2020 Vol. 46, No. 8

Display Method:
Volume 46 Issue82020
iconDownload (24193) 973 iconPreview
Influence of ultrasonic energy on weld formation of friction stir welding of aluminum alloy
YANG Kunyu, PENG Bin, YUAN Zhaoqiao, SONG Jiayin, HE Diqiu
2020, 46(8): 1437-1443. doi: 10.13700/j.bh.1001-5965.2019.0485
Abstract:

In order to find out the influence mechanism of ultrasonic energy on the weld formation and weld defects of aluminum alloy Friction Stir Welding (FSW), the combined method of numerical simulation and experimental verification was used to design the comparison of the flow field simulation and test between Ultrasonic Assisted Friction Stir Welding (UAFSW) and friction stir welding under the same process conditions. The flow vector and metallographic structure of the thermoplastic metal on the cross section of the two types of weld are analyzed to find out the flow changes of the weld metal after ultrasonic introduction. The analysis results show that the introduction of ultrasonic energy makes the horizontal flow pattern of the metal in the friction stir welding of aluminum alloy evolve into a sloping flow mode, the two upper and lower independent flow fields are unified, and the lowest flow rate of the weld metal has up to one order of magnitude improvement. The integrity of weld formation is significantly enhanced, and the weld defect rate is greatly reduced.

Multi-scale joint estimation of SOC and capacity of lithium-ion battery
YANG Shichun, HUA Yang, GU Qimeng, YAN Xiaoyu, LI Lin
2020, 46(8): 1444-1452. doi: 10.13700/j.bh.1001-5965.2019.0488
Abstract:

The State of Charge (SOC) and battery capacity estimation of lithium-ion battery are the core of battery management system. Because the parameters of SOC and capacity affect each other in the estimation process, a multi-scale joint estimation method for SOC and capacity of ternary lithium-ion battery is proposed. In this paper, we use the equivalent circuit model of Thevenin to establish the mathematical model and state space equation. In order to solve the problem of different characteristics of battery at different temperatures, model parameters identification was carried out at different temperatures, and the two-dimensional pulse spectrograms of parameters related to SOC and temperature were established. Based on the Dual Extended Kalman Filter (DEKF), a multi-scale joint estimation model of battery state is established. The SOC and polarization voltage of the battery are estimated on the micro-time scale, the capacity of the battery is estimated on the macro-time scale, and the capacity of the SOC estimation is updated to ensure the accuracy of battery long-term estimation. Finally, the proposed multi-scale joint estimation algorithm for ternary lithium-ion battery is validated in a wide temperature range, and the result shows that it has high accuracy.

Dimensionless study on efficiency of new exhaust residual pressure utilization system
YU Qihui, ZHAI Jianwei, TAN Xin, FANG Guihua, MENG Jianguo
2020, 46(8): 1453-1459. doi: 10.13700/j.bh.1001-5965.2019.0499
Abstract:

Using the energy equation, state equation, motion equation and mass flow equation, the basic mathematical model of the cylinder backhaul process of the new exhaust residual pressure utilization system was established. The appropriate reference value is selected to make the mathematical model dimensionless, the software MATLAB/Simulink is used to simulate the dimensionless model, and the influence of each dimensionless parameter on the exhaust recovery efficiency is obtained. From the simulation results, it can be seen that the exhaust recovery efficiency is mainly determined by the dimensionless natural cycle, the dimensionless effective area of the air inlet, the switching criterion and the dimensionless supply pressure of the cylinder. When the switching criterion or the supply pressure of the cylinder increases and the exhaust recovery efficiency decreases, the efficiency can be increased by changing the dimensionless effective area and the dimensionless natural cycle of the air intake. For the determined cylinder drive system, the exhaust recovery efficiency can be improved by changing the volume of the tank.

Fault diagnosis method for wind turbine pitch system based on modified IMM
WANG Jinhua, ZHU Enchang, CAO Jie, YU Ping
2020, 46(8): 1460-1468. doi: 10.13700/j.bh.1001-5965.2019.0526
Abstract:

Aimed at the diagnostic accuracy reduction, speed drop and estimation accuracy loss caused by the fixed model transition probability of Interactive Multi-Model (IMM) fault diagnosis method, this paper proposes a fault diagnosis method based on model transition probability and model probability modification, which is combined with the Particle Filter (PF) to achieve multi-fault diagnosis of wind turbine pitch sensor. In the non-mode-switching phase, the posterior model probability gradient information is used to design the modification function of the model transition probability to suppress the influence of noise on the accuracy of IMM estimation. In the mode-switching phase, the model probability inversion strategy is used to quickly switch models to compensate for diagnostic delay and error diagnosis caused by model soft handoff. The simulation results show that the fault diagnosis accuracy, model switching speed and state estimation accuracy of the proposed method are improved.

