2024 Vol. 50, No. 5

Display Method:
Volume 5 Issue E-journal
Volume 50 Issue52024
iconDownload (27921) 987 iconPreview
A review of algorithms for multi-vector attitude synthesis of research
WU Meiping, LIU Yilin, GUO Yan, YU Ruihang
2024, 50(5): 1427-1437. doi: 10.13700/j.bh.1001-5965.2022.0325
Abstract:

The transformation of vector measurements into attitude measurements is known as the Wahba problem in the literature of attitude estimation. This review introduces various algorithms for minimizing the Wahba’s loss function, including estimator of the optimal quaternion (ESOQ), quaternion estimator (QUEST), fast optimal attitude matrix (FOAM), singular value decomposition (SVD) as well as new algorithms proposed in recent years such as fast linear quaternion attitude estimator (FLAE) and the algorithm based on Riemannian manifold. The calculation principle and derivation process are briefly introduced. The computational accuracy and robustness of various methods in calculating rotation matrices are summarized through computer simulation. Then, this review outlines the applicability and working principles of these algorithms in inertial measurement unit (IMU) dynamic alignment, collaborative cluster visual attitude determination, and image mosaic in addressing emerging performance requirements in current applications. Finally, we describe the current limitations and development trends of attitude algorithms in the future.

Image enhancement algorithm for underwater vision based on weighted fusion
BEN Yueyang, TANG Rui, DAI Ping’an, LI Qian
2024, 50(5): 1438-1445. doi: 10.13700/j.bh.1001-5965.2022.0540
Abstract:

Aiming at the problem of poor feature extraction and feature matching in the underwater visual simultaneous localization and mapping (SLAM) front end, an image-enhanced algorithm based on weighted fusion is proposed for the underwater visual SLAM front end. Specifically, the algorithm is based on the fusion of two images: the second image is a white balance of gray world based on color judgment and color compensation, and the first image is an underwater image from brightness enhancement based on adaptive gamma correction and dynamic range expansion. Furthermore, the saliency weight and saturation weight of the two images are calculated, and the input images are linearly weighted and fused to obtain the final enhanced image.The system is tested using an open-source dataset from the University of South Carolina, and the improved underwater image quality is assessed using the techniques of underwater color image quality evaluation (UCIQE) and underwater image quality measurement (UIQM). Consequently, the results show that the processed image has the characteristics of high quality and a large number of extracted feature points, which can significantly improve the effect of front end feature extraction and feature matching of underwater visual SLAM.

Vision-based path planning algorithm of unmanned bird-repelling vehicles in airports
WANG Rui, LI Jinming, SHI Yulong, SUN Hui
2024, 50(5): 1446-1453. doi: 10.13700/j.bh.1001-5965.2022.0717
Abstract:

Low-flying birds flying in the vicinity of the airports are a serious threat to the safety of aircraft takeoff and landing, and the existing bird-repelling measurements make it difficult to effectively repel low-flying birds for high instrument resource consumption and large spatio-temporal influence. In order to reduce the workload associated with repelling birds, this paper suggests replacing manned vehicles with unmanned vehicles. These unmanned vehicles will be outfitted with fixed cameras to enable real-time bird detection near the airport, as well as the collection and provision of bird data for the unmanned vehicles’ route planning. The method is divided into two parts: bird detection and path planning of unmanned bird-repelling vehicles. In order to enhance the accuracy of the network’s bird location, this study first addresses bird detection. Specifically, it suggests an enhanced YOLOv5 network that utilizes a coordinate attention mechanism to effectively identify small target birds in real time. Second, in view of the path planning problem of unmanned bird-repelling vehicles, the traditional path planning algorithms need to be improved in perspectives of long path distances and more inflection points. Therefore, an improved beetle swarm optimization algorithm is proposed in this paper, which can effectively shorten the marched distance of unmanned bird-repelling vehicles, accurately avoid static obstacles and dynamic obstacles in the airport, and quickly reach the designated location. The results show that the method can effectively detect airport birds, and provide timely bird data for unmanned bird-repelling vehicles. The route planning distance can be shortened by using the enhanced beetle swarm optimization technique, giving unmanned bird-repelling vehicles quick access to designated locations. It can effectively reduce human resource investments, save the unmanned bird-repelling vehicles energy, and improve the bird-repelling efficiency.

Aircraft system identification algorithm based on generalized equivalent model
ZHOU Dapeng, LI Heqi, WANG Yeguang, WANG Lixin
2024, 50(5): 1454-1462. doi: 10.13700/j.bh.1001-5965.2022.0507
Abstract:

This study provides a frequency domain identification approach aimed at the high-order time-delay model matching problem for complex systems like carrier aircraft. A high-order time-delay model of the complex system is ultimately identified after the generalized frequency-domain identification model is established and the model is iteratively trained by system frequency domain response data using the gradient descent method of adaptive learning rate. This allows the model’s frequency domain parameters to automatically converge.Verification is carried out with the Dutch roll equivalent model of carrier aircraft. Through the identification and comparison of high-level and low-level models, the algorithm in this paper is compared with the traditional algorithm, and the frequency domain and time domain analysis show that the algorithm in this paper has a good identification effect. It solves the problem of direct fitting of high-order time-delay models, and is suitable for universal high-order time-delay models.

Consensus control of multi-agent systems with uncertain communication networks
LIU Wei, YAN Shi, WANG Xibin, LI Ruitao, ZHOU Shaolei
2024, 50(5): 1463-1473. doi: 10.13700/j.bh.1001-5965.2022.0518
Abstract:

Under general directed topology conditions, a consensus control approach with uncertainty in communication networks is studied, and a consensus controller based on output feedback is built, with the aim of solving the consensus control problem of a class of Lipschitz nonlinear multi-agent systems. Based on the properties of the Laplacian matrix of a graph, the influence of asymmetric topology is overcome, and the consensus control problem under the condition of directed topology is transformed into a robust stabilization problem of a dimension-reduced nonlinear system. Using the properties of the Laplacian matrix,we overcome the influence of asymmetric topology,and convert the consensus control problem under the condition of directed topology into a resilient stabilization problem of a dimension-reduced nonlinear system. Using the Lyapunov function direct method, the sufficiency conditions for the system to achieve consensus are deduced, and the design of the feedback matrix of the controller is transformed into a feasible solution problem for solving linear matrix inequalities. Finally, numerical simulations were conducted under both leaderless and leader-following topology conditions, and the results showed that the system can achieve consensus in the presence of uncertainty in the communication network.

