2024 Vol. 50, No. 6

Display Method:
Volume 6 Issue E-journal
Volume 50 Issue62024
iconDownload (23474) 1005 iconPreview
Research on toxicity of gases of thermal runaway released from ternary lithium-ion batteries featuring cyclic aging process
ZHANG Qingsong, QU Yirun
2024, 50(6): 1761-1769. doi: 10.13700/j.bh.1001-5965.2022.0534
Abstract:

Thermal abuse experiments were carried out on ternary lithium-ion batteries with a range of cyclic aging degrees in order to investigate the changes in thermal runaway characteristics and the harmful effects of released gases during the cyclic aging process of high-energy-density lithium-ion batteries. Additionally, a gas sensor array was used to carry out quantitative analysis on the toxicity of pyrolysis gases based on fraction model of effective dose. The results demonstrated that the ternary lithium-ion battery with high nickel content was equipped with poor cyclic performance since the health state of the battery was lower than 70% after 200 cycles of aging. Aging batteries tended to transform into a state of thermal runaway, which reacted more drastically with less energy released, consequently, the combustion efficiency of the released gas is low. The detriments of asphyxiating gases released during the thermal runaway of batteries were more harmful than irritating gases in a confined space, and the cumulative effect of asphyxiating gas toxicity of batteries after 150 times of cyclic aging process tended to reach the critical value, which is one, 638 s earlier than fresh batteries. With the aging degree increasing, immediate toxic effects of irritant gases and immediate effects of gas lethal toxicity weakened. Compared with fresh batteries, immediate toxic effects of irritant gases after 100 times of cyclic aging process decreased by 0.34, and immediate effects of gas lethal toxicity decreased by 0.19. The study’s findings can offer data support for the assessment of safety and the aging process’s thermal runaway warning.

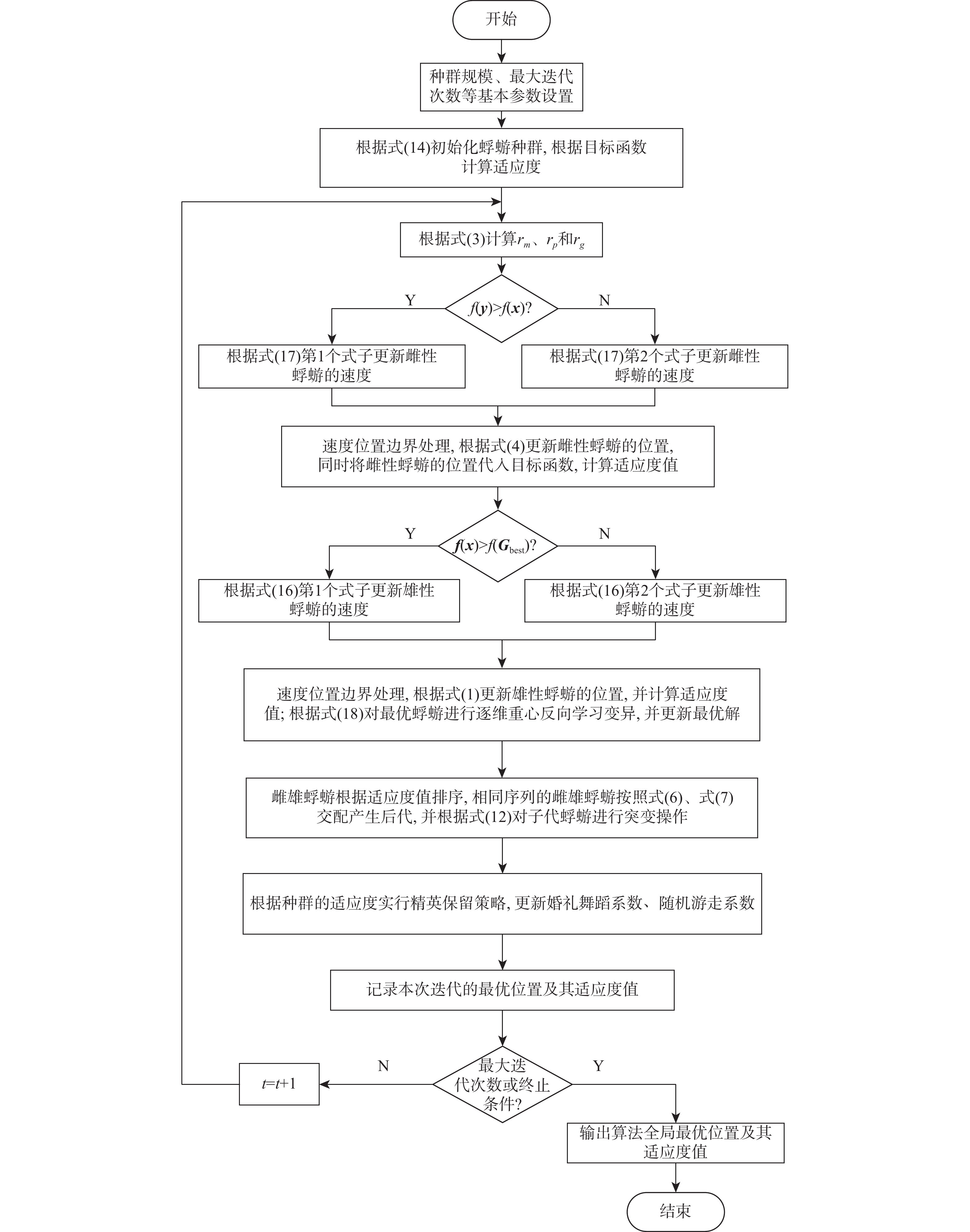
Improved mayfly optimization algorithm based on anti-attraction velocity update mechanism
MAO Qinghua, WANG Yinggang, NIU Xiaohui
2024, 50(6): 1770-1783. doi: 10.13700/j.bh.1001-5965.2022.0550
Abstract:

