2018 Vol. 44, No. 10

Display Method:
Volume 44 Issue102018
iconDownload (28452) 982 iconPreview
Numerical simulation of drop capturing capabilities on heterogeneous walls
ZHANG Ying, LU Min, LI Peisheng, XU Shufang, LIU Qiang, HUANG Jie
2018, 44(10): 2021-2027. doi: 10.13700/j.bh.1001-5965.2017.0799
Abstract:

In order to study the drop capturing capabilities of heterogeneous walls, a numerical method is developed by integrating the generalized Navier boundary condition into front tracking method (FTM) to establish the contact angle model. The numerical simulation of the movement of drops on the heterogeneous wall with non-uniform wetting was carried out. The drop slides on the inclined wall from the uniform wetting part to the non-uniform wetting part. The movement of the drop in the non-uniform wetting area is studied by changing the Bo number, the Oh number and the non-uniform wetting degree. the results show that when the Bo number becomes lager, the movement of drop will be less affected by the resistance of the wall and the velocity of the drop will become larger which makes it difficult to be captured; the greater the Oh number is, the less effect of wall surface resistance on the drop is, and the more difficult it is to capture the drop; when the non-uniform wetting degree becomes lager, the resistance of the heterogeneous wall to drop will be greater, and the drop will be captured more easily.

Simulation analysis of ion thruster plume thermal effect
ZHANG Jianhua, LI Jinghua, YOU Fengyi, ZHENG Hongru
2018, 44(10): 2028-2034. doi: 10.13700/j.bh.1001-5965.2017.0802
Abstract:

The plume ejected from a working ion thruster collides with the surface of spacecraft, which may cause thermal effects such as thermal deformation of the sensitive material and lead to the failure of the space mission in severe cases. In this paper, the plume thermal effect of LIPS-200 ion thruster developed by Lanzhou Institute of Space Physics was simulated. The particle in cell (PIC) method is employed to process the plasma motion, the direct simulation Monte Carlo (DSMC) method is employed to deal with the collision between particles, and the Maxwell model is employed to deal with the energy exchange between the particle and the surface. Part of the measuring points in the experiment of electric propulsion plume thermal effect was numerically simulated. The results show that the simulation results are in good agreement with the experimental data. The error between simulation results and experimental data of the stagnation heat flow on the outlet axis of the thruster is less than 17.0%. In addition, the influence of the heat flow meter on the flow field is mainly concentrated within 0.1 m near the heat flow meter, which has little impact on the overall flow field.

Effect of flow stress calculation on formability of aluminum alloy warm sheet hydroforming
CAI Gaoshen, WU Chuanyu, LANG Lihui, GAO Zepu
2018, 44(10): 2035-2042. doi: 10.13700/j.bh.1001-5965.2018.0025
Abstract:

In order to research the influence of flow stress calculation on formability of aluminum alloy warm sheet hydroforming, warm sheet bulging test was carried out to obtain bulging height-pressure curves with different bulging diameters in this study. Based on the data of bulging parts profile measured by three coordinate measuring machine, the least square circle fit (LSCF) radius were fitted, and it was found that when the height-diameter ratio h/a was in the range of 0.18 < h/a ≤ 0.68, the corresponding value of roundness error between the radius of curvature and the circle radius was 5%. By comparing the existing theoretical models for radius of curvature and thickness, which is combined with flow stress calculation, it was found that the average value of radius of curvature model Hill and Panknin, and the thickness model Kruglov-Hill are in the most accordance with experimental data. The combination model was used to calculate the bulging height-pressure curves obtained by bulging test, and then the stress-strain curves with different temperatures and pressure rates were obtained. It was found that there was a little impact on radius of curvature for different directions (rolling direction and vertical direction) of the bulging parts formed with 7075-O aluminum alloy at 210℃, while the pressure rate can affect the stress-strain curves.

Direct torque control of switched reluctance motor based on adaptive second-order terminal sliding mode
LIU Yongzhi, SHAN Chenglong, LIN Bowen, SONG Jinlong
2018, 44(10): 2043-2051. doi: 10.13700/j.bh.1001-5965.2017.0781
Abstract:

The torque ripple of switched reluctance motor (SRM) can be reduced to some extent by traditional direct torque control (DTC), but the torque ripple suppression effect is poor in the commutation zone. And the traditional PI control has disadvantages of large overshoot, poor robustness and limited anti-disturbance ability. Therefore, a second-order terminal sliding speed controller based on adaptive estimation of load torque change rate was designed, which made the state of the system quickly converge to the equilibrium point within a finite time. The controller will output the reference torque without the upper bound of the perturbation. In addition, an improved sector segmentation method was used to optimize the voltage vector selection principle in order to reduce the torque ripple which resulted from the commutation. The simulation and experimental results show that the improved DTC system has good speed and control characteristics, strong anti-interference capability and good robustness, which can further reduce the torque ripple.

