2017 Vol. 43, No. 2

Display Method:
Volume 43 Issue22017
iconDownload (38468) 1090 iconPreview
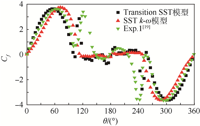
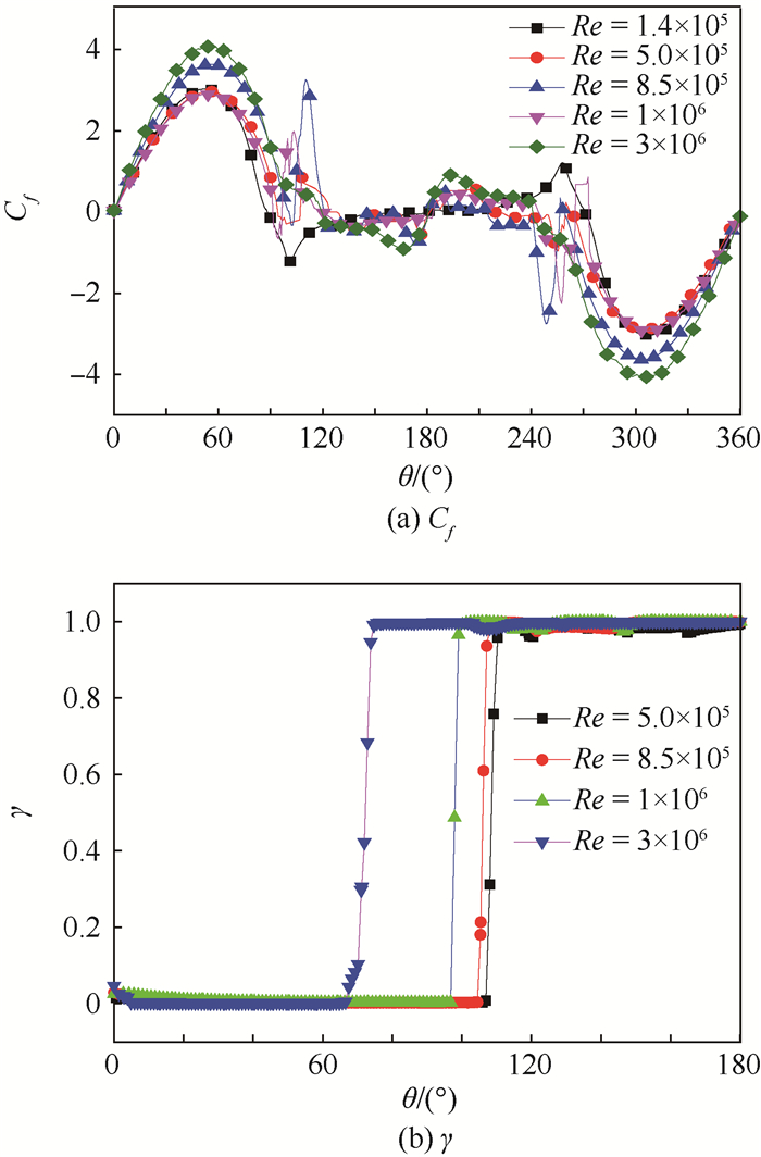
Numerical simulation for flow around circular cylinder at high Reynolds number based on Transition SST model
LEI Juanmian, TAN Zhaoming
2017, 43(2): 207-217. doi: 10.13700/j.bh.1001-5965.2016.0098
Abstract:

In order to study the boundary layer transition phenomenon and the flow characteristics of flow around circular cylinder at high Reynolds number, the experimental results and the results that are obtained by using the Transition SST model and the SST k-ω model were firstly analyzed at typical Reynolds number, and the advantages of the Transition SST model was verified at high Reynolds number. Meanwhile, the boundary layer transition phenomenon and the flow characteristics were more accurately predicted. Then, the numerical simulations were performed in subcritical, critical, supercritical and over critical regions. The variation of flow field structure and the friction coefficient curve was analyzed under the different Reynolds number. The flow characteristics, flow mechanism of boundary layer transition, and variation of transition positions were studied. Results show that the boundary layer separates laminarly, and the flow does not form a separation bubble and transition phenomenon in subcritical region; in critical and supercritical region, the flow forms a separation bubble, and ultimately turbulent separation happens after transition occurs with the flow; in over critical region, the boundary layer separates turbulently after transition occurs with the flow, and the flow does not form a separation bubble; the more the Reynolds number is, the closer the transition position is to the front stagnation point of cylinder in critical, supercritical and over critical region.