Pinning control of AUV cluster under input delay and communication delay
DU Xue, SUN Zhaodong, XU Chenglong, JIN Zesheng
2024, 50(5): 1474-1480. doi: 10.13700/j.bh.1001-5965.2022.0538
Abstract:

Addressing the impact of latency issues on cluster stability. The traction control strategy is studied. Through the use of feedback linearization, the autonomous underwater vehicle (AUV) model is reduced to a second-order integrator model. The formation control problem of multiple AUV clusters with time delay is examined, and the traction control and consistency control are combined. The influence of input delay and communication delay on the AUV cluster system is analyzed. The Nyquist criterion control theory is used to prove it. We provide the sufficient and necessary conditions for the system’s asymptotic convergence, which is made up of the cluster’s pinned and unpinned AUV. Finally, the correctness of the theorem is further verified by numerical simulation.

Obstacle detection and tracking method based on millimeter wave radar and LiDAR
NIU Guochen, TIAN Yibo, XIONG Yu
2024, 50(5): 1481-1490. doi: 10.13700/j.bh.1001-5965.2022.0541
Abstract:

Limited detecting range, low precision, and poor stability are just a few of the issues with obstacle detection and tracking that arise when using a single millimeter wave radar, or LiDAR, on an unmanned vehicle in a park. An obstacle-detecting and tracking approach based on the fusion of radar and LiDAR is proposed. Firstly, the improved Euclidean clustering algorithm is adopted to extract the objects in the road boundary from LiDAR point clouds. Furthermore, effective objects can be obtained from millimeter wave radar data which is handled based on an information filtering strategy. Then, the adaptive fusion of two kinds of objects described above is carried out based on the intersection over union and reliability analysis of objectdetection. The tracking gate and the joint probabilistic data association (JPDA) algorithm are performed to match sequence frames. In order to achieve obstacle tracking, the interacting multiple model and unscented Kalman filter method are finally put into practice. The experimental results show that the proposed method has higher accuracy and stability than using a single sensor for obstacle detection and tracking.

A multi-task traffic scene detection model based on cross-attention
NIU Guochen, WANG Xiaonan
2024, 50(5): 1491-1499. doi: 10.13700/j.bh.1001-5965.2022.0610
Abstract:

Perception is the foundation and key issue to autonomous driving, but most single models can’t simultaneously complete multiple detection tasks such as traffic objects, drivable areas, and lane lines. This paper proposes a multi-task traffic scene detection model based on cross-attention, which can detect traffic objects, drivable areas and lane lines simultaneously. Firstly, the encoder-decoder network is used to extract the initial feature maps. Subsequently, the cross-attention module obtains the segmentation and detection feature maps, and hybrid dilated convolution improves the original feature maps. Finally, the semantic segmentation is performed on the segmentation feature maps and object detection is performed on the detection feature maps. The experimental results demonstrate that, on the difficult BDD100K dataset, our model performs better than existing multi-task models in terms of task-wise accuracy and total computational efficiency.

Engineering test method for avionics system based on conformity evidence chain
ZHONG Lunlong, ZHANG Zhuoxuan, CHEN Yonggang
2024, 50(5): 1500-1511. doi: 10.13700/j.bh.1001-5965.2022.0643
Abstract:

In order to form logical and traceable airworthiness conformity materials, an engineering test method for an avionics system based on a conformity evidence chain is proposed, and the key problems in the implementation are analyzed and studied. A validation platform based on the specifications of an automatic flight control system’s airworthiness verification is built and implemented, using the engineering test of the system as an example. In the validation scheme, for the problem of describing the uncertainty of some parameters under complex validation scenarios, an authentication scheme based on classification probability multi-scene analysis is proposed. Based on the requirements of airworthiness verification, the flight data is filtered. To characterize the uncertainty of specific parameters under the validation scenario, a deterministic scenario with the occurrence probability is constructed by applying statistical characteristic analysis, random sampling, and merge reduction to the filtered flight data. A method for analyzing airworthiness compliance based on weighted Dempster-Shafer evidence theory is proposed, with the goal of addressing the issue of airworthiness conformity judgment in multi-scenario and multi-parameter conditions through validation data analysis. The occurrence probability of deterministic scenes is taken as the weight to conduct evidence fusion, and the interference of some small probability scenes on the fusion results is avoided. The suggested approach is practical and efficient, as demonstrated by the outcomes of the automatic flight mode engineering test conducted utilizing real flight data for the automatic flight control system.

UAV control law design method based on active-disturbance rejection control
ZUO Ling, ZHANG Xianglun, LI Zhiyu, QIN Wei, HOU Lin, YANG Sen
2024, 50(5): 1512-1522. doi: 10.13700/j.bh.1001-5965.2022.0488
Abstract:

To provided a fast solution to multi-UAV and multi-task flight control law design, this paper presents a control law structure based on the active-disturbance rejection control method, and designs a reusable extended state observer and tracking differentiator. Meanwhile, the application of this method to three different UAV platforms is introduced. Then, the agility evaluation tests, the maneuver flight tests and the multi-UAV formation flight tests were carried out respectively. As a result, the 7000 kg supersonic UAV_A obtained better agility than the target plane; the 60 kg UAV_B successfully completed the 5.8g half-roll reverse maneuver flight test; the 10 kg UAV_C realized the precise trajectory control with 15 meters spacing interval of 12 UAVs formation flight test. The results show that the ADRC control structure has the advantages of fast response, high control accuracy and strong robustness. It can effectively adapt to multi-type UAVs and multiple mission scenarios, and achieve better control effects without the need for gain schedule, thus, providing a new technical approach for flight control design.

