2020 Vol. 46, No. 7

Display Method:
Volume 46 Issue72020
iconDownload (11871) 1007 iconPreview
A robustness-enhanced traffic classification method in airborne network
LYU Na, ZHOU Jiaxin, CHEN Zhuo, LIU Pengfei, GAO Weiting
2020, 46(7): 1237-1246. doi: 10.13700/j.bh.1001-5965.2019.0475
Abstract:

The highly dynamic and highly unstable characteristics of the airborne network make it difficult for traffic monitoring equipment to extract the complete data flow load characteristics within a limited monitoring period, thus limiting the application of the deep learning based traffic classification method. Aimed at this problem, a robustness-enhanced airborne network traffic classification method is proposed. First, data stream samples are mapped to gray vector sets by data preprocessing and missing sample processing methods. Then, the Robustness-Enhanced Long-term Recursive Convolutional neural Network (RE-LRCN) classification model is trained based on the complete traffic training set. Finally, in the online classification stage, the loading space features of packets-sample deficient data flows and timing features of data flows are extracted and the traffic is classified with the RE-LRCN model. The experiment results on the packets-sample deficient test set show that the proposed method can effectively suppress the deterioration of the accuracy of classification due to the missing of packet samples.

Game analysis of airline freight alliance based on improved prospect theory
YAN Yan, ZHANG Jin, TANG Qiuyu
2020, 46(7): 1247-1257. doi: 10.13700/j.bh.1001-5965.2019.0468
Abstract:

The application of the airline freight alliance helps the airline's business operations, and the airlines improve the quality of service through low operating costs, so that users get a greater sense of satisfaction. Based on the airline freight alliance, this paper discusses the decision-making of different airlines in the airline freight alliance about the self-operation or outsourcing of air route transport operation. In the model, considering the loss aversion in prospect theory, the improved var function is used to describe the cost loss of airlines. The benefit matrix of both sides of the game is established, and the decision-making process is analyzed by dynamic evolutionary game. The results show that, when the cost coefficient of self-operation allocation is larger, the cost coefficient of outsourcing allocation, the risk loss coefficient and the risk concave-convex coefficient are smaller, the fixed cost is larger, and the unit transportation cost of aircraft is smaller, the yield rate is larger, and S airline should adopt business self-operation if their business volume is larger than other airlines; otherwise, it should outsource its own business. The smaller self-operating cost sharing coefficient and the larger outsourcing cost sharing coefficient, the larger self-operating probability of S airline. The larger the freight volume of S airline, the larger self-operating probability of S airline. The larger self-operating probability of other airlines, the smaller self-operating probability of S airline.

Reflection/transmission characteristics based on Legendre orthogonal polynomial method
HE Cunfu, REN Zhewen, LYU Yan, GAO Jie, WANG Shuo, SONG Guorong
2020, 46(7): 1258-1266. doi: 10.13700/j.bh.1001-5965.2019.0434
Abstract:

Study on acoustic testing method for mechanical properties of thin layer materials.Based on Legendre orthogonal polynomial method, linear independent equations are constructed and the reflection/transmission coefficient of acoustic waves at the interfaces is calculated using liquid/solid boundary conditions and wave control equations. The method analyzes the influence of the cut-off order on the solution result, and finds the critical value of the order under different frequency and thickness products, then calculate the reflection/transmission coefficient based on the cut-off order. The calculation results obtained by the Legendre orthogonal polynomial method are compared with those obtained by the transfer matrix method, and the accuracy of the theoretical model is verified. Ultrasonic waves' oblique incidence into a thin-layer material forms a Lamb wave. The dispersion characteristics at the steady state are intrinsically linked to the reflection features. According to Snell's law, the three-dimensional surface of the frequency-velocity-reflection coefficients is calculated using the Legendre orthogonal polynomial method. This result is compared with the dispersion curves simulated by Disperse. It is proved that the solving result is consistent with the Lamb wave dispersion characteristics. The influence of attenuation on the experimental results during the propagation of the acoustic wave is reduced by collecting the reference signal which is the directly obtained wave without a sample. A reflection and transmission experimental system was built to measure the frequency spectrum of reflection and transmission coefficients at different incident angles. The experimental results are compared with the theoretical results, and the accuracy of the results obtained by the theory is verified. A solving methodology without root-finding algorithm for acoustic reflection/transmission coefficients is realized. This method provides a theoretical basis and experimental guidance for the non-destructive testing of the mechanical properties of thin-layer materials.

