2018 Vol. 44, No. 9

Display Method:
Volume 44 Issue92018
iconDownload (29638) 969 iconPreview
Rigid pavement load transfer ability of airport based on vibration characteristics
ZHANG Xianmin, LIU Xiaolan, ZHANG Ziwen
2018, 44(9): 1787-1796. doi: 10.13700/j.bh.1001-5965.2017.0687
Abstract:

Load transfer ability needs to be detected termly to guide the maintenance and usage of concrete pavement of airport, while using the existing methods (such as falling weight deflectometer) is difficult to implement airport testing in remote mountain areas and the areas where transportation is difficult. Therefore, a bumping method of common vehicle is proposed to analyze the influence of dowel bar and pavement structure parameters on load transfer ability and pavement vibration characteristics (i.e., fundamental frequency, amplitude and phase difference). It is found that the elasticity modulus of dowel bar and subgrade modulus are the main effect factors. The quantitative relationship between load transfer ability and pavement vibration cha-racteristics is established with multiple factors, and the accuracy of formulas and the feasibility of bumping method are verified by outdoor experiments.

Cooperative attitude control on SO(3) for multiple spacecraft with time-varying gain ESO
MA Mingyu, DONG Chaoyang, WANG Qing, ZHOU Min
2018, 44(9): 1797-1807. doi: 10.13700/j.bh.1001-5965.2017.0719
Abstract:

This paper is concerned with the cooperative attitude control of multiple spacecraft, and the control design method on special orthogonal group (SO(3)) with disturbance is studied. The multiple spacecraft system is modeled using SO(3) method and directed communication topology. Then, a time-varying gain extended state observer (ESO) is proposed to estimate the total disturbance in the system, and it lessens the peaking phenomenon. The control commands are formulated in the form of rotation matrices using the information of adjacent spacecraft. Thus, the cooperative controller based on SO(3) method is designed, and at the same time ESO output is used to compensate the disturbance on the system. The convergence of the ESO and the stability of the closed-loop system are analyzed in this paper, which shows that the attitudes of the multiple spacecraft could reach stable consensus. Simulation is conducted to verify the effectiveness of the proposed method.

Simulation of galvanic corrosion of three electrodes in marine environment
CHEN Yueliang, WANG Andong, BIAN Guixue, ZHANG Yong
2018, 44(9): 1808-1817. doi: 10.13700/j.bh.1001-5965.2017.0670
Abstract:

To study the galvanic corrosion behavior of three electrodes, polarization curves of CF8611/AC531 composite (CFRP), 7B04-T74 aluminum alloy (7B04) and galvanized 30CrMnSiA steel (GSB) were measured. Full immersion test of the lap joint in the simulated marine environment was carried out. The circular three electrodes were designed, the steady-state corrosion field and the parameter scanning equation were deduced, and the galvanic corrosion model of the three electrodes and the lap joint were established. The results show that the potential distribution in the steady-state corrosion field accords with the Laplace equation. CFRP with the highest potential is cathode; GSB with the lowest is anode; the cathode or anode role of 7B04 is not fixed, it varies with the area of arbitrary electrode, and the critical area ratio is given out. The galvanic current of each electrode obeys the exponential distribution, and the correlation coefficient is approximately 1, which indicates a high fitting precision. On the lap joint, the potential and current density at the overlap are the highest and they descend symmetrically to both ends. 7B04 and GSB are anodes and the current density of them increases by about 210 and 328 times separately. This shows that the galvanic corrosion effect made by CFRP is very significant. The corrosion type of 7B04 plate at the overlap is general corrosion, and the thickness of about 1.011% loses. The simulation value of the distance of the pitting sensitive area is 3.9-7.6 mm and the measured value is 4.667-8.872 mm. The range, shape and change rule of the two are in good agreement. This illustrates that the model is effective and reliable.

