Volume 44 Issue 11
Nov.  2018
Turn off MathJax
Article Contents
MIAO Jisong, SHAO Qiongling, REN Yuan, et al. Fast calibration method of strapdown inertial navigation system based on partial axis transposition[J]. Journal of Beijing University of Aeronautics and Astronautics, 2018, 44(11): 2405-2415. doi: 10.13700/j.bh.1001-5965.2018.0045(in Chinese)
Citation: MIAO Jisong, SHAO Qiongling, REN Yuan, et al. Fast calibration method of strapdown inertial navigation system based on partial axis transposition[J]. Journal of Beijing University of Aeronautics and Astronautics, 2018, 44(11): 2405-2415. doi: 10.13700/j.bh.1001-5965.2018.0045(in Chinese)

Fast calibration method of strapdown inertial navigation system based on partial axis transposition

doi: 10.13700/j.bh.1001-5965.2018.0045
Funds:

National High-tech Research and Development Program of China 2015AA7026083

Beijing Youth Top Talent Project 2017000026833ZK23

National Natural Science Foundation of China 51605489

More Information
  • Corresponding author: REN Yuan, E-mail:renyuan_823@aliyun.com
  • Received Date: 18 Jan 2018
  • Accepted Date: 13 Apr 2018
  • Publish Date: 20 Nov 2018
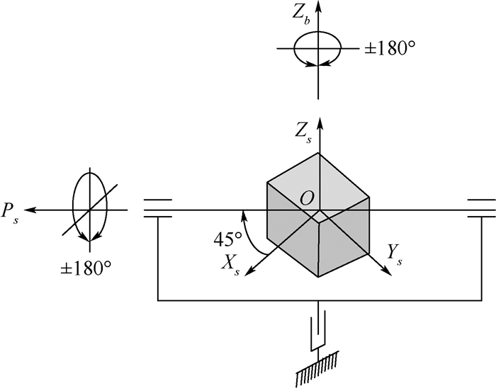
  • The design of the transposition scheme of inertial measurement unit (IMU) has an important influence on the rapid calibration of strapdown inertial navigation system (SINS). In the traditional transposition scheme, both the rotating shaft and the sensitive axis are reclosed, and only two sensitive axis positions change for once per transposition. In order to stimulate the error more efficiently, a new partial axis installation method of IMU on the turntable is designed, and a new scheme of off-axis transposition is proposed. By properly designing an angle between the rotating shaft and the sensitive shaft, it makes three sensitive axis positions change at the same time, and opens up a new transposition space of IMU. Therefore, when calibrating the 12 main determinacy errors of gyroscope module, the minimum six-position calibration under traditional transposition mode can be further reduced to four-position calibration under off-axis transposition. Through theoretical analysis and simulation experiments, it is shown that the calibration accuracy of the two schemes is the same, but the calibration time of the four-position calibration scheme is 33% lower than that of the static six-position calibration scheme, and the stability of the calibration results is better than the static six-position calibration scheme.

     

  • loading
  • [1]
    张华强, 赵剡, 陈雨.捷联惯性导航系统整体标定新方法[J].北京亚洲成人在线一二三四五六区学报, 2012, 38(4):459-463.

    ZHANG H Q, ZHAO Y, CHEN Y.New system calibration method for strapdown inertial navigation system[J].Journal of Beijing University of Aeronautics and Astronautics, 2012, 38(4):459-463(in Chinese).
    [2]
    丁继成, 李冠男, 班镜超.基于双轴位置转台的捷联惯导系统级标定技术[J].舰船科学技术, 2015, 37(4):76-83. doi: 10.3404/j.issn.1672-7649.2015.04.015

    DING J C, LI G N, BAN J C.Research on SINS systematic calibration technique based on dual-axis turntable[J].Ship Science and Technology, 2015, 37(4):76-83(in Chinese). doi: 10.3404/j.issn.1672-7649.2015.04.015
    [3]
    SUN F, SUN W, GAO W, et al.Research on the technology of rotational motion for FOG strapdown inertial navigation system[C]//Processing of the 2009 IEEE International Conference on Mechatronics and Automation.Piscataway, NJ: IEEE Press, 2009: 4913-4918.
    [4]
    GAO W, ZHANG Y, WANG J G.Research on initial alignment and self-calibration of rotary strapdown inertial navigation systems[J].Sensors, 2015, 15(2):3154-3171. doi: 10.3390/s150203154
    [5]
    王昆明, 谢建, 周召发, 等.双轴旋转捷联惯导的误差参数标定方法[J].西安交通大学学报, 2016, 50(10):153-160. doi: 10.7652/xjtuxb201610023

