2016 Vol. 42, No. 12

Display Method:
Volume 42 Issue122016
iconDownload (41475) 1958 iconPreview
Fuel control law of small size turbofan engine
SU Zhigang, ZHANG Lingxiao, DENG Tian
2016, 42(12): 2555-2562. doi: 10.13700/j.bh.1001-5965.2015.0829
Abstract:

Focusing on the fuel control law of the small size turbofan engine DGEN380, a steady and transient component-level mathematical model was developed and simulated on MATLAB platform with analytic method. A special tool was used for modeling the rotating parts in order to get the components characteristics and draw the maps which can show the current operating point/line. In the steady model simulation process, the Newton-Raphson method and genetic algorithm were evaluated and compared for solving the working equations of the engine. The basic model was modified to overcome the limitations of simulation in the genetic algorithm. The Euler method was used to calculate the differential term for the transient model simulation. Based on the model, the fuel control law was studied, and the altitude characteristic was described as an example. The experimental results show that the Newton-Raphson method has high accuracy and speed, while the genetic algorithm has better adaptability with the model modification. The simulation results of the model and the control law fit the test data and theory well, as the error is maintained below 3%.

Strictly regular random (3, s)-SAT model and its phase transition phenomenon
ZHOU Jincheng, XU Daoyun, LU Youjun, DAI Cunkuan
2016, 42(12): 2563-2571. doi: 10.13700/j.bh.1001-5965.2015.0845
Abstract:

We study the restricted occurrence times for variables and literatures in 3-SAT problem. In particular, we propose a strictly regular random (3, s)-SAT problem and its instances generating model-SRR model. Using the first moment method and the asymptotic approximation technique to the expansion coefficient in generating function, we derive an upper bound of the phase transformation point for the strictly regular random (3, s)-SAT problem, i.e., when the variable size N is large enough and the variable occurrence times s is greater than 11, the strictly regular random (3, s)-SAT instances are unsatisfied with high probability. Furthermore, for the random instances generated by model SRR with different variable size, our experimental results show that when N is greater than 60 and s is greater than 11, all the (3, s)-SAT instances are unsatisfied, and when N is greater than 150 and s is less than 11, all the (3, s)-SAT instances are satisfied. Thus, the phase transition point of the strictly regular random (3, s)-SAT instances is located at s=11(i.e., the ratio of clauses to variables is 11/3). We also observe that the strictly regular random (3, s)-SAT instances at the location s=11 are much more difficult to solve than the uniform random 3-SAT instances around its phase transition point, which is about 4.267 (the ratio of clauses to variables). Therefore, it is quite easy to generate hard random 3-SAT instances by our SRR model at the location where s is 11.

Receiver autonomous integrity monitoring based on particle swarm optimization particle filter
WANG Ershen, QU Pingping, PANG Tao, LAN Xiaoyu, CHEN Jiamei
2016, 42(12): 2572-2578. doi: 10.13700/j.bh.1001-5965.2016.0362
Abstract:

Receiver autonomous integrity monitoring (RAIM) is an inseparable part of aviation satellite navigation receiver. Failures or faults due to malfunctions in the global navigation satellite system (GNSS) should be detected and isolated to keep the integrity of the GNSS intact. Because measurement noise does not follow the Gaussian distribution perfectly, a fault detection and exclusion algorithm using the particle swarm optimization particle filter (PSO-PF) was proposed. Failure detection was undertaken by checking the consistency. Through the measured data, the proposed algorithm was compared with that based on PF. The results show that under the condition of non-Gaussian measurement noise, the effectiveness of the proposed approach is illustrated in a problem of global positioning system (GPS) RAIM. Moreover, the performance of the proposed algorithm is better than that based on PF. Meanwhile, the results are instructive for the study of the autonomous integrity monitoring of BeiDou navigation satellite system (BDS).