Reconfiguration control and motion simulation of tilt-rotor aircraft with multilinks
WANG Xuqiao, LAI Feilong, ZHAO Changli
2024, 50(5): 1523-1531. doi: 10.13700/j.bh.1001-5965.2022.0522
Abstract:

Multilinks rotorcraft has the characteristic of configuration transformation, which is an effective configuration design method to deal with the variation of motion space. The dynamic reconfiguration flight of Multilinks rotorcraft has a critical configuration interval that cannot be achieved because of the lack of lateral rotation moment cauased by motor co-axis under configuration change.In order to solve this issue, a chain rotor body structure with lateral tilting was designed, in which, the single arm was taken as the basic modular structure unit, the horizontal configuration was changed by rotating joints, and tilting vector joints were configured in the middle of the arm to provide rolling moment support. Based on the derivation of the kinematics and dynamics models, the control distribution was linearized by introducing virtual control variables, the control efficiency matrix was solved by using the Moore-Penrose pseudo-inverse, and the flight control law was designed for the full configuration transformation.Finally, experiments were carried out to show that configuration change is controllable and that the fully-actuated control stability of a typical configuration is possible. The simulation results show that the maximum error of axial angle tracking of attitude is less than 0.05° during all the typical configurations, in the condition of the whole configuration transformation it’s less than 0.1°, and in both cases, the position deviation can be controlled within 1 mm. The aircraft can fly stably when the configuration changes, which provides the necessary conditions for dynamic reconstruction and robust flight.

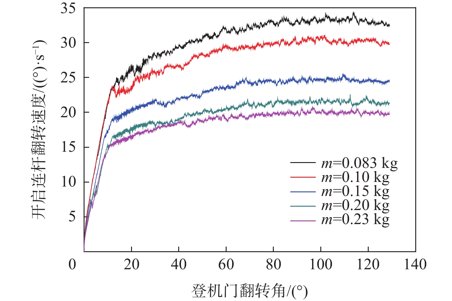
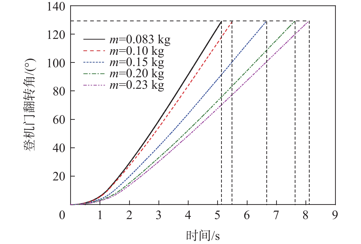
Design of a new opening and speed limiting mechanism of passenger door
ZHI Wenjing, LI Jiangang, ZHANG Chen, LIU Dongping, DU Xiujun
2024, 50(5): 1532-1540. doi: 10.13700/j.bh.1001-5965.2022.0714
Abstract:

The passenger door is an important part of the cabin door mechanism of civil aircraft, which directly affects the integrity and safety of the aircraft structure and function. A new opening and limiting device was created to control the falling speed of the passenger door after the causes of the damage to the rotating shaft of the door during the undamped free fall of the MA600 aircraft were investigated in accordance with the needs of the engineering project development. In CATIA, the open speed limiter, passenger door and boarding ladder, and virtual prototype model of the MSC/ADAMS are installed to analyze the dynamics of free falling gate opening speed limiter analysis. The simulation results demonstrate that the designed speed-limiting mechanism can limit the falling time of the gate to 6 s, effectively reduce the impact of the gate falling on the gate structure, and provide a theoretical basis for the sample output and test.

Formation reconfiguration control of UAV swarm based on MPC-PIO
LIAO Jian, GAO Xiangyang, YAN Shi, ZHOU Shaolei, WANG Donglai, KANG Yuhang
2024, 50(5): 1541-1550. doi: 10.13700/j.bh.1001-5965.2022.0398
Abstract:

To realize security and accurate strikes under the battlefield environment with various obstacles, unmanned aerial vehicle swarm must possess the ability of self-formation reconfiguration. The unmanned aerial vehicle movement model and leader follower swarm formation control structure are established. The cost functions of unmanned aerial vehicle swarm formation control, obstacle avoidance and collision avoidance are proposed based upon the model predictive control (MPC) framework. The pigeon inspired optimization (PIO) algorithm is used to optimize the swarm formation reconfiguration control. Based on the results of numerical comparative simulations, the proposed algorithm has shown excellent performance in formation tracking error and optimization speed. The results indicate that the proposed algorithm is able to achieve autonomous formation reconstruction and significantly enhance the efficiency of the MPC method.

Rotation binocular stereo rectification algorithm based on hierarchical spatial consistency
LUO Qijun, TIAN Xin, GAO Qingji
2024, 50(5): 1551-1559. doi: 10.13700/j.bh.1001-5965.2022.0611
Abstract:

The mechanical gap of the turntable in the rotating binocular stereo vision system causes the left and right cameras to rotate and deviate in translation, severely distorting the stereo rectification image. To solve this problem, a rotating binocular stereo rectification algorithm based on hierarchical spatial consensus is proposed. Firstly, oriented FAST and rotated BRIEF (ORB) features are used for the fast global stereo matching in the original images, and a new global double-layer constraint of feature points is defined to realize the preferred selection of the matching points. Then, a local verification method based on the consensus of the neighborhood space of the inliers is proposed to realize the secondary matching optimizations and the matching points are optimized by quality sorting. To finish the stereo rectification of the pictures, the eight-point method-based fundamental matrix estimation algorithm determines the precise pose relationship between the left and right cameras. The comparison experiments of typical algorithms on Oxford and SYNTIM datasets verify the proposed algorithm's performance. The multi-angle stereo rectification experiment shows that the proposed algorithm can adapt to the change of optical axis angle, and ensure the quality of stereo rectification when the maximum angle of binocular is 45°. The deviation of the matching point is less than 0.2 pixels.

Vibration control of flexible spacecraft with output constraints and external disturbances
LIU Shuyang, YANG Honglei, ZHANG Zhenguo, LI Yuanchun
2024, 50(5): 1560-1567. doi: 10.13700/j.bh.1001-5965.2022.0622
Abstract:

A vibration control with direct joint torque input is presented for flexible spacecraft systems subject to external disturbances and output limits. Firstly, the dynamic characteristics of the system are described by a distributed parameter model which is composed of partial differential equation (PDE) and ordinary differential equation (ODE). Secondly, the tangential barrier Lyapunov function is used to ensure that the output constraints of vibration errors and attitude angle errors are met by a nonlinear disturbance observer that is intended to adjust for external disturbances. The asymptotic stability of the system is proved by extended LaSalle’s invariance principle and semigroup theory. It not only realizes the position control of attitude angle, but also restrains the elastic vibration of flexible spacecraft. Finally, the effectiveness of the proposed control method is verified by comparison simulations.