To address the problem that the mayfly optimization algorithm (MA) has a slow convergence speed in the early stage and not high accuracy in the later stage of the search, a modified mayfly optimization algorithm (MMOA) based on the anti-attraction speed update mechanism is proposed. Firstly, an improved Tent chaotic sequence is used to initialize the mayfly population, which makes the mayfly distribution more uniform and improves the diversity of the population. Secondly, in order to enhance the algorithm’s convergence performance, an anti-attraction speed update mechanism is presented to direct the mayfly speed update depending on the properties of the MA. Finally, the dimension-by-dimension centroid opposition-based learning strategy is performed on the global best mayfly, which reduces the interference between dimensions, helps the algorithm jump out of the local optimum and accelerates the convergence. Based on a comparison of simulation experiments using 12 conventional test functions and a few CEC2017 test functions, the findings indicate that MMOA clearly outperforms algorithms such as grey wolf optimizer (GWO) and MA in terms of convergence speed, stability, and optimization accuracy.

Improved NSGA2 algorithm for disrupted departure flights recovery
CHEN Kejia, WU Juntao
2024, 50(6): 1784-1793. doi: 10.13700/j.bh.1001-5965.2022.0552
Abstract:

To solve the problem of airline flight disruption caused by emergencies, this paper recovers the disrupted departure flight. A bi-objective optimization model for minimizing airline delay cost and passenger delay time is constructed. An adaptive non-dominated sorting genetic algorithm-Ⅱ based on dominant strengths (ANSGA2-DS) is designed. The novel crowding distance, the adaptive elitist retention technique, and the quick dominant sorting approach are the three enhanced operations that are given. The proposed algorithm is verified by the operation data of an airline in Fuzhou Changle International Airport. The experimental results reveal that, compared with the traditional first scheduling first serve method, the algorithm proposed in this paper can reduce the costs greatly. In contrast to the ε-constraint approach, the ε-constrained approach requires a longer solution time, and the resulting solution results are similar to those of the ε-constrained approach. Compared with the NSAG2 algorithm and the MOEAD algorithm, the algorithm proposed in this paper shows better performance. The proposed algorithm can solve the problem effectively and efficiently, and provide a basis for airlines to reach an optimized solution.

Rule-based integrated stability control of multi-axle special vehicle
CHENG Hongjie, YANG Jianfu, LIU Zhihao, LI Ruoting, GAO Lei
2024, 50(6): 1794-1805. doi: 10.13700/j.bh.1001-5965.2022.0569
Abstract:

In order to improve the active safety and handling stability of multi-axle special vehicles, taking a heavy-duty 5-axle special vehicle as the research object, based on the adaptive coordinated control strategy, an integrated active rear wheel steering (ARS) and differential Hierarchical stability integrated control strategy for differential braking torque distribution (DBTD). The decision-making layer decides the coordinated control instructions of the ARS and DBTD sub-control systems based on the rules. The distribution layer uses the feedforward and feedback control technique to achieve the distribution of the active steering wheel angle, and it uses the synovial film control and specified rules to realize the distribution of the wheel differential braking torque. The control effect of the control strategy is verified by the co-simulation of Trucksin and Simulink, and the motion states of the stability-controlled vehicle and the uncontrolled vehicle under the two extreme conditions of high-attachment high maneuvering steering and low-speed low-attachment steering are compared and analyzed. The findings demonstrate that, under high-speed and high-speed situations, the integrated control system-controlled vehicle’s amplitudes of the yaw rate and side-slip angle are lowered by 46% and 63%, respectively, in comparison to the uncontrolled vehicle. With the working conditions, the yaw rate and the center of mass sideslip amplitude of the vehicle are reduced by 47% and 58% respectively compared with the uncontrolled vehicle. The integrated control system can effectively improve the driving stability of the vehicle during high-speed steering and low-speed low-speed steering. Steering sensitivity and path following performance.

Multi-layer wave-shaped topology and thermal design method for aero-electric propulsion motors
XU Jinquan, LIN Huapeng, GUO Hong
2024, 50(6): 1806-1818. doi: 10.13700/j.bh.1001-5965.2022.0498
Abstract:

In view of the serious heat dissipation problem of aero-electric propulsion motors, an efficient heat dissipation design method of aero-electric propulsion motors based on multi-layer wave-shaped heat dissipation topology was proposed. The aero-electric propulsion motor adopted a multi-layer wave-shaped heat dissipation topology. In addition, the equivalent thermal network model of the motor was established, and important parameters such as contact thermal resistance and convection heat transfer coefficient were determined. The motor temperature was precisely calculated, and the accuracy and effectiveness of the thermal network model of the motor were verified by CFD simulation. On this basis, the effects of traditional fin-shaped heat dissipation topologies and multi-layer wave-shaped heat dissipation topologies on the power density of the motor were compared. Based on the equivalent thermal network model of the multi-layer wave-shaped heat dissipation topology, the genetic learning particle swarm optimization (GL-PSO) algorithm was used to optimize the efficient heat dissipation design of the aero-electric propulsion motor. The optimization results show that compared with the initial scheme, the weight of motor housing in the optimized scheme is reduced by 15.1%, and the power density of the motor is increased by 0.06 kW/kg.