Experimental analysis on infrared temperature measurement of flue gas covering surface
ZHONG Wanli, WANG Wei, LIN Jiedong, ZHANG Biao, XU Chuanlong
2017, 43(2): 218-223. doi: 10.13700/j.bh.1001-5965.2015.0795
Abstract:

Radiative participant flue gas has important influence on the infrared surface temperature measurement of flue gas covering surface. According to the characteristic of the sample temperature distribution measured by an infrared CCD camera, a simplified one-dimensional model of infrared surface temperature measurement is established. Based on the simplified model, the detected infrared temperatures at different thickness of flue gas and surface temperature of sample are analyzed using source multi-flux method. Finally, a muffle furnace is used to heat the measured surface, and a vibrating screen is used to simulate flue gas covering environment. An infrared temperature measurement system is built for flue gas covering surface. The analytical model of source multi-flux is verified by the experiments, and the measured temperature by the experimental has a good agreement with the predicted temperature by the analytical model. The idea of modification for the infrared temperature measurement by inverse method is proposed.

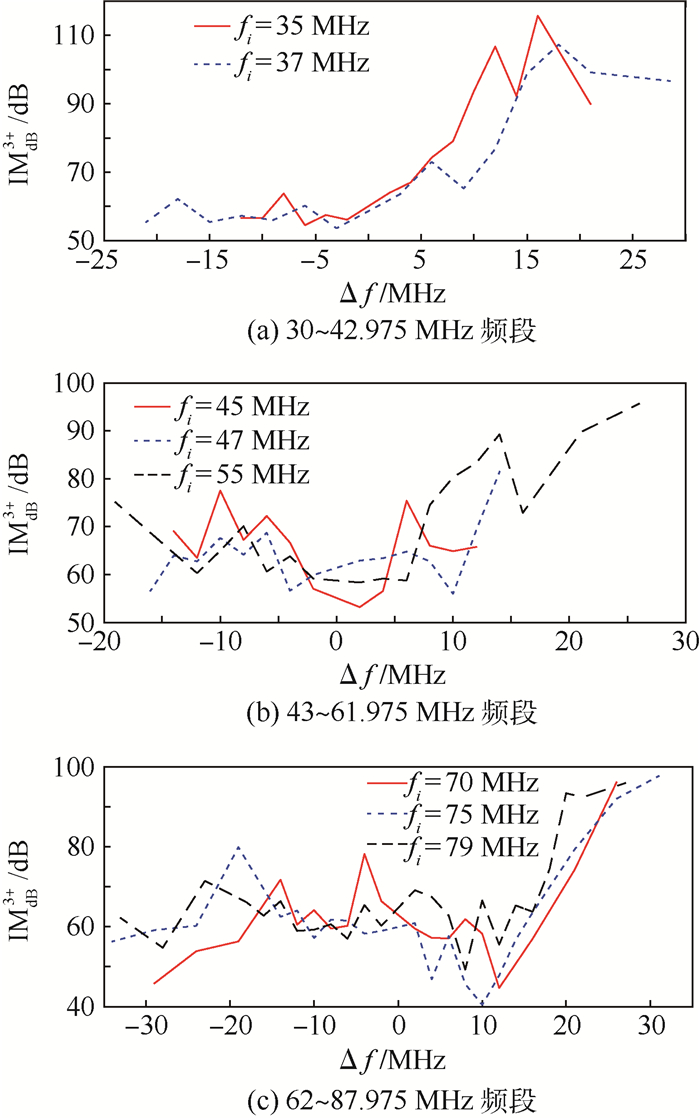
Intermodulation attenuation ratio test methods for VHF/UHF band transmitters
SU Donglin, HE Hongtao, GENG Lifei, FAN Qiuhu
2017, 43(2): 224-232. doi: 10.13700/j.bh.1001-5965.2016.0150
Abstract:

The simplified model of transmitter RF circuit was established. Using this model and the nonlinear polynomial model, we studied the relationship of transmitter intermodulation (IM) level between the insertion loss of RF filter, the power and the frequency offset of interference signal. According to results of the theoretical analysis, we found the imperfection of the definition of current transmitter IM attenuation ratio, and also propounded the new definition. We analyzed the limitation of the transmitter IM attenuation ratio test method. In order to get more accurate test data of transmitter IM level, we designed the new configuration of transmitter IM level test link. A new test method was proposed after analyzing the relationship between key physical parameters of the link. We provided the processing model of test data. The new method expands the frequency test band, relaxes the restrictions of transmitter power, and reduces the performance requirement of test device. The new method was used in IM test of a substantial broadcasting station, the test result and the theory analysis are validated, and the rationality and accuracy of the test methods are proved.

