2024 Vol. 50, No. 7

Display Method:
Volume 7 Issue E-journal
Volume 50 Issue72024
iconDownload (89236) 1029 iconPreview
Real-time performance/security guarantee technology of vehicle control operating system
YANG Shichun, CUI Haigang, ZHOU Sida, ZHOU Xin’an, FAN Chunpeng, CAO Yaoguang
2024, 50(7): 2051-2065. doi: 10.13700/j.bh.1001-5965.2022.0594
Abstract:

Electronic control technology continues to enable the rapid development of intelligent connected vehicles, and the vehicle control operating system is the fundament of ensuring the safe, efficient, and real-time operation of the electronic control software of automobiles. As intelligent connected vehicles develop towards centralized and end-cloud integrated electronic and electrical architecture, vehicle-mounted hardware evolves into multi-core heterogeneous processors and elastic computing platforms, and vehicle control software transforms into service-oriented software architecture. The architecture and key technologies of vehicle control operating systems also develop accordingly. In this article, the development and current situation of vehicle control operating systems for intelligent connected vehicles were reviewed, and the basic theories and key technologies of task scheduling, real-time performance/security guarantee, and formalized representation and verification were analyzed. The technical challenges and development trends of the existing vehicle control operating system were discussed, so as to provide a reference for the development of the vehicle control operating system of intelligent networked vehicles.

ARAIM-related fault subset optimization algorithm based on sparrow search algorithm
WANG Ershen, WANG Huan, LEI Hong, ZENG Hongzheng, QU Pingping, PANG Tao
2024, 50(7): 2066-2073. doi: 10.13700/j.bh.1001-5965.2022.0596
Abstract:

The multiple hypothesis solution separation (MHSS) test is affected by the increase in the number of satellites and the potential fault probability. This results in a sharp increase in the number of subsets to be monitored and brings more computational burdens. In order to solve the above problems, an advanced receiver autonomous integrity monitoring (ARAIM)-related fault subset optimization algorithm based on the sparrow search algorithm (SSA) was proposed. According to the SSA, the satellites were divided into detectors, followers, and premonitors. Computational redundancy was reduced by eliminating individuals with lower energy. The adaptive step size was introduced during the search, so as to improve the iteration speed and the execution efficiency of the algorithm. In the dual constellation scenario, three hypotheses were made for the integrity supported message (ISM) parameters to verify the availability of the improved algorithm and compare it with traditional algorithms. The results show that the number of subsets obtained by the proposed algorithm is reduced by 75%–90% compared with traditional algorithms, and the computing time under the same condition is reduced by 68%–88%. In addition, the availability of ARAIM changes by no more than 2%.

Target person analysis based on critical node recognition algorithm
HAN Yi, SUN Baibing, WANG Junguo, DU Yanhui
2024, 50(7): 2074-2082. doi: 10.13700/j.bh.1001-5965.2022.0588
Abstract:

The critical node recognition algorithm is an important branch in the field of social network research. However, most of the existing research results highly depend on the diversity, integrity, and availability of data. Therefore, they are less applied in the scene of target person analysis by public security organs. To address this issue, in this paper, a static network topology was first quantified, and a relationship degree index was redefined by the local and global optimization algorithms. Based on the index, a characteristic matrix was then constructed. Ultimately, a relationship eigenvector centrality (REC) algorithm suitable for target person analysis by public security organs was proposed. Based on five datasets such as the public dataset, the relationship network of characters in two TV series, the account network of overseas social platforms, and a Chinese fraud gang, the effectiveness of the proposed algorithm was verified from three dimensions of network communication ability, anti-attack elasticity, and the result consistency of target person analysis. Compared with other conventional data mining algorithms, the proposed one can identify the critical nodes in social networks accurately and can be widely applied.

Study of corrosion and hydrogen evolution risk of waded lithium ion-battery
ZHANG Qingsong, LI Dongqi, LIAN Xiaoxue
2024, 50(7): 2083-2092. doi: 10.13700/j.bh.1001-5965.2022.0617
Abstract:

Lithium-ion battery wading events occur frequently, especially, often suffering high salinity wading events in coastal areas and maritime operations. In this paper, 18650 model batteries were used as samples to carry out experiments on the risk of corrosion and hydrogen evolution of waded lithium-ion batteries under different salinity conditions. The findings indicate that soaking lithium-ion batteries in an aqueous sodium chloride solution triggers the onset of electrolytic and electrochemical corrosion. The higher the salinity of the solution, the more significant this phenomenon is. The corrosion mainly occurs at the anode cap. With corrosion developing, the corrosion hole goes deep into the interior until the battery is completely damaged. There is a positive correlation between the mass loss rate and voltage drop of lithium battery in the wading process. Aluminum hydroxide, ferrous hydroxide, and ferric hydroxide make up the majority of the corrosion products. In the process, a large amount of hydrogen emerges from the cathode, and the hydrogen generation rate has a positive linear relationship with the concentration of salt solution. For relatively narrow space, it is very easy to reach the lower limit of a hydrogen explosion. After mild corrosion, the injection degree of the thermal runaway process of the battery is more severe, and the risk of combustion and explosion is relatively high. Furthermore, extreme corrosion will directly damage the battery's construction, rendering it totally useless.