Dynamic bandwidth allocation mechanism with parallel and switching for FC-AE-1553 network
WU Shaojun, ZHAO Guangheng, WANG Liqian, ZHAN Yueying, WANG Jin, WANG Hongxiang
2016, 42(12): 2579-2586. doi: 10.13700/j.bh.1001-5965.2015.0856
Abstract:

In order to meet the requirement of space payload system and data transmission, the data business type was divided into periodic business, burst business and strong timeliness business. After the characteristics of the three kinds of business are analyzed, a scheme of dynamic bandwidth allocation (DBA) mechanism with parallel and switching for FC-AE-1553 network was proposed. The burst business used the periodical and concurrent dynamic bandwidth allocations, the periodic business used the static bandwidth allocation, and the strong timeliness business used the preemptive bandwidth allocation. An FC-AE-1553 network simulation platform was set up in OPNET Modeler. The performance of the system was analyzed based on both theoretical analysis and simulation approaches. The results show that compared with traditional DBA solutions of FC-AE-1553 network, the proposed mechanism increases the mean network throughput by over 10 times; FC-AE-1553 network throughput increases from 2.8 Gb/s to 46 Gb/s at 32 nodes; the mean time-delay of burst business decreases by one order of magnitude at 32 nodes.

Hypersonic vehicle shape optimal design based on overall performance
DENG Fan, JIAO Zihan, FU Qiujun, CHEN Lin, TIAN Shuling, ZHANG Dong
2016, 42(12): 2587-2595. doi: 10.13700/j.bh.1001-5965.2015.0847
Abstract:

Aerodynamic configuration design and optimization are vital to overall design of aircraft. Higher requirements of lift-drag ratio and control performance are put forward for near space vehicles. The lifting-body shape of the wing-body combination has become the main design direction of the hypersonic vehicle due to its internal loading and lift-drag characteristics. According to a class of universal symmetry lifting-body configuration, the key geometry parameters of vehicle were extracted using interrelation analysis method. The effect of geometry parameters on concerned overall performance was dug out. Aerodynamic shape optimization platform was established based on CFD method. With several key overall performance constraints, high lift-drag ratio shape was designed and optimized. The effectiveness of optimal design has been verified by wind tunnel test, which will provide an effective technical means for rapid engineering aerodynamic shape design of hypersonic vehicle.

Soft robot system based on intelligent driver
SHI Zhenyun, ZHU Qiancheng
2016, 42(12): 2596-2602. doi: 10.13700/j.bh.1001-5965.2015.0804
Abstract:
Soft robot, as a new type of flexible robot, is attracting more and more attention. How to build emergency ability in unpredictable environments is the key research goal of soft robot technology. For this problem, an intelligent driving-sensing based motion pattern and system component of semi-soft robot is proposed, and on this basis, the mechanism design configuration of each motion module is designed and established. By coupling the actuators with shape memory alloy drivers into a monolithic structure, dynamic model and kinematics model of robot joints are constituted. According to the model, the key parameters for mechanism design and driver design are determined. Robot shells are manufactured by high strength engineering plastics, and soft enclosure and asymmetric pelma are realized by 3D printing. Two types of alloy wires are fixed in the robot body, the radial basis function (RBF) neural network and support function are used to control the robot, and forward motion is finally tested, which verifies correctness of the proposed robot system model.
Effect of wing-tip trajectory on aerodynamics of hovering true hoverfly
MOU Xiaolei, XU Na
2016, 42(12): 2603-2609. doi: 10.13700/j.bh.1001-5965.2015.0843
Abstract:

For the hovering true hoverfly, stroke deviation angle is relatively small. It is higher at the beginning and end of a downstroke or upstroke, and lower at the middle of the downstroke or upstroke, which leads to a shallow U-shaped wing-tip trajectory. In order to investigate the effect of wing-tip trajectory on the aerodynamics, the measured wing kinematics with deviation angle (or without deviation angle) was used in a computational fluid dynamics method to compute the aerodynamic forces and moments acting on 4 hoverfies. Streamline of the two types of wing-tip trajectory was plotted at spanwise location in the different time of one stroke cycle. The aerodynamic power requirement was computed using the aerodynamic moment. The power coefficients and mean vertical force coefficients of two types of wing-tip trajectories were compared. The results show that the weight-supporting force with deviation angle is approximately 10% larger than that without deviation angle, but the power requirement with deviation angle is approximately 3% less than that without deviation angle.