Effect of plasma on combustion characteristic of fuel gas in afterburning chamber
HONG Yanji, ZHANG Peng, SHEN Shuangyan, XU Xu
2017, 43(2): 233-239. doi: 10.13700/j.bh.1001-5965.2016.0146
Abstract:

In order to study the influence of plasma on the combustion characteristic of multicomponent fuel gas in the ramjet chamber, a multicomponent fuel gas supply system and a diffusion combustion experimental model based on the ramjet, which can exclude the mixing effect of intake air on the fuel gas, are designed and built. The main active particles produced by discharge plasma torch are analyzed with emission spectrometry; the flame combustion photos of multicomponent fuel gas is taken to analyze the influence of plasma on the flame shape; the total pressure and static pressure on four different cross sections of the afterburning chamber are measured to analyze the combustion efficiency of fuel gas under the influence of plasma. The results show that the main excited particles of N2 and O2 are generated with excitation of plasma; under the active particles of plasma, and the flame length in the scramjet nozzle becomes shorter, which means that multicomponent fuel gas can burn more completely with plasma; the abrupt increase in the total pressure and static pressure appears when plasma is working, which shows that the combustion efficiency of multicomponent fuel gas in the ramjet increases with plasma too, and the combustion efficiency increases with the growth of discharge plasma power.

Performance comparison of accelerating duct and decelerating duct
HU Jian, WANG Nan, HU Yang
2017, 43(2): 240-252. doi: 10.13700/j.bh.1001-5965.2016.0140
Abstract:

In order to study the loading characteristics of different forms of ducted propellers, this paper analyzes the hydrodynamic performance of accelerating duct and decelerating duct and their influences on propellers by using computational fluid dynamics (CFD) method. The computation domain is divided into two parts:cylindrical domain containing the propeller and outer domain containing the duct. The computation domain is discretized by using fully structured gridding technique to optimize the quality of grids and improve the accuracy of calculation. The continuity of physical quantities such as fluid velocity and pressure between different domains is guaranteed by using the interface technique. This paper analyzes the hydrodynamic performance of JD7704+Ka4-5508 first, and the according results are compared with those by experiments to verify the rationality of the model and the grids technique. On this basis, this paper analyzes the hydrodynamic performance of accelerating duct and decelerating duct with varied cambers and angles of attack, and their influences on the loading state of propellers. The study shows that the accelerating duct and decelerating duct due to the variation of the cambers and angles of attack have different hydrodynamic performance, and they can optimize the propeller's operating conditions and loading characteristics greatly.

Measurement method of bubble behavior by optical probe in gas-liquid bubble column reactor
HE Guangxiang, GUO Xiaoyan, YANG Suohe, JIN Haibo
2017, 43(2): 253-259. doi: 10.13700/j.bh.1001-5965.2016.0149
Abstract:

Gas holdup, bubble velocity and bubble chord length in gas-liquid bubble column reactor were measured by using optical probe and conductive probe. It was shown that optical probe has rapid and marked step response to bubbles. When the probe signal data are converted into square wave, the ratio of the sampling points in gas phase to the total sampling points is the local gas holdup. Radial integral of local gas holdup is average gas holdup. Comparison among the gas holdups measured by pressure difference, optical probe and conductive probe shows that optical probe is more accurate than conductive probe. Modified optical probe was applied to gas-liquid bubble column reactor with high temperature, high pressure and organic solvent system. The radial profile of gas holdup was in the shape of parabolic. Gas holdup was lower at center and wall, higher at two-fifth of the radius. These shows that optical probe is suitable for the measurement of bubble behavior in high temperature, high pressure, organic system.