A large-capacity zero-watermarking algorithm for color images based on combined transform domain
HAN Shaocheng, LIU Huan
2024, 50(7): 2093-2103. doi: 10.13700/j.bh.1001-5965.2023.0009
Abstract:

In view of the small watermark embedding capacity and poor robustness against geometric attacks in most of the existing zero-watermarking schemes for color images, a robust zero-watermarking algorithm with a large capacity based on combined transform domain and bit-plane decomposition was proposed. Firstly, the R, G, and B channels of a color carrier image were respectively subjected to fast finite shearlet transform (FFST), and each low-frequency sub-band after FFST was processed by non-overlapping blocking and scrambling. The block discrete cosine transform (DCT) coefficients of each sub-band after the scrambling were used to construct the quaternion discrete cosine transform (QDCT) coefficient matrices, and then two low-frequency coefficients were selected from each QDCT coefficient matrix. Eight binary robust feature matrices were constructed according to the sign polarities of the real parts and the imaginary parts from the above two coefficients. Finally, the gray-level watermark image scrambled and encrypted by the orthogonal Latin squares matrices was decomposed by bits. The eight binary bit-planes after decomposition were used for XOR operation with the above binary robust feature matrices and recombined to obtain the final gray-level authentication zero-watermark. In addition, before the watermark detection, the image to be authenticated was geometrically corrected by the oriented FAST and rotated BRIEF (ORB) algorithm. The experimental results show that the proposed algorithm has high watermark embedding capacity and security, and it is highly robust to both conventional geometric and non-geometric attacks.

A system group maintenance scheduling method based on iteratively dynamic information
YANG Li, CHEN Yi, GAO Kaiye, MA Xiaobing, ZHAO Yu
2024, 50(7): 2104-2112. doi: 10.13700/j.bh.1001-5965.2022.0578
Abstract:

Availability is an important index to measure the service efficiency of equipment system. At present, most of the group maintenance frameworks for system availability optimization are static, which cannot make full use of health status information to effectively adjust real-time maintenance plans. To address these problems, this paper proposes an intelligent group maintenance planning approach based on a dynamic information iterative mechanism. By creating a two-level group maintenance scheme that couples pre-planned maintenance with opportunistic maintenance, the suggested approach is entirely compatible with common fault distribution features like sudden failure type and degradation type. Based on the real-time age and condition information of components in each group, we iteratively update the next grouping time and the sequence of components to be repaired. The numerical experience result demonstrates that the suggested strategy works better at lowering downtime and enhancing the system’s steady availability than conventional static group maintenance.

Numerical simulation of separation characteristics for internally buried weapon at high Mach number
CHEN Bing, LUO Lei, JIANG Anlin, WU Xiaojun, ZHANG Peihong, JIA Hongyin
2024, 50(7): 2113-2122. doi: 10.13700/j.bh.1001-5965.2022.0627
Abstract:

The internal weapon may exhibit distinct separation characteristics due to the greater shear layer and shock wave of the high Mach number (Ma > 2) weapon bay, as well as distinct flow characteristics compared to the subsonic, transonic, and supersonic weapon bays. In this paper, using the unstructured hybrid mesh flow solver NNW-Flow Star, and based on the improved HLLE++ format and adaptive hybrid mesh technology established in the previous simulation for high Mach number cavity flow, the numerical simulations are used to compare and analyze the separation characteristics of the internal weapon at Ma=4 and Ma=2. The effects of different leading edge flow control measures such as annular plates, transverse columns, serrations and cylindrical arrays on the separation characteristics of high Mach number (Ma=4) weapons are investigated to provide guidance for the design of safe separation schemes for internal weapons at high Mach number. The findings show that at a high Mach number (Ma=4), the weapon bay’s distinct flow characteristics and the shock wave’s different shock angle at the leading edge of the weapon bay cause the internal weapon and weapon bay to have different channel effects at first and different shock interference during the separation process. As a result, the internal weapon’s attitude angle and pitch moment at a high Mach number (Ma=4) differ from those at Ma=2. After the leading edge flow control measures are adopted, the rising trend of the positive pitching moment for internal weapons is weakened and the yaw angle is reduced, which is conducive to the safe separation of missiles.