Storage degradation testing and life prediction for missile electromagnetic relay
WANG Zhaobin, FU Sai, SHANG Shang, ZHAI Guofu
2016, 42(12): 2610-2619. doi: 10.13700/j.bh.1001-5965.2015.0789
Abstract:

Missile electromagnetic relay (EMR) is one of the key electromechanical components used for signal transmission, load switching and circuit protection in defense weapon system. How to reliably evaluate the storage reliability of missile EMR has become the most important problem that is urgent to be solved. This study used missile EMR as research object. A new method for testing storage reliability is proposed by performance parameters degradation. The test and analysis system of missile EMR storage parameters was designed and developed. Based on the analysis of parameters changing in storage degradation testing, the modeling storage reliability method of missile EMR is extensively investigated. Prediction parameters preprocessing method is proposed which is based on time series analysis with wavelet transform method. And in this way, the prediction accuracy is increased. Parameters of the storage degradation model are estimated through the regression theory, and the storage life of missile EMR under normal stress is predicted.

Stray light suppressing technique and simulation for star sensor
LI Yang, LIAO Zhibo, MU Shengbo, ZHANG Tingcheng
2016, 42(12): 2620-2624. doi: 10.13700/j.bh.1001-5965.2015.0793
Abstract:

Star sensor used for deep space stars exploration is a faint signal detector. Star sensor is sensitive to slender stray light, and therefore, the stray light suppressing ability is a key influencing factor of the exploration ability. Through the point source transmittance (PST), the suppression indicators of the star sensor are calculated by the standard of the target brightness which is detected 7m.5 stars. Based on the standard evaluation, an effective suppressing technique is proposed, which includes the design of baffle, stop and special artificial processes for critical objects. In the end, the simulation results are analyzed and calculated with Lighttools software. The results indicate that the stray light suppressing technique is effective, and the results can meet the needs of detecting 7m.5 stars.

Deployment accuracy analysis of planar satellite antenna with joint clearances
DING Jianzhong, WANG Chunjie
2016, 42(12): 2625-2631. doi: 10.13700/j.bh.1001-5965.2015.0808
Abstract:

Planar folding satellite antenna deployment mechanism is widely used in the field of astronautics. It has a large and complicated topology structure, which is composed by joint-connecting rods. The existence of joint clearances makes the analysis of the antenna deployment a tough task and contributes a lot to pointing error. A matrix modeling approach is proposed to solve such kind of analysis problem. The complex multi-loop structure of a deployable mechanism is divided into locking mechanism and single-loop mechanisms. The accuracy of each mechanism is calculated separately to make the computing easier. Finally, the maximum pointing error of the entire deployable mechanism with a specific structure is calculated to be 0.067° by a particle swarm optimization algorithm, referring to the accuracy analysis results of locking mechanism and single-loop mechanisms. This proposed calculation approach is of high precision and the maximum pointing error of the satellite antenna deployable mechanism can be obtained efficiently by the intelligent optimization algorithm. It provides reference in error compensation design of the deployable mechanism.

