2017 Vol. 43, No. 1

Display Method:
Volume 43 Issue12017
iconDownload (40077) 1097 iconPreview
Chitosan/polylactic acid composites prepared by emulsion freeze-drying technique
HUANG Tianhui, GUO Xiaolin
2017, 43(1): 1-6. doi: 10.13700/j.bh.1001-5965.2016.0051
Abstract:

The combination between hydrophilic extracellular matrix polysaccharides and hydrophobic aliphatic polyesters is a challenge in the biomaterial field. Here we investigated the formation of chitosan/polylactic acid (CS/PLA) composites using a novel emulsion freeze-drying technique, in which CS solution, CH3 in PLA solution and Tween80 were used as water phase, oil phase, and surfactant, respectively. FTIR revealed that there are strong hydrogen bond interactions between CS and PLA. The composites showed well interconnected pore structure and homogenous distribution of CS and PLA as the PLA volume fraction was not higher than 50% by SEM observation. The porosity of the CS/PLA composites was in the range of 85%-90% and showed slight decrease with increasing PLA dose. When the PLA contents increased from volume fraction of 25% to 75%, the compressive strength of the composites increased from 0.20 MPa to 0.33 MPa, while the compressive modulus increased from 2.84 MPa to 4.83 MPa. The successful CS/PLA amphiphilic composites offer a novel strategy for biomaterial design and configuration.

Sliding mode control algorithm with high-precision position tracking based on adaptive gain schedule
YANG Yi, QIN Shiyin
2017, 43(1): 7-17. doi: 10.13700/j.bh.1001-5965.2016.0037
Abstract:

One of the most important factors to depress the accuracy of position tracking is the internal and external uncertainties always existing in the system. Due to its strong robustness, sliding mode control can effectively eliminate the impact of uncertainties yet with the trouble named chattering. Therefore, reducing the chattering is the key to improve the accuracy of position tracking in sliding mode control system. This paper proposes an error guided adaptive gain schedule, in which the equivalent principle is employed to schedule the gain by judging whether the sliding mode is established or not. Furthermore, the changing rate of the gain is guided by the tracking error; hence the response speed can be improved by reducing the time lag produced by the low pass filter which is used to obtain the equivalent output of switching function. Theory proof and simulation results show that the gain schedule can accelerate convergence of sliding variable before sliding mode is built, and then after sliding mode is built, it can reduce the chattering by decreasing the value of gain to be close to the absolute value of uncertainty in finite time so as to improve the tracking accuracy. Moreover, the comparative experiment results of position tracking on DC torque motor servo system display that the proposed algorithm is advantageous to obtain higher tracking accuracy by scheduling the gain of switching function appropriately.

Dynamic extraction of stochastic error coefficients for gyro based on TheoH variance
ZHU Zhanhui, WANG Lixin, CHEN Weifeng, XUE Liang
2017, 43(1): 18-25. doi: 10.13700/j.bh.1001-5965.2016.0048
Abstract:

To solve the problem that the confidence on the estimate is poor when the dynamic Allan variance is used to analyze stochastic error of gyro, due to the reduced amount of data captured by the truncation windows, a new algorithm based on high confidence and hybrid theoretical variance (TheoH variance) is proposed. The Allan variance which is used to analyze the data in the truncation windows is replaced by TheoH variance in the proposed dynamic algorithm. The problems that the averaging time calculated with Allan variance is half of total data length and the confidence decreases at long-term averaging time are perfectly solved, the correlation time of the calculation can reach 3/4 of the total time of data, and the defect that the confidence level of the error coefficient estimates decreased is effectively improved, which is caused by the dynamic algorithm data interception. The measured data of dynamic test for optical gyroscope and simulation data are analyzed with the proposed algorithm and dynamic Allan variance. The results show that the proposed algorithm can describe the non-stationary of gyroscope more effectively and greatly improve the confidence of variance estimation at middle-term and long-term correlation time.