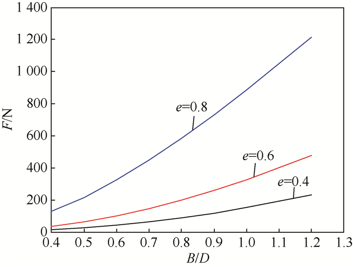
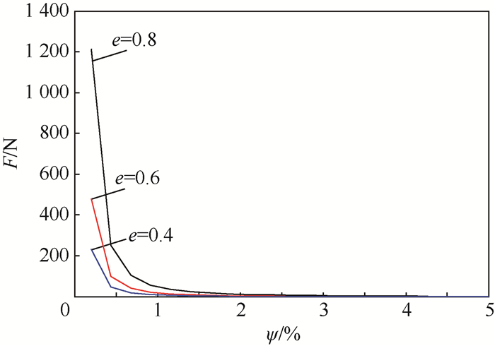
Lubrication characteristics analysis of a type of self-cooling structure fuel pump sliding bearings
FU Jiangfeng, LI Huacong, FAN Ding, LIU Xianwei, ZHU Jiaxing, LI Kun
2018, 44(10): 2052-2062. doi: 10.13700/j.bh.1001-5965.2017.0762
Abstract:

The aim of this paper was to study the lubrication characteristics of sliding bearings for aeroengine fuel gear pumps under low medium viscosity and self-cooling conditions. Based on the Reynolds equation for hydrodynamic lubrication of oil film and equivalent viscosity lubrication flow model, the energy equation of the internal flow was simplified by assuming the adiabatic flow of the gear pump sliding bearing, and the thermal flow lubrication mathematical model of fuel pump sliding bearing was established based on the combination of Reynolds equation and adiabatic flow energy integral equation. Then the lubrication characteristics of sliding bearings, including the oil film pressure, oil film thickness, film temperature, surface leakage, and friction, were simulated and analyzed based on CFD numerical simulation and finite difference method under different clearance ratios, eccentricity ratios and width diameter ratios. The simulation results show that the radial load calculation accuracy of sliding bearing is better than 4.0% by CFD method. The oil film pressure decreases monotonically with the increase of the clearance ratio, and the oil film thickness increases with the increase of the clearance ratio under the condition of constant eccentricity ratio. Under the condition of constant clearance ratio, with the increase of eccentricity ratio, the oil film pressure gradually increases and the oil film thickness decreases, while the oil film temperature is inversely proportional to the film thickness, and the peak value of temperature is more and more obvious. Also, the oil film pressure of the sliding bearing can be increased by increasing the width diameter ratio when the eccentricity ratio and clearance ratio are constant. Therefore, in order to improve the lubrication performance of sliding bearing, it is needed to design a reasonable clearance ratio, width diameter ratio and eccentricity ratio of sliding bearings by considering the factors of oil film pressure, leakage, thickness and temperature rise and the interaction among them.

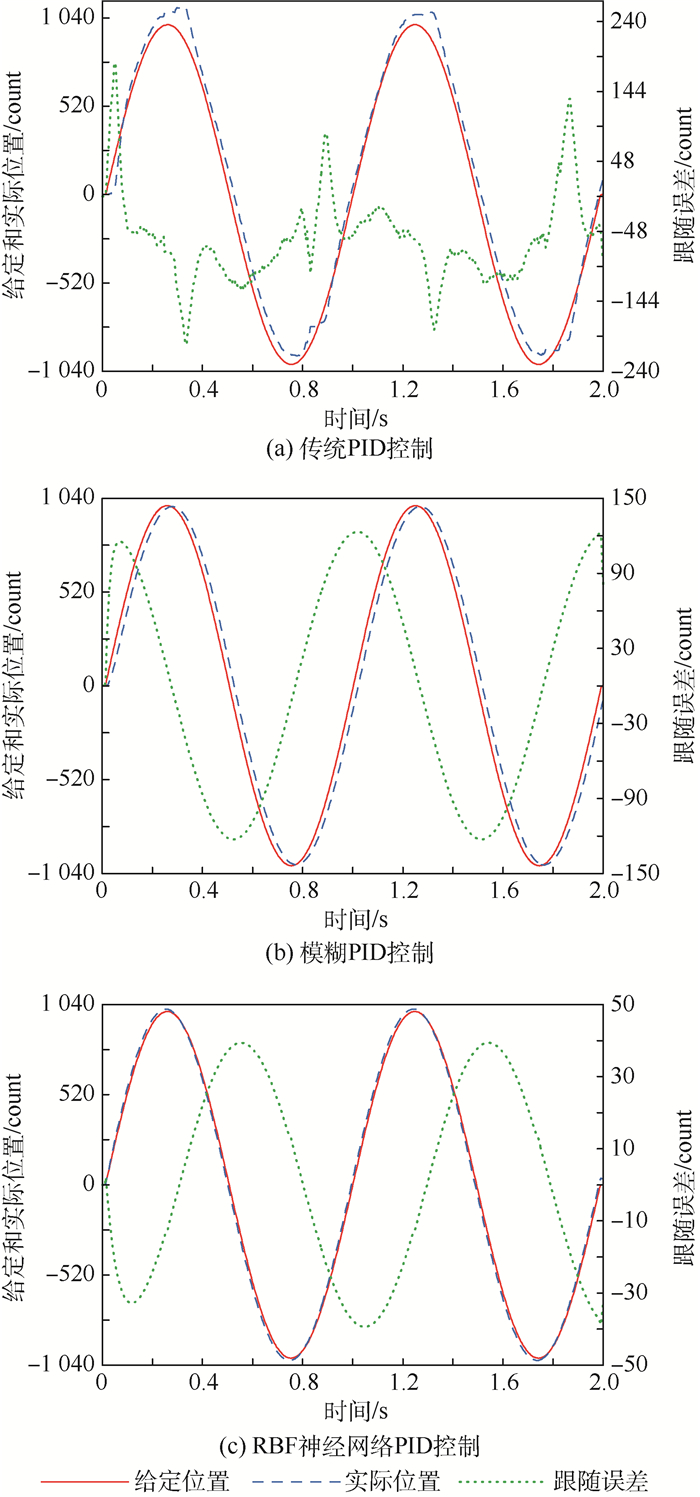
RBF neural network tuning PID control based on UMAC
LI Ming, FENG Hang, ZHANG Yanshun
2018, 44(10): 2063-2070. doi: 10.13700/j.bh.1001-5965.2017.0777
Abstract:

The self-adaptability and robustness of traditional PID control and current fuzzy-PID control adopted by universal motion and automation controller (UMAC) were not strong, and the static-dynamic performance of servosystem controlled by them was not ideal. In this paper, RBF neural network was adopted to automatically adjust PID control parameters, which could strengthen the self-adaptability and robustness of servosystem and improve the controlling characteristics of servo system. This control algorithm was implemented by embedded PLC program of UMAC. The experimental results of step response and sinusoidal tracking response show that the rise time of servo motorposition step response by RBF neural network tuning PID control decreases from 0.164 s by traditional PID control and 0.118 s by fuzzy-PID control to 0.017 s, the peak time decreases from 0.196 s by traditional PID control and 0.131 s by fuzzy-PID control to 0.023 s, and the setting time decreases from 0.216 s by traditional PID control and 0.142 s by fuzzy-PID control to 0.025 s, which mean that the motor responds faster. Meantime, the dynamic following error peak value of motor position sinusoidal response by RBF neural network tuning PID control decreases from 188 counts by traditional PID control and 120 counts by fuzzy-PID control to 39 counts, and the error fluctuation issmall and steady, which mean that the dynamic tracking performance of the motor is significantly improved.

Threat evaluation method of air target based on information entropy and rough set
YANG Yuanzhi, ZHOU Zhongliang, LIU Hongqiang, KOU Tian, FAN Xiangyu
2018, 44(10): 2071-2077. doi: 10.13700/j.bh.1001-5965.2017.0768
Abstract:

Aimed at the problem that rough set (RS) theory cannot deal with information system without decision when evaluation issues are processed, an air target threat evaluation model based on information entropy (IE) and RS is put forward. The model adopts IE method to calculate the attribute weights, chooses the attribute with maximal weight to replace the decision attribute, and establishes a complete RS decision information system. Furthermore, the data is discretized via attribute importance method. Then attribute reduction and weight calculation have been realized with decision identification matrix, and the threat degree of air targets could be quantitatively evaluated. The model provides rough set theory a broader application field, reduces the requirement for prior information as well as the influence of subjective factors. The simulation results show that the proposed method can realize an effective evaluation for air target.

Status and evaluation method of surface tactile representation technology
YAN Xuezhi, LI Ruige, WU Qiushuang
2018, 44(10): 2078-2095. doi: 10.13700/j.bh.1001-5965.2017.0790
Abstract:

Surface tactile representation technology can display characteristics of the displayed contents through our bare fingers, realizing efficient and natural interaction on multimedia terminal screens. However, most studies in this field focus on the force tactile interaction device, and do not systematically analyze the surface tactile representation device. Moreover, their performance evaluation methods for the devices are too subjective to provide an objective and reliable evaluation standard. Based on the sufficient studies of the existing tactile representation technology, this paper focuses on supplementing and improving the surface tactile representation technology in the last decade. We divide surface tactile representation devices into five types:Vibration, stress, air squeeze-film, electrostatic and electrotactile devices. Then, we introduce and analyze the typical devices from working principles, device structures and performance indexes in detail. Finally, advantages and disadvantages of these devices are summarized. In addition, to solve the problem that the existing evaluation method is too rough and subjective, this paper presents an evaluation method to the surface tactile representation technology and seven evaluation indexes such as manufacturing difficulty and work area are used to comprehensively evaluate the performance of the surface tactile representation devices. Expert evaluation method and analytic hierarchy process are used to obtain the weights of four devices under each evaluation index. We also obtain the performance sorting of four kinds of devices in multimedia terminal application, providing reference for selection and evaluation of the surface tactile representation devices in other fields. Finally, we summarize the shortages of the existing devices and discuss the future research and improvement directions.