Sensitivity encoding reconstruction algorithm based on multi-category dictionary learning
DUAN Jizhong, WANG Chengju
2024, 50(7): 2123-2132. doi: 10.13700/j.bh.1001-5965.2022.0571
Abstract:

The sensitivity encoding (SENSE) method explicitly utilizes sensitivity information from multiple receiving coils to reduce scan time. The images reconstructed using the SENSE model have a portion of blurring artifacts that are not conducive to medical diagnosis. We propose a sensitivity coding reconstruction approach based on multi-classification dictionary learning to minimize overlap artifacts and enhance the quality of parallel magnetic resonance imaging by integrating fast dictionary learning on classed patches into the SENSE model. In order to obtain picture reconstructions using alternating direction method of multipliers, the algorithm first classifies the image blocks and then trains multiple dictionaries of various classes in each category. The results on the human brain and knee data show that the algorithm improves the average signal-to-noise ratio by 1.53 dB, 1.22 dB and 1.05 dB over the TV-SENSE, TV-LORAKS-SENSE and LpTV-SENSE algorithms, respectively. The reconstructed image is in high agreement with the reference image, and the image detail part and edge contour information are kept intact.

Parameter identification of solar cell model based on RCJAYA algorithm
OUYANG Chengtian, HUANG Zuwei, LIU Yujia, ZHANG Lin, ZHU Donglin, ZHOU Changjun
2024, 50(7): 2133-2140. doi: 10.13700/j.bh.1001-5965.2022.0576
Abstract:

A JAYA algorithm based on the ranking probability quantization mechanism and chaotic perturbation (RCJAYA) is proposed as a discrimination approach to increase the precision and accuracy of the intelligent optimization algorithm to detect solar cell parameters.The RCJAYA algorithm selects different ways to update individuals according to the ranking probability to balance the local and global search ability and maintain the population diversity; chaotic perturbation is applied to the optimal individuals to discover a better solution. The replacement strategy is used to update the stagnant individuals and improve the performance of the algorithm. When compared to the five algorithms such as JAYA, the root mean square error of the current of the single and double diodes of solar cells achieved by the RCJAYA algorithm is 9.8602×10−4 A and 9.8258×10−4 A, respectively. The results show that the RCJAYA algorithm has more advantages. The simulated current is calculated according to the identification results compared with the measured current, and the average error is 0.00084 A and 0.00082 A for single and double diodes, respectively, which indicates that the parameter values identified by RCJAYA are accurate and reliable.

Small target detection algorithm based on improved Double-Head RCNN for UAV aerial images
WANG Dianwei, HU Lichen, FANG Jie, XU Zhijie
2024, 50(7): 2141-2149. doi: 10.13700/j.bh.1001-5965.2022.0591
Abstract:

The feature information of small targets in unmanned aerial vehicle aerial images is small and easily interfered with by noise, which leads to the high missed detection and false detection rates of existing algorithms. To address these issues, a small target detection algorithm based on an improved Double-Head region-convolutional neural networks(RCNN)for unmanned aerial vehicle aerial images was proposed. Transformer and deformable convolution networks (DCN) modules were introduced on the backbone network ResNet-50 to extract small target feature information and semantic information more effectively. A feature pyramid network(FPN) structure based on content-aware reassembly of features (CARAFE) was proposed to solve the problem that the small target information is interfered with by the background noise, and the feature information is lost in the process of feature fusion. The generation scale of Anchor was reset according to the characteristics of small target scale distribution in the region proposal network to further improve the small target detection performance. The experimental results on the VisDrone-DET2021 dataset show that the proposed algorithm can extract feature and semantic information of small targets with representational capacity more effectively. Compared with the Double-Head RCNN algorithm, the parameter quantity of the proposed algorithm increases by 9.73×106, and the FPS loss is 0.6. However, AP, AP50, and AP75 increase by 2.6%, 6.2%, and 2.1% respectively, and APs increases by 3.1%.

Lane line detection incorporating CBAM mechanism and deformable convolutional network
HU Dandan, ZHANG Zhongting, NIU Guochen
2024, 50(7): 2150-2160. doi: 10.13700/j.bh.1001-5965.2022.0601
Abstract:

In order to meet the accuracy and real-time requirements of autonomous driving and advanced driver assistance systems (ADAS) for lane line detection, a CADCN lane line detection method incorporating convolutional block attention module (CBAM) mechanism and deformable convolutional network (DCN) was proposed. Firstly, the CBAM mechanism was embedded in the feature extraction module to enhance the useful features and suppress the useless feature responses. Secondly, DCN was used to replace the conventional convolutional network, and the geometric deformation of lane lines was learned by sampling with offset to improve the modeling capability of the convolution kernel. Finally, based on the idea of row anchor classification, the location point along the row was selected and classified, so as to predict the lane line location information and thus improve the real-time performance of the lane line detection model. The CADCN model was trained and validated on the public lane line dataset. While ensuring real-time performance, the accuracy rate of the model on the TuSimple dataset reaches 96.63%, and the comprehensive evaluation index F1 on the CULane dataset reaches 74.4%, which verifies the effectiveness of the algorithm.