Aeroengine fault diagnosis based on multi-classification AdaBoost
CAO Huiling, GAO Sheng, XUE Peng
2018, 44(9): 1818-1825. doi: 10.13700/j.bh.1001-5965.2017.0774
Abstract:

The data mining of aeroengine operational data is an important research for engine fault diagnosis. Due to the limitations of various algorithms, the accuracy of fault classification is difficult to be greatly enhanced with a single algorithm. Using a combination of classifications and diagnosis of multiple classification models, AdaBoost algorithm is a good method to improve the fault recognition accuracy. This paper combined the AdaBoost algorithm and its improved algorithm, and established a multi-classification AdaBoost algorithm. Support vector machine (SVM) was taken as the basic classifier, and a comprehensive diagnostic model was established. Fault identification data in statistics of fingerprint maps were processed with unit vector, ratio coefficient and correlation coefficient, and the training data for fault diagnosis with few effects of fault degrees were obtained. Then the model was constructed. The experimental results illustrate that the AdaBoost based combination algorithm can significantly improve the performance of classifier. With the actual fault cases, it is verified that the established diagnostic model can be well applied to engine fault diagnosis.

Exo-atmospheric interceptor modeling and penetration and defense effectiveness analysis
XIE Jingwei, CHEN Wanchun
2018, 44(9): 1826-1838. doi: 10.13700/j.bh.1001-5965.2018.0095
Abstract:

Based on the procedure of trans-atmospheric missile defense interception in each phase, this paper has firstly established a dynamic model for exo-atmospheric interceptor. Then according to the theory of predicted intercepting point (PIP) guidance and firing table interpolation, a method of exo-atmospheric midcourse guidance has been presented to intercept intermediate-range and long-range ballistic target. On this basis, this paper has studied the interceptor deployment zones and the firing/intercept sections according to multiple target trajectories, and the protective zone of one fixed interceptor launch position. With this approach, the effectiveness of the exo-atmospheric interception guidance method has been tested. Finally, considering the penetration measures that ballistic missile may have taken, including maneuver orbital transfer, electronic jamming, infrared bait, etc., the penetration effectiveness that achieved from different measures employed by offensive missile has been analyzed through large sample simulations. For those interceptor deployment positions where the general ballistic target can be hit, the penetration probability of the warhead can be raised up to over 70% with the interference strategies such as maneuver orbital transfer and bait release applied in different phases.

Construction method of flight safety manipulation space based on risk prediction
LI Zhe, XU Haojun, XUE Yuan, PEI Binbin
2018, 44(9): 1839-1849. doi: 10.13700/j.bh.1001-5965.2017.0686
Abstract:

Improving the pilot's situational awareness is an effective measure to ensure flight safety under the complex meteorological environment and system failure conditions. Based on the complex dynamics of pilot-vehicle-environment simulation, the risk variation trend of multiple flight safety parameters is predicted under a certain manipulation command, and the flight safety spectrum and flight risk probability for the flight condition are obtained by the superposition of the flight safety parameters' risk degrees. Through the parallel simulation, the flight risk topology contour in the whole operation space is calculated, and the flight safety manipulation space is constructed to guide the pilot to manipulate correctly. The flight safety operation space, the accident mechanism and the main sensitive parameters are analyzed under the icing environment and rudder surface jammed conditions. The simulation results show that the external environment mutation or sudden system failure can lead to safety manipulation space reduction or even distortion. The proposal of safety manipulation space under the complex conditions could not only provide an intuitive and comprehensive reference to improve the pilot's situational awareness, but also provide a visual analytical method for the accident evolution.

A rotary-percussive ultrasonic drill driven by single piezoelectric stack
WANG Yinchao, QUAN Qiquan, YU Hongying, BAI Deen, DENG Zongquan
2018, 44(9): 1850-1859. doi: 10.13700/j.bh.1001-5965.2017.0699
Abstract:

To improve the chip removal efficiency of percussive ultrasonic drilling, a rotary-percussive ultrasonic drill (RPUD) is proposed based on piezoelectric driving principle, which is driven by single piezoelectric stack. The proposed RPUD uses the vibration on both sides of the single piezoelectric stack to realize the rotary-percussive motion of the drilling tool, and transfers one side of vibration into rotary motion and the other side into percussive motion. Rotary motion and percussive motion can be regulated independently. To realize the synchronous resonance of rotary motion and percussive motion, the modal analysis and transient analysis of ultrasonic drilling transducer are carried out by the finite element method. A prototype of rotary-percussive ultrasonic drilling machine was developed, and the drilling experiment was carried out based on the optimized structural design parameters. The experimental results verify the drilling function of the RPUD, and response surface method is used to analyze the influence of the drilling parameters such as weight on bit on the drilling efficiency.