Dynamics modeling and kinematics calculation of webbed-feet during cormorant's take-off
GONG Xiao, HUANG Jinguo, CHEN Hongyu, WANG Tianmiao, LIANG Jianhong
2018, 44(10): 2096-2105. doi: 10.13700/j.bh.1001-5965.2018.0030
Abstract:

The process of taking off from the surface of water for cormorant is a combination of flapping its wings and its webbed-feet periodically. In order to look into the contribution of the latter that helps in taking off and to compute each period in fixed quantity of the amount of force in each flapping action, this article explores the contribution of hind limb power to the process of taking off as well as the reasons of the need of leg strength for assistance. At the same time, through introducing various types of water walking living creatures and looking at the differences and similarities in the ways that nature creatures walk or run on the water surface, the continuous flapping mechanism of cormorant and other aquatic birds on water surface is studied. Moreover, by comparing the different modes and mechanism of water movement of basilisk lizard and cormorant, an analogy is made to study the impulse generated by the webbed-feet which sustains the body as well as the changes of webbed-feet beating the water. With the DOF of cormorant's webbed-feet defined, the periodic flapping kinematics model during cormorant taking off is established. The D-H matrix of the leg joint angle and the webbed-feet center coordinates, as well as the Jacobian matrix of the joint angular velocity and the webbed-feet center speed are analyzed. Through the existing video analysis, the reliability of the model is verified, and the basic calculation is made for the movement of the cormorant's webbed-feet and the horizontal and vertical direction.

Test of ice shedding on turbofan engine blade in refrigeratory environment
CHEN Gong, YANG Kun, WANG Liping, KONG Weiliang, WANG Fuxin
2018, 44(10): 2106-2114. doi: 10.13700/j.bh.1001-5965.2018.0035
Abstract:

Due to the complexity and randomness of the turbofan blade icing shedding characteristics, it is difficult to use computational simulation to obtain reliable results. On the other hand, icing wind tunnel test can hardly be always applied due to its high cost. In this paper, a feasible, economical and reliable test method is proposed by using mixed-flow fan, water spray and temperature control system in the environment of refrigerator to simulate freezing weather condition during real flight. A scaled powered model of a certain civil aircraft turbo-fan-engine is used as research object to study the blade icing and ice shedding characteristics and rules in different working conditions. Before formal test, parameters such as flow velocity, liquid water content, and mean volumetric diameter are calibrated by anemometer, particle sizer, standard ice blade and metallic grille. A fog absorber is created to solve the problem of fog recycling and accumulation, which makes it possible to keep the stability of flow field in an enclosed refrigeratory environment. The test results show that when the rotational speed is fixed at 2 400 r/min, consuming time for shedding and residual ice characteristic length decrease initially and increase afterwards with the decrease of environment temperature. The inflection point appears when the temperature is in the range of -3.5℃— -5℃; when the temperature is fixed at -7℃, the consuming time for ice shedding and the characteristic length of residual ice decrease monotonously with the increase of the rotational speed of blade.

A fault tolerant high-performance reduction framework in complex environment
LI Chao, ZHAO Changhai, YAN Haihua, LIU Chao, WEN Jiamin, WANG Zengbo
2018, 44(10): 2115-2124. doi: 10.13700/j.bh.1001-5965.2017.0786
Abstract:

Reduction is one of the most commonly used collective communication operations for parallel applications. There are two problems for the existing reduction algorithms:First, they cannot adapt to complex environment. When interferences appear in computing environment, the efficiency of reduction degrades significantly. Second, they are not fault tolerant. The reduction operation is interrupted when a node failure occurs. To solve these problems, this paper proposes a task-based parallel high-performance distributed reduction framework. Firstly, each reduction operation is divided into a series of independent computing tasks. The task scheduler is adopted to guarantee that ready tasks will take precedence in execution and each task will be scheduled to the computing node with better performance. Thus, the side effect of slow nodes on the whole efficiency can be reduced. Secondly, based on the reliability storage for reduction data and fault detecting mechanism, fault tolerance can be implemented in tasks without stopping the application. The experimental results in complex environment show that the distributed reduction framework promises high availability and, compared with the existing reduction algorithm, the reduction performance and concurrent reduction performance of distributed reduction framework are improved by 2.2 times and 4 times, respectively.