Convex surface ray tracing based on adaptive cutting surface adjustment under exact normal vector
LI Yaoyao, SU Donglin, LIU Yan, YANG Zhao
2016, 42(12): 2632-2639. doi: 10.13700/j.bh.1001-5965.2016.0442
Abstract:

Electrical large targets are difficult to be accurately and analytically expressed and thus it is difficult to use uniform geometrical theory of diffraction (UTD) method for field computation. Aimed at this problem, a novel creeping ray triangular mesh tracing (TM-tracing) algorithm for arbitrary convex surface was proposed. Based on practical engineering triangular mesh and its protocol, a net-like triangular mesh data storage list which meets the rapid multilateral search criteria was designed. A high accuracy normal vector algorithm was proposed to satisfy the tracing requirement. Then a dynamic adjustment of the arc cutting surface fitting tracing method was proposed to realize creeping wave tracing algorithm. Finally, combined with UTD, shadow field value solving algorithm was realized. Aircraft-based ray tracing results show that TM-tracing algorithm can be applied to arbitrary smooth convex surfaces including sphere, cylinder and cone. Tracing speed is 2.8 seconds and deviation is less than 1.61%. It shows that the proposed algorithm has an application value in engineering.

Modeling of hypersonic vehicle via model migration method
WANG Haoliang, LI Qingdong, REN Zhang, ZHAO Qilun, DONG Xiwang, LIU Fei
2016, 42(12): 2640-2647. doi: 10.13700/j.bh.1001-5965.2015.0807
Abstract:

The development of hypersonic vehicle is a process of multi-product and small-batch production. In order to reduce the cost of experiments and decrease the period of the modeling of hypersonic vehicles, model migration method is used to calculate the aerodynamic parameters of the vehicles with similar shapes. First, a method for assessing the similarity degree of hypersonic vehicles is explained. If the similarity of the hypersonic vehicles is sufficient, the model migration method will be used in the modeling of the new vehicle. Then the first model migration for the new vehicle will be expatiated using the aerodynamic parameters of the base vehicle based on the hypersonic similar law. The method of offset correction will be applied if the result of the first model migration cannot meet the precision requirement. Finally, in order to eliminate the influence of hypersonic viscosity, hypersonic boundary layer theory will be used to calculate the aerodynamic parameters of different altitude. The effectiveness of the model migration in modeling the vehicles with similar shapes is verified by the simulation.

Minor loop dynamic Jiles-Atherton model in giant magnetostrictive actuator
GAO Xiaohui, LIU Yongguang, PEI Zhongcai
2016, 42(12): 2648-2653. doi: 10.13700/j.bh.1001-5965.2015.0815
Abstract:

Hysteresis nonlinear relationship between input and output exists in giant magnetostrictive actuator (GMA). In order to lower hysteresis nonlinearity of material, minor hysteresis loops are often applied when the high frequency characteristics are studied. Therefore, it is very important to research the mathematic model of minor hysteresis loops. First, the dynamic hysteresis model is established combining Ampere circuital theorem with giant magnetostrictive material (GMM) and structural dynamic characteristic of GMA, which regards exciting current as input variable and strain as output variable. Then, the laws between model parameters and hysteresis loop characteristic are achieved by simulation and minor hysteresis loop dynamic Jiles-Atherton (J-A) model is proposed through modifying the model parameters according to the error characteristic between simulation and experiment waveform. Finally, the mathematic model is proved at different frequencies and exciting currents by experiment.

Cavitation performance of inducer with helical static blades
LI Xin, LI Jiawen, WANG Jue, LIU Zhongxiang
2016, 42(12): 2654-2661. doi: 10.13700/j.bh.1001-5965.2015.0818
Abstract:

In order to study internal flow pattern, the 3D flow in inducer with helical static blades is numerically computed by using the computational fluid dynamics (CFD). The suction and cavitation performance of the inducer are analyzed. The results show that the head increases with helical static blades, while the efficiency decreases resulted from the strong backflow in helical static blade channels. As the inlet pressure decreases, the cavitation develops along the radial direction, which is influenced by the centrifugal force. The choked helical static blade channels delay the appearance time of blocked inducer, so the cavitation performance of the inducer with helical static blades is improved.

