Volume 44 Issue 11
Nov.  2018
Turn off MathJax
Article Contents
WANG Xiaoming, LIU Hui, HAN Longzhu, et al. Performance analysis of shock thrust vector nozzle under different gas injections[J]. Journal of Beijing University of Aeronautics and Astronautics, 2018, 44(11): 2267-2272. doi: 10.13700/j.bh.1001-5965.2018.0161(in Chinese)
Citation: WANG Xiaoming, LIU Hui, HAN Longzhu, et al. Performance analysis of shock thrust vector nozzle under different gas injections[J]. Journal of Beijing University of Aeronautics and Astronautics, 2018, 44(11): 2267-2272. doi: 10.13700/j.bh.1001-5965.2018.0161(in Chinese)

Performance analysis of shock thrust vector nozzle under different gas injections

doi: 10.13700/j.bh.1001-5965.2018.0161
Funds:

National Natural Science Foundation of China 11772038

More Information
  • Corresponding author: HAN Longzhu, E-mail:hlz@cqjj8.com
  • Received Date: 26 Mar 2018
  • Accepted Date: 08 Apr 2018
  • Publish Date: 20 Nov 2018
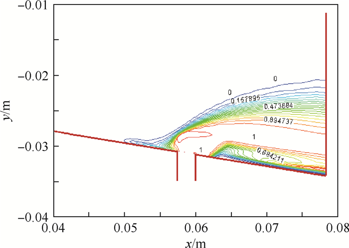
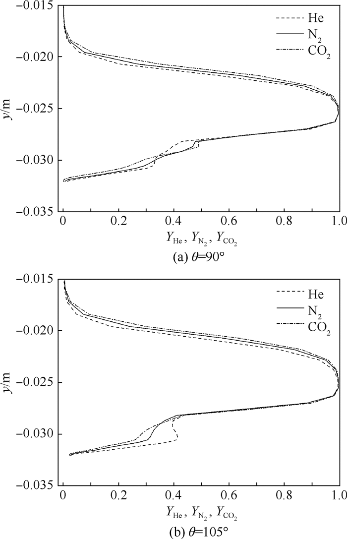
  • Aimed at the research status of the shock thrust vector control, which is limited to the mainstream and secondary flow gas as the same gas, the influence of different secondary flow gas molecular mass on thrust vector performance is investigated. First, a turbulence model described by two equations (AUSM+ scheme and k-ω SST) at two-order accuracy was utilized to solve the Favre averaged three-dimensional Navier-Stokes equations, which simulated the complex interference inner flow field of the nozzle, and the vectorial deflection angles and thrust coefficients were calculated under different gas injection angles, injection pressures and nozzle pressure ratios when the secondary flow gas of He, N2 and CO2 were selected. The calculation results show that the smaller the mean molecular mass of the secondary flow gas is, the larger the vectorial deflection angle is, the less the thrust loss is. Therefore, the gas with smaller mean molecular mass could be used as the gas source of the secondary flow, or the high temperature gas derived from the combustion chamber could be mixed with the gas with a smaller mean molecular mass.

     

  • loading
  • [1]
    DENG R Y, SETOGUCHI T, KIM H D.Large eddy simulation of shock vector control using bypass flow passage[J].International Journal of Heat and Fluid Flow, 2016, 62:474-481. doi: 10.1016/j.ijheatfluidflow.2016.08.011
    [2]
    SHI J W, ZHOU L, WANG Z X, et al.Investigation on flowfield characteristics and performance of shock vector control nozzle based on confined transverse injection[J].Journal of Engineering for Gas Turbines and Power-Transactions of the ASME, 2016, 138(10):101502. doi: 10.1115/1.4033140
    [3]
    刘辉, 邢玉明.燃气喷射推力矢量喷管气固两相流数值模拟[J].航空动力学报, 2013, 28(1):151-157.

    LIU H, XING Y M.Numerical simulation of gas-particle flow in hot gas injection thrust vector nozzle[J].Journal of Aerospace Power, 2013, 28(1):151-157(in Chinese).
    [4]
    马伟, 杜刚, 金捷, 等.激波诱导矢量喷管动态数值模拟[J].燃气涡轮试验与研究, 2014, 27(5):30-37. doi: 10.3969/j.issn.1672-2620.2014.05.006

    MA W, DU G, JIN J, et al.Dynamic numerical simulation of shock vector control exhaust nozzle[J].Gas Turbine Experiment and Research, 2014, 27(5):30-37(in Chinese). doi: 10.3969/j.issn.1672-2620.2014.05.006
    [5]
    DEERE K A.Summary of fluidic thrust vectoring research conducted at NASA Langley Research Center: AIAA-2003-3800[R].Reston: AIAA, 2003.
    [6]
    WAITHE K A, DEERE K A.Experimental and computational investigation of multiple injection ports in a convergent-divergent nozzle for fluidic thrust vectoring: AIAA-2003-3802[R].Reston: AIAA, 2003.
    [7]
    DEERE K A, BERRIER B L.Computational study of fluidic thrust vectoring using separation control in a nozzle: AIAA-2003-3803[R].Reston: AIAA, 2003.
    [8]
    林飞, 王根斌.固体火箭发动机推力向量控制[M].北京:国防工业出版社, 1981:121-125.

    LIN F, WANG G B.Thrust vectoring control for solid rocket motor[M].Beijing:National Defense and Industry Press, 1981:121-125(in Chinese).
    [9]
    FAVRE A.Equations des gaz turbulents compressibles[J].Journal de Mechanique, 1965, 4:361-390.
    [10]
    MENTER F R.Two equation eddy viscosity turbulence models for engineering applications[J].AIAA Journal, 1994, 32(8):1598-1605. doi: 10.2514/3.12149
    [11]
    LIOU M S.Progress towards an improved CFD method: AUSM+: AIAA-95-1701[R].Reston: AIAA, 1995.
    [12]
    VAN LEER B.Towards the ultimate conservative difference scheme V:A second order sequel to Godunov's method[J].Journal of Computational Physics, 1979, 32(1):101-136.
    [13]
    YOON S, JAMESON A.Lower-upper symmetric Gauss-Seidel method for the Euler and Navier-Stoker equations[J].AIAA Journal, 1988, 26(9):1025-1026. doi: 10.2514/3.10007
    [14]
    ASO S, OKUYAMA S, KAWAT M, et al.Experimental study on mixing phenomena in supersonic flows with slot injection: AIAA-91-0016[R].Reston: AIAA, 1991.
    [15]
    刘辉, 邢玉明, 额日其太.气体二次喷射矢量喷管三维流场计算[J].北京亚洲成人在线一二三四五六区学报2009, 35(10):1174-1178.

    LIU H, XING Y M, ERIQITAI.Computation of three-dimensional flow field in secondary gas injection for thrust vectoring nozzle[J].Journal of Beijing University of Aeronautics and Astronautics, 2009, 35(10):1174-1178(in Chinese).
    [16]
    DEERE K A.Computational investigation of the aerodynamic effects on fluidic thrust vectoring: AIAA-2000-3598[R].Reston: AIAA, 2000.
  • 加载中

Catalog

    通讯作者: 陈斌, bchen63@163.com
    • 1. 

      沈阳化工大学材料科学与工程学院 沈阳 110142

    1. 本站搜索
    2. 百度学术搜索
    3. 万方数据库搜索
    4. CNKI搜索

    Figures(9)  / Tables(4)

    Article Metrics

    Article views(1054) PDF downloads(775) Cited by()
    Proportional views
    Related

    /

    DownLoad:  Full-Size Img  PowerPoint
    Return
    Return