Numerical simulation of melting process of nanoparticle-enhanced phase change materials
ZHAO Liang, XING Yuming, LYU Qian, LUO Yegang, LIU Xin
2018, 44(9): 1860-1868. doi: 10.13700/j.bh.1001-5965.2017.0712
Abstract:

The latent heat thermal energy storage can be applied widely in aerospace domain and many other industrial fields. However, phase change materials suffer from low thermal conductivity that constrains their engineering application. Nano materials with high thermal conductivity can effectively improve the thermal conductivity of phase change materials. For simulating the melting process in more detail, the physical properties of paraffin composited with three representative kinds of nano materials were founded based on the Maxwell-Garnett type effective medium theory (EMT). The volume of fluid (VOF) model and the enthalpy-porosity model were coupled to simulate the melting process of the pure paraffin and the paraffin composited with nano diamond (ND), single-walled carbon nanotube (SWCNT) and grapheme nano platelets (GnP) under a constant wall temperature. Meanwhile the volume expansion was taken into account. Numerical calculations show that the natural convection is mainly distributed at the region closed to the solid-liquid interface, the region closed to the heating surface and the region adjacent to air-liquid interface. Among these three kinds of nano materials, GnP is the most promising additive that can enhance thermal conductivity of phase change material. For a fixed GnP loading of volume fraction of 3%, the solid phase heat conductivity coefficient of nanoparticle-enhanced phase change materials increases by 486% compared to that of pure paraffin, and the melting time of phase change materials decreases by 69%. Meanwhile, the melting process of the nano-composite phase change materials can be significantly shortened by raising the temperature of the heating surface.

Texture image classification based on BoF model with multi-feature fusion
WANG Yuling, LI Ming, LI Junhua, ZHANG Congxuan, CHEN Hao
2018, 44(9): 1869-1877. doi: 10.13700/j.bh.1001-5965.2017.0720
Abstract:

The obvious shortcomings of bag of feature (BoF) model are lack of spatial and geometric information in image representation, and poor description of the content of texture image. To solve these problems, we proposed a texture image classification method based on BoF model with multi-feature fusion. The method fuses gray gradient co-occurrence matrix (GGCM) and scale-invariant feature transform (SIFT) as the basic feature description of texture image, uses a dynamic weight to identify energy analysis for the optimal parameter feature selection, quantifies texture feature by BoF, then applies support vector machine to train and predict the image, and finally obtains the classification results. The experimental results show that the proposed method has better performance of texture classification into rotated texture, twisted texture, edge fuzzy texture, light changing texture, messy texture, etc. The average classification accuracy of the proposed method on the UIUC texture database increases by 12.8% and 7.9% respectively compared with the conventional BoF model and concave-convex partition (CCP) methods, which indicates that the proposed method has higher accuracy and better robustness for texture image classification.

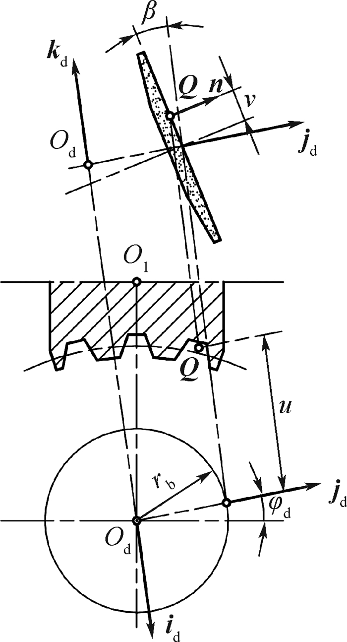
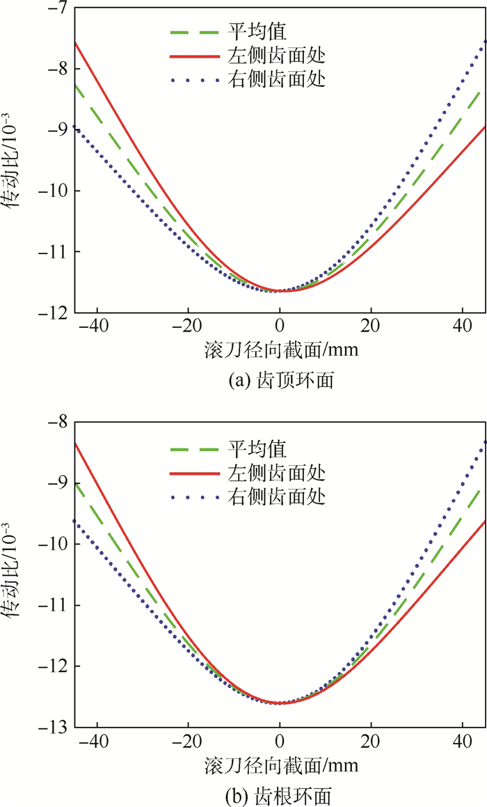
Design and correction method of spiral flute rake face of an hourglass worm gear hob
YANG Jie, LI Haitao, RUI Chengjie, DONG Xuezhu
2018, 44(9): 1878-1887. doi: 10.13700/j.bh.1001-5965.2017.0727
Abstract:

To improve the cutting performance and hobbing efficiency of an hourglass worm gear hob, it is necessary to design the flutes of the hob into spiral groove, reduce the absolute value of the rake angle on both sides of the cutting teeth, and equalize the cutting conditions on both sides of the blade. Based on the hourglass worm forming method and the gear meshing theory, a method for developing a helical groove with a cylindrical generating surface by changing the transmission ratio is proposed, and the idea behind the method is to ensure that the lead angles of the worm helix and the rake face curve are complementary in any cross section of the basic hob worm. The rake angles on the indexing cycle were both approximately zero, while the rake angles on the left side of the cutting tooth varied from positive to negative from the tooth top to the tooth root, and the rake angles on the right side of the cutting tooth varied from negative to positive from the tooth top to the tooth root. And the absolute values of positive and negative rake angles were larger. The rake face of the hob was further modified, and the modified hob model was introduced into the VERICUT software. The rake angles were measured to verify the correctness of the design method. The results show that the method can solve the problem that the absolute value of the rake angle on both sides of the hob is relatively large, and the rake angles on both sides of the cutting teeth are controlled between -0.6° and 0.5°.

Energy-optimal and fuel-optimal problems for Lambert rendezvous
XU Limin, ZHANG Tao, TAO Jiawei
2018, 44(9): 1888-1893. doi: 10.13700/j.bh.1001-5965.2017.0731
Abstract:

The Lambert two-impulse rendezvous problem is an important problem in orbital-transfer, rendezvous and docking and other fields in space engineering. Fuel-optimal and energy-optimal Lambert rendezvous problems are a kind of Lambert optimization problem that has the typical application background and engineering requirements. In this paper, an analytical calculation method based on vector form is proposed for energy-optimal and fuel-optimal Lambert rendezvous problems, and then the analytic solution in vector form is developed for the energy-optimal and fuel-optimal Lambert rendezvous problems. The nature and characteristics of the two analytic solutions for optimization rendezvous problem are analyzed and contrasted. The simulation results prove the correctness of this method and that fuel consumption of fuel-optimal orbit is less than that of energy-optimal orbit.

Fault detection for flywheels based on chaotic attractor
LI Lei, GAO Yongming, WU Zhihuan
2018, 44(9): 1894-1902. doi: 10.13700/j.bh.1001-5965.2018.0037
Abstract:

Aimed at the problem that the early fault of the flywheel is difficult to detect and the precision mathematical model is difficult to be established, a fault detection method based on the characteristics of chaotic attractor is proposed. This method uses the auxiliary curved surface function and the system parameters to construct the discrete dynamical system. The approximate chaotic attractors obtained from normal data through iteration are different with the ones obtained from fault data. The difference could be used as feature for fault detection. The simulation results show that the discrete dynamical system constructed by this method can generate the chaotic attractor stably. The chaotic attractor is independent of the initial iteration point. The same faults under different working conditions have the same characteristics. The chaotic attractor feature is sensitive to small fault.