Adaptive filtered control for uncertain electro-hydraulic servo systems with time-varying output constraints
PAN Changzhong, HE Guang, LI Zhijing, ZHOU Lan, XIONG Peiyin
2024, 50(6): 1819-1828. doi: 10.13700/j.bh.1001-5965.2022.0497
Abstract:

To address such problems as output constraints and uncertainties in the position tracking control of electro-hydraulic servo systems, an adaptive filter control method with output constrained was proposed based on the time-varying tangent barrier Lyapunov function. Firstly, a tangent barrier Lyapunov function with a time-varying constrained boundary was derived. By setting the parameters of the time-varying boundary function, the output of the system achieved good transient and steady performance.Secondly, a radial basis function (RBF) neural network and a weight adaptive learning law were designed to approximate the compound disturbance composed of model uncertainties and unknown disturbances online, and the approximate value was used for feedback control.Then, a second-order command filter backstepping method was used to design a state feedback control law and an error compensation mechanism, so as to avoid“computation explosion”in the backstepping design and eliminate the filtering error so that the position tracking accuracy of the system could be improved. Finally, the convergence of all error signals in a closed-loop system was proven by the Lyapunov stability theory. The simulation results show that the steady-state tracking error of the system under the proposed method is about 3.48×10−8 m.Compared with other control methods, the tracking error is always constrained within the time-varying constraint boundary, and control performance and tracking accuracy are both improved.

A fault propagation path analysis method for flight control system based on improved FPPN
ZHANG Xiaoyu, ZHANG Fengqi, GUO Runxia, WU Jun
2024, 50(6): 1829-1841. doi: 10.13700/j.bh.1001-5965.2022.0520
Abstract:

In view of the multi-redundancy and multi-closed-loop structural characteristics of the flight control system, the directed graph model and the fuzzy Petri net (FPN) model were used, and a fuzzy probability Petri net (FPPN) model for fault propagation of the flight control system was constructed, so as to solve the fault propagation path of the flight control system with a specific structure. The improved FPPN model consisted of three parts:directed graph model of flight control system, quantitative calculation model for fault propagation characteristics, and FPPN model for fault propagation. A directed graph model of system fault propagation was built by analyzing the functional behavior and physical structure of the flight control system through object-oriented technology and utilizing complex network theory. The Floyd algorithm was introduced to carry out the system coupling correlation analysis, and the system fault propagation characteristics were defined based on the two indicators of node degree and edge betweenness. On the basis of the directed graph model, the corresponding structure mapping rules were proposed. The FPPN model for fault propagation of the flight control system was constructed. With the improved parameter quantization method, two reasoning algorithms were set to effectively analyze the fault propagation paths of the system with multi-redundancy and closed-loop structure characteristics. Through numerical analysis and example verification, the typical fault propagation path of the flight control system and the status value of the relevant nodes on the path were obtained, so as to verify the effectiveness of the proposed method.

Martian terrain feature extraction method based on unsupervised contrastive learning
YANG Bo, WEI Xiang, YU He, LIU Chaofan
2024, 50(6): 1842-1849. doi: 10.13700/j.bh.1001-5965.2022.0525
Abstract:

Intelligent surface terrain recognition of Martian is significant for the autonomous exploration of Mars rovers. At present, the methods used for feature extraction of Martian terrain images are mainly divided into two categories: traditional shallow visual feature extraction and deep feature extraction based on supervised learning. However, these methods tend to lose image information and require a large amount of labeled data, which are key problems to be solved. A Martian terrain feature recognition method based on unsupervised contrastive learning was proposed. By establishing the image dictionary dataset, a single image was compared with other images in the dictionary dataset by using two groups of neural networks, namely “query” and “encode”. Then, the similarity function was used as the loss function to train the network, so as to realize the feature recognition of Martian terrain images. The proposed method could also recognize new types of terrain images outside the training dataset and showed superior performance in subsequent recognition and classification tasks. Simulation results show that the recognition accuracy of the proposed method is 85.4%, and the recognition accuracy of new terrain images is 84.5%.

Potential conflict prediction of mobile targets in airfield areas based on LSTM
WANG Xinglong, YIN Hao, HE Min
2024, 50(6): 1850-1860. doi: 10.13700/j.bh.1001-5965.2022.0505
Abstract:

In view of the problem of frequent conflicts in airfield areas, a method to predict the potential conflicts of mobile targets in airfield areas based on long short-term memory (LSTM) network was proposed. According to the complex network theory, aircraft and vehicles were taken as the research objects, and the network of mobile targets in the airfield area was established. The dynamic evolution model of the network was set, and the operation data was input to calculate multiple characteristic indicators of the network. In addition, the principal component analysis of the indicator time series was carried out to synthesize the potential conflict indicator. A LSTM network model was built by using the Keras framework, and the indicator time series were input into LSTM network for training and prediction and compared with other prediction methods. The actual operation data of Xi’an Xianyang Airport were used for experiments. The predicted values were compared with the real values. The mean square errors of the predicted results of each indicator were 1.608%, 13.126%, 0.072%, 0.004%, and 0.014%, respectively. The results show that the potential conflicts can be described from different perspectives by using characteristic indicators of the network after the network model of mobile targets in the airfield area is built. LSTM network can effectively predict the potential conflicts in the network of mobile targets in the airfield area, remind relevant personnel to prevent conflicts, and reduce the probability of conflicts.