Recognition of fighter maneuver in automatic flight training evaluation
MENG Guanglei, ZHANG Huimin, PIAO Haiyin, LIANG Xiao, ZHOU Mingzhe
2020, 46(7): 1267-1274. doi: 10.13700/j.bh.1001-5965.2019.0445
Abstract:

An improved online recognition method for fighter maneuver based on dynamic Bayesian network is proposed for automatic flight training evaluation. First, the maneuver characteristics of instrument, simple stunt and complex stunt flight are analyzed. Then, according to the causal relationship between maneuver and characteristic parameters during flight process of fighter, a dynamic Bayesian network model for maneuver recognition is established, which overcomes the shortcomings of traditional methods, such as the need for roll angle information which is difficultly obtained in real time through radar detection in actual flight training. At the same time, the computational complexity is reduced by designing the online invocation mechanism of the model. Experimental results show that this method has high fighter maneuver recognition rate and good real-time performance, and can meet the needs of online application.

Path planning for logistics UAV in complex low-altitude airspace
ZHANG Qiqian, XU Weiwei, ZHANG Honghai, ZOU Yiyuan, CHEN Yutong
2020, 46(7): 1275-1286. doi: 10.13700/j.bh.1001-5965.2019.0455
Abstract:

To solve the problem of path planning for logistics UAV in the complex low-altitude airspace, internal and external restrictions such as airspace environment and transportation tasks were considered. Taking minimize flight time, energy consumption and path risk as the objective function, the multi-restricted transportation path planning model of logistics UAV was established. To plan the path quickly, an improved heuristic algorithm was designed. The grid method was used to model the environment. The performance constraints of UAV were introduced to ensure that UAV can follow the path. To solve the existing problems of the original algorithm and indicate the characteristics of logistics UAV air transportation, the concepts of grid risk and cargo weight penalty coefficient were introduced, and flight time and energy consumption were calculated to improve the obstacle avoidance ability and reduce the cost. The dynamic weighting method was used to assign the weight of the function to match the efficiency and accuracy of the algorithm. In order to delete redundant path points and ensure smooth flight, bidirectional cross judgment method was used to optimize and smooth the original path. In order to verify the effectiveness of the model and the algorithm, the results of four algorithms were compared. Meanwhile, the influence of grid length and cost weight on planning results was analyzed. With the constraints of the assumed environment and UAV performance, the study results indicate that, compared with the original algorithm, the proposed algorithm ensures the flight safety of logistics UAV with less energy consumption, and reduces the flight time from 406 s to 386 s, which is reduced by 5%. The number of flight path points is 129 and the grid risk is 11.69, which reduces the number of attitude changes and ensures the safety of transportation. When the grid length is 5 m and the cost weight is 0.4, 0.1 and 0.5, the path planned by the proposed algorithm is optimal.

A multi-dimensional comprehensive evaluation model of mental workload for complex flight missions
WEI Zongmin
2020, 46(7): 1287-1295. doi: 10.13700/j.bh.1001-5965.2019.0452
Abstract:

To solve the problems of mental workload assessment in multiple flight tasks of the aircraft cockpit multi-display interfaces, we design three different types of flight missions of the multi-display interfaces, i.e. flight monitor, flight calculation, and radar detection, to systematically develop the experimental measurement and the theoretical modeling of the mental workload via the conjunctive use of many kinds of measuring technique. Our experimental results reveal that, with increasing flight mission modes, the changes are:the subjective assessment scores of NASA-Task Load Index (NASA-TLX) increase significantly, the accuracy rate of the flight operation decreases gradually, and the response time becomes obviously longer; the value of the P3a component index in the Event-Related Potential(ERP) measurement technique at Fz electrode reduces gradually, the value of SDNN index in the Electrocardiogram (ECG) measurement also decreases gradually, and no obvious change in the number of blinks in the Electrooculogram (EOG) measurement is further confirmed. Based on the Bayesian discriminant analysis method, a multi-dimensional comprehensive evaluation model of mental workload for complex flight tasks was established, and the comprehensive evaluation model was compared with models based on a single indicator, dual indicators, three indicators, and four indicators. The results showed that the five-index model founded by the Bayesian-Fisher discrimination and classification method shows a much higher accuracy rate for the level discrimination and prediction results of mental workload in comparison with other index models. Its average discrimination accuracy rate is 82.22%. Obviously, This model provides an effective quantitative method and scientific basis for the display interface mental task design in large and complex systems, and helps fighter and transportation aircraft designers to optimize the display interface mental task design, but also provide a unique compliance verification tool for the airworthiness certification of flight deck display interface.