Damping anti-vibration design and optimization method of composite skin with hard coating
ZHANG Bocheng, ZHANG Jian, ZHANG Zefeng, HU Jingze
2020, 46(8): 1469-1475. doi: 10.13700/j.bh.1001-5965.2019.0512
Abstract:

To solve the local vibration problem of thin composite skin in civil aircraft, damping anti-vibration design method with hard coating is proposed, and multi-parameter optimization method was carried out in consideration of the effects of structural parameters of coating on the mass and natural characteristics. Based on the finite element method and classical laminated plate theory, dynamic equation of compound structure of composite skin with hard coating was established. Feasible direction method was put forward to obtain the optimal combination of hard coating material performance parameters and thickness parameters to achieve the maximum reduction of resonance peak value, with constraint conditions of given mass increase and natural frequency change range. The optimization example shows that by reasonably designing the parameter combination of elastic modulus and loss factor of hard coating, a higher resonance peak value attenuation can be obtained with a thinner coating, and the optimal anti-vibration performance can be obtained when mass increase and natural frequency change of skin caused by hard coating are controlled in the design range.

Optimization of anode propellant allocation manner of 10 cm xenon ion thruster based on CFD
HU Jing, YANG Fuquan, GUO Dezhou, GAO Jun, ZHENG Maofan
2020, 46(8): 1476-1484. doi: 10.13700/j.bh.1001-5965.2019.0484
Abstract:

The concentration distribution of anode propellant in discharge chamber and its gradient design is one of the most important techniques in discharging mode reliability design, and it directly influences the ionization efficiency and discharge stability of anode propellant. Aimed at the application requirement of multi-objective attitude and orbit control of spacecraft for 10 cm xenon ion thruster, by using the Computational Fluid Dynamics (CFD) method, the CFD model for analyzing the propellant allocation manner is established, which consists of the propellant, the inner tube and the distribution ring. The pressure and velocity distribution rules of anode-ring propellant in different allocation manners were studied without discharge progress to ameliorate circumferential uniformity of propellant in 10 cm xenon ion thruster discharge chamber and improve its utilization efficiency. On this basis, the influences of anode propellant allocation manner on the propellant distribution characteristics in discharge chamber were analyzed. And the performance of anode-ring before and after optimization in 10 cm xenon ion thruster are compared. The results show that after the improvement of the anode propellant allocation manner, the ion production cost drops from 277.9 W/A to 241.2 W/A, and the propellant utilization efficiency in discharge chamber increases from 91.7% to 98.4%, which verify the correctness of CFD calculation results and the feasibility of the CFD method. The results of this research will certainly provide method for the topological structure design and optimization of the discharge chamber of ion thruster.

Distributed moving horizon estimation under constraints of quantized measurements and packet dropouts
LIU Shuai, ZHAO Guorong, ZENG Bin, GAO Chao
2020, 46(8): 1485-1493. doi: 10.13700/j.bh.1001-5965.2019.0497
Abstract:

Aimed at the problem of network constraint, distributed state estimation for networked systems with packet dropouts and quantized measurements is studied. A group of Bernoulli distributed random variables is employed to describe the phenomenon of packet dropouts, and a prediction compensation mechanism is applied to compensate the packet dropouts. Quantized errors introduced by data quantification are described as parameter uncertainty in the observation equation, and the local estimator is obtained by solving a min-max problem in fixed time domain. The stability of the local estimator is studied, and a sufficient condition for the convergence of the expectation of the square norm of estimation error is obtained. For each local estimator, the recursive formula of the upper bound of the error covariance is derived, based on which a distributed fusion estimator is presented by using the Covariance Intersection (CI) fusion algorithm. The simulation results show that the proposed algorithm can effectively reduce the influence of packet dropouts and quantization on state estimation.