An improved constant-frequency digital hysteresis current control strategy
SHAO Yunbin, FU Yongling, GUO Jianwen, YANG Rongrong
2017, 43(1): 26-35. doi: 10.13700/j.bh.1001-5965.2016.0002
Abstract:

An improved constant-frequency digital hysteresis current control strategy (HCCS) was introduced for high-power 20 kW brushless DC motor used in airborne integrated electrical hydrostatic actuator (EHA). In this control strategy, by the modeling of phase current using PWM_ON modulation mode and analysis of different types of current control strategy, a quasi-constant-frequency HCCS with simple implementation, inherited stability and over current protection capability was designed by improving the hybrid HCCS integrating the triangular carrier based control strategy and HCCS. Furthermore, completely constant-frequency was obtained by applying digitalized implementation and digital processing rules. Simulation and experiment show that this strategy can achieve constant switch frequency of power electric component and high frequency response of current loop in high power brushless DC motor simultaneously. This will provide a new approach for the high performance control of brushless DC motor.

Optimization method of multi-echelon system equipment configuration under unsteady state and multi-constraint
CAI Zhiming, JIN Jiashan, CHEN Yanqiao
2017, 43(1): 36-46. doi: 10.13700/j.bh.1001-5965.2016.0004
Abstract:

Some related questions in system equipment configuration under unsteady state and multi-constraint are discussed. First, taking the very low utilization rate of escort equipment in the waters off Somalia as study background, the paper presents the solution to base and central warehouse spare parts demand rate. Second, the factors of three constraints are calculated by using the edge effect method and Lagrange multiplier method. Then, four projects of multi-echelon system equipment configuration are built according to whether considering the cannibalization or lateral transshipment policy. Finally, the results of four projects are comparatively analyzed, and numerical projects show that an indicative reference can be provided for decision-makers to make up warship formation equipment configuration projects in peace and war time.

Parafoil aerodynamic deformation simulation based on cable-membrane finite element model
WANG Longfang, HE Weiliang
2017, 43(1): 47-52. doi: 10.13700/j.bh.1001-5965.2016.0017
Abstract:

The fluid-structure coupling deformation of the parafoil was numerically simulated under steady condition. The finite volume method was used to compute the aerodynamic load, and the effect of leading-edge cut and ribs on the pressure distribution was analyzed simultaneously. Nonlinear cable-membrane finite element model was established based on the large displacement-small strain characteristics of parafoil structure. Canopy was modeled by membrane element which was unable to bear bending moment, and ropes and reinforcing tapes were modeled by cable element which could only bear uniaxial tension. The deformation relative to ideal configuration and stress distribution of parafoil were simulated on aerodynamic load. The results show that the span decreases compared with design value in flight, the maximum thickness of airfoil profile increases after bumps appear, and extra angle of attack and sweepback arise from canopy deformation; the maximum equivalent stress is mainly concentrated around holes and rope joints of ribs, and reinforcing tapes must be arranged properly in order to satisfy the strength requirements.

Adaptive noise covariance PHD filter under nonlinear measurement
YUAN Changshun, WANG Jun, XIANG Hong, WEI Shaoming, ZHANG Yaotian
2017, 43(1): 53-60. doi: 10.13700/j.bh.1001-5965.2016.0034
Abstract:

Probability hypothesis density (PHD) filter has been demonstrated to be an effective approach for multi-target tracking in real time. However, these methods based on the PHD filter assume that the measurement noise covariance is known as a priori. This is unrealistic for real applications because it may be previously unknown or its value may be time-varying as the environment changes. To solve this problem, an adaptive noise covariance algorithm for multi-target tracking under the nonlinear measurement is proposed. Based on the PHD filter, the proposed algorithm employs the cubature Kalman (CK) technology to approximate the nonlinear model, models the noise covariance distribution as inverse Wishart (IW) distribution, and recursively estimates the joint posterior density of the measurement noise covariance and multi-target states by the variational Bayesian (VB) approach. The simulation results indicate that the proposed algorithm could effectively estimate measurement noise covariance, and achieve the accurate estimation of the target number and corresponding multi-target states.