Insulator self-explosion detection in transmission line based on CenterNet fusing lightweight features
GOU Junnian, DU Susu, WANG Shiduo, ZHANG Xinyue
2024, 50(7): 2161-2171. doi: 10.13700/j.bh.1001-5965.2022.0602
Abstract:

Intelligent inspection of transmission lines is an inevitable requirement for the construction of a new generation of power systems. At present, the detection model based on deep learning has too many parameters, which makes it difficult to deploy unmanned aerial vehicles (UAVs) at the edge. In order to enable the UAV to carry a lightweight model to identify insulators with self-explosion defects in transmission lines, a lightweight CenterNet-GhostNet target detection network was proposed. Firstly, the backbone feature extraction network of the model received lightweight treatment, and the multi-level features of insulators with self-explosion defects were extracted by using GhostNet with low computational costs, so as to reduce the complexity of the model. Then, the enhanced receptive field block (RFB) was introduced to enhance the ability of feature expression and enhance the attention of the model to the feature information of small targets. Finally, a feature fusion module was constructed to effectively fuse the low-level feature information and high-level feature information, so as to output a more complete feature map and improve the accuracy of defect recognition. The model training strategy of sharing transfer learning parameters and combining freezing and thawing training was used, so as to avoid insufficient generalization ability of the network caused by a small sample dataset. Based on the constructed dataset of insulators with self-explosion defects in transmission lines, the proposed method was verified. The experimental results show that compared with the original CenterNet, AP50, AP75, and AP50:95 of the proposed method are increased to 0.86, 0.74, and 0.63, respectively, and the number of model parameters is reduced from 124.61 ×106 to 64.2 ×106. Therefore, the proposed method can detect insulators with self-explosion defects in complex environments and improve the inspection accuracy and speed of transmission lines based on UAVs.

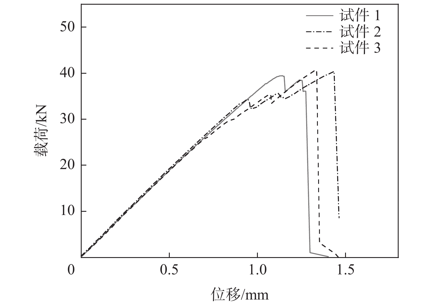
Tensile properties of rapid repaired CCF300/QY8911 laminates with broken hole damage
HOU Rili, WANG Chunyu, ZHOU Ping
2024, 50(7): 2172-2183. doi: 10.13700/j.bh.1001-5965.2023.0485
Abstract:

The tensile strength of the CCF300/QY8911 composite laminate after hole damage repair was evaluated using a set of rules and characterization methods. To obtain the necessary data, tensile tests were conducted on standard specimens made from the original material, damaged specimens without repair, and specimens repaired using bonding, riveting, and bonding-riveting joint repair techniques. The corresponding data included strength, stiffness, damage mode, and key point strain. The following conclusions were drawn through comprehensive analysis: the incompatibility between the repair location and the original structure stiffness is the main factor affecting the repair strength; bonding repair has a high connection stiffness, and the main influencing factor of repair strength is the lamina bonding strength;on the other hand, riveting repair, which has a low connection stiffness, is mainly affected by the ease of pulling out the rivet in single shear; bonding-riveting joint repair combines the high stiffness of bonding repair and the dual advantage of riveting repair to prevent interlayer tearing; significantly improving the repair effect by adopting the combined wet assembly process of bonding-riveting, increasing the diameter of rivets, and installing anti-slip pads on the back of the workpiece can achieve a tensile strength of 161.5% and 135.9% higher than the conventional riveting repair and conventional bonding repair, respectively.The method described in this study, which is based on the linear elastic fracture theory, provides a more accurate representation of the real bearing capacity of the restored structure from a comprehensive standpoint.

Runway temperature data mechanism joint prediction based on LSTM under ice and snow
CHEN Bin, LIU Yue, YIN Kailang, FANG Xun
2024, 50(7): 2184-2194. doi: 10.13700/j.bh.1001-5965.2022.0579
Abstract:

Runway temperature is an important factor in runway icing. Fully considering the transient characteristics of the temperature mechanism model and the time sequence of temperature multivariate time series data, the paper has developed a joint model based on the long short term memory (LSTM) neural network and temperature mechanism model. Firstly, the influencing elements with a greater correlation with runway temperature were selected by the study using the maximum information coefficient approach to serve as the model’s input. Secondly, the paper uses the dynamic time warping method to cluster temperature data under different snowfall conditions, and then develops an LSTM model adapted to different snowfall or icing situations. Finally, to solve the disadvantage of LSTM which can not be characterized by the runway parameters that change irregularly and frequently, the paper developed a joint model based on the LSTM neural network and temperature mechanism model by using the minimum error method. The joint model’s degree of accuracy is 99.34%, which is superior than both the data model and the mechanism model, when the prediction time step is 20 minutes and the residual threshold is ±0.5°C, according to the simulation’s result based on the ice and snowfall weather condition data. With the same condition, the joint model has better accuracy than the BP model, the regression model and the support vector machine model. Average accuracy increased by 26.11%. It proved the joint model based on the LSTM neural network and temperature mechanism model has better accuracy according to the transient characteristics of the mechanism model and the periodic time sequence of the multivariate time series of pavement temperature.

