. Therefore, when calibrating the 12 main determinacy errors of gyroscope module, the minimum six-position calibration under traditional transposition mode can be further reduced to four-position calibration under off-axis transposition. Through theoretical analysis and simulation experiments, it is shown that the calibration accuracy of the two schemes is the same, but the calibration time of the four-position calibration scheme is 33% lower than that of the static six-position calibration scheme, and the stability of the calibration results is better than the static six-position calibration scheme.

Testing methods of statistical uniform electric field in non-enclosed aircraft cabin
PEI Zhao, SU Donglin, SHI Guochang, LIAO Yi
2018, 44(11): 2416-2422. doi: 10.13700/j.bh.1001-5965.2018.0081
Abstract:

Low level swept field (LLSF) testing is an important part of aircraft-level high intensity radiated field (HIRF) effect measurements. The simulation model and experimental systems of LLSF effect for cuboid-shaped cabin with mechanical mode stirrer placed internally were established. Encouraging numerical and experimental results validated the possibility of statistical uniformity characteristic inside the non-enclosed cabin, which is illuminated by LLSF, with the help of mode stirrer. Then, the simulation models of non-closed cuboid-shaped cabin, as well as the cylindrical cabin were considered. The searching and testing method is proposed based on the traversal and recursive algorithm. The frequency-dependent regions of uniform electric field inside cabins were obtained by using the proposed valid test method. The objective is to provide an important guidance for limiting the regions of receiving probes or antennas in practical LLSF measurements.

Forming method of hourglass worm gear hob rake faces based on double-cone grinding wheel
YANG Jie, LI Haitao, RUI Chengjie, LONG Xinjiani, WEI Wenjun
2018, 44(11): 2423-2429. doi: 10.13700/j.bh.1001-5965.2018.0090
Abstract:

For multi-thread hourglass worm gear hobs, spiral flutes are typically used to reduce the absolute value of the negative rake angle and to equalize the rake angles on the left and right sides of each tooth, which will improve the cutting performance of the hob. Because of the different spiral angle on the basic worm helical surface, the rake angle on both sides of each tooth is more difficult to balance. However, there are few researches on the precise forming method of the spiral flute rake face. Based on the NC machine tool for hourglass worm, a method for grinding the rake face of spiral flute with double-cone grinding wheel is proposed. According to the gear meshing theory, a mathematical model was established for the rake face of the planar double enveloping hourglass worm gear hob spiral flute formed by the double-cone grinding surface. The formula for calculating the rake angle on both sides of the tooth is given. The calculation results show that if the hob with straight flute is used, the rake angles are between -19.530 3° and 19.530 4°. Through proper parameter selection, the rake angles can be between -8.1° and 7.3° when the hob with spiral flute is used, which effectively reduces the absolute value of the negative rake angle of the tooth. The spiral flute of hourglass worm gear hob was simulated and the rake angle was measured in the simulation software. The measured results coincide with the calculated results and this proves the correctness of the method.

Comparison of power consumption and circuit performance between back bias in FDSOI and body bias in bulk silicon
WANG Jian, YU Fang, ZHAO Kai, LI Jianzhong, YANG Bo, XU Liewei
2018, 44(11): 2430-2436. doi: 10.13700/j.bh.1001-5965.2018.0142
Abstract:

In this paper, the body bias circuit in 28 nm bulk and the back bias circuit in 22 nm FDSOI are analyzed and compared from two aspects:power consumption and circuit performance. Taking a 65-stage ring oscillator (RO) with 4-level frequency divider as an example, post simulation was conducted. The simulatior results show that, for 22 nm FDSOI RO using the back bias technology, the output frequency can be adjusted from 57.8 MHz to 206 MHz, with the corresponding operating current varing from 24.4 μA to 90.4 μA, while for 28 nm bulk silicon RO using the body bias technology, the output frequency can be modulated from 92.8 MHz to 127 MHz, with the corresponding operating current varing from 67.8 μA to 129 μA. The 22 nm FDSOI process RO was measured and the measured results are consistent with the simulation results. Therefore, from the view of both power consumption and performance, the adjustment ability of 22 nm FDSOI circuits with back bias is much more efficient than that of 28 nm bulk circuits with body bias.