Migration control strategy for swarm density based on PDE-constrained heat conduction
PAN Xiao, SONG Ting, LI Meng, YAO Chuang
2024, 50(5): 1568-1575. doi: 10.13700/j.bh.1001-5965.2022.0635
Abstract:

Advances in miniaturization are enabling the development of microscale swam with the advantages of high functional density, lower cost and high flexibility for the potential applications of reconnaissance monitoring, and space offensive and defensive operations. Facing the development trend of spacecraft formation in the huge quantification and intelligence, this paper investigates the model and control of swarm orbit evolution in potential applications for deep space missions. The spatial density distribution and its change with time and space are described by the partial differential equation of heat conduction, drawing an analogy with thermodynamics. The controller which generates a smooth velocity field is constructed based on the thermal diffusion mechanism, to enable the swarm to move to the desired density distribution. The asymptotic convergence and stability analysis of the velocity field feedback control is also provided. As an example, simulations are operated for the evolution of swarm density in one- and two-dimensional spaces. The findings show that the proposed method work well and can produce the desired swarm distribution in a predetermined amount of time.

Aircraft flight qualities of short take-off and vertical landing
ZHEN Xudong, WANG Zi’an, HU Runchang, GONG Zheng, CHEN Yongliang, WANG Jiangfeng
2024, 50(5): 1576-1585. doi: 10.13700/j.bh.1001-5965.2022.0413
Abstract:

Based on the characteristics of short take-off and vertical landing (STOVL) aircraft, the flight quality requirements of STOVL aircraft are proposed in light of control efficiency and modal characteristics, combined with the AGARD 577 flight quality specification. The control efficiency of the vehicle in the transition state of STOVL is evaluated based on the STOVL 6-DOF model simulation. Drawing on the concept of equivalent system matching, the hybrid algorithm of the genetic algorithm and least square method is used to carry out low order equivalent matching of high order aircraft model with L1 adaptive controller. Using this low order model, the modal characteristics of the vehicle in longitudinal and lateral directions are evaluated. The evaluation demonstrates the first-class flight quality of the aircraft in STOVL .

Data-driven fault detection and diagnosis for UAV swarms
LI Runze, JIANG Bin, YU Ziquan, LU Ningyun
2024, 50(5): 1586-1592. doi: 10.13700/j.bh.1001-5965.2022.0441
Abstract:

The security requirements of the unmanned aerial vehicle (UAV) swarm system are extremely strict, and real-time fault detection and diagnosis is one of its important supporting technologies. This paper presents a fault diagnosis method based on statistical model and improved broad learning system (BLS) model. Firstly, the behavior characteristics of UAV swarm system under normal and different fault modes are characterized by multivariate data statistical analysis, and then the improved BLS model is used to achieve accurate and rapid fault diagnosis. On this basis, a high fidelity simulation verification platform is developed to verify the rationality and effectiveness of the proposed method. The experimental results show that the proposed method has obvious diagnostic advantages compared with the current mainstream methods.

UAV three-dimensional path planning based on ε-level bat algorithm
WANG Fuyi, MENG Xiuyun, ZHANG Haikuo
2024, 50(5): 1593-1603. doi: 10.13700/j.bh.1001-5965.2022.0502
Abstract:

To address the problem of complex terrain environment and various threats and constraints, this article proposes a path planning algorithm for UAV based on ε-level improved bat algorithm. First, according to the drone target function and constraints, a three-dimensional path planning model of the UAV is established. Second, in response to the precocious phenomenon in handling the high-dimensional constraints problem of the bat algorithm, the adaptive weight coefficient and iteration threshold are designed to balance the exploration and exploitation capabilities of bat algorithms. Furthermore, by integrating an ε-level comparative strategy, the algorithm's capability to handle issues of non-convex and non-linear constraints is enhanced. Additionally, a three-dimensional Dubins curve with variable turning radius is designed to smooth the path and solve the problem of penetrating the terrain of the two trails. Through simulation experiments and compared with BA, PSO, ε-PSO and ε-DE, the algorithm proposed in this paper shows superior performance in terms of exploitation ability, stability and success rate.