An automatic and real-time detection method of IoT in-the-wild vulnerability attack
HE Qinglin, WANG Lihong, CHEN Yanjiao, WANG Xing
2024, 50(7): 2195-2205. doi: 10.13700/j.bh.1001-5965.2022.0592
Abstract:

The vast number of Internet-connected internet of things (IoT) devices are susceptible to hacking and exploitation, which can lead to the paralysis of critical IoT applications. Vulnerability exploitation is a common method of attack on IoT devices; however, due to the diverse, mutable, and highly disguised forms of in-the-wild vulnerability exploitations, it is extremely challenging to quickly and automatically identify ongoing vulnerability attacks targeting IoT devices. To address this, a detection method for IoT vulnerability attacks based on a hybrid deep learning discrimination and open-source intelligence correlation is proposed. This detection method can identify IoT in-the-wild vulnerability attack behaviors in network traffic in real-time and accurately identify the specific categories of vulnerability attack behaviors. Experimental results show that the proposed detection method achieves an accuracy rate of over 99.99% on large-scale datasets. The application of the proposed detection method in real-world scenarios has been significant, discovering 13 new in-the-wild vulnerability attacks within less than a month.

Investigation on aerodynamics of a helicopter approaching an active control deck
TAN Jianfeng, XING Xiaobing, CUI Zhao, WU Jie, ZHANG Weiguo
2024, 50(7): 2206-2217. doi: 10.13700/j.bh.1001-5965.2022.0615
Abstract:

Passive and active flow controls were used to reduce the turbulence intensity of ship airwake, but there was a recirculation zone on the deck resulting in intensively unsteady airloads of a helicopter. Thus, a novel active control deck (ACD) which can be automatically lifted up and descended is firstly proposed to weaken the recirculation. Helicopter airloads are examined by combining a viscous vortex particle approach with the lattice Boltzmann approach (LBM) via a one-way coupling model. This establishes a flow field analysis method of the ship with ACD. The accuracy of the method is validated by comparing the present prediction with the SFS2 experiment, detached eddy simulation (DES), and large eddy simulation (LES) results. The influences of the ACD on the ship flow field and airloads of a helicopter approaching the ship are analyzed. It is demonstrated that the ACD clearly suppresses the recirculation bubble when compared to the baseline SFS2. Additionally, the reduction of the rotor thrust, rolling, and pitching moments is weakened, with the largest reductions being 21.6%, 55.1%, 74.6%.

Taxi-in time prediction of arrival flight
TANG Xiaowei, DING Ye, ZHANG Shengrun, REN Siyu, WU Jiaqi
2024, 50(7): 2218-2224. doi: 10.13700/j.bh.1001-5965.2022.0625
Abstract:

Accurate prediction of flight taxi-in time has a significant meaning in allocating aircraft support resources reasonably and improving airport surface movement efficiency. Therefore, a method of taxi-in time prediction based on machine learning model is proposed. It can effectively overcome the deficiency of extensive aircraft arrival time prediction in major airports currently. Using Beijing Capital International Airport as the research object, we firstly analyzed the factors that influence the taxi-in time and created the feature set. Next, we applied various techniques that are commonly used to predict taxi-out times, such as linear regression, K-nearest neighbor, support vector regression, decision tree, random forest, and gradient boosting regression tree, to predict the taxi-in time. The results show that the prediction accuracy of the six machine learning models is over 90% within ±3 min, which means that the construction of the feature set and the selection of models are effective. The gradient boosting regression tree model has the best performance based on the prediction results and model fitting evaluation results. The prediction results of gradient boosting regression tree show that the surface traffic flow features contribute most to the prediction model, and the newly proposed cross-regional feature contributes more than most traditional features.

Research on multi-layer heterogeneous chain sequence risk propagation model in airport movement area
WU Wei, WU Zexuan, WANG Xinglong
2024, 50(7): 2225-2236. doi: 10.13700/j.bh.1001-5965.2023.0203
Abstract:

A multi-layer heterogeneous network risk propagation model was built using complex network theory and the causal chain relationship between risk factors in order to better characterize the characteristics of operational risks' propagation in flight areas and improve the safety management capabilities of airport flight areas. The accident analysis mapping(AcciMap) theory was employed to analyze the causal chain of risk propagation. A three-layer heterogeneous risk propagation network was built. Evaluation indicators were designed using complex network theory to analyze the characteristics of risk network propagation. The results demonstrate that the node's risk propagation capability exhibits a weak correlation with the node degree, and the node's risk sensitivity index can enhance the accuracy of risk node ranking. Implementing risk control measures on the top 15% of nodes ranked by the risk sensitivity index can effectively reduce risk diffusion by approximately 32%. It is possible to reduce the robustness index of the network structure and move the risk network structure from a highly connected state to a loose state by controlling the top 15% of nodes ranked by the risk diffusion index. The built model enables the identification and precise control of risk diffusion processes, thereby enhancing the level of risk control in airport flight areas.