Path planning method for traction system on carrier aircraft
ZHANG Jing, WU Yu, QU Xiangju
2018, 44(10): 2125-2133. doi: 10.13700/j.bh.1001-5965.2017.0787
Abstract:

A carrier aircraft moves on a carrier flight deck which has the characteristics of heavy workloads and multiple obstacles. In order to reduce energy consumption of the carrier aircraft and improve service life of the aircraft engine, the carrier aircraft is usually dragged by a tractor on the flight deck, and both of them form a traction system. In order to make the traction system can safely and efficiently complete travel missions, a method is proposed for path planning of the traction system on the flight deck. Mathematic models of path planning are established, which include kinematics models and maneuverability constraints of the traction system, a mission objective function and mission constraints models, and obstacle avoidance models. According to the above models, a method to search the optimal path is designed based on geometry theory and Dijkstra's algorithm. Taking a Nimitz class carrier as an example, a path of the traction system on the flight deck is planned and tracking control simulation is carried out. The simulation results verify the reasonability of the models and the effectiveness of the method.

Zonal behavior of angle of attack effects on vortices over blunt-slender body
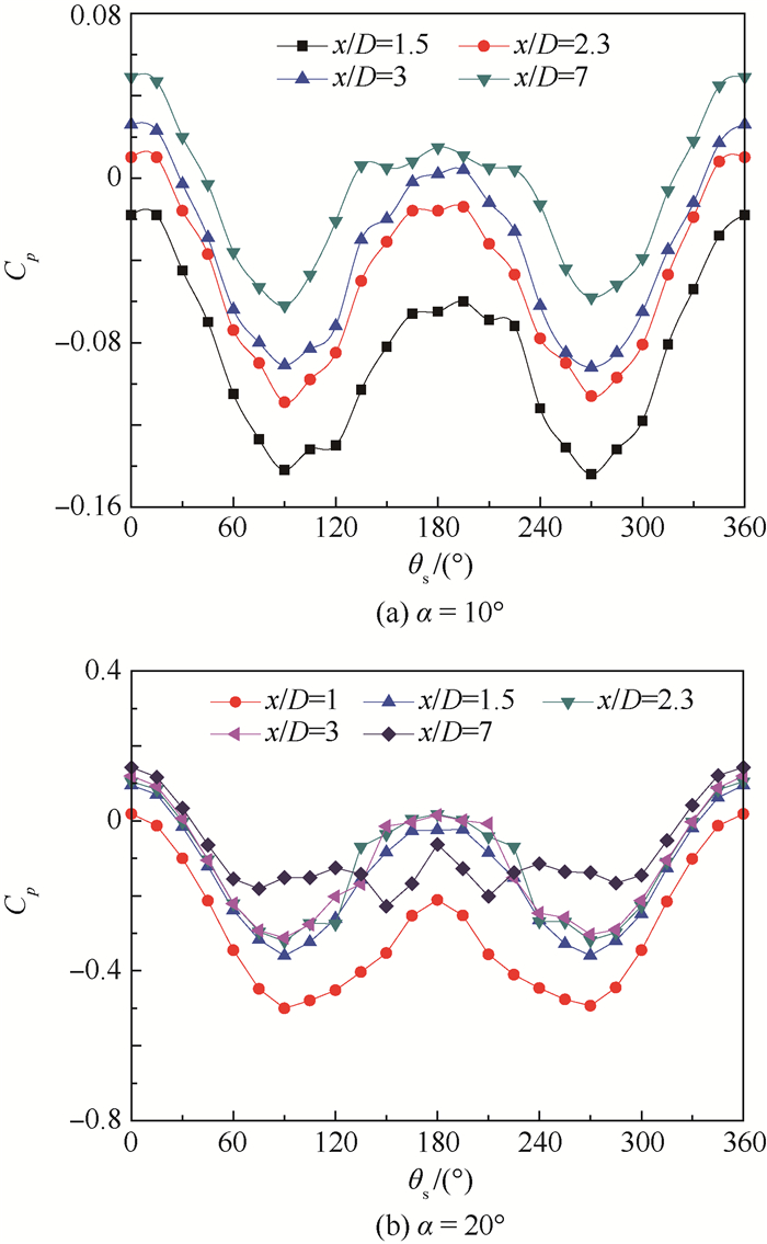
QI Zhongyang, WANG Yankui, CAO Peng
2018, 44(10): 2134-2140. doi: 10.13700/j.bh.1001-5965.2018.0798
Abstract:

In order to achieve the high maneuverability of the air-to-air missile, the flow characteristics of vortices over the blunt-slender body at different angles of attack were studied by wind tunnel forces and pressure test in this paper. The Reynolds number is set as ReD=1.54×105, based on oncoming free-stream velocity and the diameter of the blunt-slender body (D). The flow structures over the blunt-slender body were determined at different angles of attack according to the analysis of side forces, sectional pressure distribution and the variation histories of the sectional side force with time. Four regions about the angles of attack are divided, i.e., attached-flow region (α ≤ 10°), symmetric-flow region (10° < α ≤ 20°), steady asymmetric-flow region (20° < α ≤ 50°) and unsteady asymmetric-flow region (α>50°). The flow characteristics of vortices over the blunt-slender body at different angles of attack were discussed in detail.