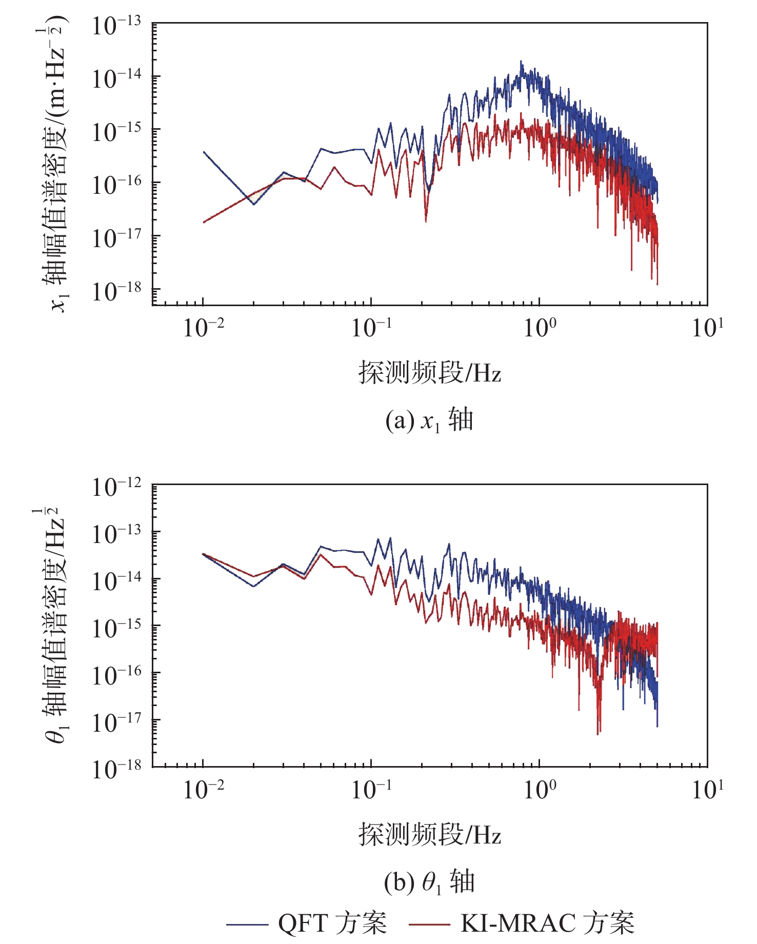
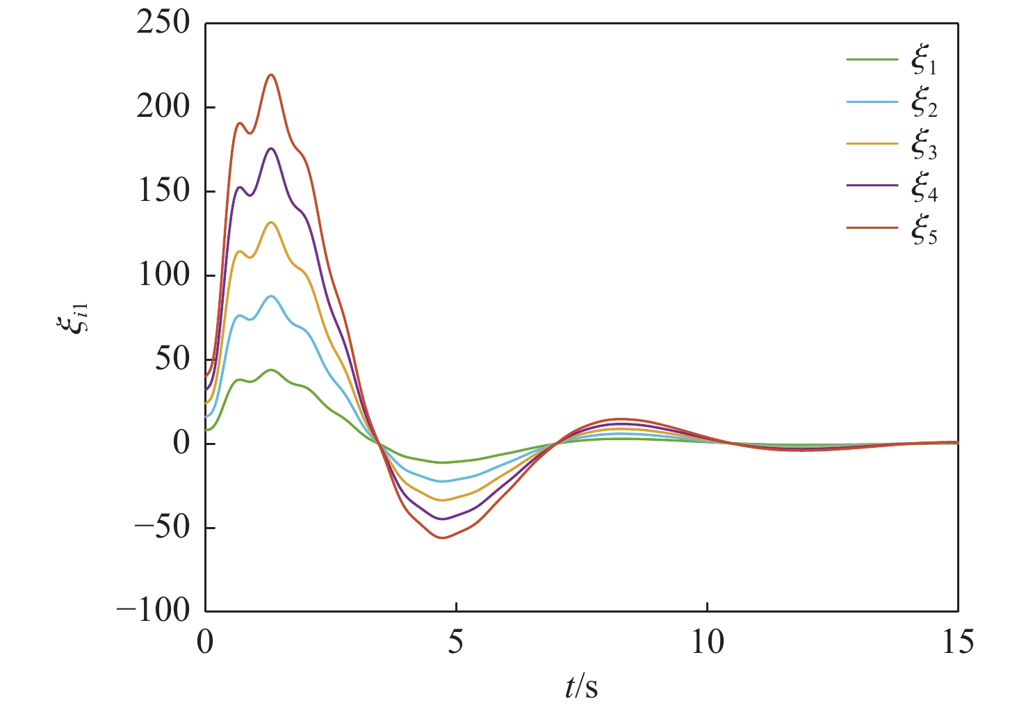
Output regulation adaptive drag-free control with enhanced Kinky Inference
SUN Xiaoyun, SHEN Qiang, WU Shufan
2024, 50(5): 1604-1613. doi: 10.13700/j.bh.1001-5965.2022.0504
Abstract:

Achieving ultra-precision and ultra-stable requirements is challenging in the space gravitational wave detection mission due to complex disturbances present in the spacecraft's internal test masses, including load hardware noise, environmental noise, and micro-thrust coupling noise.These disturbances impact the accuracy of drag-free control. In this paper, an adaptive drag-free control method is proposed for spacecraft based on the lazily adapted Lipschitz constant Kinky Inference (LACKI) scheme. When there is not enough empirical data, the LACKI scheme is used to approximate disturbances and suppress non-Lipschitz components. The model reference adaptive control (MRAC), which is based on output regulation, is then used to precise the drag-free control of test masses. Numerical simulation verifies the state response performance of the translational and rotational degrees of freedom of sensitive axes and the estimation effect of the LACKI rule for random discontinuous disturbances, and the accuracy conclusion of the drag-free control loop is obtained.

An online compensation method for random error of optical gyro
LU Kewen, WANG Xinlong, WANG Bin, DING Xiaokun, HU Xiaodong
2024, 50(5): 1614-1619. doi: 10.13700/j.bh.1001-5965.2022.0523
Abstract:

The random error online compensation method of optical gyro establishes a random error model offline and compensates random error online by Kalman filter. However, when used for online compensation, the offline random error model has deviation due to the influence of the external environment and the stability of the gyro’s performance. In addition, changes in the external environment cause measurement noise with time-varying statistical characteristics, which does not meet the requirement that the Kalman filter must have known the noise’s prior statistics. The above factors reduce the online estimation accuracy of random error. Therefore, an online random error compensation method based on adaptive filtering is proposed. The influence of random error model deviation is reduced to time-varying virtual system noise by introducing virtual noise. In order to remove the effects of random error model deviation and time-varying measurement noise, the fading memory time-varying noise estimator is used to estimate and correct the statistical properties of the virtual system and measurement noise. The experimental results show that the proposed method can realize high-precision online compensation for random error, and has certain engineering application value.

RBF neural network robust adaptive control of quadrotor aircraft
MA Zhenwei, BAI Hao, CHEN Hongbo, WANG Jinbo
2024, 50(5): 1620-1628. doi: 10.13700/j.bh.1001-5965.2022.0595
Abstract:

The paper presents a robust adaptive global control method based on radial basis function (RBF) neural network for quadrotors with model uncertainties and bounded external disturbances. The method combines the strong fitting ability of neural network control to unknown nonlinearities and the global stability of robust control, which solves the problem that neural network control is only semi-globally uniformity ultimately bounded, and achieves the double improvement of control accuracy and robustness. A robust controller that operates outside of the approximation domain and a neural network controller that operates within it make up the planned controller. A smooth switching function is introduced to achieve smooth switching between the two to ensure that all signals of the closed-loop system are globally uniform and ultimately bounded. Using the Lyapunov function and Barbalat's lemma, the stability of the nonlinear quadrotor aircraft system is strictly proved. Under model uncertainty and constrained external disturbance, simulations demonstrate that the suggested controller still maintains a good tracking performance for the reference trajectory, and the tracking error approaches zero.