Visual feedback system applied to AI chips
LI Xinzhi, DONG Shengbo, CUI Xiangyang, LIU Zhizhe, GUO Guanghao
2020, 46(8): 1494-1502. doi: 10.13700/j.bh.1001-5965.2019.0518
Abstract:

Currently, terminal Artificial Intelligence (AI) chips responsible for inference are commonly used in the market, which use trained parameters to perform fast and efficient calculations on data. However, the training dataset usually has different distribution with the real-world data, and the parameters obtained in this case lead to a decrease in the accuracy of the terminal chip recognition. To this end, this paper proposes a visual feedback system architecture method based on terminal AI chip. Using the deconvolution feature visualization method, the convolution kernel parameters are iteratively optimized on the terminal AI chip with high computational performance to achieve the purpose of recognizing the image. Compared with CPU/GPU and FPGA, the architecture proposed in this paper has more efficient processing capability and flexible plasticity in the convolutional neural network model. Experiments show that the research effectively improves the universality, recognition accuracy and handling efficiency of the terminal chip.

Reentry trajectory planning for range-extended hypersonic vehicles with boosters
FENG Yue, WANG Rongshun, MEI Yingxue, SUN Hongfei, WU Liaoni
2020, 46(8): 1503-1513. doi: 10.13700/j.bh.1001-5965.2019.0519
Abstract:

A reentry trajectory for a hypersonic vehicle with an accessory rocket-powered engine is optimized in terms of the ignition time of boosters and the fuel consumption, based on which a reentry mode of range-extended trajectory is proposed. The analytical solution of Sanger trajectory reveals the conditions of the attack angle and initial velocity for the vehicle to travel the longest distance, which can be used to manipulate the boosters with the goal of maximum travel distance and minimum fuel consumption. The reentry trajectory is designed as a combination of Sanger trajectory and quasi-equilibrium glide trajectory. In the first stage of reentry, the vehicle flies along an equal altitude quasiperiodic trajectory guaranteed by boosters interval ignition, and ensures that the range is longest. In the second stage of reentry, the vehicle flies along a quasi-equilibrium gliding trajectory which is the solution of an optimal control problem with trajectory smoothness and distance as the performance index and the problem is converted and solved by constrained nonlinear programming. Finally, the proposed reentry trajectory is simulated and the results show that the trajectory is quite analogous to the so called "stone skipping" under the conditions of sufficient fuel and appropriate path angle, which can efficiently use its mechanical energy of a stone to long range over a lake. Compared with the trajectories with boosters working in different modes and the trajectories solved in different ways, the proposed reentry trajectory has 3.47-3.84 times range, 1.04-1.18 times end kinetic energy and 4.47-15.79 times fuel availability.

Optimization of diffusion barrier process on copper interconnection
FU Xiaojuan, ZHAO Yiqiang, LIU Jun, SONG Kaiyue
2020, 46(8): 1514-1520. doi: 10.13700/j.bh.1001-5965.2019.0493
Abstract:

Facing the problems about low breakdown voltage and poor reliability of the metal interconnection, the copper diffusion barrier including the thickness of the tantalum barrier and the quality of silicon nitride barrier film was studied and optimized. The Self-Aligned Double Pattern (SADP) method can reduce the critical dimension of metal interconnection and cut down the thickness expectation of the interconnection wire diffusion barrier. In this paper, the resistance and breakdown voltage of metal interconnetion system are compared and analyzed in detail by preparation of tantalum barriers with different thickness. It is found that the hard tantalum material has an impact on Chemical Mechanical Polish (CMP). As the thickness of tantalum decreases, the resistance and breakdown voltage of the interconnection system will increase, and the over-thin barrier will degrade the performance of the barrier and make the uniformity of the whole wafer worse. Meanwhile, the presence of oxygen at the copper wire interface can greatly reduce the adhesion of silicon nitride, which degrades the performance of the silicon nitride barrier. In this experiment, the adhesion of silicon nitride is analyzed by feeding different flow rates of ammonia during the ammonia treatment stage, changing the pre-deposition time and increasing the transition stage in the pre-deposition stage. Experiments show that the adhesion of silicon nitride can be improved with the increase of ammonia flow rate, the decrease of pre-deposition time and the addition of the transition stage, and the blocking ability of film is improved.