Parameter design method on a differential piston warm gas self-pressurization system
FANG Zhongjian, LIU Lie, LIANG Guozhu
2017, 43(1): 61-70. doi: 10.13700/j.bh.1001-5965.2016.0068
Abstract:

This paper studies the working principle of the differential piston warm gas self-pressurization system of liquid attitude and divert control engines working with monopropellant-hydrazine, based on which a parametric design method and the corresponding design process of the system parameters are presented. New models of the system starting pressure and system self-locking state are also introduced. A case study is carried out and results show that the minimum system starting pressure is directly related to the initial volume of the gas chamber, the friction force of the piston, and the initial volume of the air cushion of the propellant tank; the design state of the propellant tank pressure after the system self-locking is constrained by the upper pressure deviation allowed by the propellant tank and the pressure drop between liquid regulator and propellant tank; the range of working pressure of the propellant tank can be guaranteed by the design of the pressurization system.

Fast simulation on rigid multibody dynamics for vehicular cold launch systems
YAN Panyun, LIANG Guozhu, LYU Yongzhi, QI Zhihui, WANG Xi
2017, 43(1): 71-78. doi: 10.13700/j.bh.1001-5965.2016.0071
Abstract:

In order to meet the rapid analysis requirements of launch dynamics, the absolute coordinates method of rigid multibody dynamics was used to fit the characteristics of complex constraints and changing topological structure of the vehicular launch systems. A fast simulation model with nine degrees of freedom was established and applied for typical vehicular cold launch systems. By comparing with ADAMS and ABAQUS, it shows that the maximum deviation of the loads of the rear outrigger is less than 4%, the consumed time is 7.1% of ADAMS and 0.004% of ABAQUS, and the current simulation model is effective and convenient to simulate the system dynamic characteristics. An actual example was adopted to investigate the dynamic characteristics of the load ratio of launch tube base-chassis outrigger and the influences on the average load ratio and the maximum displacement of launch tube mouth from an adjunctive load distribution factor. The results show that the load ratio of launch tube base-chassis outrigger increases gradually and then keeps constant approximately in the ejecting process, the adjunctive load distribution factor determines the load distribution proportions between the launch tube base and chassis outrigger by which the interior ballistic pressure load in the tube is transmitted to the ground, and the most suitable adjunctive load distribution factor exists which makes the disturbance on the system caused by missile ejection motion least.

Location method of near distance electromagnetic radiation source based on compressive sensing
GU Xiaopeng, XIE Shuguo, HAO Xuchun
2017, 43(1): 79-85. doi: 10.13700/j.bh.1001-5965.2016.0074
Abstract:

A locating method of near distance electromagnetic radiation source is proposed in this paper. To avoid the disadvantages of complexity, high hardware cost and large volume of the conventional multi-channel array system, a single antenna motion virtual array system is proposed to realize the function of the near-field location. On the basis, the sparsity of the radiation source in the spatial position of the measured area is proposed. The number and position of the radiation sources are reconstructed with less sampling data by using the non-stop motion sampling and the compressive sensing method. The sampling data quantity is reduced under the premise of ensuring the location accuracy, and the error effect caused by the time delay of the multiple sampling in every array element is eliminated. The feasibility of the method is verified by simulation. Then the system is designed for the actual test and good results have been achieved in the experiment.

Improvement of airfoil turbulent trailing-edge noise semi-empirical prediction formulation
BAI Baohong, LI Xiaodong
2017, 43(1): 86-92. doi: 10.13700/j.bh.1001-5965.2016.0076
Abstract:

The traditional BPM semi-empirical prediction airfoil turbulent boundary layer trailing edge noise was improved. The traditional BPM semi-empirical prediction formulation overpredicts the spectra in high frequency range at high angle of attack or for thick airfoil. It is found that it was mainly caused by the overestimation of the noise contribution from pressure side source through the analysis and comparison between the traditional BPM semi-empirical prediction formulation and Howe's trailing-edge noise theoretical model. Then the ratio of noise contribution from suction side and pressure side source is improved to the square power of boundary displacement thickness rather than the one power appeared in the traditional BPM semi-empirical prediction formulation. The improved BPM semi-empirical prediction formulation is employed in the airfoil turbulent boundary layer trailing-edge noise prediction, which shows that better results can be obtained from the improved BPM semi-empirical prediction formulation for NACA0012 airfoil at high angle of attack. The prediction for wind turbine airfoil DU-96-W-180 is improved significantly by improved BPM semi-empirical prediction formulation.