Robust anti-swing technology for helicopter slung load based on wave control
LI Honghong, HAN Yanhua
2024, 50(5): 1629-1638. doi: 10.13700/j.bh.1001-5965.2022.0326
Abstract:

Application of helicopter to transport heavy and bulky loads creates various stability problems especially during maneuvering from level flight to hovering; thus, it is significant to reduce the swing amplitude of suspended loads. An anti-swing controller is designed for a helicopter with slung loads by using wave control method. A nonlinear mathematical model with four degrees of freedom for the helicopter is developed by applying Lagrangian analysis method. Then the developed model is linearized by little disturbance method in equilibrium operating points. On this basis, a state feedback controller is designed with eigenvalue configuration method. An anti-swing wave controller is then designed to reduce the pendulum angle. The simulation shows that the control of the pendulum angle and helicopter position has good dynamic performance and stability. Different biases of slung-load mass in the simulation verify that the designed wave controller has strong robustness, thus demonstrating the effectiveness of the designed wave controller.

Air gap flux-oriented vector control techniques of wind power synchronous motor
WANG Jiahao, TIAN Yuru, YU Naizhao
2024, 50(5): 1639-1645. doi: 10.13700/j.bh.1001-5965.2022.0463
Abstract:

Wind energy is one of the most promising renewable energy sources in China, and the main factors affecting the application of wind energy conversion are the control method and characteristics of wind turbines. This study proposes a vector control technique based on air gap flux orientation, addressing the problem that the wind turbine control method is difficult to achieve effective capture of wind energy in wind energy conversion. We obtain the mathematical model in the rotating coordinate system through ${6{\mathrm{s}}/2{\mathrm{r}}}$ vector transformation. The vector control technique of directional air gap flux is studied, the observation model of the motor-current-voltage hybrid flux linkage is designed, and the torque and flux of the motor are controlled independently. The double Y-shift $ 30^{\circ} $six-phase synchronous motor is taken as an example for simulation analysis. Results show that the proposed technique has good steady-state performance and dynamic performance when the motor is started without load and with sudden load. The proposed technique solves the nonlinearity and coupling of polyphase motor control, and improves the universality and rapidity of the model.

Formation control and aggregation method of UAV based on consensus theory
GOU Jinzhan, LIANG Tianjiao, TAO Chenggang, MA Bo, WANG Haifeng, WU Yu
2024, 50(5): 1646-1654. doi: 10.13700/j.bh.1001-5965.2022.0470
Abstract:

According to the characteristics of unmanned aerial vehicle kinematics model and the problem of remote forming, an improved consensus-based algorithm was proposed to solve the gathering-forming strategy of unmanned aerial vehicle. The coordinate system which can describe the formation directly was established. According to the characteristics of the three degree-of-freedom kinematics model of unmanned aerial vehicle with autopilot decoupled from longitudinal and transverse directions and the constraints of unmanned aerial vehicle maneuvering performance, the consensus algorithm was improved to realize the control of unmanned aerial vehicle speed, heading and flight altitude. The formation control algorithm was proposed. In addressing the parameter tuning problem caused by the large initial spacing of unmanned aerial vehicle, a gathering process was added. The particle swarm optimization algorithm was used to optimize the gathering speed to avoid trajectory conflicts, and the proposed algorithm was used to generate trajectory of each unmanned aerial vehicle after the gathering, both of which improved the adaptability of the algorithm. The simulation results show that the proposed algorithm can make unmanned aerial vehicles form a stable formation under the condition of satisfying the maneuverability constraints. Compared with the direct forming method, the proposed strategy improves the adaptability and security of the improved consistency algorithm.

Effectiveness evaluation method for earth observation satellite attitude control system
CAO Yin, CHENG Yuehua, GAO Bo, ZHANG Yanhua, XU Guili
2024, 50(5): 1655-1664. doi: 10.13700/j.bh.1001-5965.2022.0489
Abstract:

The problem of satellite system effectiveness assessment is the basis of satellite efficiency improvement and satellite program optimization design. Taking the attitude control system for earth observation satellite attitude control system as the object of effectiveness assessment, an analysis of satellite requirements is conducted to establish the effectiveness assessment index system for the earth observation satellite attitude control system. Based on the theory related to gray correlation analysis, the entropy weight method was introduced to calculate the index weights, and the effectiveness assessment model was established to calculate the comprehensive gray correlation degree, and realize the effectiveness assessment of satellite attitude control system. The realizability and practicality of the established system were verified through data.

Quadrotor sliding mode control based on predefined time
LIU Hao, HUANG Shan, TU Haiyan
2024, 50(5): 1665-1674. doi: 10.13700/j.bh.1001-5965.2022.0481
Abstract:

To address the control problem of the position loop and attitude loop of the quadrotor, so that the position and attitude of the quadrotor can be stable in the predetermined time, a position and attitude controller based on the predefined time sliding mode control algorithm is proposed. By controlling the position loop and attitude loop of the four rotors, the position and attitude of the quadrotor can be stabilized within a predetermined time. The proposed algorithm is proved by theoretical derivation and numerical simulation. The simulation results show that the position and attitude of the quadrotor with the proposed controller can achieve stability in the predetermined time.

Motion analysis and gait planning of a novel revolving wheel-legged robot
ZHANG Chengyao, WANG Gang, CHE Honglei, LI Wenjun
2024, 50(5): 1675-1684. doi: 10.13700/j.bh.1001-5965.2022.0491
Abstract:

To address the problems of the existing quadruped robot's insufficient obstacle surmounting ability and unstable obstacle surmounting, a new wheel-legged robot was proposed to achieve high obstacle surmounting and stable centroid through wheel-train transmission. Adopting the wheel configuration, the hip joint of the robot expands the range of motion of the robot leg, overcomes the contradiction between the height of obstacle crossing and the length of the robot leg, and ensures the smooth motion trajectory of the robot centroid through reasonable gait planning. A kinematics model of the robot was established based on Denavit-Hartenbery (D-H) method, and the mapping relationship between the end of the robot leg and the height of obstacle crossing was constructed. According to the mapping relationship, the optimal height of obstacle crossing was 66.4% of the length of the robot leg. The static stability criterionv center of gravity (CoG) is used to plan the obstacle crossing gait and static walking gait of the robot, and the stability of the center of mass under this gait is verified by simulation experiments. An experimental prototype was built and the obstacle crossing experiment was carried out, which further verified the effectiveness and feasibility of the high obstacle crossing height and stable centroid of the proposed wheel-legged robot.