Research and implementation of ontology modeling and retrieval technology of MBD model
YU Yong, GU Li, YIN Pu, ZHAO Gang
2017, 43(2): 260-269. doi: 10.13700/j.bh.1001-5965.2016.0123
Abstract:

An MBD model knowledge representation and management method based on ontology technique is proposed to meet the reuse requirement of MBD history model data designed in the product full three-dimensional digitalization development, and retrival test is done considering geometric and non-geometric information. First, we construct ontology structure based on the normative requirement of MBD dataset and the purpose of model retrieval, and divide it into geometry feature layer and engineering note layer in detail. Second, the similarity comparison method of two layers is given based on the ontology structure. Finally, MBD model retrieval is completed based on geometric and non-geometric information.The proposed method uses the ontology theory as its basis, achieving structural and semantic expression and storage of MBD dataset, and thus it is capable of achieving the reuse of MBD model information by similar model retrival based on both geometric and non-geometric information.

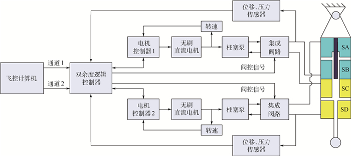
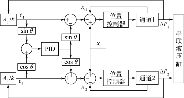
Force equalization control for dual-redundancy electro-hydrostatic actuator
QI Haitao, TENG Yating
2017, 43(2): 270-276. doi: 10.13700/j.bh.1001-5965.2016.0133
Abstract:

With the development of key technologies about more/all electric aircraft, electro-hydrostatic actuator (EHA) is widely applied in aircraft actuation system. Dual-redundancy electro-hydrostatic actuator (DREHA) is easy to realize effortless redundancy design, and improve the reliability of its use in aircraft. The structure of a novel DREHA is presented, and then the working principle and the intrinsic force fighting phenomenon are analyzed. Ideally, the force fighting disappears by flow compensation. Simulating model cannot be identical with the actual DREHA system completely, so the parameter error is set factitiously in model, and a big force fighting is observed again. Aimed at the phenomenon of force fighting, force difference compensation control and cross-coupling control are proposed to eliminate force fighting based on the pressure of two channels. The results of co-simulation based on MATLAB and AMESim indicate that the controller designed to eliminate force fighting can strongly decrease the amplitude of force fighting and improve the system response speed greatly.

Activity planning method for Chang'E-3 “Jade Rabbit” rover
GAO Wei, CAI Dunbo, ZHOU Jianping, GAO Yuhui, YIN Minghao
2017, 43(2): 277-284. doi: 10.13700/j.bh.1001-5965.2016.0572
Abstract:

To enable the "Jade Rabbit" rover to plan fast in a dynamic work environment on the lunar surface, an activity planning model called temporal planning with dynamic duration and dynamic effect (TPDD&DE) was developed based on the automated planning technology of artificial intelligence. This model extends temporal planning to incorporate external computing procedures and to support durations of actions to be determined dynamically. To describe tasks of TPDD&DE, an extension of the planning domain definition language(PDDL), called PDDLDD&DE, was designed. A planning system that is based on the heuristic state space search framework was developed to solve the planning problem. By utilizing the "proposition Landmarks analysis" technique, we designed a heuristic function that accounts for reasonable orderings of actions' preconditions and is capable of getting better goal distance estimates for states. With the successful completion of Chang'E-3 mission, the proposed method played a key role in supporting the "Jade Rabbit" rover to fulfill its exploration tasks on the moon.

An improved interpolation method for hybrid overset grid and its application
HUANG Yu, YAN Chao, WANG Wen, XI Ke
2017, 43(2): 285-292. doi: 10.13700/j.bh.1001-5965.2016.0114
Abstract:

For overset grid, reasonable interpolation between grids is one of the bases to ensure correct calculation of flow fields. In this paper, a new interpolation method for hybrid overset grid is presented, which focuses on the elimination of interpolation error coming from the grids mismatch at the intergrid boundary. With the combination of second order accuracy interpolation and proper selection and expansion of interpolation template by grid size, the interpolating accuracy of the cases with poor overset grids matching is improved. The presented method is suitable for arbitrary polyhedral grid and easy to be implemented. Compared with original method, numerical tests show that the presented method interpolates flow field variables with less dissipation when bad grids matching happened at the intergrid boundary, the variable contour at the intergrid boundary is smoother, and computational results agree more with the experimental data.