Dynamic scheduling for aircraft mobile production line considering material supply interference
LU Bin, LU Zhiqiang
2020, 46(8): 1521-1534. doi: 10.13700/j.bh.1001-5965.2019.0500
Abstract:

To solve the problem of material supply delay during the assembly process of aircraft, the assembly operation scheduling problem of aircraft mobile production line is studied. Through the dynamic analysis of material supply information, reactive scheduling decisions were divided into fixed decisions and predictive decisions in different scenarios, and a dynamic scheduling framework in the environment of material supply interference was established. At each rolling decision point, a two-stage approximate optimization model was established with the objective function of minimizing the expected weighted sum of the deviation from the template plan and the makespan. On the basis of the decision logic of the model, a two-stage tabu search based heuristic was designed to solve the optimization problem of each rolling decision point. Numerical experiments with different scales indicate that the proposed dynamic scheduling method can effectively utilize the constantly updated material supply information to obtain scheduling results which is close to the posterior exact solution, and compared to the traditional scheduling strategies, the proposed method can more effectively deal with the interference of material supply.

A transient modeling method for unknown information regulating valves in complex pipeline network system
WANG Yejun, CHEN Yang, CAI Guobiao, HUANG Yulong, WANG Xianyong
2020, 46(8): 1535-1544. doi: 10.13700/j.bh.1001-5965.2019.0486
Abstract:

The information missing of key regulating valve is an important factor to restrict the modeling of complex pipeline network systems. After classifying and summarizing the modeling research of regulating valves, the conclusion that the flow characteristic curves of most regulating valves are between the equal percentage and the linearity is obtained. Based on this conclusion, a modeling method by using the information-known reference-valve model and the limited system test data is proposed for the valves whose structure and throttling characteristics are unknown. Then, this method is used to establish the models of two unknown-information valves in the core engine test rig gas circuit system. The application to two working conditions including 0-1 400 s normal-temperature condition and 0-1 240 s low-temperature condition shows that the differences of the simulation curves among three different reference-valve models are less than 10%; the average errors between the flow-rate simulation curves of two regulating valves in the 47-component system and the test curves are within 15%; the maximum errors between the pressure simulation curves and the test curves at two downstream branches are within 15%. Thus, the proposed method can provide an effective modeling scheme to solve this kind of problem.

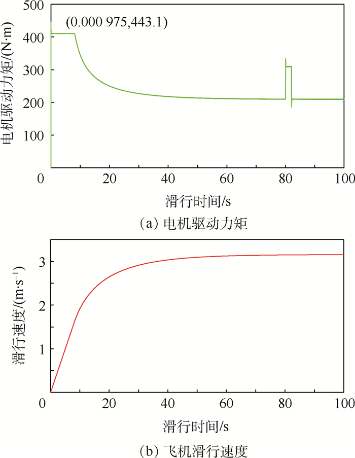
Driving characteristics and energy saving and emission reduction performance of aircraft electric taxiing system
TANG Jianjun, GUO Weidong, XU Dongguang, JIA Yuhong
2020, 46(8): 1545-1554. doi: 10.13700/j.bh.1001-5965.2019.0487
Abstract:

An Aircraft Electric Taxiing System (AETS) based on the main landing gear wheel drive for a medium-range aircraft is designed, the simulation analysis is carried out as well.MATLAB/Simulink was used to model AETS. The driving motor model, the mechanical system model and the emission performance evaluation model are constructed. On this basis, the driving capability, stability, energy saving and emission reduction performance are simulated.The simulation results show that the designed system has good driving capability, excellent stability, and obvious energy saving and emission reduction performance.Using this system to drive the target aircraft to taxi on the ground, the maximum speed can reach 4.91 m/s, which basically meets the requirements of taxiing.When the external load fluctuates, its taxiing speed can be adjusted smoothly. Under the same conditions, when the taxiing distance is 1 500 m, using AETS to replace the main engine to drive the aircraft taxiing on the ground can save more than 75% fuel, and reduce the emission of CO, HC, NOX and other harmful gases by more than 67%.

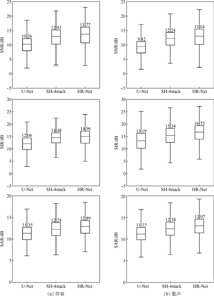
Monaural singing voice separation based on high-resolution network
ZHANG Yang, NIU Zhixian, NIU Baoning, CHANG Yan
2020, 46(8): 1555-1563. doi: 10.13700/j.bh.1001-5965.2019.0491
Abstract:

Monaural singing voice separation separates singing voice and accompaniment from a song, which can be used for applications such as melody extraction, lyrics recognition, karaoke, etc. To resolve the limited accuracy of predicted spectrogram, this paper proposes a monaural singing voice separation algorithm based on high-resolution neural network, which has the advantages of parallel structure and sufficient features interaction for improving the performance of the model. Firstly, the high-resolution network suitable for singing voice separation is designed and constructed. Then, the spectrogram of the origin song is input to the network in order to get the predicted spectrograms of accompaniment and singing voice. Finally, the time-domain signals are reconstructed by combining the song phases with the separated spectrograms. Experiments conducted on the MIR-1K dataset show that SNR, SIR and SAR indicators of the proposed algorithm are better than those of the state-of-the-art algorithm, and the proposed algorithm improves the quality of the separated accompaniment and singing voice.