Effects of propeller slipstream on diamond joined-wing configuration solar-powered UAV
ZHAO Wei, HUANG Jiangliu, ZHOU Zhou, ZHANG Shunjia, BI Peng
2020, 46(7): 1296-1306. doi: 10.13700/j.bh.1001-5965.2019.0438
Abstract:

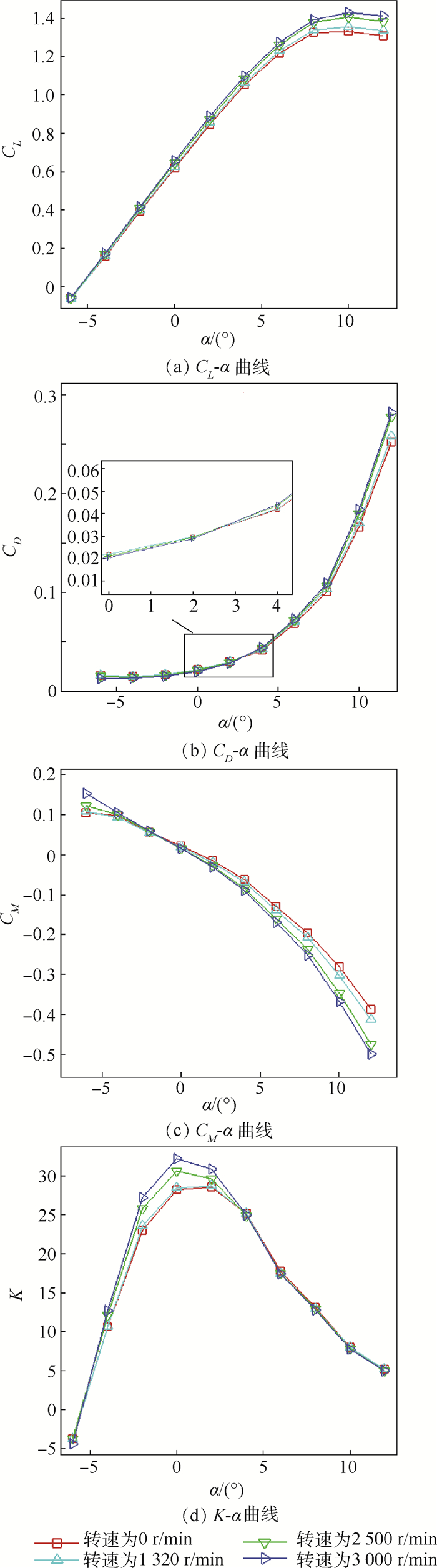
In order to investigate the influence of propeller slipstream on the aerodynamic characteristics of low Reynolds number diamond joined-wing configuration solar-powered UAV with different rotational speeds. It was simulated accurately by solving the Reynolds Averaged Navier-Stokes (RANS) equation based on Momentum Source Method (MSM) and k-kL-ω transition model. The mechanism of the propeller slipstream effects at different angles of attack and rotational speeds was analyzed by comparing the flow field structure and pressure distribution on the wing surface. The research shows that with the increase of the propeller rotational speed at low angle of attack, the propeller slipstream leads to the obvious increment of lift and decrement of drag. And the maximum lift-to-drag ratio is increased by 18.4% at 3 000 r/min. At low angle of attack, the air flow is accelerated by propeller, and it leads to increment of lift for the Frt-wing. And for the Aft-wing, the rotation of the air flow leads to decrement of pressure drag because of the emergence of low-pressure region at lower surface of leading edge. At high angle of attack, the effects of propeller to the Frt-wing are not changed. However for Aft-wing, the range and strength of low-pressure region at lower surface of leading edge decrease, which leads to the disappearance of negative lift area at leading edge as well as the notable increase of the lift and the pressure drag. Besides, since the main contribution components of lift increment are different at different angles of attack, the longitudinal static stability margin of UAV shows an enhancement with the increase of propeller rotational speed. The diamond joined-wing configuration solar-powered UAV can effectively utilize the slipstream of propeller to improve the aerodynamic performance by reasonably setting the position and speed of propeller.