Construction of knowledge network of O2O e-business based on innovation ability-fitness
GAO Changyuan, YAN Jian, YOU Yang
2018, 44(9): 1903-1908. doi: 10.13700/j.bh.1001-5965.2017.0672
Abstract:

A method for constructing knowledge networks based on the fitness of node's innovation ability is proposed for O2O e-business enterprises to make accurate judgment on the knowledge innovation field and improve the innovation competitiveness. This paper, based on the analysis on influence factors of knowledge node's innovation ability of O2O e-business enterprise and their weight assignment, the fitness algorithm is used to determine the fitness of knowledge node's innovation ability, and the innovation ability fitness knowledge network model suitable for the O2O e-business enterprise characteristics is established. Combining five-grade scoring method and UCINET visualization software, this paper constructs the knowledge network of Suning cloud business based on the fitness of innovation ability. The experiment shows that the knowledge node with strong innovation ability are characterized by high connectivity and relatively large shape. And finally, a coping strategy to the innovation ability fitness knowledge network of Suning cloud besiness is put forword.

Spatial isolation methodology for spectral coexistence in LEO satellite systems
ZHANG Hongshi, JIANG Bofeng
2018, 44(9): 1909-1917. doi: 10.13700/j.bh.1001-5965.2017.0732
Abstract:

The increase demand for global services in recent years has led to the deficiency of resources in traditional low frequency band in low earth orbit (LEO) satellite communication. Thus designs of LEO satellite constellation in Ka band have drawn a lot of interests. However, utilization of Ka band in LEO design inevitably causes interference to the existing geostationary (GEO) satellite system in the same band. A method of the discrimination angle based on spatial isolation in LEO-GEO coexistence systems is adopted to mitigate the interference both in uplink and downlink scenarios and to guarantee that the interference level from LEO system can meet the constraint requirements of communication interference in the same frequency band which are stipulated by International Telecommunication Union (ITU). Furthermore, a concept of GEO band is developed to determine the interference exclusion zone and to research the impact on the LEO satellite constellation density. Finally, simulations of the relationship among the discrimination angle, the GEO band and the LEO constellation density are given and the minimum satellite amount in this method without interrupting satellite services is found, which is significant in LEO satellite constellation design.

Adaptive bilateral control for underwater manipulator in uncertainty teleoperation
ZHANG Jianjun, LIU Weidong, GAO Li'e, LI Le, LI Zeyu
2018, 44(9): 1918-1925. doi: 10.13700/j.bh.1001-5965.2017.0753
Abstract:

An adaptive bilateral control strategy is proposed for the uncertainty of the mathematical model and external disturbances during the teleoperation of underwater manipulator. A reference adaptive impedance control law based on the nominal model is designed for the uncertainty of the parameters of the master manipulator model and the external disturbance. The reference position of the expected model is adjusted by the deviation between the force of operator and the slave manipulator, and the model uncertainty is compensated by the adaptive control law. Aimed at the uncertainty of slave manipulator, the adaptive compensation is achieved by the radial basis function (RBF) neural network, and the approximation deviation is eliminated by the design of the sliding mode variable structure controller and the robust adaptive controller, which satisfies the position tracking of the slave manipulator to the master manipulator. The tracking performance and global stability are proved by Lyapunov function, and the asymptotic convergence of force-position tracking is guaranteed. The results show that the overall controller has good force-position tracking ability under the conditions of model uncertainty and external disturbance. The whole system is stable and feasible, and has robustness and adaptive control ability.

A global network flight flow assignment algorithm based on civil-military integration
WU Wenhao, ZHANG Xuejun, GU Bo, ZHU Xiaohui
2018, 44(9): 1926-1932. doi: 10.13700/j.bh.1001-5965.2018.0006
Abstract:

With the rapidly continuing growth in demand for flight activities and the increasing airspace usage conflicts, the global optimization of air traffic flow management has become an essential approach to reduce flight delays, decrease flight risk and ensure airspace operation safety. As a typical area of civil-military integration development, air traffic management needs the uniform and efficient integration optimization of the civil and military aviation flight plans. The global optimization of air traffic flow management problem is a complex real-world optimization problem due to its large-scale and multi-objective, and nonseparable characteristics. This paper presents a civil-military integration flight flow multi-objective optimization——CMI model, which considers the difference in civil and military flight plans, the efficiency and safty of sector network, and the civil and military controllers operating features. In order to resolve the unbalance and inadequacy problem lying in population evolution process, a dynamic adaptive multi-objective genetic algorithm (DA-MOGA), which designs the dynamic adjustment mechanism of crossover and variation based on the crowding distance and diversity, is proposed in this paper. The validation results based on the actual data from the sector networks in China show that the DA-MOGA outperforms the two well-known multi-objective evolutionary algorithms.