Joint scheduling of both taxiway and gate re-assignment based on bi-level programming model
JIANG Yu, XU Cheng, CAI Mengting, CHEN Lili
2018, 44(11): 2437-2443. doi: 10.13700/j.bh.1001-5965.2018.0123
Abstract:

With the rapid development of air transport industry, the growing demands of air traffic put forward higher requirements for airport operation efficiency. To improve the surface efficiency, a bi-level programming model with taxiing scheduling model as upper model and gate re-assignment model as lower model is established based on the analysis of the operating mechanism of the airport surface. The genetic algorithm is designed to solve the model. The proposed model is tested by simulation based on the real data of a major domestic airport. Gate re-assignment is carried out firstly and then scheduling taxiway in the manually strategy. The results show that, compared with the manually shceduling strategy that gate re-assignment is carried out first and then taxiway is scheduled, the disturbance value of gate is reduced by 26.3% and the total taxiing time is reduced by 24.79% with the proposed bi-level programming strategy. The operation efficiency of taxiway system and gate system are both improved. The joint scheduling strategy described in this article further improves the operation efficiency of the airport surface. It can provide theoretical guidance for the actual operation of the airport.

A real-time visual odometry method based on crosscheck of feature
FAN Weisi, YIN Jihao, YUAN Ding, ZHU Hongmei
2018, 44(11): 2444-2453. doi: 10.13700/j.bh.1001-5965.2018.0133
Abstract:

Odometry is widely applied for continuously obtaining system poses in automatic drive system and robot navigation system. Visual odometry can achieve high precision of target motion trajectory estimation with low cost, while feature-based visual odometry has the advantages of low time complexity and high processing speed which are conducive to real-time processing. However, traditional feature-based visual odometry has two technical bottlenecks:low accuracy of feature detection and matching, and the low effectiveness of objective function weight in pose estimation. To address the low accuracy for the feature matching between frames, we present the crosscheck feature matching strategy. It adds the reverse check on the foundation of traditional single-track 'circle' matching strategy to obtain more accurate matching feature sets. This strategy increases inlier ratio and solves the low robustness problem in a single-track 'circle' strategy, which improves estimation accuracy. Meanwhile, we use motion information of previous frame to reduce the searching scope of current frame in crosscheck strategy. To address the low effectiveness of objective function weight, we use the occurrence number of features as its life cycle and present a objective function weight setting method that adaptively considers the life cycle of extracted features. In pose estimation, the life cycle of feature can reflect the stability of features and the objective function weight based on it can decrease the accumulative error. We evaluate the proposed method on publicly available KITTI dataset. The experimental results demonstrate that the proposed method can achieve high-accuracy real-time visual odometry calculation.

Numerical simulation of near-field magnetic anomaly field for large-scale ferromagnetic objects
ZHANG Mengying, WANG Hua, GE Lin, CHENG Hao
2018, 44(11): 2454-2462. doi: 10.13700/j.bh.1001-5965.2018.0180
Abstract:

Magnetic anomaly detection is a widely used approach to detect ferromagnetic objects, which is mainly based on the spatial distribution of magnetic anomaly field. The spatial magnetic field model of rectangular ferromagnetic object is derived. The spatial distribution of the magnetic anomaly field in the near-field of the large-scale ferromagnetic target is analyzed using ANSYS Maxwell. For different geomagnetic field direction conditions, the laws of magnitude distribution and vector distribution of the magnetic induction in the near-field are obtained, which reveals a universal symmetry and regularity in magnetic induction modulus field and vector field. The shrinkage ratio experiment is conducted and the magnitude distribution and vector distribution of the magnetic induction in the near-field of model are measured in similar conditions, which validates the consistency and correctness of the spatial distribution law of magnetic anomaly field.