Electrical impedance tomography based on improved MRNSD algorithm
FAN Wenru, LI Jingyao, WANG Bo
2020, 46(8): 1564-1573. doi: 10.13700/j.bh.1001-5965.2019.0504
Abstract:

Electrical Impedance Tomography (EIT), as a new nondestructive testing method for Carbon Fiber Reinforced Polymer (CFRP), has attracted extensive attention due to its low cost, non-radiation and visualization. Considering the serious ill-posedness of EIT inverse problem, regularization algorithm is usually used to improve the image quality. Based on the Modified Residual Norm Steepest Descent (MRNSD) algorithm, using its advantages in reducing image artifacts and maintaining boundary information, the MRNSD algorithm is improved by preprocessing and soft closed value method to solve the problems of semi-convergence and poor anti-noise effect of the algorithm. Through simulation and experiment, the imaging effects of the improved algorithm and several common algorithms are compared. The results show that the algorithm improves the image quality and anti-noise ability of EIT effectively, and achieves the automatic update of the optimal iteration times, which is conducive to promoting the practical application of EIT method in CFRP damage detection.

Radar LPI performance evaluation method for waveform domain based on IFA-HFS
YANG Chengxiu, WANG Qianzhe, PENG Weidong, LI Huanyu, PEI Shaoting
2020, 46(8): 1574-1581. doi: 10.13700/j.bh.1001-5965.2019.0507
Abstract:

In order to solve the problem of Low Probability of Interception (LPI) performance evaluation of radar waveform domain, a Hesitant Fuzzy Set (HFS) evaluation method based on Improved Firefly Algorithm (IFA) is proposed to obtain index weight. Firstly, we introduce the HFS theory based on Technique for Order Preference by Similarity to an Ideal Solution (TOPSIS), and construct an optimization model of index weights from the perspectives of attribute and scheme. Secondly, we solve the problem that firefly algorithm is easy to fall into local optimum by introducing chaos theory, and give the process to get index weights by using IFA. Then, we extract five LPI performance evaluation indicators between inter-pulse and intra-pulse information from the radar transmitter. Finally, the HFS evaluation method based on IFA is obtained to get optimal index weights. Four different types of radar are selected to simulate and compare the waveform domain LPI performance, and the ranking results are obtained, which verify the rapidity and effectiveness of the proposed algorithm.

Dynamic analysis of off-center arrest for carrier-based aircraft considering kink-wave
XIE Pengpeng, PENG Yiming, WEI Xiaohui, NIE Hong
2020, 46(8): 1582-1591. doi: 10.13700/j.bh.1001-5965.2019.0516
Abstract:

In order to analyze the influence of eccentricity on the safety characteristics of carrier-based aircraft in the process of arresting, a complete dynamic model of arresting system of a certain type of carrier-based aircraft is developed to know more about the dynamic property of aircraft in eccentric arrest. Based on the discrete kink-wave model, the simulation of central arrest with kink-wave is conducted. The simulation results are compared with the experimental data of the related standard and it comes out that the basic changing laws are the same. On the basis of central arrest, the dynamic simulation of off-center arresting is carried out, and the influence of eccentricity on bending wave is studied. The results show that due to eccentric arrest, the initial length and tensile speed of the arresting cables on both sides are different, resulting in the difference of load fluctuation caused by kink-wave. When the eccentricity is more than 20%, the tension of one side of the arresting cable no longer shows an increasing trend of fluctuation, and it will be negative and near breaking tension when the eccentricity is more than 24%.With the increase of eccentricity, the arresting cable on the eccentric side bears more arresting impact load, and the eccentricity will produce negative effects on the arresting system when it becomes too large.

