Volume 44 Issue 11
Nov.  2018
Turn off MathJax
Article Contents
YANG Jianlong, LIU Meng. Influence of ionization on hypersonic thermo-chemical non-equilibrium aerodynamic thermal environments[J]. Journal of Beijing University of Aeronautics and Astronautics, 2018, 44(11): 2364-2372. doi: 10.13700/j.bh.1001-5965.2018.0079(in Chinese)
Citation: YANG Jianlong, LIU Meng. Influence of ionization on hypersonic thermo-chemical non-equilibrium aerodynamic thermal environments[J]. Journal of Beijing University of Aeronautics and Astronautics, 2018, 44(11): 2364-2372. doi: 10.13700/j.bh.1001-5965.2018.0079(in Chinese)

Influence of ionization on hypersonic thermo-chemical non-equilibrium aerodynamic thermal environments

doi: 10.13700/j.bh.1001-5965.2018.0079
More Information
  • Corresponding author: LIU Meng, E-mail:liumeng@cqjj8.com
  • Received Date: 08 Feb 2018
  • Accepted Date: 04 May 2018
  • Publish Date: 20 Nov 2018
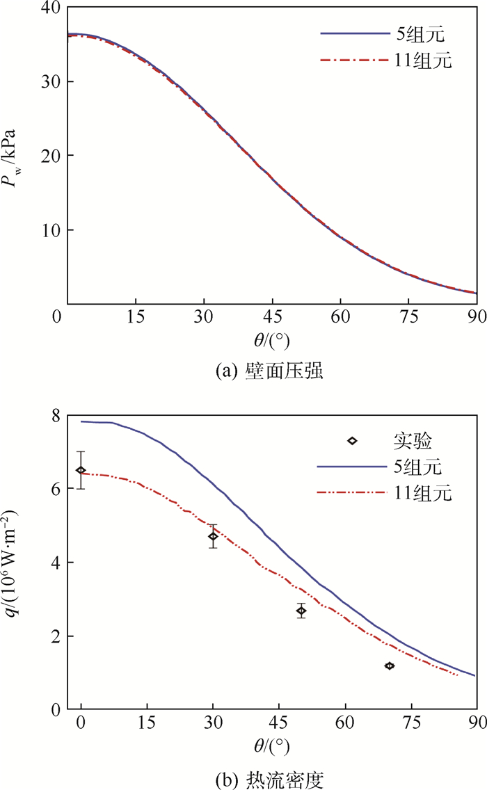
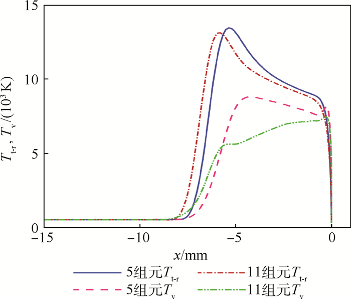
  • The high temperature gas after shock wave occurs to ionize in hypersonic flight, which makes the aerodynamic thermal environments to be complicated. The 5 species (N2, O2, NO, O, N), 7 species (N2, O2, NO, O, N, NO+, e-) and 11 species (N2, O2, NO, O, N, N2+, O2+, NO+, O+, N+, e-) thermo-chemical reactions of Gupta's chemical reaction model were taken to numerically study the influence of ionization on hypersonic thermo-chemical non-equilibrium aerodynamic thermal environments, respectively. The characteristics of hypersonic thermo-chemical non-equilibrium ionization flow field aerodynamic thermal environments in different catalytic wall conditions were also researched. The effect of ionization on the shock standoff distance and the aerodynamic force load is very small. The flow filed temperature and the wall heat flux calculated by 5 species thermo-chemical non-equilibrium reactions are much bigger because the effect of ionization is not considered. The hypersonic strong ionization flow field temperature calculated by 11 species thermo-chemical equilibrium reactions is the lowest. The amounts of NO+ and e- in hypersonic weak ionization flow field calculated by 7 species thermo-chemical non-equilibrium reactions are too small. The aerodynamic force and the wall heat flux loads in hypersonic thermo-chemical non-equilibrium ionization flow field can be effectively predicted by 11 species thermo-chemical reactions. The wall heat flux increases when the effect of wall catalysis is considered. However, the temperature of hypersonic thermo-chemical non-equilibrium ionization flow field and the aerodynamic force load are less affected by the wall catalysis.

     