Design and implementation of a novel high-voltage power supply in electron beam welding machine
FAN Jikang, QI Bojin, LIU Fangjun, ZHANG Wei, QI Qin, WANG Haitao
2017, 43(2): 293-300. doi: 10.13700/j.bh.1001-5965.2016.0072
Abstract:

Traditional high-voltage power supply of electron beam welding machine has complicated circuit and huge volume. For improving the property of electron beam welding machine, a novel 60 kV/100 mA high-voltage power supply is developed in this paper. First, the three-phase electric is rectified to 540 V DC voltage. Then The voltage regulator circuit part adopts a full-bridge direct current converter controlled by pulse width modulation (PWM) method to regulate the 540 V DC voltage to adjustable 0-500 V DC voltage. A full-bridge inverter is used to change the DC voltage to 20 kHz AC voltage. Cascade-connected transformers and voltage doubling rectifiers are employed in the high voltage circuit part to achieve the 60 kV high-voltage output. In order to make the high-voltage output more stable, the double closed-loop control system based on proportion integration differentiation (PID) is adopted in the control circuit part. A high-voltage testing platform is established to measure the assembled high-voltage power supply and the test results show that the power supply has stable output voltage and high control accuracy. The ripple factor and stability are all in the 1% range, which can meet the requirement of electron beam welding machine.

Mathematical simulation and evaluation for lateral-directional static stability airworthiness compliance of civil aircraft
CHEN Junping, WANG Lixin
2017, 43(2): 301-310. doi: 10.13700/j.bh.1001-5965.2016.0119
Abstract:

According to the requirements of airworthiness standards for lateral-directional static stability of civil aircraft, an assessment method is proposed based on the pilot-aircraft closed-loop mathematical simulation and calculation. Quantitative assessment criteria are set up considering the requirement of the specific airworthiness clause. Nonlinear aircraft system model and pilot control model are established and synthesized to simulate the specific flight mission such as steady-state linear sideslip flight. An assessment of airworthiness compliance is made by comparing simulation results with the criteria. By using the method, the airworthiness compliance of a civil aircraft is assessed and the reasonable ranges of the two lateral-directional static stability derivatives are accurately determined. This method can be applied to the preliminary design phase of civil aircraft and the calculation results offer theoretical references for flight tests.

Tensile test and numerical simulation for satin weave composite fastener
BIAN Tianya, GUAN Zhidong, LIU Faqi
2017, 43(2): 311-318. doi: 10.13700/j.bh.1001-5965.2016.0137
Abstract:

Detailed sizes of threads in the satin weave composite fastener have reached the meso scale. It is not accurate to simulate the real failure mode if the uniform material is applied to the thread in the process of numerical simulation. For this problem, the finite element model of the fastener thread is established by stacking several layers of simplified satin weave composite meso-structure representative volume elements, which results in that the model includes essential fiber region and matrix region. Numerical simulation for the tensile test of thread model is carried out. Based on the failure criterion of each component material, prediction on the damage force of fastener is achieved. Tensile test for the satin weave carbon/carbon composite single thread fastener are accomplished. Good agreement between simulated failure mode and real damage mode is observed and the error of damage forces between the both methods is 5.17%, which verifies the rationality of the finite element model.

Condition-based change decision for multi-state system based on opportunistic policy
PAN Gang, SHANG Chaoxuan, CAI Jinyan, LIANG Yuying, MENG Yafeng
2017, 43(2): 319-327. doi: 10.13700/j.bh.1001-5965.2016.0155
Abstract:

A condition-based change and maintenance decision method based on opportunistic policy was proposed for multi-state system with economic correlation and performance correlation among components. Markov model was utilized to characterize the degradation process of components and the universal generating function was used to analyze the reliability indicator of system. Based upon opportunistic policy and from the perspective of "component change", a new condition-based change and maintenance decision method is proposed to ensure the maximum economic benefit within the system's limited service period. The change and maintenance decision for a radar power amplifying system is analyzed. The results indicate that the total maintenance frequency is reduced to a certain extent in consideration of the economic correlation of components. And the proposed method enables an enhancement on the battlefield support capacity of equipment system, and shows strong versatility and engineering application value.