A methodology for target recognition with parameters of interval cross type
LI Shuangming, GUAN Xin, ZHAO Jing, WU Bin
2020, 46(7): 1307-1316. doi: 10.13700/j.bh.1001-5965.2019.0442
Abstract:

Aimed at the problem of target recognition with parameters of interval cross type, the Technique for Order Preference by Similarity to Ideal Solution (TOPSIS) method for target recognition based on intuitionistic fuzzy set and cloud model is proposed in this paper. The target database model including individual class and cross class is constructed. According to the multi-step estimation algorithm for cloud model, the certainty degree of an unknown target over a known target class is obtained, and the transformation algorithm from certainty degree to membership and non-membership degree is proposed. The dynamic attribute weight is calculated based on intuitionistic fuzzy entropy. The TOPSIS recognition decision method of defuzzification distance measure is formed. The simulation results indicate that the proposed method has a high accuracy rate for target recognition with parameters of interval cross type and thus has a certain practical application value, when applied to radar emitter recognition.

Anti sweep jamming method of hybrid modulation fuze based on harmonic coefficient amplitude averaging
CHEN Qile, HAO Xinhong, YAN Xiaopeng, QIAO Caixia, WANG Xiongwu
2020, 46(7): 1317-1324. doi: 10.13700/j.bh.1001-5965.2019.0451
Abstract:

To improve the anti sweep jamming performance of the Chaotic Codes Phase Modulation and Linear Frequency Modulation (CCPM-LFM) hybrid modulation radio fuze, the response of the CCPM-LFM fuze under sweep jamming was analysed, and an anti jamming method based on harmonic coefficient amplitude average was proposed. This method was based on the ranging principle of Instantaneous Correlation Harmonic Demodulation (ICHD), and the harmonic envelope extraction was realized by Fast Fourier Transform (FFT) algorithm. By averaging the harmonic coefficient amplitudes obtained from multiple times of FFT, this method took the advantage of the random and statistical characteristics of the chaotic codes, and the jamming was effectively suppressed. Theoretical and simulation results show that the method can effectively suppress the sweep jamming without affecting the ranging resolution of the fuze.

Target assignment method for phased array radar network in anti-missile early warning
YANG Shanchao, TIAN Kangsheng, WU Weihua, LIU Wenjian, ZHOU Guangtao
2020, 46(7): 1325-1334. doi: 10.13700/j.bh.1001-5965.2019.0473
Abstract:

To solve the resource management problem of phased array radar network in tracking ballistic missiles, the scenario of anti-missile early warning combat is analysed, and a target assignment benefit function is proposed, which integrates target tracking accuracy and radar switching rate. Constraints are established from three aspects:radar energy resource, radar time resource and the visibility between radars and targets, so that actual limits in target assignment are reflected. The target assignment model for phased array radar network in anti-missile early warning is constructed on the basis of the objective function and constraints. According to the mission characteristics of anti-missile early warning, the adaptive interval is set for target assignment, which improves model design rationality. Two groups of simulation experiment are conducted separately in the scenarios of sparse target tracking and dense target tracking. The experimental results show that the proposed method can effectively conduct the target assignment, improve the resource utilization efficiency of phased array radar network, and reduce the frequency of radar switching.

Modeling and analysis of pressure wave propagation inside pipeline of digital switched hydraulic system
CHEN Xiaoming, ZHU Yuchuan, WU Changwen, GAO Qiang, JIANG Yulei
2020, 46(7): 1335-1344. doi: 10.13700/j.bh.1001-5965.2019.0478
Abstract:

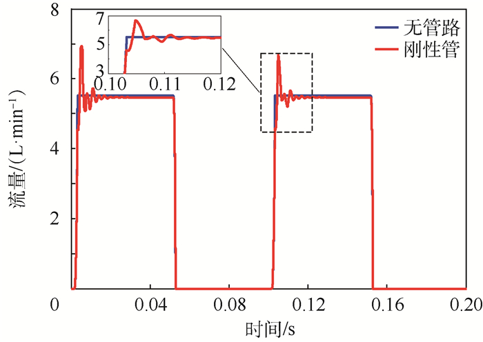
In order to describe the characteristics of pressure wave propagation inside the pipeline in the digital switched hydraulic system accurately, an analytical model of pressure wave propagation inside the pipeline based on the transfer function and time delay was applied in this paper. By coupling the output flowrate characteristics of fast switching valve and pressure wave propagation analytical model, the model for pressure wave propagation characteristics inside pipeline in a hydraulic system controlled by two-position two-way fast switching valve was built and analyzed. The characteristics of pressure wave propagation inside pipeline under different parameters were discussed, and then validated in corresponding experiments. The results indicate that the experimental results are in good agreement with the results of the analytical model. The dynamic characteristics of the fast switching valve have a crucial impact on the pressure wave propagation effect inside the pipeline, which can be strongly affected by the pipeline properties. These will lay the foundation for further research of digital switched inertance hydraulic system.

Comparative study on information fusion methods in constellation distributed autonomous orbit determination
YANG Jing, WEI Ruoyu
2020, 46(7): 1345-1353. doi: 10.13700/j.bh.1001-5965.2019.0463
Abstract:

In order to ensure that the large-scale navigation constellation has autonomous operation capability and accurate position reference information with limited on-board computing capability and communication capability, the information fusion method of constellation distributed autonomous orbit determination based on hierarchical constellation is studied. Taking the Earth-Moon satellite joint constellation as the research object, covariance convex, covariance intersection and matrix weighting method and scalar weighting method in the sense of linear minimum variance are used to achieve fusion estimation of all sub-filters in distributed filter structure. The performance of various fusion algorithms was compared and analyzed. The simulation results show that, based on the constellation distributed autonomous orbit determination algorithm designed by variance amplifying technique, the orbit determination precision is high when covariance convex and matrix weighting method and scalar weighting method in the sense of linear minimum varianceare used, and the precision is equivalent to the centralized filtering precision, while the precision will get down when covariance intersection fusion is adopted because the optimal coefficient cannot be accurately searched.

Spacecraft non-singular adaptive terminal sliding mode attitude-orbit coupling control
PAN Fei, ZHU Hongyu
2020, 46(7): 1354-1362. doi: 10.13700/j.bh.1001-5965.2019.0459
Abstract:

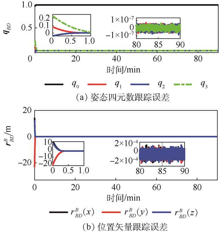
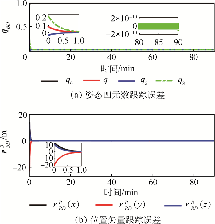
A non-singular adaptive terminal sliding mode control law is proposed to simultaneously control the attitude and orbit of the spacecraft. Firstly, the attitude-orbit coupling dynamic model of the spacecraft with parameter uncertainty is established based on the dual quaternion. Secondly, based on the integrated model of spacecraft, non-singular terminal sliding mode control law is proposed to track the target. Considering the uncertainty of spacecraft quality characteristics, an adaptive control law is designed to further improve the controller effect. The stability of the above control law is proved by the Lyapunov function. Finally, the simulation example of tracking control around the asteroid shows the effectiveness of the control law. The results show that the controller has higher control precision and can converge in limited time. There is no singularity in the simulation. The controller suppresses the influence of the uncertainty of quality characteristics on the control, and the terminal sliding mode chattering characteristics.

Channel compensation and signal detection of OFDM based on neural network
LIU Buhua, DING Dan, YANG Liu
2020, 46(7): 1363-1370. doi: 10.13700/j.bh.1001-5965.2019.0456
Abstract:

A method for Orthogonal Frequency Division Multiplexing (OFDM) channel compensation and signal detection based on neural network is proposed for the complex channel conditions of nonlinear distortion and multi-path effects. First, the receiver uses the Least Squares (LS) and Zero Forcing (ZF) algorithm to preprocess the data, and then the processed data are input to neural network with only one fully connected layer for further channel compensation and signal detection, and finally the data flow is recovered. The simulation results show that, without Input Back-Off (IBO), the Bit Error Rate (BER) performance of the proposed method is two orders of magnitude higher than that of LS algorithm, and one order of magnitude higher than that of Linear Minimum Mean Square Error (LMMSE) and Minimum Mean Square Error (MMSE); with IBO, the proposed method can avoid at least 4 dB power loss under LS channel estimation and at least 2 dB power loss under LMMSE and MMSE channel estimation. To some extent, this paper verifies that the new network structure of machine learning combined with prior knowledge of communication can improve the accuracy of data transmission.