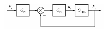
Force based impedance control of electro-hydrostatic actuator
ZHOU Guozhe, FU Yongling, QI Haitao, YANG Rongrong, FAN Dianliang
2017, 43(1): 93-99. doi: 10.13700/j.bh.1001-5965.2016.0094
Abstract:

As a kind of compliance control method, impedance control can realize force and position coordination control. So it has obvious advantages in the applications that the actuating systems are required to interact with the environments. Because of high energy efficiency and compact structure, electro-hydrostatic actuator (EHA) with force based impedance control has an extensive prospect. The force controller of EHA is the foundation of the impedance control. Due to the uncertain external load characteristics in impedance control and the time-invariant parameters of EHA, the quantitative feedback theory (QFT) was employed to design the force controller. The mathematical model of EHA was analyzed first. Then the uncertainty range of the controlled plant was combined with the performance specifications of the system to quantitatively plot the boundaries on the Nichols chart. The open-loop frequency characteristic curve of the nominal element was adjusted to satisfy the limitations of boundaries and the force controller was completed simultaneously. The force control and static/dynamic impedance control experiments under various load characteristics were conducted to examine the efficacy of the system. The experimental results demonstrate that the force controller designed by QFT method has sufficient robustness and the impedance control of EHA is achieved successfully.

Influence of EUT radiated emission testing location on test results
LYU Dongxiang, SU Donglin
2017, 43(1): 100-106. doi: 10.13700/j.bh.1001-5965.2016.0121
Abstract:

In order to improve the measurement precision and reduce the influence of equipment under test (EUT) electromagnetic radiated emission testing location on test results in electromagnetic capatibility (EMC) semi-anechoic chamber, this paper studies the influence law on electromagnetic signal radiation emission testing of semi-anechoic chamber typical resonance frequency for different testing locations of semi-anechoic chamber. The research is modeled, simulated and calculated by geometrical optics, consistency of diffraction theory and multipath effect algorithm. The math model and computational formulas are proposed, besides, the influence of direct field is eliminated in the math model. The electromagnetic propagation effects of reflection, refraction and multipath effect in the testing are comprehensively considered. The calculation results of math propagation model and actual testing model that eliminate the influence of direct field are compared. The results verify the effectiveness of math model. This research supplies theory basis for correcting the results of electromagnetic radiation emission testing in different positions of semi-anechoic chamber, which is also helpful to improving the measurement precision of electromagnetic radiation emission testing in semi-anechoic chamber.

Influence of opening ratio on acoustic damping of orifice injector
AN Honghui, NIE Wansheng
2017, 43(1): 107-112. doi: 10.13700/j.bh.1001-5965.2016.0039
Abstract:

According to the length and the inlet boundary conditions of injector, the gas-liquid coaxial injectors of liquid rocket engine are simplified into four categories:1/4 wavelength closed tube, 1/2 wavelength closed tube, 1/4 wavelength open tube and 1/2 wavelength open tube. Linear acoustics is adopted to analyze the influence of the inlet opening ratio on the acoustic damping capability of the injector in order to obtain the law of the acoustic influence of opening ratio. It is found that the inlet opening rate has a very different effect on the damping capability of the injector under the conditions of standard length and optimal length. The damping capability can be greatly improved if the inlet opening rate and the length of the injector are chosen reasonably. The research results can provide reference for the optimum design of the length and inlet jet of the injectors, and acoustic damping of the combustion chamber.