Distributed adaptive anti-disturbance control for power systems based on multi-agents
SHI Tongxin, CHEN Longsheng, LI Tongshuai, JIN Feiyu
2024, 50(5): 1685-1692. doi: 10.13700/j.bh.1001-5965.2022.0496
Abstract:

In response to problems like the inevitable nonlinearities, uncertainties and dynamic external disturbances in multi-machine power systems, a distributed adaptive anti-disturbance control scheme is proposed based on radial basis function neural networks (RBFNN) and nonlinear disturbance observers (NDO) to enhance transient stability and robustness. The unknown nonlinearities of the system are approximated by RBFNN, and NDO are designed based on the output of RBFNNs to estimate the compounded disturbances on-line. A novel distributed adaptive anti-disturbance control scheme for multi-machine power systems is developed with multi-agents' framework, which can receive real-time data measured by communication networks, and control the action of energy storage devices. The speed synchronization of each motor is guaranteed in the presence of external disturbances, and the stability of the closed-loop system is proven based on the Lyapunov stability theory. The simulation results verify the effectiveness of the proposed scheme.

Intelligent solution method based on high-speed aircraft fire control model
YANG Ben, JIN Feiteng, LIU Yanbin, CHEN Boyi, PENG Shouyong
2024, 50(5): 1693-1701. doi: 10.13700/j.bh.1001-5965.2022.0503
Abstract:

This paper studies the fire control calculation problem of air-breathing high-speed aircraft. High-speed aircraft has higher requirements for the fire control model calculation, a more complicated flying environment, and a shorter response time than traditional subsonic and supersonic combat aircraft. A calculation method of the high-speed aircraft fire control model is proposed. First of all, the mathematical model of the air-breathing high-speed flight vehicle is established; and the fire control model of the high-speed aircraft platform is constructed. Then, the attack area is solved using the fast simulation method in conjunction with the Archimedes optimization algorithm based on the flight characteristics of the high-speed aircraft, and the carrier aircraft's initial command signal is solved in reverse. The simulation results show that the solution method has high solution accuracy, few control parameters, wide attack area, and can exert strong flight performance of high-speed aircraft.

Fixed-time formation control of quadrotor UAV swarm with unknown disturbances
ZHENG Weiming, XU Yang, LUO Delin
2024, 50(5): 1702-1712. doi: 10.13700/j.bh.1001-5965.2022.0506
Abstract:

A fixed-time formation control approach is proposed for the formation control of underactuated nonlinear quadrotor UAV swarm with unknown disturbances. Firstly, a distributed fixed-time sliding mode estimator is designed. Each UAV can quickly estimate its own desired position information under the condition that only some UAVs can obtain the desired trajectory. Secondly,in order for the UAV to produce disturbance estimates to counteract the impact of the compound disturbances, a fixed-time disturbance observer is also inserted to estimate the unknown compound disturbances. Then, fixed-time sliding mode controllers are designed in the position layer and control layer of the UAV to track the desired trajectory. The proposed method can satisfy the attitude stability convergence. Finally, the accuracy and effectiveness of the proposed method are verified through numerical simulation.

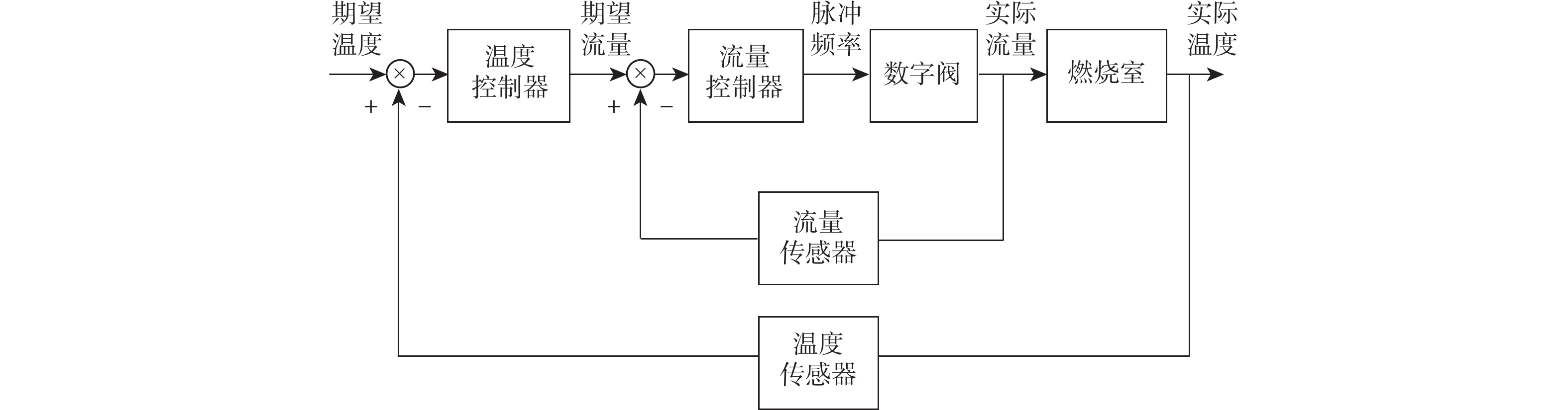
Model-free adaptive cascade control for temperature system of a hot wind tunnel
CHEN Jiacheng, YANG Xu, MA Yuxiang, LI Dong, DONG Sujun, LI Yunhua
2024, 50(5): 1713-1720. doi: 10.13700/j.bh.1001-5965.2022.0528
Abstract:

For the dynamic calibration of high-temperature thermocouples, the thermal strength test of aero-engine blades, and other application scenarios, the thermal wind tunnel can offer a well-distributed and stable temperature field. How to control the thermal flow generated by thermal wind tunnel in a wide temperature range is a difficult problem. Therefore, the mathematical models of fuel flow rate and combustor temperature in hot wind tunnel are established. A cascade control method is designed, in which the inner loop is incremental proportional integral derivative (PID) and the outer loop is model-free adaptive control (MFAC). The incremental PID controller controls the fuel flow rate, and the MFAC controller is used to control the combustor temperature, which can effectively control the temperature of the combustor. A comparison test between the classic cascade PID control method and the cascade FuzzyPID-PID control method is conducted, along with numerical simulation and experimental analysis of various target temperatures. The experimental results confirm the feasibility and superiority of the proposed control scheme.