Stress concentration analysis of honeycomb with missing cell walls
SHI Xiaofei, XI Ping, SONG Yuwang, LI Ru, SHI Xiaojuan
2016, 42(12): 2662-2668. doi: 10.13700/j.bh.1001-5965.2015.0819
Abstract:

A kind of defect with some of the cell walls missing in a honeycomb structure causes the loss of continuum of the honeycomb, and thus results in the stress concentration around the defect tip. Combined with the finite element and the analytic methods, this paper analyzed the normal stresses distribution on the cell wall at the defect tip in meso-scale. The finite element results of the tensile stress of the cell walls are obtained first. The results shows that the x-directional stress distribution in the stress concentration strip area fits the probability distribution function of the quasi chi square distribution. There exists a band zone in which the normal stress is much higher than the rest of areas. The distribution of the normal stress of cell walls conform the in the band; there also exists a critical position at which the variation trend of distribution function inverses; secondly, the relation between moments of cell wall and the number of the missing walls is analytically researched. At last. a prediction equation of the bending stress is developed and the influence of defect shape on formula is analyzed.

Numerical simulation to static ground effect of delta wings with different sweep angles
QIN Yunpeng, LIU Peiqing, QU Qiulin, HUANG Liewei
2016, 42(12): 2669-2675. doi: 10.13700/j.bh.1001-5965.2015.0844
Abstract:

In this paper, the static ground effect of delta wings with different sweep angles is investigated by numerical simulation. The analyses of aerodynamic force and flow field characteristics show that in ground effect, the "block effect" of ground enhances the windward surface pressure; with the sweep angle decreasing, the "block effect" will be further strengthened, and thus the windward surface aerodynamic force increments due to ground effect increase. Besides, the leeward surface aerodynamic force increments due to ground effect also increase with the sweep angle decreasing, but flow physics is not the same for different sweep angles:for medium and high sweep angles, the leeward surface aerodynamic force increments due to ground effect are attributed to the increase of the suction induced by the enhanced leading edge vortex; for low sweep angles, they are attributed to the suction area extension, which results from the movement of the dispersive leading edge vortex.

Experimental research of 1+3/2 contra-rotating turbine aerodynamic performance
WU Zhongye, FANG Xiangjun, LIU Siyong, ZHAO Dayong
2016, 42(12): 2676-2682. doi: 10.13700/j.bh.1001-5965.2015.0849
Abstract:

Vaneless contra-rotating turbine is one of the key technologies of the high performance engine. Experimental research was conducted to investigate aerodynamic performance of 1+3/2 contra-rotating turbine. The experiment was tested over three phases:first the alone high pressure turbine (HPT) experiment, second the HPT and low pressure turbine (LPT) with axial gap enlarging between them, and finally HPT and LPT with normal axial gap. In the normal gap experiment, the condition of LPT was confirmed by HPT performance curve by converse calculation. Research shows that LPT has little effect on HPT performance; HPT throat decreases while LPT throat increases, which leads to HPT expansion ratio increasing at the constant total expansion ratio. HPT expansion ratio changes very little during the total expansion ratio varying; however LPT expansion ratio changes greatly. The turbine efficiency is mainly determined by HPT, and the LPT is generally relative low. Enlarging axial gap between HPT and LPT has little influence on LPT performance.

Multimodal data fusion model for smart city
ZHANG Yi, CHEN Yujun, DU Bowen, PU Juhua, XIONG Zhang
2016, 42(12): 2683-2690. doi: 10.13700/j.bh.1001-5965.2015.0858
Abstract:

With the rapid growth of cloud computing and big data, in addition to the urgent demand for city development, smart city construction has become one of the hot topics of domestic and international computer science researches. With the increasing number of closed-circuit televisions and sensor devices in urban city, types of data that people can obtain in city increase as well. The city data has multimodal properties like time dependent, heterogeneous, multi-source and high-dimension. How to make the multimodal city data connected, related to each other, and interconnected to each other, and how to mine better and various information for city construction become the key in this area. In this paper, we propose a multimodal data fusion model for smart city:the multimodal connecting growing fusion (MICROS) model. We present our model in three directions. First, targeting at multimodal data, we describe four features:multisource, heterogeneous, time-dependent and high-dimension. Second, we construct the three-layer fundamental model structure for multimodal fusion from bottom to top, including service-information description model, meta-data model and data-connection model. Finally, based on this three-layer fundamental model, we propose a multimodal data fusion model suitable for smart city construction.