A decision tree-based discovery method for Bitcoin unreachable nodes
LI Ruiguang, ZHU Jiawei, WU Fudong, GAO Jiaqi, XU Dawei, ZHU Liehuang
2024, 50(6): 1861-1867. doi: 10.13700/j.bh.1001-5965.2022.0558
Abstract:

Unreachable nodes refer to nodes that don't accept connection requests in the Bitcoin network, which are difficult to detect and verify. The existing studies mostly focused on the reachable nodes, but less on the unreachable nodes. A new approach is proposed to find the unreachable nodes based on a decision tree model, which can automatically classify unreachable nodes from a large numberof Bitcoin addresses. The results show that the proposed approach got an accuracy of 95.73% and a recall of 91.97% on the experimental dataset. The author applied the approach to the real dataset and verified it by the cyberspace search engines. The proposed approach’s accuracy was 53.75% and the recall was about 76.86%. The distribution of network providers, geographical areas, and the overall number of Unreachable nodes were discussed, which provided technical support for Bitcoin supervision.

Design of rectangular cross-section spring anti-reverse device for a certain type of aviation
LAI Jinyong, GUAN Wenqing, LUO Guangzhao, CHAO Shiyuan
2024, 50(6): 1868-1876. doi: 10.13700/j.bh.1001-5965.2022.0750
Abstract:

Due to its bulk and weight, the conventional anti-reverse mechanism is not appropriate for use in aircraft items that are very responsive to weight indicators. In this paper, a design method for the small and lightweight rectangular cross-section spring anti-reverse device is proposed. Through the mechanical analysis of the rectangular cross-section spring in the anti-reverse device, the relationship between the force and deformation of the rectangular cross-section spring is deduced. The anti-reverse performance with the size of the rectangular cross-section spring and the interference with the matching sleeve is studied. Genetic algorithms are used to determine and resolve the effective working conditions of the spring anti-reverse device with a rectangular cross-section. The structural model of the rectangular cross-section spring anti-reverse rotation device is established by CATIA software, which is imported into HyperWorks software for verification analysis. By the manufacture and measurement results of the designed prototype, it is shown that the weight of the rectangular section spring anti-reverse device designed based on this study can be reduced by 60% compared with the traditional friction disc type under the same load condition. The correctness and reliability of the design method are verified by comparing the simulation results with the experimental data.

Theories and simulations of river boundary and level measurement using GNSS-I/MR
WANG Feng, YANG Pengyu, YANG Dongkai
2024, 50(6): 1877-1887. doi: 10.13700/j.bh.1001-5965.2022.0529
Abstract:

This paper explored the feasibility of extracting the river boundary and measuring the river level using global navigation satellite system-interferometric/multipath reflectometry (GNSS-I/MR) from its geometry and theoretical models. Based on the difference in the dielectric constant between the bank and river and the fact that the bank has a slope relative to the river, two observational variables sensitive to river boundary, namely the reflected-to-direct ratio and the delay rate were defined. According to the estimated envelope and phase of carrier-to-noise ratio using Hilbert transform, this paper proposed the estimation method of the reflected-to-direct ratio based on a univariate quadratic equation and that of the delay rate based on linear fitting, as well as a 3-threshold maximum interclass variance-based algorithm to recognize river/bank and a looped fitting-based algorithm to extract the river boundary. The river level was measured based on the delay rate of the river surface. By setting up a simulation platform and designing two river scenarios, the effectiveness of the proposed method was verified through simulation.

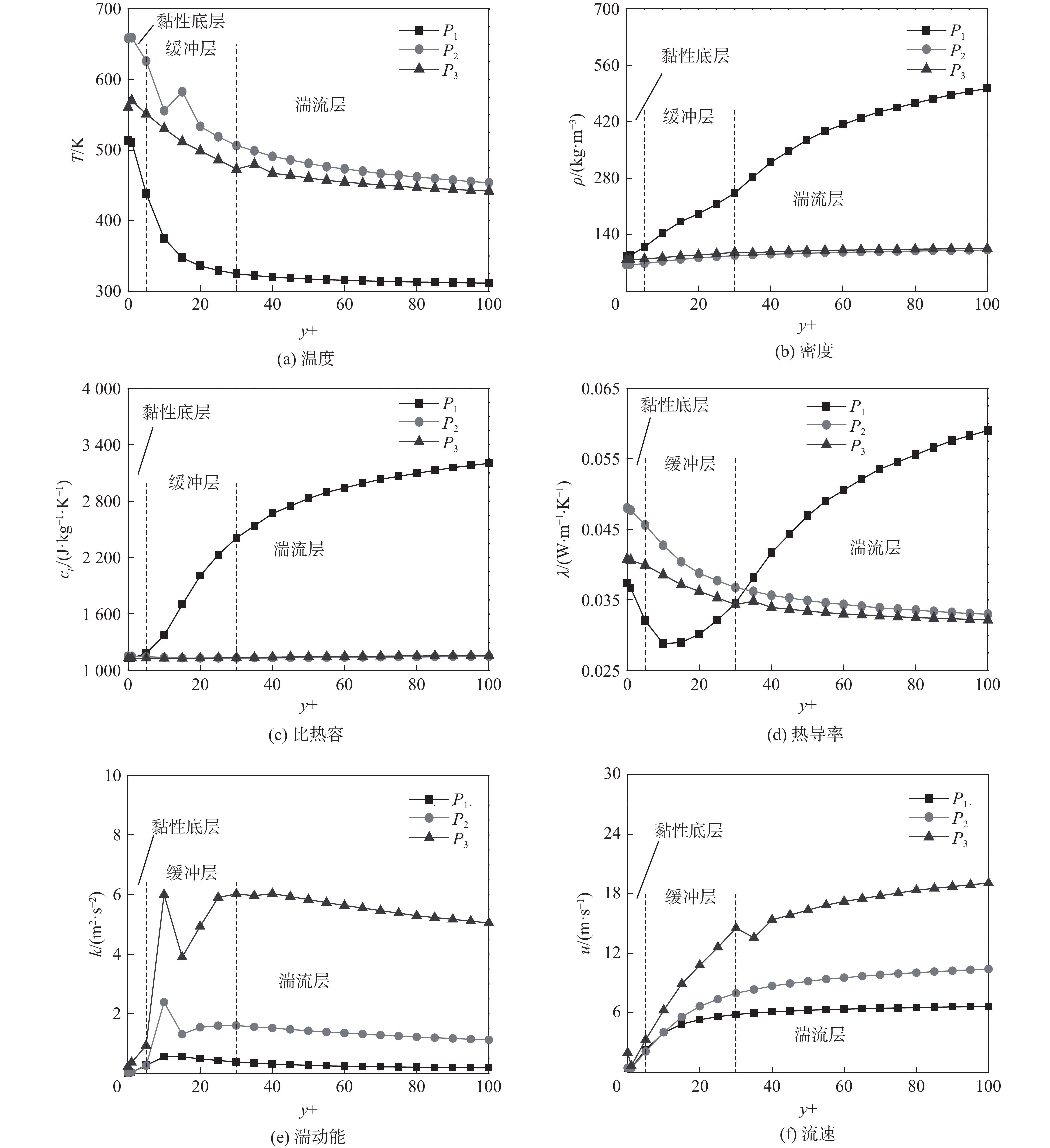
Numerical study on heat transfer deterioration of supercritical-pressure carbon dioxide in a square channel
WANG Yanhong, LI Yujian, LI Hongwei, DONG Ming
2024, 50(6): 1888-1897. doi: 10.13700/j.bh.1001-5965.2022.0533
Abstract:

Based on the use of carbon dioxide rather than hydrocarbon fuel for aero-engine thermal protection, a numerical study was conducted to examine the deterioration of supercritical carbon dioxide heat transfer in a square cooling channel. The heat transfer characteristics along the axial and circumferential directions of the channel were studied, and the reasons for the deterioration of heat transfer were explained through the distributions of temperature, local mass flux and streamlining. The evolution process of heat transfer deterioration was further elaborated by the boundary layer analysis. The effect mechanisms of operating pressure and wall roughness on heat transfer were investigated. The critical heat fluxes for heat transfer deterioration at different operating pressures and wall roughness conditions were obtained, and the critical heat flux prediction criterion was established. The findings indicate that the features of heat transfer deterioration include the streamline distortion, local mass flux reduction, and high-temperature gas-like layer close to the channel’s top wall. The severe reduction of turbulent kinetic energy and the peak of velocity in the buffer layer are the reasons for deteriorated heat transfer. Increasing the operating pressure and increasing the wall roughness can help to suppress the deteriorated heat transfer. The established criterion (error ±15%) has a good prediction for the critical heat flux of heat transfer deterioration.

Development and experimental of friction tester for aluminum alloy sheet stamping
LI Xiaoqiang, ZHANG Hegang, WANG Shuo, LI Gaofeng, MENG Qingkuo, ZHANG Yongsheng
2024, 50(6): 1898-1910. doi: 10.13700/j.bh.1001-5965.2022.0542
Abstract:

The overall design concept of the servo pressure and friction test platform for aluminum alloy sheets under heating circumstances was designed with the aim of meeting the need for friction testing of aluminum alloy sheet stamping. A small-load high-precision multi-functional friction testing machine system suitable for aluminum alloy sheet forming was developed. The system consists of a mechanical system, a heating system and a control system. The mechanical system realizes the movement support of the upper tool and chuck. The heating system realizes the separate heating of tools and specimens. In the servo control mode, combined with the external force sensor and the grating ruler, the force and displacement control double closed loop system is realized, which realizes the high precision and stability control of the specimen pressure and the tool gap. Finally, the orthogonal experiment was designed to explore the influence of different factors on the friction of aluminum alloy blank. The results show that the friction tester has stable performance and good repeatability. The important order of factors affecting friction coefficient is tool temperature, pressure, speed, and lubricant. The lower the temperature, the greater the pressure, the faster the speed, and the smaller the friction coefficient. The same type of lubricant has less influence on the coefficient of friction. The tendency of the coefficient of friction decreasing decreases with increasing pressure and eventually becomes more steady.

Short linkable-and-redactable ring signature and its blockchain correcting application
WANG Jiechang, LIU Yuling, ZHANG Ping, LIU Muhua, LI Jie
2024, 50(6): 1911-1920. doi: 10.13700/j.bh.1001-5965.2022.0557
Abstract:

Linkable-and-redactable ring signatures (LRRS) could improve the anonymity of blockchain, prevent double-flower attacks and correct blockchain data, but its signature size increased with the increase of ring members. With the aim of addressing the issue, this paper combined the existing LRRS and short ring signature with a dynamic accumulator to gather the public keys of ring members. Subsequently, new signatures were created based on knowledge proofs (SPK) derived from the original SPK, a short LRRS (SLRRS) was suggested, and a new blockchain correcting protocol was suggested based on the signature. In the random oracle model, the proposed signature is proved to be unforgeable, anonymous and linkable. Performance analysis demonstrates that as the number of ring members rises, the size of the current signatures grows, but the size of the proposed signature stays constant. In addition, the duration of these signatures increases, but the proposed signature's time climbs the slowest.

Aeroelastic morphing flight simulation platform for a folding wing aircraft
XU Hao, HAN Jinglong, XI Yong, JIA Chenglong, SUN Zhao
2024, 50(6): 1921-1930. doi: 10.13700/j.bh.1001-5965.2022.0536
Abstract:

The distribution of mass, stiffness, and aerodynamic load all significantly alter during the folding wing’s deformation process, which is a highly complex dynamic process. This paper develops a high-performance coupled computing program based on shared memory technology to realize the effective analysis of the dynamic process. Based on this program, it integrates flight control technology, unsteady aerodynamic calculation software, and multi-body dynamics calculation software to build an aeroelastic morphing flight simulation platform. Finally, the powerful computing and analysis capabilities of the platform are demonstrated through the simulation of aeroelastic response and flight-folding process for a folding wing aircraft.