Method for reducing number of ARAIM subsets based on subset inclusion
LIU Jinxin, TENG Jitao, LI Rui, WANG Junjun
2020, 46(8): 1592-1600. doi: 10.13700/j.bh.1001-5965.2019.0517
Abstract:

Advanced Receiver Autonomous Integrity Monitoring (ARAIM) technology can be used for integrity monitoring in multi-constellation combination positioning. The Multi-Hypothesis Separation Solution (MHSS) standard algorithm, recommended by the ARAIM technology subgroup, may produce lots of subsets to bring heavy computational load. Aimed at this problem, in the dual-constellation combined positioning scenario, by analyzing the inclusion relationship between subsets and the change of Position Dilution of Precision (PDOP), a method of reducing the number of subsets by using one subset to replace multiple subsets is proposed. This method can significantly reduce the number of subsets. The simulation results under different parameters show that the efficiency of the optimized algorithm is at least tripled, and the maximum ARAIM availability difference before and after optimization is no more than 3%.

Optimization method of scan test compression circuit based on EDT
LI Song, ZHAO Yiqiang, YE Mao
2020, 46(8): 1601-1609. doi: 10.13700/j.bh.1001-5965.2019.0530
Abstract:

To realize test patterns compression more efficient in integrated circuit Design for Test (DFT), and reduce test data volume and test time, the S13207, S15850, S38417 and S38584 benchmark circuits were analyzed using Embedded Deterministic Test (EDT) scan test compression scheme. By studying the factors that affect test compression such as test patterns and shift cycles, a scan test compression circuit optimization method was proposed with constant test ports and constant compression ratios. The results show that the benchmark circuits have a good compression effect when the number of test ports was set to 2 and the compression ratio was set to 12, 14, 16 and 24 respectively. Compared with the traditional Automatic Test Pattern Generation (ATPG), stuck-at faults test data volume was reduced by 3.9-6.4 times, and test time was reduced by 3.8-6.2 times; transition faults test data volume was reduced by 4.1-5.4 times, and test time was reduced by 3.8-5.2 times. By changing the number of test ports and compression ratios, this method discusses various factors that affect test compression and gives an optimized scheme for the scan test circuit compression design. It improved the efficiency of the scan compression test. This method was verified in a large-scale circuit, and the result shows that it can be applied to the design of integrated circuit scan test compression.

Target detection method for region proposal network with variable anchor box
LI Chenghao, RU Le, HE Linyuan, CHI Wensheng
2020, 46(8): 1610-1617. doi: 10.13700/j.bh.1001-5965.2019.0531
Abstract:

Object detection is a hot topic in the field of computer vision. At present, object detection methods based on deep learning can be divided into two categories: two-stage detection and one-stage detection. The former has higher accuracy, while the latter has better speed. In order to improve the performance of detection, anchor mechanism is introduced in both categories. In this paper, Attention Guidance (AG) module is introduced in the two-stage detection method based on the deep convolutional neural network, which guides the anchor mechanism of Region Proposal Network (RPN), making the selection of preselected box shape more diversified. At the same time, to solve the problem of false detection and missed detection in the traditional post-processing Non-Maximum Suppression (NMS) algorithm, a Confidence factor NMS (Cf-NMS) method is proposed, which makes a great contribution to the overall performance of the model. Experiment results showed that, although it has a slight decrease in speed performance, the proposed method has an improvement in accuracy in both the RPN variant and the existing advanced method.

Design of a novel read and write assisted circuit in low power SRAM
GUO Chuncheng, HAO Xudan, CHEN Fei
2020, 46(8): 1618-1624. doi: 10.13700/j.bh.1001-5965.2019.0533
Abstract:

In order to solve the problem of read and write performance loss in Static Random-Access Memory (SRAM) under low voltage, a novel Dual-Step Control (DSC) word-line voltage technique for low power SRAM is designed, which can simultaneously realize read and write performance and reduce the minimum operation voltage of SRAM. Thus the power consumed is reduced. Write-assist implementation uses the Word-Line Over Drive (WLOD) at the beginning of the word-line to reduce the write access time and improve Write Margin (WM). And read-assist implementation uses the Word-Line Under Drive (WLUD) after the WLOD to reduce static noise and increase the stability. A 256 Kbit SRAM pre-sim and post-sim simulation, which is designed in 28 nanometer Complementary Metal Oxide Semiconductor (CMOS) process, demonstrates that DSC-SRAM lowers the minimum operation voltage by 100 mV, reduces the write access time by 10%, decreases the static power by 30%, and increases its layout area by 4%, compared to the conventional SRAM structure.