Deorbit planning of reentry vehicles using ground track manipulation
SHI Shufeng, SHI Peng, ZHAO Yushan
2018, 44(10): 2141-2148. doi: 10.13700/j.bh.1001-5965.2018.0107
Abstract:

Aimed at the deorbit problem of reentry vehicles with constraints of reentry point location, a deorbit planning method using ground track manipulation is proposed in this paper. The deorbit trajectory design of reentry vehicles is constrained by the parameters of the real-time orbit and the aimed reentry point. First, based on the principles of orbital flight, the relationships between deorbit parameters and reentry point parameters are established with the model of impulse thrust in ellipse orbit. And the principle of thrust application for optimal deorbit is analyzed. Then, considering the influence of earth rotation and finite thrust, the necessary condition of direct deorbit is proposed. The strategy for determining deorbit location is developed with the method of nonlinear programming for the deorbit problem with latitude and longitude constraints of the reentry point. And the deorbit braking parameters conforming to the fuel optimal requirement are determined as a result. Finally, in the general case that the initial orbit does not satisfy the necessary condition of direct deorbit, the ground track manipulation method is proposed in terms of impulse thrust to satisfy the ground track constraints.

Performance analysis and parameter optimization of lander with variable damping buffer
LIU Xueao, WU Hongyu, WANG Chunjie, DING Zongmao, DING Jianzhong
2018, 44(10): 2149-2155. doi: 10.13700/j.bh.1001-5965.2017.0805
Abstract:

In order to analyze soft landing performance of typical legged lander with variable damping buffer, the dynamic simulation model of lander was established. Based on the simulation model, the soft landing performance of the lander in the uncertain landing environment was analyzed by using Monte Carlo method. The sample points were obtained by using dynamic simulation model and optimized Latin hypercube experiment design, and the incomplete three-order polynomial response surface surrogate models which reflects the complex relationship among the configuration parameters of landing gear, the landing environment parameters and the values reflecting the soft landing performance were established. In order to obtain the variable damping buffer with best performance, the buffer characteristic parameters of the variable damping buffer were optimized by combining the response surface model, Monte Carlo method and non-dominated sorting genetic algorithm Ⅱ(NSGA-Ⅱ). The simulation model verification shows that the optimized soft landing performance of lander with variable damping buffer is enhanced.

Multi-model estimation of HGV based on coupled aerodynamic parameters
ZHANG Kai, XIONG Jiajun, FU Tingting, XI Qiushi
2018, 44(10): 2156-2164. doi: 10.13700/j.bh.1001-5965.2018.0028
Abstract:

Using aerodynamic parameters to model the unknown aerodynamics is an effective way to improve the tracking accuracy of hypersonic gliding vehicles. The aerodynamic acceleration and its derivative is analyzed to prove the necessity of unknown aerodynamics modeling in this paper. Based on the non-coupled aerodynamic parameter model, two coupled aerodynamic parameter models, the Bank model and the spiral model, are constructed by using the priori information of the aerodynamic acceleration in the turn and pitch directions. The target's state and aerodynamic parameters are estimated by a decomposed estimator, and the state filter and the aerodynamic parameter filter are deduced respectively. Meanwhile, considering the maneuver frequencies of parameters in different flight modes, the interacting multiple model tracking algorithm is built based on the coupled aerodynamic parameters. The simulation results show that the accuracy of the proposed algorithms is significantly higher than other tracking algorithms for such targets. In the meantime, the performance of the bank model is better than that of the spiral model, and its computational complexity is smaller.

Fuel-optimal attitude maneuver using linear pseudo-spectral model predictive control method
FENG Yijun, CHEN Wanchun, YANG Liang
2018, 44(10): 2165-2175. doi: 10.13700/j.bh.1001-5965.2017.0770
Abstract:

In order to perform large angle attitude maneuvers of spacecraft outside the atmosphere, we propose a fuel-optimal large angle attitude maneuver strategy using modified linear pseudo-spectral model predictive control method. First, a fuel-optimal attitude maneuver trajectory satisfying initial and terminal constrains is planned offline. Then, the nonlinear equation of motion is linearized under the condition of little perturbation based on the planned trajectory, and thus the linear perturbation propagation equations are obtained. Finally, the analytical solution of fuel-optimal control correction to the planned trajectory has been derivated through the discretization of state variables and control variables using Gauss pseudo-spectral method. Numerical calculation and Monte Carlo simulations were performed to validate the feasibility and effectiveness of the proposed strategy, which can provide real-time control with terminal state satisfied in high accuracy and save almost 10% fuel cost under the same control precision compared with traditional linear quadratic regulator (LQR) tracking method.