Effects of perturbation geometry on behavior of asymmetric flow over blunt body
QI Zhongyang, WANG Yankui, SHA Yongxiang, WANG Lei
2016, 42(12): 2691-2697. doi: 10.13700/j.bh.1001-5965.2015.0861
Abstract:

The asymmetric vortices can be determined through setting the artificial perturbation on the nose of the blunt body at high angle of attack. To study the influence of perturbation geometry on the asymmetric vortices, numerical simulation was applied and the hemispherical, D-type and square perturbations were set on the position circumferential angle 90° and meridian angle 10° respectively at the angle of attack 50° and ReD=1.54×105. It is found that the vortex structure induced by hemispherical perturbation is shown as right vortex pattern; however the left vortex pattern is shown for the D-type and square perturbations. What is more, the asymmetry of vortex structure for the square perturbation is weaker than that for the other two perturbations. The reason is that the separated flows from different boundaries of the same perturbation influence each other and affect the asymmetric vortex structure. In order to determine the asymmetric vortices accurately by setting artificial perturbation, the geometry of perturbation should be as simple as possible.

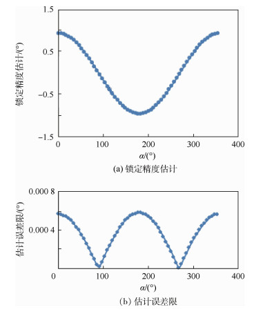
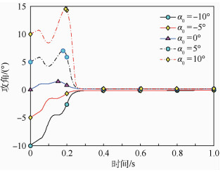
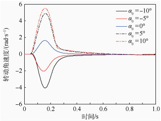
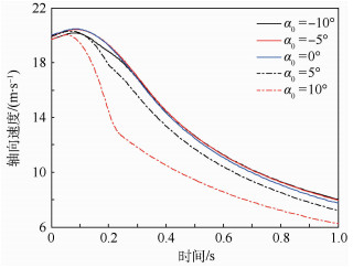
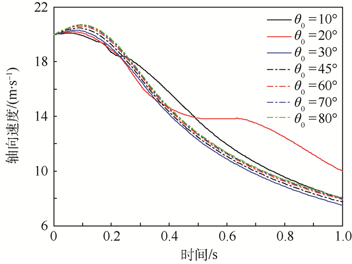
Movement rule of a vehicle obliquely water-entry at low speed
LI Yongli, FENG Jinfu, QI Duo, YANG Jian, HU Junhua, XU Baowei
2016, 42(12): 2698-2708. doi: 10.13700/j.bh.1001-5965.2016.0153
Abstract:

This paper proposes a single control strategy to solve the problem of difficult transmedia vehicle control. The proposed control strategy is just to control the vehicle's air navigation, but not to control the underwater navigation. The hydrodynamic model of a vehicle obliquely water-entry at low speed is founded to analyze the motion characteristics. Two methods are used to simulate the vehicle's water-entry in the same condition:numerical simulation method and theoretical model calculation method. And the results of the two methods can validate the hydrodynamic model founded in this paper. The water-entry movement in the conditions of different initial velocities, different angles, and different attack angles is simulated by this hydrodynamic model and the simulation is analyzed. And the change rule of the vehicle's gestures and position when water-entry is obtained by analysis. This water-entry rule will guide a series of follow-up researches, such as underwater navigation and water-exit process.