    WANG K M, XIE J, ZHOU Z F, et al.A calibration method of error parameters for dual-axial rotary strapdown inertial navigation systems[J].Journal of Xi'an Jiaotong University, 2016, 50(10):153-160(in Chinese). doi: 10.7652/xjtuxb201610023
    [6]
    EDUARDO N, HUGH D W.Initial calibration and alignment of low-cost inertial navigation units for land vehicle applications[J].Journal of Robotic Systems, 1999, 16(2):81-92. doi: 10.1002/(ISSN)1097-4563
    [7]
    LIU Q, LIU L, QI Z K.Error analysis and compensation of strapdown inertial navigation system[J].Journal of Beijing Institute of Technology:English Edition, 2002, 11(2):117-120.
    [8]
    YUN C S, GOOK P C.A calibration technique for a redundant IMU containing low-grade inertial sensors[J].Electronics and Telecommunications Research Institute Journal, 2005, 27(4):418-425. doi: 10.4218/etrij.05.0104.0191/citedby
    [9]
    孙伟.旋转调制型捷联惯性导航系统[M].北京:测绘出版社, 2014:84-87.

    SUN W.Rotary modulation strapdown inertial navigation system[M].Beijing:Surveying and Mapping Press, 2014:84-87(in Chinese).
    [10]
    董春梅, 陈希军, 任顺青.捷联惯导系统的一种系统级标定方法[J].导航定位与授时, 2016, 3(4):74-80.

    DONG C M, CHEN X J, REN S Q.Systematic calibration method for strapdown inertial navigation system[J].Navigation Positioning & Timing, 2016, 3(4):74-80(in Chinese).
    [11]
    孙枫, 孙伟.基于双轴转位机构的光纤陀螺标定方法[J].控制与决策, 2011, 26(3):346-350.

    SUN F, SUN W.Research on calibration of IFOG based on two-axis indexing[J].Control and Decision, 2011, 26(3):346-350(in Chinese).
    [12]
    包为民, 申功勋, 李华滨.惯性平台在系统中多位置翻滚自标定方法[J].北京亚洲成人在线一二三四五六区学报, 2011, 37(4):462-465. http://www.cnki.com.cn/Article/CJFDTOTAL-BJHK201104017.htm

    BAO W M, SHEN G X, LI H B.Investigation on inertial platform multi-position rolling self-calibration[J].Journal of Beijing University of Aeronautics and Astronautics, 2011, 37(4):462-465(in Chinese). http://www.cnki.com.cn/Article/CJFDTOTAL-BJHK201104017.htm
    [13]
    牟玉涛, 周振威, 方海涛.SINS外场系统级标定方法的优化——最佳六位置[J].北京亚洲成人在线一二三四五六区学报, 2011, 37(7):855-860.

    MOU Y T, ZHOU Z W, FAGN H T.Optimization of systematic calibration method for SINS in outer field-optimal six-position[J].Journal of Beijing University of Aeronautics and Astronautics, 2011, 37(7):855-860(in Chinese).
    [14]
    杨国梁, 王玮.基于双轴旋转的惯导系统误差自补偿技术[J].北京亚洲成人在线一二三四五六区学报, 2012, 38(4):519-524.

    YANG G L, WANG W.Error auto-compensation technology of inertial navigation system based on double-axis rotation[J].Journal of Beijing University of Aeronautics and Astronautics, 2012, 38(4):519-524(in Chinese).
    [15]
    谭彩铭, 王宇, 苏岩, 等.捷联惯导系统最简多位置解析对准[J].北京亚洲成人在线一二三四五六区学报, 2015, 41(9):1645-1650.

    TAN C M, WANG Y, SU Y, et al.The simplest multi-position analytic alignment for SINS[J].Journal of Beijing University of Aeronautics and Astronautics, 2015, 41(9):1645-1650(in Chinese).
    [16]
    张小跃, 杨功流, 张春熹.三轴一体光纤陀螺高精度标定方法[J].北京亚洲成人在线一二三四五六区学报, 2012, 38(4):478-486.

    ZHANG X Y, YANG G L, ZHANG C X.High precision calibration method for three-cluster FOG[J].Journal of Beijing University of Aeronautics and Astronautics, 2012, 38(4):478-486(in Chinese).
    [17]
    苗继松, 邵琼玲, 任元.基于三元角的坐标旋转变换方法[J].北京亚洲成人在线一二三四五六区学报, 2017, 43(12):2539-2546.

    MIAO J S, SHAO Q L, REN Y.Coordinate rotation transformation method based on ternary angle[J].Journal of Beijing University of Aeronautics and Astronautics, 2017, 43(12):2539-2546(in Chinese).
  • 加载中

Catalog

    通讯作者: 陈斌, bchen63@163.com
    • 1. 

      沈阳化工大学材料科学与工程学院 沈阳 110142

    1. 本站搜索
    2. 百度学术搜索
    3. 万方数据库搜索
    4. CNKI搜索

    Figures(11)  / Tables(1)

    Article Metrics

    Article views(925) PDF downloads(298) Cited by()
    Proportional views
    Related

    /

    DownLoad:  Full-Size Img  PowerPoint
    Return
    Return