Micro-Doppler resolution of multi-ballistic targets in midcourse
WANG Yizhe, FENG Cunqian, LI Jingqing, MENG Fanjie
2017, 43(1): 113-120. doi: 10.13700/j.bh.1001-5965.2016.0038
Abstract:

To solve the problems of overlapping and difficult separation of micro-Doppler information of multi-ballistic target echo in narrow-band radar, a novel method based on auction algorithm and wavelet analysis is proposed to separate micro-Doppler of multi-ballistic targets. First, based on the sliding scattering model, the time-frequency skeleton is obtained by preprocessing. Then, the path length is defined by variation rules of Doppler and estimated precession period. The shortest paths corresponding to Doppler curves are extracted by auction algorithm. Finally, micro-Doppler resolution of multi-ballistic targets is realized after translational motion compensation by wavelet analysis. Simulation results indicate that the method can solve path selection problems well in intersection region, and is suitable for various forms of micro-motion.

Rapid coarse alignment for marching vehicle based on GPS and odometer
TA Gaoming, SONG Lailiang, RAN Longjun
2017, 43(1): 121-127. doi: 10.13700/j.bh.1001-5965.2016.0053
Abstract:

Aimed at vehicle-mounted strap-down inertial navigation system (SINS), a rapid coarse alignment method for marching vehicle is proposed. The matrix between navigation frame and body frame is decomposed into three parts. The problem to solve the matrix between navigation frame and body frame is attributed to solving the matrix between initial body frame and inertial frame, which can be obtained by the non-colinear vectors constructed with the vehicle's velocity from GPS in navigation frame and that from odometer in body frame. The only requirement of this alignment method for marching vehicle is a turning movement in the alignment stage. Compared with the existing alignment methods, this method does not use the measurement information of accelerometers. The simulation results show that the coarse alignment can be fulfilled in 1 minute, and the alignment error is less than 0.3° with low accuracy gyros whose zero bias is 0.1(°)/h.

Effect of angle of slit on shedding vortex of slotted circular cylinder
LIU Zhirong, ZOU He, LIU Jinsheng, BAO Feng, ZHU Rui
2017, 43(1): 128-135. doi: 10.13700/j.bh.1001-5965.2016.0058
Abstract:

Vortex shedding from a circular cylinder with a slit which belongs to the unsteady flow of bluff bodies has very strong application prospects. However, it is still difficult to fully understand the complex flow phenomenon. Using flow visualization and particle image velocimetry (PIV) measurement, we explored the influence of a slit on the flow field structure. Adopting the method of proper orthogonal decomposition (POD), we reconstructed the flow field in the series of operations on PIV data. The experimental results show that the flow in the slit demonstrates periodic motion, and this oscillating vent-flow greatly alters the near wake flow features within a certain range of Reynolds number. Shedding vortex frequency of slotted cylinder has certain sensitivity with the angle of slit. The Strouhal number increases gradually with the increase of the angle, and the Strouhal number of slit ratio (slit/diameter) equals to 0.15 is more stable than that of slit ratio equals to 0.10.

Modeling and simulation of multi-axle vehicle powertrain system
BAI Jinyang, WU Xuelei, GAO Feng, LI Hongbiao, YUE Huijun
2017, 43(1): 136-143. doi: 10.13700/j.bh.1001-5965.2016.0708
Abstract:

In order to study the dynamic load characteristics, the multi-axle vehicle powertrain system dynamics simulation model was developed. First, the engine dynamic characteristic model was built by obtaining the cycle fuel injection quantity-rotate speed-torque MAP according to the load characteristic test data and establishing a fuzzy PI controller to adjust the cycle fuel injection quantity. Second, the transmission system was built with modeling of the torque converter, the simplified clutch model, the transfer case, the interaxle differential, the main reducer, the wheel-side reducer, etc. Finally, the multi-axle vehicle powertrain system dynamics simulation model was established in Simulink. The comparison results between simulation and test data show that the model effectively simulates the dynamic load characteristics and the speed characteristics.