Chip shape and cutting temperature of helical milling of C/E composites
XIE Hailong, DONG Zhigang, KANG Renke, YANG Guolin, XU Jun, GUO Dongming
2017, 43(2): 328-334. doi: 10.13700/j.bh.1001-5965.2016.0161
Abstract:

Carbon/epoxy (C/E) composites are widely used in manufacture of aircraft structural components because of its excellent properties. It is easy to delaminate and tear when processing C/E composites, and the high cutting temperature is the main cause of defects. As a new hole-machining method, helical milling attracted plenty of attention owning to its advantages in processing C/E composites compared with traditional drilling. The helical milling experiments were performed with specially designed helical milling equipment on C/E composite. A thermal infrared imager is used to measure the cutting temperature after precision calibration using a thermocouple in a constant temperature oven. The effects of the processing parameters on the cutting temperature are analyzed. According to the kinematic principle of helical milling and the cutting principle, the origin and influence factor of temperature are analyzed based on the shape and size of the undeformed chip. The results are helpful in understanding the machining mechanism of helical milling, and determining the reasonable processing parameters of helical milling.

Influence of loss of three-dimensional information on manipulator teleoperation mission
TANG Weicai, CHEN Shanguang, XIAO Yi, JIANG Guohua, TIAN Zhiqiang
2017, 43(2): 335-343. doi: 10.13700/j.bh.1001-5965.2016.0128
Abstract:

As the main information channel via that human cognitive environment, visual information plays an extremely important role in the space teleoperation mission. Aimed at the future station robotics teleoperation mission, twenty four subjects were recruited to finish the simulation task, so as to investigate the effect of different extent of three-dimensional information loss on human performance, mental workload, distance perception and situation awareness, and to study the role of spatial information in teleoperation. The results show that the local stereo information plays an important role in improving the completion rate and reducing collision of the teleoperation mission; the global spatial information are more advantageous to reduce redundant flying distance and the times of limit operation; both the two kinds of information have a significant influence on reducing mental load level, but have few effect on distance estimation error and situation awareness level. Therefore, it is important to select the suitable stereo information compensation type according to the tasks and to optimize the stereo information display with various methods for completing teleoperation task smoothly.

Design method of anti-vibration structure for TBM hydraulic pipe
NING Haihui, ZHANG Huailiang, QU Wei, PENG Huan
2017, 43(2): 344-351. doi: 10.13700/j.bh.1001-5965.2016.0135
Abstract:

Against the problem that strong vibration has effect on the performance of hydraulic pipe during the working process of tunnel boring machine, the transverse vibration mathematical model of the clamped-clamped hydraulic pipe under the foundation vibration was built; The methods of Galerkin and equivalent bending moment were adopted to solve pipe's maximum stress, and the correctness of mathematical model was verified by experiments. The influence rule of foundation vibration parameters on pipe's maximum stress was researched and the normal-failure areas of pipe under different foundation vibration parameters were obtained on the basis of maximum stress criterion. The anti-vibration structural design method was developed based on flow-pressure-strong vibration parameters. The results indicate that foundation vibration causes dramatic increase of hydraulic pipe stress and thus leads to its performance failure, and the new design method can effectively improve the performance of pipe under the strong vibration environment.

An SVR based hybrid modeling method
SUN Zebin, ZHAO Qi, ZHAO Hongbo, FENG Wenquan, ZHANG Wenfeng, YANG Tianshe
2017, 43(2): 352-359. doi: 10.13700/j.bh.1001-5965.2016.0319
Abstract:

As computing power increases in recent years, data-driven modeling method receives much attention. Modeling methods to analyze quantitative behavior of systems with single mode have been researched much. However, most systems have multiple modes which own different continuous behavior and are influenced by continuous state when switching. This paper proposes the empirical probabilistic hybrid automata model and the qualitative and quantitative hybrid modeling method based on support vector regression (SVR).First, switching points between modes are recognized via wavelet and then the SVR sub-models are constructed for each mode. Finally, all sub-models are integrated within D-Markov machine. The example verification results demonstrate that the proposed method is as stable as traditional SVR model, and much more accurate than it.

Simultaneous measurement of multi-parameter of liquid film for urea-water-solution by laser spectroscopy
SHI Jianwei, WU Wei, YANG Huinan, GUO Xiaolong, SU Mingxu, CAI Xiaoshu
2017, 43(2): 360-365. doi: 10.13700/j.bh.1001-5965.2016.0101
Abstract:

Quantitative analysis of liquid film temperature, thickness and mass fraction is extremely crucial to the relevant industrial processes, and these parameters are mutually coupled in the study of the mechanism for heat transfer. Temperature, thickness and mass fraction of liquid film, however, can only be determined individually by conventional measurement techniques. In this paper, a novel measurement method based on Beer-Lambert law to measure the film temperature, thickness and mass fraction of urea-water-solution simultaneously was developed by combining three lasers with different wavelengths:1 420, 1 488 and 1 531 nm. In addition, measurement accuracy of this method was validated by a sample cell with controlled temperature and 1 mm optical path length. The experimental results reveal that average relative errors of thickness, temperature and mass fraction of urea-water-solutions measured by the developed method are 0.51%, 2.59% and 6.32%, respectively.