A fatigue life analysis method for multiple riveted joint
ZHANG Tianyu, HE Yuting, CHEN Tao, DU Xu, TAN Xiangfei, LIU Kai
2018, 44(9): 1933-1940. doi: 10.13700/j.bh.1001-5965.2017.0689
Abstract:

In the analysis of fatigue life of multiple riveted joints, the explicit dynamic analysis of the pressing and riveting process was carried out, and the deformation form and interference after riveting process were obtained. An APDL subroutine was developed to analyze the riveting process of various forms of specimens. Detailed stress was analyzed by using load-displacement curves of fastener. The load-displacement calculation method of riveted joint was proposed based on the three-dimensional elastoplastic finite element method, and compared with the experimental results, the reliability of using this method to obtain load-displacement curves was validated. Riveting units were established in ANSYS by using parametric modeling to carry out the calculation of riveting load. The fatigue life of the joint is estimated by the stress severity coefficient method. The fatigue test of typical aviation riveted joint was carried out. The calculation results are in good agreement with the test results, which indicates the feasibility of this method.

Semi-supervised classification based on class certainty of samples
GAO Fei, ZHU Fuli
2018, 44(9): 1941-1951. doi: 10.13700/j.bh.1001-5965.2017.0708
Abstract:

The performance of supervised learning based algorithms can decrease dramatically in the classification of remote sensing images if labeled samples are insufficient. The collection of labeled samples is generally time-consuming and expensive, though unlabeled samples can be relatively easily obtained. To utilize the information of unlabeled samples in the learning process, this paper proposes a novel semi-supervised classification algorithm based on class certainty of samples (CCS). First, a multi-class support vector machine (SVM) is employed to determine the class certainty of unlabeled samples, which effectively measure the class reliability of unlabeled samples. Then, the pre-processing of sample classification is carried out to enhance the security of unlabeled samples. Finally, a new semi-supervised linear discriminant analysis (LDA) is proposed based on the sample class certainty and results in improved separability of the samples in the projection subspace. Moreover, the semi-supervised LDA can be extended to nonlinear dimensional reduction by combining the class certainty and the kernel based methods. For classification of the testing samples, the nearest neighbor classifier is adopted. In order to assess the effectiveness of the proposed algorithm, several experiments are carried out on the actual synthetic aperture radar (SAR) images in comparison with other supervised and semi-supervised algorithms. Using real SAR images, it is proved that the proposed algorithm is superior to all supervised and other semi supervised algorithms in the case of less marked samples. And it can converge quickly.

Low-altitude remote sensing image registration algorithm based on dual-feature for arable land in hills and mountains
SONG Fei, YANG Yang, YANG Kun, ZHANG Su, BI Dongsheng
2018, 44(9): 1952-1963. doi: 10.13700/j.bh.1001-5965.2017.0674
Abstract:

Small unmanned aerial vehicle (UAV) aerial images (low-altitude remote sensing image) of arable land in hills and mountains are confronted with multiple challenges of image processing due to its scale change, geometric distortion and image overlap. To address the problems, the low-altitude remote sensing image registration algorithm based on dual-feature for arable land in hills and mountains was proposed. Due to the complex environment and the influence of light factors in hills and mountains, the feature points of remote sensing images are extracted by using the scale-invariant SURF algorithm. And then the dual-feature descriptor using geometrical structure of aerial images was constructed. On this basis, by taking Gaussian mixture model (GMM) as the core and combining with two single feature difference descriptors (i.e., global distance descriptor based on euclidean distance and local structure descriptor based on sum vectors), the dual-feature finite mixture model (DFMM) was obtained, which can simultaneously evaluate the correspondence between two features. With the reproducing kernel Hilbert space (RKHS), the spatial transformation of the global and local structure of the registration image was carried out based on the Gaussian radial basis function (GRBF). In order to verify the feasibility and performance of the proposed algorithm, experiments were carried out by using UAV images with different viewpoints taken from sloping arable land in hills and mountains. Experimental results show that comparing with SIFT, SURF, CPD, AGMReg, GLMDTPS and PRGLS, our method provides better performances in most cases, and can apply to multi-view remote sensing image registration of other complex terrain by small UAV.