Edge cloud service migration algorithm based on Markov decision process
MA Anhua, PAN Su
2024, 50(6): 1931-1939. doi: 10.13700/j.bh.1001-5965.2022.0499
Abstract:

In the mobile Internet, when the user’s location changes, service migration can be used to improve quality of service (QoS). This paper proposed an edge cloud service migration algorithm based on the Markov decision process. Compared with the comparison algorithms, the proposed algorithm considered the differentiated requirements for QoS of different service types and comprehensively analyzed the revenue and cost during service migration. The proposed algorithm divided services into two types: real-time ones and non-real-time ones, took the running state of services on the terminal and the distance between the terminal and the server as the state space, and constructed revenue function based on two QoS indicators of available rates and latency, which were closely related to the service experience. The system resource consumption during the service migration was considered as the migration cost, and the optimal migration strategy was obtained by maximizing the overall revenue. Compared with the comparison algorithms, the proposed algorithm obtained larger overall revenue in various scenarios.

Multi-objective hybrid algorithm based on gradient search and evolution mechanism
ZHU Caicheng, TANG Zhili, ZHAO Xin, CAO Fan
2024, 50(6): 1940-1951. doi: 10.13700/j.bh.1001-5965.2022.0544
Abstract:

Because of its strong global exploration ability, the current multi-objective evolutionary algorithm (MOEA) has received a lot of attention. However, its local search ability close to the optimal value is relatively weak, and for optimization problems involving large-scale decision variables, MOEA requires a very large number of populations and iterations, which results in a low optimization efficiency. Gradient-based optimization algorithms can overcome these problems well, but they are difficult to be applied to multi-objective problems (MOPs). Therefore, this paper introduced a random weight function on the basis of a weighted average gradient, developed a multi-objective gradient operator, and combined it with a non-dominated sorting genetic algorithm-Ⅲ (NSGA- Ⅲ) based on reference points to develop multi-objective optimization algorithm (MOGBA) and multi-objective Hybrid Evolutionary algorithm (HMOEA). The latter greatly enhances the local search capability while retaining the good global exploration capability of NSGA-Ⅲ. Experiments with numbers demonstrate that HMOEA can effectively capture a wide range of Pareto forms, and that it is 5–10 times more efficient than standard multi-objective algorithms. And further, HMOEA is applied to the multi-objective aerodynamic optimization problem of the RAE2822 airfoil, and the ideal Pareto front is obtained, indicating that HMOEA is an efficient optimization algorithm with potential applications in aerodynamic optimization design.

Human-machine collaborative control of forward shovel hydraulic mining excavators
DONG Baoxiang, QIN Tao, YANG Xu, LI Yunhua
2024, 50(6): 1952-1959. doi: 10.13700/j.bh.1001-5965.2022.0517
Abstract:

In view of the high operation complexity of forward shovel hydraulic mining excavators, a general human-machine collaborative control method was proposed. This paper compared the performance of three new working devices which could reduce the operation complexity of the forward shovel hydraulic excavators under the boom lifting and horizontal crowding operation modes. The results show that the innovative design of the working devices has the problems of complex mechanisms and low operation accuracy. The human-machine collaborative control method based on inverse kinematics and switching control adopts the strategy that the driver manually controls the main actuator, and other auxiliary actuators cooperate independently according to the constraints of operation requirements. This not only ensures the operation accuracy but also reduces the operation difficulty of drivers. The research results show that the proposed human-machine collaborative control method can reduce the operation complexity and improve the operation accuracy and efficiency of the forward shovel excavators under the boom lifting and horizontal crowding operation modes. The method has the advantages of flexible mode switching and strong universality.

MP-WFRFT secure communication method based on multi-cascade chaotic encryption
WANG Xikang, MENG Qingwei, XU Hua, QI Zisen, ZHANG Yue
2024, 50(6): 1960-1968. doi: 10.13700/j.bh.1001-5965.2022.0500
Abstract:

To improve the secure transmission performance of the physical layer of wireless communication, a multiple parameters weighted-type fractional Fourier transform (MP-WFRFT) secure communication method based on multi-cascade chaotic encryption was proposed. The multi-cascade chaotic system based on Logistic mapping and Henon-Sine mapping was used to implement the first round of scrambling encryption for bit data and the second round of phase encryption for symbol data, and the third round of constellation encryption was carried out by using the constellation fission property of MP-WFRFT. This triple encryption scheme greatly enhanced the confidentiality of the communication system and effectively prevented brute-force attacks. Compared with the traditional low-dimensional chaotic encryption methods, the multi-cascade chaos based on Logistic mapping and Henon-Sine mapping had a larger key space and more complex system motion trajectory. For the application of multi-cascade chaotic encryption schemes in data encryption, a new bit scrambling and an improved mobile constellation rotation method were proposed to achieve data security. Simulation results and analysis show that the triple encryption scheme can effectively transmit messages securely without affecting transmission performance, and the bit error rate of non-cooperative receivers is consistently maintained at around 0.5 with only 10−15 deviations from the chaotic key.