Comparative study of variable amplitude multiaxial fatigue life analysis methods
LIU Tianqi, SHI Xinhong, ZHANG Jianyu, FEI Binjun
2018, 44(10): 2176-2184. doi: 10.13700/j.bh.1001-5965.2017.0782
Abstract:

Three commonly used variable amplitude multiaxial fatigue life analysis methods, including Bannantine-Socie method, Wang-Brown method and Wang L-Wang D J method are reviewed briefly based on the current researches on variable amplitude multiaxial fatigue. Then, the algorithms of the three methods were introduced and calculated codes were written. Finally, the fatigue life of an aircraft structural component, which is subjected to complex variable amplitude multiaxial stress state during their service, was evaluated using the three multiaxial fatigue life analysis methods. In addition, uniaxial fatigue life was analyzed using the Manson-Coffin equation to compare the effect of multiaxial fatigue loading on the fatigue life of the structure. The comparison results are as follows:the estimated result of Wang-Brown method is reasonable, the Wang L-Wang D J method gives a conservative prediction result, the prediction result of Bannantine-Socie method is greater than that of the other two methods, while the uniaxial fatigue life analysis method gives more dangerous prediction result.

Maneuvering group target tracking with multi-model GGIW-GLMB algorithm
GAN Linhai, LIU Jinmang, WANG Gang, LI Song
2018, 44(10): 2185-2192. doi: 10.13700/j.bh.1001-5965.2018.0053
Abstract:

An multi-model Gamma Gaussian inverse Wishart-generalized labeled multi-Bernoulli (MM-GGIW-GLMB) algorithm is proposed for multiple maneuvering group target tracking. A multi-model approach is introduced for kinematic modeling, and best fitting Gauss (BFG) approximation is used to fuse the multiple models in the prediction stage, which subsequently ease the computational burden of multi-model approach. For a further performance improvement for target maneuvering, strong tracking filter (STF) is introduced to correct the predicted covariance calculated by BFG. The optimal sub-pattern assignment (OSPA) metric and its one standard deviation and labeling correctness are used to measure the maneuvering group target tracking performance of the algorithm. The simulation results indicate that the proposed algorithm can improve the performance of maneuvering group target tracking in accuracy and stability.

Exact background subtraction processing technique in RCS measurement in time-variant environment
YUAN Saisai, LIANG Liya, XU Xiaojian
2018, 44(10): 2193-2199. doi: 10.13700/j.bh.1001-5965.2018.0019
Abstract:

In outdoor radar cross section (RCS) measurement, background clutter cannot be suppressed effectively using conventional background subtraction technique due to the fact that, influenced by time-variant outdoor environment, the amplitudes and phases of radar received returns collected at different time interval are not perfectly coherent. A parametric model is developed to characterize the effect of such a time-variant environment on radar received returns. Meanwhile, a technique for improved exact background subtraction is proposed based on the parametric model. First, the return data of specified region with an ancillary reference signal available is extracted from the measured return data to estimate model parameters by means of de-noising cross-correlation algorithm and coherence function optimization. Then, the amplitudes and phases of the received signals can be compensated using the time-variant parametric model, so that complete coherence can be achieved. Finally, background subtraction can be implemented on the amplitude and phase compensated data, resulting in exact background subtraction. The experimental results are presented to demonstrate the feasibility and usefulness of the proposed technique.

Tether swing control of tethered system based on nonlinear model prediction
ZHANG Yujing, ZHONG Rui
2018, 44(10): 2200-2207. doi: 10.13700/j.bh.1001-5965.2017.0810
Abstract:

On the stability control of the rope system, a stability control method of tether swing for tethered system consisting of tether and tethered satellites during deorbitting is proposed in this paper. In this paper, a model of motion including satellite attitude motion is eatablished, and the dynamic equation of deorbit tethered system and the simplified equation that is convenient for controller design are proposed. According to the model prediction theory, the reference trajectory is designed by the optimization method, and then the stable tether swing nonlinear model predictive control method is designed based on the model predictive control method in this paper. Then, the feasibility of the designed controller and the reference trajectory are verified by the simulation of MATLAB software platform.

A 3D laser scanning system design and parameter calibration
CAI Jun, ZHAO Yuan, LI Yuhao, XIE Yangmin
2018, 44(10): 2208-2216. doi: 10.13700/j.bh.1001-5965.2018.0029
Abstract:

Dynamic environment map construction technology based on 3D laser scanning system has been served as one of the important intelligent perception technologies for mobile robots. The design and calibration of 3D laser scanning system place a decisive influence on the accuracy of the constructed environment model.For implementation on low cost and miniaturization of 3D laser scanning system for small mobile robots, a 3D laser scanning system composed of high precision rotating cloud platform and small 2D laser ranging sensor is designed, and a new system parameter calibration method is proposed to improve the accuracy of 3D scanning measurement. A hollow circular hole calibration plate was used as the calibration object to capture the 3D scanning features automatically and accurately. The parameters of the 3D laser scanning system were then optimized with a nonlinear least square algorithm. The experimental results demonstrate that the designed 3D laser scanning system can accurately capture the 3D information of the surrounding environment, which realizes the 3D scanning data technique for high-quality environment modeling with a relatively low cost.