Prediction method of shock wave peak overpressure generated by air explosion of rocket
WANG Yan, WANG Hua, CUI Cunyan, DUAN Yongsheng, ZHAO Beilei
2020, 46(7): 1371-1378. doi: 10.13700/j.bh.1001-5965.2019.0481
Abstract:

During the normal flight of rocket, propellant leakage may lead to explosion due to the failure of rocket structure or components. Once the explosion happens to the rocket, the crew module will be impacted by the shock wave, threatening the life safety of the astronauts. At present, there is little research on how rocket altitude affects shock waves. In order to explore the impact of flight height on peak overpressure of rocket during air explosion and obtain the rapid prediction method of shock wave parameters, ANSYS/LS-DYNA is used to carry out finite element simulation analysis of rocket explosion at different flight heights of 0-20 km. The results show that the peak overpressure of shock wave acting on the crew module decreases fast with the increase of flight height. The relation between pressure attenuation coefficient and flight height of air explosive shock wave follows the decreasing interval of quadratic function. On this basis, the formula of predicting the peak overpressure of the shock wave in the air explosion of rocket considering the height effect is put forward, which can provide some reference for the rapid hazard assessment and protection research of the crew module.

An efficient characteristic-wise hybrid compact-WENO scheme
LUO Xin, WU Songping
2020, 46(7): 1379-1386. doi: 10.13700/j.bh.1001-5965.2019.0573
Abstract:

The characteristic-wise hybrid compact-Weighted Essentially Non-Oscillatory (WENO) scheme HCW-R combines the upwind compact scheme CS5-P with the WENO scheme, achieving an excellent resolution property. However, it needs to deal with the block-tridiagonal systems of linear equations when applied to solve multi-dimensional equations. Therefore, the scheme is computationally expensive. In this paper, we construct the new characteristic-wise hybrid compact-WENO scheme HCW-E, where the upwind compact scheme CS5-F is used to replace CS5-P. Due to the special form of HCW-E, the new hybrid scheme can be solved in an advancing manner, which is along the upwind direction and from the boundary inward. In this way, the tridiagonal or block-tridiagonal systems of linear equations are avoided. As a result, the computational expense of the compact-type scheme is equivalent to that of the explicit scheme. Although the resolution of HCW-E is slightly lower than that of HCW-R, the computational efficiency of the former is significantly higher than that of the latter. Therefore, the new scheme can get better numerical results at the same cost as the previous scheme. A series of numerical experiments for solving Euler equations show that HCW-E has an excellent resolution property and is much more efficient than HCW-R. The superiority of the new scheme in computational efficiency is more significant in solving higher-dimensional problems.

Gust alleviation control for flying-wing UAV by control surface based on limited parameter variation rate
SUN Yixuan, BAI Junqiang, LIU Jinlong, SUN Zhiwei
2020, 46(7): 1387-1397. doi: 10.13700/j.bh.1001-5965.2019.0435
Abstract:

The flying-wing UAV has problems such as low pitching inertia and weak longitudinal stability, and as a result, its gust alleviation characteristics are sensitive to the changes in flight parameters. Furthermore, the flying-wing UAV has multiple control surfaces, the control effects of different placements of control surfaces are generally various. Therefore, the Linear Parameter Varying (LPV) control law design considering parameter variation rate for gust alleviation of this kind of aircraft and the research on the effects of different control surface placements are of great significance. Combined with the parameter-dependent Lyapunov function method and the parameter-varying oblique projection reduction algorithm, an LPV gust alleviation controller considering both parameter variation rate and model reduction is constructed. Based on this method, the LPV gust alleviation controller is designed for the Mini-MUTT flying-wing UAV model, and the influence of different strategies of control surface placement on the control performance is studied. The result shows that the reduced-order model obtained by the parameter-varying oblique projection reduction algorithm can effectively represent the dynamic characteristics of the full-order model. The designed LPV controller can guarantee the effective alleviation of the gust in a wide speed range. In the strategy that single control surface is considered, the control effect of the outboard control surface is superior to that of the inboard one. In addition, the control effect of double control surfaces is better than that of the single one, but the energy of control input of double control surfaces is greater than that of the single one. As a result, the control effect and energy consumption should be considered comprehensively to determine the appropriate control strategy for specific problems in engineering application.