Obstacle avoidance control of UAV formation based on distributed model prediction
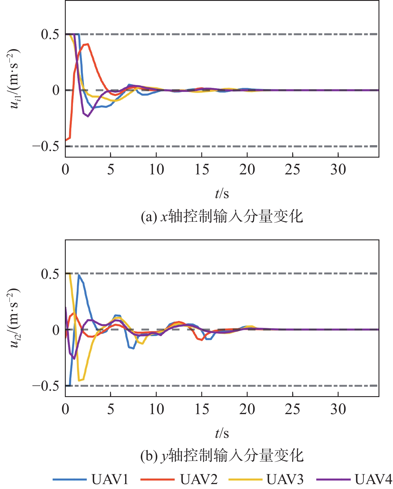
QIN Mingxing, WANG Zhong, LI Hailong, LIU Xin
2024, 50(6): 1969-1981. doi: 10.13700/j.bh.1001-5965.2022.0509
Abstract:

To ensure and keep the formation of unmanned aerial vehicles (UAVs) facing obstacles, a distributed model predictive control (DMPC) algorithm without reference trajectory considering system constraints was proposed. Firstly, in order to deal with constraint coupling and cost coupling in model predictive control (MPC), the hypothetical trajectory was introduced to design low-conservative compatibility constraints and cost functions without reference trajectories so that the algorithm could be executed in a distributed manner synchronously. Secondly, the terminal constraints were designed based on the velocity obstacle method to ensure the security of the terminal domain, and a feasible terminal control input was given. Then, the cost function was taken as the Lyapunov function, and combined with the constructed stability constraints, the iterative feasibility and system stability of the algorithm were analyzed. In addition, to ensure real-time performance, based on the proposed algorithm, a non-strictly stable DMPC algorithm that could meet the requirements of formation obstacle avoidance was developed. Finally, the validity and superiority of the proposed algorithm were verified by numerical simulation.

Time-triggered traffic scheduling-oriented virtual network embedding method
XIONG Feng, LI Qiao, LI Ji, FENG Jiaying
2024, 50(6): 1982-1990. doi: 10.13700/j.bh.1001-5965.2022.0511
Abstract:

Network virtualization technology abstracts the nodes and links resources in the physical network and enables multiple virtual networks (VNs) to share the substrate network (SN) resources through the virtual network embedding (VNE) method. For time-triggered Ethernet (TTE) used in avionics, a time-triggered traffic scheduling-oriented VNE (TT-VNE) method was proposed. While meeting the total resource constraints of the traditional VNE problem, the method ensured the strict periodicity of time-triggered (TT) traffic. During the solution process, the method sorted the virtual nodes according to the TT traffic bandwidth requirements and the total bandwidth requirements of the links connected to the virtual nodes, embedded the virtual nodes using the breadth-first search algorithm, and planned the virtual links in candidate shortest paths. If the TT traffic in the current virtual link is not schedulable, the iterative design of local virtual node re-embedding and path planning is carried out. The simulation shows that the request acceptance rate of the TT-VNE method is not lower than that of existing methods, and when the number of virtual network requests in the star topology exceeds 30, its request acceptance rate is about 14.3% higher than the VNE-NTANRC-D method which only considers the network topology and resource attributes.

Design of Bayesian acceptance scheme for missile hit accuracy based on multinomial distribution
LIU Haobang, SHI Xianming, QU Jinbiao, RONG Liqing
2024, 50(6): 1991-2000. doi: 10.13700/j.bh.1001-5965.2022.0516
Abstract:

The acceptance test of missile hit accuracy is an important step in verifying missile hit performance. Since the existing binomial distribution hit accuracy acceptance test method in GJB3400—1998 makes it difficult to describe the precision performance of the missile, the impact of the point target regions on its combat effectiveness was considered, and the hit accuracy was redefined as follows: The target was not regarded as the whole with the same damage effect but the multi-area target with different damage effects in different areas hit by the missile. In addition, the missile hit accuracy test was represented by a multinomial distribution. At the same time, the Bayesian method and the Dempster-Shafer (D-S) evidence theory could be used in the acceptance test to integrate multi-source prior information, and the Bayesian acceptance scheme design method of missile hit accuracy based on multinomial distribution was proposed. The example results show that compared with the method in GJB3400—1998, this method can test the accuracy performance of missiles from multiple criteria of hitting different important areas, which is beneficial to help users obtain missiles with more reliable hit accuracy and make full use of the prior information of hit accuracy, thus effectively reducing the risk of both sides involving in the acceptance. This study can provide a reference for the identification and acceptance design of missile hit accuracy.

Dynamic modeling and parameter identification of balloon-borne gondola azimuth channel
LI Yijian, ZHOU Jianghua, ZHANG Xiaojun
2024, 50(6): 2001-2008. doi: 10.13700/j.bh.1001-5965.2022.0547
Abstract:

A balloon borne telescope is one of the space observation methods by carrying a telescope with a high-altitude balloon flying in the stratosphere. In order to slew and orient the telescope to the intended targets during the observation, an attitude control system is needed to provide high-resolution images. The attitude control system consists of azimuth and elevation channels, respectively. In this paper, the dynamic of balloon borne gondola and control law are discussed, Lagrange equation is introduced to modelling the kinematic characteristics of the azimuth channel. A minimum recursive doubled based parameter identification algorithm is developed to identify the torsional stiffness and damping coefficients in the azimuth channel offline. The results of simulations and experiments demonstrate that, in contrast to the conventional stability analysis method, the proposed method further reveals the azimuth channel motion characteristics of balloon-borne gondolas and serves as a valuable guide for the design and optimization of the platform's attitude control system.