Gain scheduling based decentralized robust control for aircraft engines
PAN Muxuan, CAO Liangjin, HUANG Jinquan
2018, 44(9): 1964-1973. doi: 10.13700/j.bh.1001-5965.2017.0659
Abstract:

Considering the aircraft engine full envelope tracking control under the nonlinear variation dynamic feature within wide range, the decentralized robust tracking controller is proposed. In order to ensure system stability and at the same time make the convergent rates of tracking errors adjustable, the dynamic response exponential convergent parameter is introduced. A set of operating points in the full envelope are chosen, and the aircraft engine power level is denoted by power lever angle (PLA). For every 5°, a PLA is chosen as a design power level. A design step process is described by a process in which the aircraft engine transfers from initial design power level to another design power level. Considering every design step process, a decentralized robust tracking controller was designed based on "stepping method". The parameters of decentralized robust tracking controller in off-design step process were scheduled by linear interpolation. A simulation was conducted on component-level model of a certain type of turbofan engine. The results validate the effectiveness of the control method.

Improved pulsar navigation measurement equation based on truncation errors
XU Qiang, WANG Hongli, HE Yiyang, YOU Sihai, FENG Lei
2018, 44(9): 1974-1981. doi: 10.13700/j.bh.1001-5965.2017.0807
Abstract:

Considering that the traditional extended Kalman filter (EKF) algorithm has to neglect the higher order terms of the measurement model because of linearization, which causes the problem of large truncation errors in X-ray pulsar navigation, an improved linear measurement equation suitable for pulsar navigation is proposed. First, the paper analyzes the physical meaning of annual parallax effect and Shapiro effect which cause the truncation error in the process of simplifying the measurement equation. The two higher order terms' mathematical models are established and numerical analysis is conducted. Then, using the method of Taylor expansion, the two higher order terms are linearized to establish an improved linear measurement equation. Finally, using the earth satellite orbit data, the two measurement equations are respectively applied to the EKF algorithm of the pulsar navigation to verify the validity of the improved measurement equation. The results show that the improved linear measurement equation can guarantee the position and velocity estimation error within 250 m and 2 m/s under the consideration of the higher order terms, and that the improved linear measurement equation has some robustness to the higher order term changes. However, the traditional simplified measurement equation can cause divergence.

Analysis and optimization of 2-DOF micro-positioning stage based on flexible hinges
ZHOU Rui, ZHOU Hui, GUI Heli, DONG Hu, CAO Yi
2018, 44(9): 1982-1990. doi: 10.13700/j.bh.1001-5965.2017.0706
Abstract:

In order to improve the dynamic characteristics of the micro-positioning stage, a decoupled two-degree-of-freedom (2-DOF) parallel flexure-hinge micro-positioning stage is proposed. First, a new type of 2-DOF micro-positioning stage is designed based on the structure characteristics of the corner-filleted flexure hinge and micro-positioning stage. Second, the equivalent stiffness model of the micro-positioning stage is deduced, and the correctness of the theoretical model is verified by comparing the theoretical results with the finite element simulation. And at the same time, the influence of different structural parameters on micro-positioning stage is discussed, and the sensitivity comparison and analysis are conducted. Then, to improve the 2-DOF micro-positioning platform equivalent stiffness as the goal, the optimization model is established, and the adaptive particle swarm optimization algorithm is used to optimize the main structure parameters of the micro-positioning stage. Finally, the natural frequency of the stage is calculated, and its correctness is verified by finite element simulation. The above analysis proves the feasibility and effectiveness of the mechanism.