Method of accuracy analysis for composite material surface measurement by lidar
PAN Xin, ZHANG Li, HE Kai
2020, 46(7): 1398-1404. doi: 10.13700/j.bh.1001-5965.2019.0441
Abstract:

In order to meet the accuracy evaluation requirement of composite material surface measurement with lidar, this paper proposed an analysis method based on Signal to Noise Ratio (SNR) of lidar echo signals. By evaluating the detection results, the deformation results after the demolding can be obtained accurately, which is conducive to achieving the repairs of composite material mold. This method considers the influence of measurement distance, incident angle and material property on the results in measurement engineering. And the relationship between echo signal SNR and measurement accuracy in lidar measurement process is studied. Combined with SNR variation law and instrument uncertainty, the accuracy correction factor can be determined in different areas of measurement point-cloud. Finally, this method is used to realize measurement accuracy analysis of large-scale composite material surface deformation measurement results by lidar, which reduces the influence of the measurement error on deformation. This method can accurately evaluate the accuracy of measurement results and obtain the true deformation amount of composite material surface.

Conceptual design method of reconfigurable spacecraft based on visualization model
GUO Dawei, LIU Li, CHEN Yujun, LI Wenguang, CHENG Song
2020, 46(7): 1405-1411. doi: 10.13700/j.bh.1001-5965.2019.0437
Abstract:

In order to give full play to the advantages of innovation in the conceptual design stage, and to satisfy the dual constraints of geometry and performance for the reconfigurable spacecraft, a conceptual design method of reconfigurable spacecraft based on visualization model is proposed. The architecture with openness and extensibility of the conceptual design platform was given, and the platform was built with high-reality interactive interface and rapid performance evaluation function, which can realize the assembly of different configurations of reconfigurable spacecraft. The computational example shows that the proposed conceptual design method can meet the conceptual design requirements of reconfigurable spacecraft, and the developed platform can provide conditions for the conceptual design scheme argumentation of reconfigurable spacecraft.

An offline training method using CGAN for anti-jamming communication decision network
JIANG Minmin, LI Dapeng, QIU Xin, MU Fuqi, CHAI Xurong, SUN Zhihao
2020, 46(7): 1412-1421. doi: 10.13700/j.bh.1001-5965.2019.0448
Abstract:

Due to the continuous interaction with the environment to learn the optimal decision, the training time of the decision network based on reinforcement learning is restricted by the feedback rate of the environment, which usually consumes a lot of time. To solve this problem, an offline training method is proposed. A spectrum virtual environment generator is constructed, which can quickly generate a large number of realistic synthetic spectrum waterfall images for the training of anti-jamming communication decision network. Because the method is separated from the real environment feedback, the offline training is formed and the efficiency of model training is improved significantly. Experimental results show that the training time of this offline method is reduced by more than 50% compared with the online real-time training method.

An integrated planning model for production and transportation in make-to-order multi-site aviation manufacturing industry
SHEN Guangya, LI Liheng, ZHANG Ning
2020, 46(7): 1422-1436. doi: 10.13700/j.bh.1001-5965.2020.0028
Abstract:

An integer programming model is built to solve the integrated planning problems including order allocation, components and parts processing, product assembly and product transportation in aviation parts integrated manufacturing environment with multiple heterogenic discrete manufacturing plants. The objective of the proposed model is the minimization of the total cost in the whole process of production and transportation. The proposed model handles the order allocation problem through constructing the product shipment constraint rather than separately introducing order allocation decision variables or adding order dimensions to the production and transportation decision variables so as to reduce a large number of unnecessary decision variables, which significantly reduces the complexity of the model and improves its practicability. The effectiveness of the proposed model is confirmed by an instance from an aviation manufacturing enterprise.