Improved predictor-corrector guidance method for time-coordination entry
GAO Yuan, HU Yu, CHEN Jinyong, ZHANG Jie, ZHOU Rui
2024, 50(5): 1721-1730. doi: 10.13700/j.bh.1001-5965.2022.0530
Abstract:

For the hypersonic vehicle, a time coordination predictor-corrector guidance approach based on an open-loop coordination structure is presented to achieve the time coordination of the entry gliding process. The guidance method does not depend on real-time communication between the vehicles. The longitudinal guidance is modified on the basis of the traditional predictor-corrector guidance method. The normalized weighted error is introduced to consider both the remaining range error and flight time error obtained by calculating the full ballistic integral. To implement longitudinal guiding, Newton’s iterative approach is used to calculate the bank angle amplitude in each guidance circle. The simulations show that the guidance method can effectively adjust the flight time of the vehicle and guide multiple vehicles to reach the entry point at the expected flight time. The Monte Carlo results also demonstrate the robustness of the proposed guidance method.

A comprehensive air-ground target attackability value ranking based on comprehensive weighting
SUN Xue’an, WANG Yin, ZHOU Qixian
2024, 50(5): 1731-1737. doi: 10.13700/j.bh.1001-5965.2022.0539
Abstract:

In the area of intelligent warfare, unmanned system combat capabilities have increasingly become an important factor in the military strength of major powers. When utilizing unmanned aerial vehicles for air-to-ground assault operations, it is imperative to assess and prioritize the enemy’s ground targets' strike values. This paper presents a newly developed index scheme to determine the threat values of both air and ground targets in a real-time fashion. In the proposed method, the weights of each threat factor were calculated through a combined method, using the entropy weight method and the analytic hierarchy process. Subsequently, the ranking of both air and ground targets is determined and visualized through a sectoral radar map. A number of ground and aerial targets are valued using a simulation example, and the result is a target value ranking that complies with the convention.

Flight data anomaly detection based on correlation parameter selection
ZHONG Jie, LUO Chong, ZHANG Heng, MIAO Qiang
2024, 50(5): 1738-1745. doi: 10.13700/j.bh.1001-5965.2022.0574
Abstract:

With the maturity of unmanned aerial vehicle (UAV) technology, UAVs are being used more and more widely in the military and civilian fields. Meanwhile, the safety of UAV is gradually being emphasized. The health of the UAV’s flight can be immediately reflected in its flight data. Anomaly detection research for UAV flight data is one of the important ways to improve the overall safety of UAVs. In this paper, we propose a convolutional neural network (CNN) anomaly detection method based on correlation parameter selection for flight data. Firstly, we use the maximal information coefficient (MIC) and Pearson correlation coefficient method to explore the correlation among flight parameters and establish a set of correlations between flight parameters. Then, we use the correlation flight parameters to train the convolutional neural network regression model. Finally, the anomalies were determined based on the residuals between the true and predicted values of the model. The false positive rate, false negative rate, and accuracy indexes of the approach suggested in this work were 0%, 0.19%, and 99.6%, respectively, demonstrating the method’s superiority. The method was confirmed using actual UAV flight data.

Altitude control strategy for high-aspect-ratio wings with active morphing
SHE Wanqiang, LIU Yanbin, CHEN Boyi
2024, 50(5): 1746-1752. doi: 10.13700/j.bh.1001-5965.2022.0612
Abstract:

This paper proposed a deformation-aided altitude control strategy for the high aspect ratio aircraft to address the flight control problem of the structure/flight coupling dynamics. Based on the assumption of element wings, the dihedral deformation of high aspect ratio aircraft are constructed, and the structure/flight longitudinal coupling dynamic model is established. Two control strategies are discussed: altitude control with active morphing (AM) and passive morphing (PM). The elevator is regarded as the only control input in PM strategy, whereas control inputs are extended as elevator and torque in AM strategy. An identical linear quadratic regulator control method is adopted in both control strategies. Simulation results show that the AM strategy can effectively improve the transient processes of altitude tracking and reduce damping in the attitude channel.

Fault diagnosis of gearbox under open set and cross working condition based on transfer learning
MA Xiang, XU Shu, SHANG Pengchao, MA Jian, ZHOU Ruzhi
2024, 50(5): 1753-1760. doi: 10.13700/j.bh.1001-5965.2022.0719
Abstract:

With the continuous development of industry and aerospace technology, the working conditions and failure modes of rotating machinery are becoming increasingly diversified and complex, and reliability and safety problems are becoming increasingly prominent. It is critical to research efficient fault detection techniques since many working condition data lack fault labels and the failure modes amongst various working conditions are asymmetric. Take the gearbox as the case verification object, set up cross-working conditions, and open set fault diagnosis scenarios. A method is proposed to address the issue of lacking fault labels under the target working condition. It takes into account the ability of migration learning to facilitate cross-domain knowledge application. Specifically, migration learning is used to transfer knowledge from the source working condition to the target working condition, and the cross entropy classification loss function is used to identify known fault types. However, transfer learning has the problem that the greater the field difference is, the worse the effect is. It is difficult to solve the open set problem of asymmetric fault modes under cross-working conditions. In order to identify the known and unknown classes of target working circumstances, a method utilizing a convolutional neural network to extract similar data characteristics between working conditions is proposed. The two classification loss functions are then used in this process. The joint loss function is proposed to train the diagnosis model and realize the joint migration of fault features from the source domain to the target domain. The results of the case analysis show that the method can realize cross-working condition fault diagnosis under an open set, and the average diagnostic accuracy is more than 90%.