Fast calibration method for phased array antenna
WANG Huanju, SUN Houjun
2016, 42(12): 2709-2714. doi: 10.13700/j.bh.1001-5965.2015.0828
Abstract:

The study of rapid measurement and calibration for phased array antenna has always been one of hot issues. The low efficiency of traditional calibration method cannot satisfy the requirement of large-scale engineering application of phased array antenna. A fast calibration method called four-phase-cycle amplitude-only measurement (FPC), which can determine the phase of each element in phased arrays by power measurements according to a certain phase distribution, is presented on the basis of theoretical analysis for phase solving algorithm. And theoretical analysis prove that the method takes only about one sixteenth of the time that the conventional rotating element electric field vector method using 6-bit digital phase shifter spends. Finally, a contrast test of three calibration methods, which are FPC, rotating element electric field vector method using 4 bit digital phase shifter and rotating element electric field vector method using 6 bit digital phase shifter, is carried out. And the experimental results verify the correctness and effectiveness of the FPC calibration algorithm.

Development of a generalized surface partition and projection system for missile radome
LI Zhengzhou, XIAO Tianhang, ANG Haisong, LU Zhaoyan
2016, 42(12): 2715-2721. doi: 10.13700/j.bh.1001-5965.2015.0839
Abstract:

To meet the technical requirements of missile radome frequency selective surface (FSS), a partition and projection system of radome surface was proposed and developed. Based on the study of approximate partition and projection of complex surface, the partition coefficient was defined as the ratio of the integration of the absolute value of Gaussian curvature to its area, and the controlling value for surface partition is the summation of partition coefficient of the accumulated surface elements; the surface partitions was projected into 2D shapes by using cross baseband expansion method. On the basis of the above algorithms and data operation, an application framework was developed by using MFC, and the surface data operation was visualized with OpenGL. The surface projection data can be exported into AutoCAD format for subsequent fabrication. A successful application for a missile radome surface demonstrates that, the partition/projection method has high accuracy and satisfies the design requirements.

Dynamic priority scheduling algorithm for air defense phased array radar in overload situations
ZHANG Haowei, XIE Junwei, SHI Junpeng, LI Jingqing, SHENG Chuan
2016, 42(12): 2722-2729. doi: 10.13700/j.bh.1001-5965.2015.0779
Abstract:

Aimed at time resource allocation in the air defense phased array radar in overload situations, a new scheduling algorithm using the threat density of targets and deadline of tasks to decide the task dynamic priority was proposed. The nonlinear threat level of targets model was established and the dynamic priority table was designed. Then, the synthetic priority was determined by the threat level of targets, task dwell time and the deadline. The notion of threat ratio of execution (TRE) was proposed in the performance evaluation indexes to reflect the radar scheduling performance in important tasks. The simulation results show that compared with the earliest deadline first algorithm, the proposed algorithm could improve search performance by 43% and enhance the threat ratio of execution by 52% in overload situations.

Corner building method and algorithm of automatic programing for aircraft structural parts
CUI Zhiwei, ZHENG Guolei
2016, 42(12): 2730-2737. doi: 10.13700/j.bh.1001-5965.2015.0810
Abstract:

Aimed at the problems of inefficiency, heavy work and unstable quality in corner numerical control (NC) programing for aircraft structural parts, a new auto-extended method based on rounded corner face was put forward. Combined with process knowledge, the processing model of corner is set up, which is the key issue of automatic NC programming. First, some new terms were introduced, such as corner, rounded corner face, processing model of corner and interference region of corner machining. Next, in order to set up a model of corner processing, some methods were proposed which include auto-extended technology, side surface of revolution and cutting element computation methods, and interference region building approach. Based on the above research, an automatic NC programing system of corner was developed, which had been successfully applied in a large aviation manufacturing enterprise. The preliminary application shows that the method is valid for increasing efficiency and quality of corner NC programing, which leads to programing workload reduction.