Combustion performance investigation of a dual-struts scramjet
JI Pengfei, XU Xu, CHEN Bing, ZHU Shaohua, LIU Gang
2017, 43(2): 366-374. doi: 10.13700/j.bh.1001-5965.2016.0097
Abstract:

In order to investigate the flame stabilization, combustion state and flame propagation characteristics of scramjet, based on a dual-struts supersonic combustor with staged injections, experiments with continuously adjusted equivalence ratio were conducted. Experiments with combustor inlet Mach number of 2 and total temperature of 1 436 K were conducted to simulate flight Mach number of 5.5. The results show that when injecting fuel is solely from the upstream strut, the extinction equivalence ratio is 0.19 and it is not affected by the downstream combustion. When injecting fuel is solely from the downstream strut, the extinction equivalence ratio is 0.46, and the effect of downstream equivalence ratio change on wall pressure would be reduced by upstream flame, with which the extinction equivalence ratio would be decreased. Transformation between two combustion states could be realized by adjusting the upstream equivalence ratio, and hysteresis could be observed in the transformation process. Experiments with combustor inlet Mach number of 3 and total temperature of 1 899 K were conducted to simulate flight Mach number of 6.5. The results show that as the total temperature of incoming flow increases, ignition and stable flame can be realized by fuel injection solely at the upstream strut, the upstream flame is lifted, back-pressure capability of the combustor can be strengthened, and more fuel can be injected into the flow.

Design and optimization of a new type of contactless radial C4D sensor
SONG Yue, CHANG Ya, JI Haifeng, WANG Baoliang, HUANG Zhiyao, LI Haiqing
2017, 43(2): 375-380. doi: 10.13700/j.bh.1001-5965.2016.0108
Abstract:

Based on capacitively coupled contactless conductivity detection (C4D) technology, a new contactless conductivity sensor with radial structure is designed and developed. Series resonance principle is used to overcome the unfavourable influence of the coupling capacitances by introducing an inductor. Since the background signal produced by the coupling capacitances can be eliminated, the measurement range of the developed radial C4D sensor is extended, and the measurement sensitivity is improved. The electrode angle of the new radial C4D sensor is optimized by the simulation results and experimental results. In order to verify the effectiveness of the developed sensor, conductivity measurement experiments are carried out in five insulated pipes with different inner diameters of 5.0, 7.5, 9.1, 10.2 and 12.0 mm respectively, and the relative error of conductivity measurement is less than 5%. The experimental results show that the developed contactless conductivity sensor is feasible and effective.

Particle size distribution measurement based on near field scattering
TAN Hao, XU Chuanlong, ZHANG Biao, WANG Shimin
2017, 43(2): 381-387. doi: 10.13700/j.bh.1001-5965.2016.0110
Abstract:

To solve the problems such as high intensity of transmitted light, stray light interference and small scattering angle in the traditional low-angle light scattering techniques, a novel near field scattering (NFS) was adopted to derive the traditional low-angle scattering intensity. A particle size measurement system based on near filed scattering was proposed and built with the scattering angle up to 40.5°. Heterodyne method was applied to process the near field speckle images generated by interference between the transmitted and scattered fields, which is capable of completely removing the stray light. The angular intensity distribution was determined by fast Fourier transform (FFT) frequency spectral analysis of the heterodyne signal. The particle size distributions were inversed by Chahine algorithm. Experimental results on measurement of both monodisperse and bimodal samples with known diameters which are 39.2 μm and 67.3 μm, was presented. For monodisperse samples, the measurement error was less than 5%, for bimodal samples, there was two apparent peaks in 43.3 μm and 74.1 μm, the error was about 10%.