Trajectory planning method for redundant manipulator based on configuration plane
WANG Anqi, WEI Yanhui, HAN Han, XU Lixue
2018, 44(9): 1991-1997. doi: 10.13700/j.bh.1001-5965.2017.0746
Abstract:

This paper proposes a novel method for solving the problem of multi-goal redundant manipulator trajectory planning. Specifically, Specifically, the trajectory planning path for a redundant manipulator is a complicated process with the joint constraint and the limit of spatial obstacle. First, to ensure stability of the manipulator motion, the work configuration of a redundant manipulator can be composed of multiple joint axes, which are connected in sequence. Second, by using the spatial geometry method, spatial trajectory planning for a redundant manipulator can be performed based on the configuration plane. Third, the optimized spatial path can be quickly obtained, which achieves multi-goal trajectory planning using the method of spatial vector leading, obstacle avoidance path comparing and choosing. Finally, a simulation using a 7-DOF redundant manipulator is conducted. The simulation result shows that the path planning problem can be solved quickly and intuitively by this method. Further, it does not depend on the work configuration of the manipulator and can be applied to redundant manipulators with more degrees of freedom.

Life prediction method of lithium battery based on improved relevance vector machine
WANG Chunlei, ZHAO Qi, QIN Xiaoli, FENG Wenquan
2018, 44(9): 1998-2003. doi: 10.13700/j.bh.1001-5965.2018.0181
Abstract:

Lithium batteries have the advantages of light weight and safety, long cycle life, and good safety performance. As a widely-used energy storage power supply, lithium battery health management and life prediction are hot topics both at home and abroad. Lithium battery life assessment methods and prediction models were established. Battery decay models were established based on experimental historical data to evaluate the working status of the entire battery, and the equipment was maintained and replaced in time to ensure stable battery operation. In this paper, the kernel function of the relevance vector machine (RVM) was mainly improved, the performance of the relevance vector machine was optimized, the lithium battery life prediction bias was reduced, and the prediction accuracy was improved.

Fighter zigzag maneuver target tracking algorithm using HCKS-EM
LU Chunguang, ZHOU Zhongliang, LIU Hongqiang, KOU Tian, YANG Yuanzhi
2018, 44(9): 2004-2012. doi: 10.13700/j.bh.1001-5965.2018.0047
Abstract:

Motivated by identifying the turn rate of fighter zigzag maneuver under the background of colored measurement noise, the joint estimation and identification algorithm with colored measurement noise is proposed based on expectation maximization (EM) algorithm by considering the characteristics of the coupling between the target state and the turn rate. The colored noise whitening is realized by using the measurement difference scheme, and thus, the turn rate identification problem with colored measurement noise is transformed into the turn rate identification problem with one-step delayed state. The joint estimation and identification of both fighter zigzag maneuver target states and turn rate are achieved by EM algorithm:in the E-step, the target state posteriori estimation is achieved accurately using the high-degree cubature Kalman smoothers (HCKS) algorithm with colored measurement noise; in the M-step, the analytical identification result of turn rate is obtained by maximizing the conditional likelihood function. It is verified in the final simulation that the proposed algorithm performs better in terms of target state estimation and turn rate identification accuracy than the traditional augmentation method and interacting multi-model algorithm. Furthermore, the performance of the proposed algorithm is evaluated and analyzed from two aspects of window length and maximum number of iterations. The simulation results show that the larger the window length and the maximum number of iterations are, the higher the precision is.

Modeling and prediction of stratospheric wind field based on proper orthogonal decomposition
LI Kui, DENG Xiaolong, YANG Xixiang, HOU Zhongxi, ZHOU Xin
2018, 44(9): 2013-2020. doi: 10.13700/j.bh.1001-5965.2017.0685
Abstract:

The stratospheric wind field has an important influence on the design and trajectory control of the near-space low dynamic aerostat. Focused on the modeling of the stratospheric wind field, this paper proposes a reduced order analysis method of the wind field data based on the proper orthogonal decomposition (POD) method. On this basis, a Fourier model which can predict the stratospheric wind field is proposed in this paper. This paper takes the wind field in Changsha from 2005 to 2009 as an example, uses the proposed POD method and Fourier prediction model to model and predict the wind field, and analyzes the accuracy of Fourier prediction model. The results show that the POD method can be used to model the east-west wind field efficiently and accurately. The Fourier prediction model can be used to predict the east-west wind field accurately and the prediction accuracy is closely related to the regularity of the actual wind field. The more compact the wind field data are, the more obvious the periodicity is, the higher the prediction accuracy is.