Critical angle of revolute pin joint and its application in a four-bar mechanism
ZHANG Jie, WANG Dan, CHEN Wuyi
2016, 42(12): 2738-2744. doi: 10.13700/j.bh.1001-5965.2015.0812
Abstract:

Revolute pin joint (revolute pair) possesses one degree of freedom, i.e. rotation movement, through relative sliding between contact pairs. Existence of friction and clearance in revolute joints has crucial effects on the overall precision of mechanism. Using the concept of critical angle, the marginal value in which revolute joints could keep in balance state is discussed in this study. Firstly, frictional angle and self-lock caused by friction and clearance in revolute pin joints are investigated, which contribute to not only length error but also angle error in mechanism with such joints. Then, critical angles are calculated with and without contact deformation respectively. Moreover, a four-bar mechanism with one revolute joint studied above is chosen as a case study to evaluate the impact of clearance of joint, contact deformation and friction on the overall precision. Analytical results indicate that the clearance in revolute joint and elastic deformation of mechanism play the most important roles in the system, and the contact deformation of joint could be neglected in the overall precision analysis.

UAV 3D real-time path planning based on dynamic step
ZHANG Shuai, LI Xueren, ZHANG Jianye, ZHANG Peng, LI Bo, ZHAO Xiaolin
2016, 42(12): 2745-2754. doi: 10.13700/j.bh.1001-5965.2015.0821
Abstract:

Because planning unmanned aerial vehicle (UAV) path directly in 3D space is difficult, we divide 3D path planning into 2D plane path planning and height planning, and then combine them to get the 3D path so that planning space is simplified and complexity is reduced. To search the path subtly in the region near threat, we propose a dynamic searching step strategy according to the distance between UAV and threat. Setting sub-goal helps UAV to quickly modify the path and realize path re-planning when UAV meets the unexpected threat. Simulation results demonstrate that the proposed method is effective. UAV can bypass the unexpected threat and plan 3D path successfully. The threat probability of path decreases through taking dynamic step.

High squint helicopter-borne terahertz ViSAR vibration compensation imaging algorithm
SUN Wei, SUN Jinping, ZHANG Yuan, ZHANG Yaotian
2016, 42(12): 2755-2761. doi: 10.13700/j.bh.1001-5965.2015.0862
Abstract:

With advantages such as fast imaging frame rate, high resolutions and penetration through dust and smoke, video synthetic aperture radar (ViSAR) has a broad application prospect. But for ViSAR that works in terahertz carrier frequency, helicopter platform's tiny high frequency vibration will cause obvious changes in echo phase and degrade the imaging quality. According to helicopter platform's vibration characteristics and based on the squint platform vibration imaging geometry model, this paper proposes a terahertz ViSAR vibration phase error compensation imaging algorithm in high squint mode. First, the squint imaging is equivalent to side-looking imaging based on motion compensation principle, and then modified Doppler Keystone transform is performed to correct the range cell migration induced by platform vibration in 2D frequency domain. Finally, the analytic expression of vibration phase error is gained in range-Doppler domain and the phase error compensation is achieved via parametric autofocus method. Simulation results verify the effectiveness of the proposed algorithm.

Modeling and machanical properties of composite bionic suture joint structures
MAO Wei, WANG Wenzhi, HE Lijun, ZHANG Chao
2016, 42(12): 2762-2768. doi: 10.13700/j.bh.1001-5965.2015.0772
Abstract:

In this paper, we developed a parametric modeling framework for composite bionic suture joint structures through MATLAB and ABAQUS secondary development based on Python language. It shows the capability in describing the complicated suture joint geometry with different types of hierarchy and automatic generation of finite element mesh for mechanical modeling. Furthermore, interactions between geometric parameters (tooth angle, baseline type, and hierarchy) and structure performance are analyzed. The numerical results show that the bionic suture joint structure has better structural damage tolerance with the presence of a lower tooth angle, a sin curve baseline and a higher hierarchy. Through this work, parametric modeling of composite suture joint structure is realized, and the interaction among mechanical strength, damage mechanism and suture geometries is investigated, which provides meaningful guidelines for the design and optimization of novel high performance composite joint structures.