Packet scheduling algorithm for mixed unicast and multicast traffic in CICQ switches based on Work-Conserving
LIANG Jiacheng, XIONG Qingxu, YAN Fulong, XIAO Han, ZHANG Yuanhao
2017, 43(1): 144-150. doi: 10.13700/j.bh.1001-5965.2016.0081
Abstract:

A new crossbar buffer balanced scheduling algorithm called multicast and unicast crossbuffer balance (MUCB) is proposed for combined input and crossbar queued (CICQ) architecture switches, which accommodates mixed unicast and multicast traffic. Different from the popular algorithms mainly based on traffic state such as queue length and/or waiting time, the proposed algorithm aims to make the switch operate in Work-Conserving state to the largest extent by balancing the occupancy of crosspoint buffers. In addition, to achieve high throughput and the scheduling fairness at the same time, the proposed algorithm considers enough the difference between unicast traffic and multicast traffic as well as the mutual influence relations of input scheduling and output scheduling in a CICQ switch. Simulation results demonstrate that under different proportions of multicast traffic, compared with the existing popular algorithms for a CICQ switch, MUCB algorithm can significantly improve the total performance in terms of throughput and average packet delay for the mixed unicast and multicast traffic.

Comparison of uncertainty in state equation based on probabilistic approach and interval analysis method
QIU Jingbo, REN Zhang, LI Qingdong, DONG Xiwang
2017, 43(1): 151-158. doi: 10.13700/j.bh.1001-5965.2016.0021
Abstract:

Based on the solution algorithm of state equation in modern control theory, analysis and comparison between interval analysis method and stochastic process are proposed to solve control system with uncertain but bounded parameters. After the definition and influence of uncertainty in engineering practice are known, the uncertain parameters were expressed in the forms of interval and stochastic process. To obtain the response of the system, uncertain variables are divided into the one related to initial condition and the other concerned in system input:zero input response and zero state response. According to extension principle of interval function in interval analysis and Chebyshev's inequality in probability and statistics theory, based on mathematical proof and numerical calculation, the problem of compatibility of using non-probabilistic interval analysis method and probabilistic approach is resolved. The results illustrate that with the uncertain input interval vector which is acquired by probabilistic approach, the system's response interval acquired by non-probabilistic interval analysis method contains the one obtained by probabilistic approach.

Maglev electromagnetic radial spherical magnetic bearing design
ZHAO Hang, MIAO Cunxiao, ZHANG Liyuan, HAN Tian, REN Yuan, FAN Yahong
2017, 43(1): 159-166. doi: 10.13700/j.bh.1001-5965.2016.0027
Abstract:

Due to the large interference torque of deflected cylindrical magnetic bearing, this paper designs a novel electromagnetic radial spherical magnetic bearing. When the spherical bearing deflects or offsets, the electromagnetic force will keep pointing to the center of the rotor, which can reduce the interference of the stator poles on the rotor torque and improve the control precision of the magnetic bearing. First, the working principle of the spherical magnetic bearing is illustrated and its mathematical model is established. By using the theory of equivalent magnetic circuit method and finite element numerical method, the current stiffness and displacement stiffness of the spherical bearing are calculated. The results of the two methods agree well with each other, indicating that the finite element model is reasonable. Then, the finite element method is used to analyze the interference torques when spherical magnetic bearings and cylindrical magnetic bearing deflect. The calculating results show that the interference torque of the spherical magnetic bearing is 1.8% that of the cylindrical magnetic bearing when rotor reaches the maximum deflection angle 0.3°, showing that spherical magnetic bearing relative to the cylindrical magnetic bearing has greatly improved in the ability of anti-interference torque. Finally, the interference torques of the spherical magnetic bearings with X and Z offsets are also analyzed, showing that the calculation results are quite to the deflection torque. Therefore, the designed electromagnetic radial spherical magnetic bearing has the advantage of low interference torque, and can be used for high-precision control and angular rate detection of inertial actuator in aerospace engineering.