Software robot-based application behavior simulation for cyber security range in industrial control field
LIU Zhiyao, ZHANG Ge, LIU Hongri, ZHANG Xu, CHEN Yilu, WANG Bailing
2024, 50(7): 2237-2244. doi: 10.13700/j.bh.1001-5965.2022.0597
Abstract:

The cyber security range in the industrial control field provides important support for studies on industrial control system (ICS) security. The application behavior simulation is a crucial task for the cyber security range in the industrial control field. Therefore, a software robot method was proposed to realistically simulate the application behavior for the cyber security range in the industrial control field. By considering software graphical interfaces and explicit and implicit software rules, a software menu acquisition algorithm based on scale invariant feature transform (SIFT) for image similarity, as well as a hybrid hierarchical state machine model was developed to model application behaviors. In view of the intelligent problem of the software robot, a deep Q network (DQN) algorithm was utilized to drive the software robot to autonomously learn the application behavior. At the same time, the DQN algorithm was optimized by combining multiple experience replays and multiple target networks. The experiment results show that the software robot based on DQN can effectively learn the industrial control software, and the optimized DQN algorithm has a better autonomous learning effect.

Design and analysis of ground test control circuit on liquid rocket engine
XU Yong, GUO Hongjie, CHAO Lide, HUANG Junjie, LIANG Guozhu
2024, 50(7): 2245-2255. doi: 10.13700/j.bh.1001-5965.2022.0614
Abstract:

Aiming at the problems that the liquid rocket engine ground test control system must suppress the pulse noise at the input end of the control circuit, the peak inverse voltage at the output end and the low measurement accuracy of the control current, a control drive and control current measurement circuit based on printed board solid state relay is designed through the application of circuit simulation and amplification circuit methods. The control drive circuit applied the "diode + zener diode" module to reduce the peak reverse voltage and speed up the reset time. An optocoupler isolation module is integrated at the output of solid state relay (SSR) of the control drive circuit to feed back the control signal. The Hall effect current sensing module and operational amplifier make up the majority of the control current measurement circuit, which is designed to provide high-precision control current measurement. The dynamic and static characteristics of the peak inverse voltage suppression module of the control drive circuit and the control current measurement circuit are simulated and analyzed. The simulation and measurement results show that the intrinsic error of the control current measurement circuit is 6.66%±1.80%, with a circuit rise time less than 0.3 ms and a fall time less than 0.5 ms. Control drive circuit can be used to construct high precision ground test control system of liquid rocket engine, with turn-on and turn-off time less than 2 μs and 0.5 ms, respectively. The control drive circuit can efficiently suppress peak inverse voltage with the help of a "standard recovery diode + zener diode" module.

A varying coefficient geographically weighted spatial lag model for compositional data
Huang Tingting
2024, 50(7): 2256-2264. doi: 10.13700/j.bh.1001-5965.2023.0347
Abstract:

When it comes to area data with compositional factors, existing regression models seldom ever take spatial heterogeneity into account. To solve the problem, a compositional spatial autoregressive model with varying coefficients is proposed. By assuming that the spatial lag parameter, the compositional coefficient, and the numerical coefficient are functions of the location coordinates, the new model permits spatial effects and linear interactions between covariates and response to change in space. Based on isometric log-ratio (ILR) transformation, instrumental variables and local linear geographically weighted method, the parameters are estimated. The simulation study shows that the proposed model is superior to the existing spatial autoregressive model for compositional data, and the parameters estimation are effective. The utility of the proposed model is demonstrated by a real data set.

Multiple high-speed maneuvering target detection method based on improved orthogonal matching pursuit algorithm
WANG Yang, ZHANG Xiaokuan, MA Qiankuo, ZHENG Shuyu, ZONG Binfeng, XU Jiahua
2024, 50(7): 2265-2271. doi: 10.13700/j.bh.1001-5965.2022.0580
Abstract:

An improved orthogonal matching pursuit (OMP) algorithm is proposed for the detection of multiple high-speed maneuvering targets. Based on the maneuvering characteristics of a high-speed target, a signal model is established at first. Then, an improved OMP algorithm is used to estimate motion parameters. In addition, a phase compensation function is constructed to correct for the range migration and Doppler migration. Finally, coherent integration can be achieved by the fast Fourier transform (FFT). The suggested technique may successfully avoid the effects of the signal cross term and blind speed side lobe in multi-target high-speed maneuver identification settings.Meanwhile, it has the advantages of high accuracy of parameter estimation and strong anti-noise robustness. The suggested algorithm’s efficacy and dependability are confirmed by the simulation results.