Heat transfer enhancement and ejection characteristics of mixing pipe with ribs for infrared suppressor
WU Zhongcheng, SHAN Yong, ZHANG Jingzhou, YANG Zongyao
2024, 50(6): 2009-2017. doi: 10.13700/j.bh.1001-5965.2022.0548
Abstract:

This paper proposes an enhanced heat transfer structure with ribs on the outer mixing pipe surface of the infrared suppressor in order to lower the surface temperature of the exposed covering shelter of the helicopter infrared suppressor. The ejection and heat transfer enhancement characteristics under the ribbed structure of the infrared suppressor's mixing pipe surface are studied using a numerical simulation. The results show that the ribbed mixing pipe surface convective heat transfer is enhanced by 83%, the radiation heat transfer is reduced by 31%, and the average temperature of the covering shelter surface is reduced by nearly 7 K compared with the mixing pipe surface without rib structure. The amount of second-stage induced ambient air is increased by nearly triple, and the average temperature of the covering shelter surface is reduced by nearly 18 K when the slit-inlet area on the covering shelter is increased. The hot spot on the covering shelter vanishes when the ejector airflow can directly operate on the high-temperature surface of the covering shelter after the ejection apertures at the up and down positions of the covering shelter are increased.

A cross-modality person re-identification method for visible-infrared images
SUN Yibo, WANG Rong, ZHANG Qi, LIN Ronghui
2024, 50(6): 2018-2025. doi: 10.13700/j.bh.1001-5965.2022.0554
Abstract:

We propose a cross-modality person re-identification strategy for visible-infrared images, which aims to lower the sensitivity of the model to image color information and narrow the difference between visible and infrared modalities. First, the visible image is transformed into HSV color space, and the V component, which only describes the light and dark information of the image, is extracted to reduce the dependence of the model on color information. Second, to lessen the disparity between the modalities, a lightweight network downscales and upscales the V component image to provide an intermediate modality between visible and infrared images. Finally, evaluated on the SYSU-MM01 and RegDB datasets, The values of Rank-1 is improved by 6.67% and 1.18%, the values of mAP is improved by 6.47% and 1.15%, and mINP is improved by 5.59% and 0.42%, respectively.

A GNSS/IMU/vision multi-source fusion localization method based on refined pre-integration
JIA Xiaoxue, ZHAO Dongqing, XIAO Guorui, YANG Xianci, YANG Chaoyong, LAI Luguang
2024, 50(6): 2026-2032. doi: 10.13700/j.bh.1001-5965.2022.0567
Abstract:

A pre-integration algorithm taking into account the earth's rotation and gravity change is developed in order to address the issue that the conventional pre-integration algorithm fixes the value of the earth's gravity and ignores the Earth's rotation. Referring to the dynamic model of high-precision strapdown inertial navigation, the earth rotation angle rate is introduced in the attitude update of the pre-integral dynamic model, and the Coriolis acceleration caused by the earth rotation is introduced in the velocity and position update. Simultaneously, the traditional pre-integral model is improved, taking into account that the carrier's position can feed back the gravity change to the pre-integral algorithm in time. All the process of the pre-integral algorithm are derived in detail after the Earth's rotation and the gravity change are introduced. The refined pre-integration algorithm is applied to a multi-source fusion system based on tightly coupled GNSS/INS/vision. The experimental results show that the model error of the system pre-integration can be effectively reduced by using the refined pre-integration model, and the positioning and attitude accuracy of the multi-source fusion system is improved by 32.41% and 4.23%, respectively.

An elliptical damage detection method using full matrix capture for stiffened plate
ZHANG Meng, FAN Chengguang, YU Sunquan
2024, 50(6): 2033-2042. doi: 10.13700/j.bh.1001-5965.2022.0568
Abstract:

Damage detection on spacecraft structures is crucial for ensuring the reliability of the spacecraft. Acoustic localization based on Lamb waves is a common method for damage detection. However, the existence of stiffeners, which are commonly used in spacecraft structures, will produce reflection, transmission, and superposition on the propagation of the Lamb waves in the plate, making it bad or even impossible to detect the damage in the stiffened structure using the general method. I This study presents an approach to precisely localize damage in stiffened plates using whole matrix elliptical image localization, which is based on complete matrix capture and model correction. The full matrix capture method is introduced into elliptic imaging localization for focusing, thereby mitigating errors arising from signal attenuation and interference attributed to stiffeners. Considering the wave propagation around and directly, an arrival time compensation strategy is proposed for eliminating the delayed superposition effects of stiffeners on Lamb waves. The full-matrix elliptical imaging method is effective in improving damage signal focussing, as demonstrated by experiments on both flat and stiffened plates. The arrival time compensation model could be used to obtain precise damage localization.

Multi-shift interferometric phase filtering method based on convolutional neural network
LI Han, ZHONG Heping, ZHANG Peng, TANG Jinsong
2024, 50(6): 2043-2050. doi: 10.13700/j.bh.1001-5965.2022.0805
Abstract:

To improve the performance of phase filtering in interferometric signal processing, a multi-shift interferometric phase filtering method based on convolutional neural networks is proposed. First, the phase shift principle is explained using the interferometric phase noise model. Then multiple convolutional neural network denoisers are built based on the phase shift principle and used to filter the interferometric phases with different shifts. Subsequently, a number of denoisers for convolutional neural networks are constructed using the notion of phase shift and employed to filter the interferometric phases with various shifts. Finally, multiple denoised phases are generated. The neural network is then used to calculate the pixel weights and fuse the multiple denoising results, resulting in a higher-quality result. The plenty denoising outputs are then fused and the pixel weights are calculated using the neural network to provide a higher-quality output. The simulated and real data experiments show that the proposed method retains more detail and has a lower root-mean-square error and the number of residues than the traditional methods. Experiments using both simulated and real data demonstrate that the suggested approach outperforms the conventional methods in terms of detail retention, root-mean-square error, and residue count.