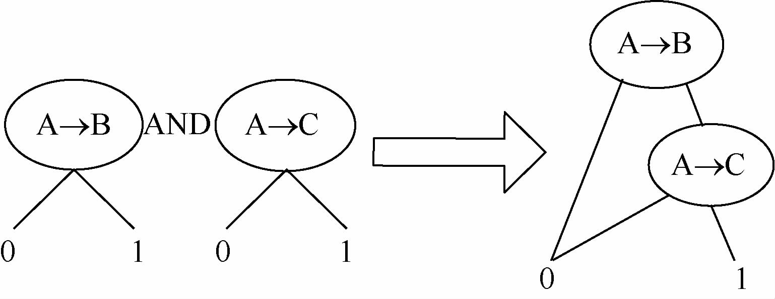
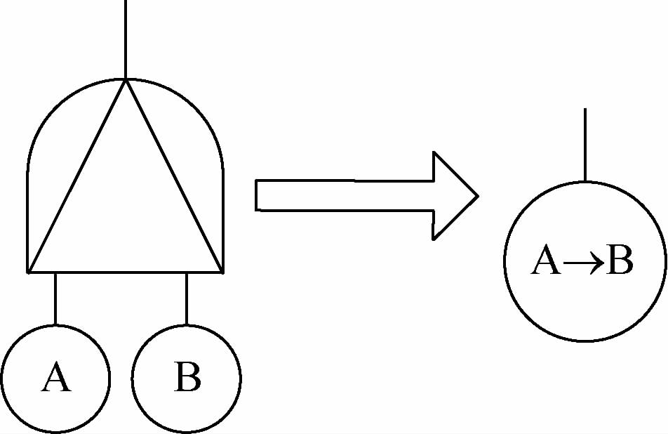
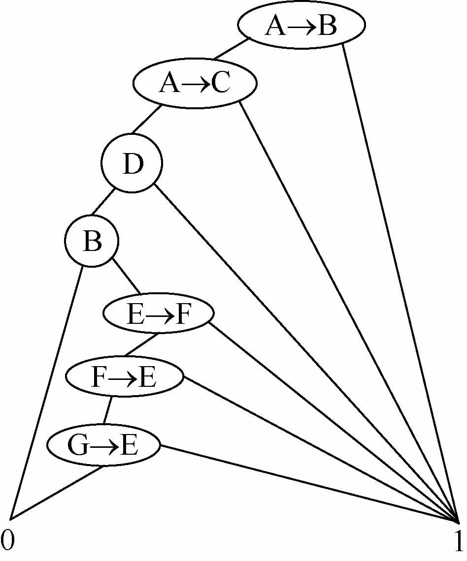
Dynamic fault tree analysis using sequential binary decision diagrams
LI Peichang, YUAN Hongjie, LAN Jie, CHENG Ming
2017, 43(1): 167-175. doi: 10.13700/j.bh.1001-5965.2016.0036
Abstract:

In order to solve the problem of the existing dynamic fault tree analysis method, such as state space explosion, low computational efficiency and limited application range, a method for dynamic fault tree analysis based on sequential binary decision diagram is proposed. First, dynamic logic gates are transformed into logic gates with sequential events. Next, sequential binary decision diagram model and Boolean operation with sequential events are presented. Then, failure paths of dynamic fault tree are obtained by sequential binary decision diagram and extensional Boolean operation. Finally, probability calculations for sequential events with multi-unit are deduced. With a certain ammunition as an example, considering the imperfect coverage problem, the dynamic fault tree is analyzed under the situations of exponential and non-exponential distribution. The results show that this method has the advantages of high efficiency, high accuracy and wide applicability, which provides a theoretical basis for the reliability analysis of complex dynamic systems.