Strong tracking CKF adaptive interactive multiple model tracking algorithm based on hypersonic target
LUO Yalun, LIAO Yurong, LI Zhaoming, NI Shuyan
2024, 50(7): 2272-2283. doi: 10.13700/j.bh.1001-5965.2022.0587
Abstract:

Hypersonic targets have complex motion states and high maneuverability. The conventional interactive multiple model (IMM) technique converges slowly and tracks poorly. Based on numerous fading variables, an adaptive interactive multiple model (AIMM) algorithm with strong tracking for cubature Kalman filter (CKF) is proposed. The structure of CKF is examined based on IMM-CKF, and the fading factor of the strong tracking algorithm is added to the covariance matrix of time updating and measurement updating. This allows for the online and real-time adjustment of the filter gain, which can lessen the decrease in filter accuracy brought on by model mismatch. Choose the Singer, ‘current’ and Jerk models from the IMM model collection. These models introduce singular value decomposition (SVD) decomposition as a solution to the issue that the model dimension expansion prevents Cholesky decomposition in CKF. An adaptive algorithm for Markov matrix in IMM algorithm is proposed. The transition probability is adaptively modified by the value of the model likelihood function to enhance the proportion of the matching model. Simulation results show that the proposed algorithm improves tracking convergence speed by 37.5% and tracking accuracy by 16.51%.

Fine-grained image classification method with noisy labels based on retrieval augmentation
BAO Heng, DENG Lirui, ZHANG Liang, CHEN Xunxun
2024, 50(7): 2284-2292. doi: 10.13700/j.bh.1001-5965.2022.0589
Abstract:

In the application of Internet audio and video content analysis, it is of great significance to establish a fast fine-grained image classification method with lowlabeling costs. Due to the more similar appearance features between categories and the existence of interference factors such as illumination, viewing angle, and background occlusion, fine-grained image classification faces challenges such as large number of categories, small differences between categories, high labeling cost, and low label signal-to-noise ratio. In order to improve the effect of fine-grained classification of massive images in a data environment with noisy labels, a fine-grained image classification method based on retrieval augmentation was proposed. Based on iterative cleaning of noisylabels, the retrieval paradigm was used to obtain more expressive features through simple category labeling, so as to improve the recognition ability of the classifier. In addition, favorableresults wereachieved on the dataset containing 1500 fine-grained food categories and more than 500000 images.

Threat intelligence attribution method based on graph attention mechanism
WANG Ting, YAN Hanbing, LANG Bo
2024, 50(7): 2293-2303. doi: 10.13700/j.bh.1001-5965.2022.0590
Abstract:

Threat intelligence correlation analysis has become an effective way to trace the source of cyber attacks. The threat intelligence analysis reports of different advanced persistent threat (APT) organizations were crawled from the public threat intelligence sources, and a threat intelligence report classification method based on graph attention mechanism was proposed, which was to detect whether the newly generated threat intelligence analysis report categories were known attack organizations, so as to facilitate further expert analysis. By designing a threat intelligence knowledge graph, extracting tactical and technical intelligence, mining the attributes of malicious samples, IPs and domain names, constructing a complex network, and using the graph attention neural network to classify the threat intelligence reporting nodes. Evaluation indicates that the method can achieve an accuracy rate of 78% while considering the uneven distribution of categories, which can effectively achieve the purpose of judging the organization to which the threat intelligence report belongs.

Mining traffic detection based on automated private protocol identification
TONG Ruiqian, HU Xianan, LIU Youran, QIN Yan, ZHANG Ning, WANG Qiang
2024, 50(7): 2304-2313. doi: 10.13700/j.bh.1001-5965.2022.0598
Abstract:

To meet the demand for private protocol traffic detection and identification during cryptocurrency mining, an automated communication protocol traffic identification method for unknown mining behaviors was proposed. The N-gram message format segmentation algorithm and regular expression generation algorithm of the dictionary tree were improved, so as to automatically generate private protocol signatures and accurately match mining traffic during plaintext communications. Based on the classical encrypted traffic classification model, the traffic analysis method based on flow interaction features was improved, so as to achieve a lightweight mining behavior identification model and detect mining traffic during encrypted communications in real time. The test results show that the mining communication protocol signatures generated by the proposed method effectively cover the current three kinds of mainstream mining traffic during plaintext communications. The proposed method can achieve 0.996 identification accuracy and 0.985 recall rate in the real network verification process.