Simulation based sensor size optimization for dual-modality ERT/UTT
SUN Hongli, TAN Chao, DONG Feng
2017, 43(2): 388-394. doi: 10.13700/j.bh.1001-5965.2016.0120
Abstract:

For the installing structure and optimization of electrodes and ultrasonic transducers in the dual-modality electrical resistance tomography (ERT) and ultrasound transmission tomography (UTT), sensors on the same section of pipeline are proposed to measure the same object at the same time. With numerical simulation, sensitive field distributions of ERT and UTT inside the pipeline were studied to optimize the range of complementary information of electrical and ultrasonic field and to get the complementary multi-sensitive information of the same object in the sensitive field. To reduce the influence of electrodes on ultrasonic field, the sensitivity and uniformity of ERT and UTT sensitive field were defined. The installing structure and sizes of electrodes and ultrasonic transducers were optimized by simulations. The installing structure of 16 electrodes and 16 transducers in dual-modality ERT/UTT, and the optimized sizes of the relative electrode width and the relative ultrasonic transducer diameter were obtained.

Vortex flowmeter wake fluctuation characteristics based on EEMD-Hilbert spectrum
YAO Fengyan, ZHOU Tian, SUN Zhiqiang
2017, 43(2): 395-402. doi: 10.13700/j.bh.1001-5965.2016.0125
Abstract:

In order to study the wake oscillation characteristics of vortex flowmeter, the ensemble empirical mode decomposition (EEMD)-Hilbert spectral method was employed to analyze the wall differential pressure signal of vortex flowmeter using air as the medium, whose volumetric flow rate is in the range 10.58-220 m3/h. First, the wall pressure differential signal was decomposed by the EEMD method, obtaining the intrinsic mode functions (IMFs), which were later transformed by the Hilbert transform to acquire the Hilbert spectrum and the marginal spectrum. Thus the vortex shedding frequency of the wall pressure differential signals were extracted. The performance of signal denoising and frequency extraction was compared between the Fourier transform and EEMD-Hilbert spectral method. The results show that the EEMD-Hilbert spectral method is fully adequate in eliminating the noise imposed on the vortex signals, resulting in the intact wake oscillation components. In lower flow rate ranges, the EEMD-Hilbert spectral method performs 30% more accurately in extracting the wake frequency compared to the results of the Fourier transform, thus extending the lower effective range of the vortex flowmeter. By computing the energy ratio, the reason for the high accuracy of the EEMD-Hilbert spectral method was uncovered, that is, the EEMD-Hilbert spectral method decreased the signal to noise ratio. The Hilbert spectrum visually depicts the relationship among time, frequency and energy.

In-situ optical probe measurement of ultra-low emission reduction flue gas
ZHANG Yanfeng, YANG Zhengpeng, CHEN Jun, SU Mingxu, TAO Leixing, CAI Xiaoshu
2017, 43(2): 403-409. doi: 10.13700/j.bh.1001-5965.2016.0126
Abstract:

With the development of ultra-low emission reduction in coal-fired power plant, the requirement of monitoring technologies is becoming more and more rigid. A detector probe based on differential optics absorption spectroscopy (DOAS) and multi-wavelength extinction method is presented, which can be used to realize the in-situ measurement of SO2, particulate in flue gas, etc. The system was calibrated with the standard SO2 gas and polystyrene particulate, and both inversion concentrations agree well with real values. The error is less than 10%, the fitting line of seven SO2 measurement points has good linearity, and linear correlation coefficient is 0.999 64. The system was successfully applied to a coal-fired power plant in different operating conditions for a longer time continuous monitoring. Results show that the system has a good agreement between system monitoring and working conditions on SO2 and particulate in flue gas.

Hybrid multiagent genetic algorithm for job shop scheduling problem
LI Xiaotao, PENG Chong
2017, 43(2): 410-416. doi: 10.13700/j.bh.1001-5965.2016.0103
Abstract:

For the NP-hard characteristic of job shop scheduling problem (JSP) and big valley property of its solution space, this paper proposes a hybrid algorithm based multiagent genetic algorithm (MAGA) and adaptive simulated annealing algorithm (ASA) to obtain the minimal makespan schedule. First, each chromosome is regarded as independent agent which is randomly initialized under condition of operation-based encoding method. Combined with multiagent cooperation and competition theory, a neighborhood interaction operator is designed to realize the interaction between agents, and then a certain number of agents are utilized to do global searching to find several individuals with high fitness. Second, in order to prevent the algorithm from falling into local optimum, ASA is adopted to carry out local optimization for each agent. Finally, the effectiveness of the proposed hybrid algorithm is verified by the computational results of typical problems from benchmark library.