Precision improvement method for serial robot localization based on a new calibration and compensation strategy
FAN Mingzheng, HAN Xianguo
2017, 43(1): 176-183. doi: 10.13700/j.bh.1001-5965.2016.0045
Abstract:

Before the localization operation, the serial robot position relationship between base coordinate system and measurement coordinate system needs to be demarcated. For the hidden robot base and flange coordinate systems of serial mechanism, a kind of equivalent transformation method is presented in this paper, which is combined with the application of the target-points coordinate measurement data at the end of the robot using laser tracker to establish the calibration matrix equation. Calibration equation can be transformed into the ternary quadratic matrix equation form by Rodrigo matrix. Then the matrix equation between the robot base and measurement coordinate systems can be solved by using least square method and Newton iteration method. This method is verified by calibration test and 20 groups of calibration results are obtained. The calibration results combined with a position compensation algorithm can greatly improve the localization precision of robot.

Wind tunnel test of gust alleviation active control for flying wing configuration aircraft
YANG Junbin, WU Zhigang, DAI Yuting, MA Chengji, YANG Chao
2017, 43(1): 184-192. doi: 10.13700/j.bh.1001-5965.2016.0079
Abstract:

Flying wing configuration aircraft is advantageous on the characteristics of stealth and aerodynamics, but due to lack of conventional elevator and rudder, gust alleviation control method for the aircraft with conventional configuration is not suitable anymore. For the flying wing configuration aircraft with large aspect ratio, a wind tunnel model, support system with two degrees of freedom of plunging and pitching, and gust generator which is capable of generating continuous sine gust are designed. Three control schemes that can simultaneously reduce wing tip acceleration and wing root bending moment are designed using classical control law theory. Wind tunnel test of gust alleviation active control is conducted and the open and closed loop test data are analyzed. Test data show that the wing tip acceleration and the wing root bending moment due to gust of flying wing aircraft have a large peak at the frequency of pitch mode, while the peak at the frequency of first bending mode is relatively small; for different combinations of control surface, the effects of gust alleviation are different; for flying wing configuration aircraft, selecting the appropriate combination of control surfaces can effectively reduce the gust load and gust response.

Sea surface oil spill detection method using BeiDou satellite reflected signal and its experiment
WU Jun, ZHANG Bo, HONG Xuebao, YANG Dongkai, HAN Mutian
2017, 43(1): 193-199. doi: 10.13700/j.bh.1001-5965.2016.0096
Abstract:

To monitor the oil spill situation in small-scale fixed sea area, a shore-based sea surface oil spill detecting method was developed using BeiDou reflected signal. This method applies/global navigation satellite system-reflection (GNSS-R) technology to shore-based oil spill detection. A shore-based experiment has been carried out, in which a right hand circular polarization (RHCP) antenna and a left hand circular polarization (LHCP) antenna were used to gain the direct and reflected raw signal power from the BeiDou satellites based on signal synchronization respectively. After BeiDou satellites' elevation angle and azimuth angle are taken into account, whether oil spill events happened or not can be judged from the retrieved dielectric constant of sea surface, which is obtained from the reflectivity calculated according to the extracted signal power values. Experiment results show that the mean and standard deviation of retrieved dielectric constant is 3.6 and 2.13 respectively on an oil covered surface, which is in accordance with real oil dielectric constant that falls between 2.0 and 4.5, and much smaller than dielectric constant of sea water. It proves that the method using BeiDou reflected signal is feasible to detect oil spill events in shore-based environment.

Calibration of reaction wheel torque measuring system based on wavelet methods
LIN Xia, BAI Tao, WU Guoqiang, XIONG Shujie, LIN Baojun
2017, 43(1): 200-206. doi: 10.13700/j.bh.1001-5965.2016.0054
Abstract:

It is a superior new closed-loop simulation method to introduce reaction wheels' real-time torque acquired by a torque measuring system into satellite semi-physical simulation. However, due to the sustained external torque introduced into the simulation closed loop, the semi-physical simulation could not run accurately in a long time. To solve this problem, with experimental data analysis, it was determined that the reaction wheel measuring system was the external torque interference source. Then, based on the wavelet threshold filtering method, we eliminated the initial bias by using the real-time wavelet filtering method and cancelled the process deviations by moving average method incorporating with wavelet de-noising method, and thus the measuring system can be calibrated accurately. Finally, with these methods applied, the satisfactory result was achieved in the semi-physical closed-loop simulation.