Inter-block physical layer security structure design for polar code under FTN transmission
ZHANG Chenyu, LIU Rongke
2018, 44(10): 2217-2223. doi: 10.13700/j.bh.1001-5965.2018.0007
Abstract:

Wiretap channel is a widely-used model to describe physical layer security and polar code shows potential in wiretap channel model due to its polarization characteristic. A new inter-block encryption security scheme without the need of acquiring signal-to-noise ratio (SNR) is designed for the polar code under faster-than-Nyquist (FTN) transmission condition. With the scrambling module and the channel degradation of the wiretap model, the bits noiseless for the legal receiver but noisy for the eavesdropper are diffused and a one-time-pad secret key can be generated in each block. The physical layer difference of the main channel and the wiretap channel is applied to generate secret key sequence with is decipherable for the legal receiver and undecipherable for the eavesdropper. The secret key sequence is applied for encrypting the next block, achieving inter-block security transmission within secrecy capacity. The simulation result shows that under the circumstance of FTN signaling, when the channel SNR of eavesdropper is fluctuating from that of the main channel, the inter-block secrecy scheme proposed for the polar code can achieve confidential information transmission even when the average channel degradation of the wiretap channel is 0 dB.

Numerical simulation of melting process of phase change energy storage unit under microgravity
RUAN Shiting, ZHANG Jimin, CAO Jianguang, WANG Jiang, XU Tao
2018, 44(10): 2224-2231. doi: 10.13700/j.bh.1001-5965.2017.0791
Abstract:

In order to explore the melting process of phase change materials in the phase change energy storage unit with fins in microgravity environment, the heat transfer and flow characteristics of phase change materials in microgravity environment are investigated by numerical simulation. The accuracy of the numerical simulation was verified by comparing the numerical simulation results and experimental results in gravity environment. The numerical simulation results under both gravity and microgravity effects were compared to reveal the characteristics of the phase change material melt process in microgravity environment. The results show that when the phase change energy storage unit is in microgravity environment, the melting rate of the phase change material obviously decreases, and the heat is mainly transferred by the heat conduction. The expansion of the melted phase change material extends from the top to the space, and the local low temperature zone is in the upper-middle of the phase change energy storage unit.

Measurement and extraction technique of scattered signals for targets under complex background
LIANG Liya, YUAN Saisai, XU Xiaojian
2018, 44(10): 2232-2237. doi: 10.13700/j.bh.1001-5965.2018.0020
Abstract:

Zero-Doppler clutter (ZDC) caused by the surrounding environment of an outdoor measurement field is one of the major factors which degrade the accuracy of the target scattering signatures in wideband radar cross section measurement. A new technique for ZDC estimation based on maximal probability is proposed to effectively suppress background clutter and improve the measurement uncertainty. In this technique, an initial ZDC estimate for each frequency is obtained by sliding windowed average of the samples over azimuthal angles. The maximal probability amplitudes of the initial ZDC estimates are then calculated for each frequency. Refined ZDC estimates are finally obtained through threshold processing based on the maximal probability amplitude statistics. In this way, the residual target signal components in the initial ZDC estimates are greatly suppressed. As a consequence, accurate background clutter extraction and subtraction are achieved. The experimental results of outdoor data processing for typical targets are presented to demonstrate the effectiveness of the proposed technique.

Aero-engine working condition recognition based on MKSVDD optimized by improved BA
HE Dawei, PENG Jingbo, HU Jinhai, SONG Zhiping
2018, 44(10): 2238-2246. doi: 10.13700/j.bh.1001-5965.2017.0756
Abstract:

In order to ameliorate the accuracy and efficiency of aero-engine working condition identification, and to avoid the misjudgment and time-consuming problems in manual identification of aero-engine working condition, an intelligent recognition method, multi-kernel support vector data description based on chaotic rate bat algorithm (CRBA-MKSVDD), is proposed. The improved strategy of multi-kernel support vector data description (MKSVDD) is researched. The chaotic rate method is introduced to improve the convergence speed and convergence accuracy of the bat algorithm (BA), and the chaotic rate bat algorithm (CRBA) is obtained with this method. The penalty factor and kernel parameter of MKSVDD are optimized by CRBA and the characteristics of the flight parameters have been extracted. The CRBA-MKSVDD classifiers are trained based on the characteristics of flight parameters, and the working condition of a certain type of aero-engine in one sortie is identified by the proposed method. The results show that the accuracy of aero-engine working condition identified by the proposed method is 97.547 9%, which means that the method can be used in the research and application related to aero-engine working condition.