  • loading
  • [1]
    PARK G, GAI S L, NEELY A J.Base flow of circular cylinder at hypersonic speeds[J].AIAA Journal, 2016, 54(2):458-468. doi: 10.2514/1.J054270
    [2]
    SHAO C, NIE L, CHEN W F.Analysis of weakly ionized ablation plasma flows for a hypersonic vehicle[J].Aerospace Science and Technology, 2016, 51:151-161. doi: 10.1016/j.ast.2016.02.005
    [3]
    BURT J M, JOSYULA E.Vibrational nonequilibrium quantification for state-resolved simulation of a hypersonic flow[J].Journal of Thermophysics and Heat Transfer, 2017, 31(3):660-673. doi: 10.2514/1.T5044
    [4]
    ZENG M, XU D, LIU J, et al.Novel method to calculate vibrational thermal conduction in hypersonic nonequilibrium flow[J].Journal of Thermophysics and Heat Transfer, 2016, 30(1):12-24. doi: 10.2514/1.T4611
    [5]
    IBRAHIM A, SUMAN S, GIRIMAJI S S.On air-chemistry reduction for hypersonic external flow applications[[J].International Journal of Heat and Fluid Flow, 2015, 51:298-308. doi: 10.1016/j.ijheatfluidflow.2014.10.021
    [6]
    KIM M, KEIDAR M, BOYD I D.Analysis of an electromagnetic mitigation scheme for reentry telemetry through plasma[J].Journal of Spacecraft and Rockets, 2008, 45(6):1223-1229. doi: 10.2514/1.37395
    [7]
    KIM M, BOYD I D, KEIDAR M.Modeling of electromagnetic manipulation of plasmas for communication during reentry flight[J].Journal of Spacecraft and Rockets, 2010, 47(1):29-35. doi: 10.2514/1.45525
    [8]
    FARBAR E, BOYD I D, MARTIN A.Numerical prediction of hypersonic flowfields including effects of electron translational nonequilibrium[J].Journal of Thermophysics and Heat Transfer, 2013, 27(4):593-606. doi: 10.2514/1.T3963
    [9]
    SHANG J S, ANDRIENKO D A, HUANG P G, et al.A computational approach for hypersonic nonequilibrium radiation utilizing space partition algorithm and Gauss quadrature[J].Journal of Computational Physics, 2014, 266:1-21. doi: 10.1016/j.jcp.2014.02.007
    [10]
    屈程, 王江峰.电离对高超声速稀薄流飞行器气动热影响[J].航空动力学报, 2016, 31(9):2156-2163.

    QU C, WANG J F.Ionization effects on aerodynamic heat for vehicle in hypersonic rarefied flow[J].Journal of Aerospace Power, 2016, 31(9):2156-2163(in Chinese).
    [11]
    HAO J A, WANG J Y, LEE C H.Numerical study of hypersonic flows over reentry configurations with different chemical nonequilibrium models[J].Acta Astronautica, 2016, 126:1-10. doi: 10.1016/j.actaastro.2016.04.014
    [12]
    GUPTA R N, YOS J M, THOMPSON R A, et al.A review of reaction rates and thermodynamic and transport properties for an 11-species air model for chemical and thermal nonequilibrium calculations to 30000K: NASA RP-1232[R].Washington, D.C.: NASA, 1990.
    [13]
    PARK C.On convergence of computation of chemical reacting flows: AIAA-1985-0247[R].Reston: AIAA, 1985.
    [14]
    LORZEL H, MIKELLIDES P G.Validation of a nonequilibrium air chemistry model in MACH2 and applications to weakly-ionized hypersonic flow: AIAA-2009-0279[R].Reston: AIAA, 2009.
    [15]
    PARK C.Problems of rate chemistry in the flight regimes of aeroassisted orbital transfer vehicles: AIAA-1984-1730[R].Reston: AIAA, 1984.
    [16]
    MASSIMI H S, SHEN H, WEN C Y, et al.Numerical analysis of hypersonic flows around blunt-nosed models and a space vehicle[J].Aerospace Science and Technology, 2015, 43:360-371. doi: 10.1016/j.ast.2015.03.017
    [17]
    ALLOUCHE R, HAOUI R.Ionising air in thermal and chemical nonequilibrium flow behind a plane shock wave: AIAA-2006-8154[R].Reston: AIAA, 2006.
    [18]
    KIM M, GVLHAN A, BOYD I D.Modeling of electron energy phenomena in hypersonic flows[J].Journal of Thermophysics and Heat Transfer, 2012, 26(2):244-257. doi: 10.2514/1.T3716
    [19]
    GAO Z X, JIANG C W, LEE C H.Aeroheating study of hypersonic chemical nonequilibrium flows around a reentry blunt body: AIAA-2014-4415[R].Reston: AIAA, 2014.
    [20]
    CHI D, CHAKRAVARTHY S, GOLDBERG U.Flow prediction around the SACCON configuration using CFD++: AIAA-2010-4563[R].Reston: AIAA, 2010.
    [21]
    GVR H B, EYI S.Diffusion effect on hypersonic flow using Fick's law: AIAA-2015-3797[R].Reston: AIAA, 2015.
    [22]
    CHEN X H, CHEN F, ZHANG S T, et al.The effects of chemical nonequilibrium and surface catalytic on aerodynamic characteristics of hypersonic vehicles: AIAA-2016-1252[R].Reston: AIAA, 2016.
    [23]
    MACLEAN M, MARINEAU E, PARKER R, et al.Effect of surface catalysis on measured heat transfer in expansion tunnel facility[J].Journal of Spacecraft and Rockets, 2013, 50(2):470-474. doi: 10.2514/1.A32327
    [24]
    MACLEAN M, MUNDY E, WADHAMS T, et al.Analysis and ground test of aerothermal effects on spherical capsule geometries: AIAA-2008-4273[R].Reston: AIAA, 2008.
  • 加载中

Catalog

    通讯作者: 陈斌, bchen63@163.com
    • 1. 

      沈阳化工大学材料科学与工程学院 沈阳 110142

    1. 本站搜索
    2. 百度学术搜索
    3. 万方数据库搜索
    4. CNKI搜索

    Figures(11)  / Tables(1)

    Article Metrics

    Article views(742) PDF downloads(412) Cited by()
    Proportional views
    Related

    /

    DownLoad:  Full-Size Img  PowerPoint
    Return
    Return