Effect of small inclination angle on heat transfer performance of Ω-shaped bending heat pipe
WANG Zhuo, PAN Yuhui, ZHAO Rui, NIAN Yongle, CHENG Wenlong
2024, 50(7): 2314-2321. doi: 10.13700/j.bh.1001-5965.2022.0603
Abstract:

An experimental platform for studying the heat transfer performance of heat pipes was set up to investigate the effect of a small inclination angle on the heat transfer performance of Ω-shaped bending heat pipes. The temperature distribution, total thermal resistance, thermal conductivity, and maximum heat transfer power of heat pipes with different small inclination angles were analyzed in the experiment. The results show that the wall temperature uniformity of heat pipes with zero and negative inclination angles is better than that of heat pipes with positive inclination angles at the same heating power. The heat pipe with a positive inclination angle has the largest total thermal resistance. The total thermal resistance of heat pipes with zero and negative inclination angles is similar. The maximum heat transfer power of heat pipes with zero inclination angle is the highest. In installation and application, the heat pipe will inevitably face gravity inclination angle deviation. The research results indicate that the small inclination angle can affect the heat transfer performance of Ω-shaped bending heat pipes.

Design of suspension weight-support rehabilitation system adapted to fluctuation of human center of gravity
WANG Chuang, CHEN Wenjie, CHEN Weihai, SUN Xiantao, LIN Yan
2024, 50(7): 2322-2330. doi: 10.13700/j.bh.1001-5965.2022.0605
Abstract:

The training that patients undergoing lower limb rehabilitation receive in walking is significantly impacted by the body weight support system. Most of the existing lower limb rehabilitation exoskeleton weight support devices only consider how to reduce the percentage of the patient's body weight and ignore the heaving of the patient's center of gravity. Since the pelvic brace of the exoskeleton has a fixed motion trajectory in the vertical direction, small changes in the patient's gait may result in a mismatch between the height of the center of gravity and the motion trajectory of the pelvic brace. This difference can be imposed on the patient's pelvic position, affecting the movement of the lower limb joints and creating additional risks. To solve this problem, plantar pressure was collected to predict the change of center of gravity position, and the obtained center of gravity trajectory was used to calculate the support force that should be applied, so as to provide safe and effective weight reduction for patient training. The feasibility of this method has been verified by simulation and practical verification of the developed exoskeleton support system. When using conventional body weight support, the fuzzy controller’s error in tracking the trajectory of the center of gravity is reduced by 21.2% compared to PID control, the steady-state error is maintained within a 1 mm range, and the range of motion of the hip and knee is increased by 14.36% and 13.77%, respectively.

Tracking control of unmanned aerial vehicle swarms with leader-following double formation
ZHANG Qingchuan, WANG Le, XI Jianxiang, WANG Cheng
2024, 50(7): 2331-2342. doi: 10.13700/j.bh.1001-5965.2022.0607
Abstract:

In this paper, for a quadrotor unmanned aerial vehicle swarm with multiple leaders, a time-varying formation tracking control analysis and design method is proposed to realize the leader-following double formation structure. First, time-varying formation tracking protocols are constructed based on the neighboring information of UAVs. Next, using the leader-following double communication topology structure as a foundation, an explicit explanation of the formation center function and necessary requirements of formation tracking are suggested. Besides, a method to design the leader-following double structures formation tracking protocol is presented by solving an algebraic Riccati equation. Finally, the flight experiment of the leader-following double structure formation tracking was carried out by using the quadrotor UAV swarm flight platform. The experimental results validate the theoretical conclusions by demonstrating that the quadrotor UAV swarms system can be driven by the leader-following double structures formation tracking control protocol to build the necessary leader-following double formation structures.

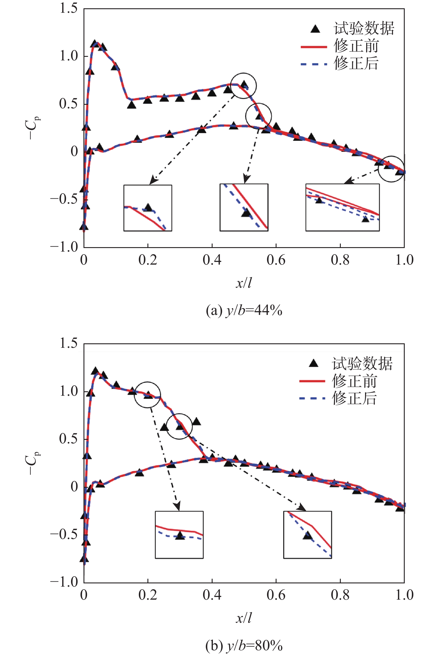
Model correction method for CFD numerical simulation under mixed aleatory and epistemic uncertainty
LI Zexian, MA Mengying, WU Jianhui, XIONG Fenfen, WANG Bomin
2024, 50(7): 2343-2353. doi: 10.13700/j.bh.1001-5965.2022.0624
Abstract:

A type of model updating framework is proposed, aiming at the challenge of CFD model updating under mixed aleatory and epistemic uncertainty. The framework integrates mixed uncertainty quantification, global sensitivity analysis and parameter updating strategy. The method of mixed uncertainty quantification is established based on evidence theory, and sensitivity analysis index——change rate of probability envelope area for mixed uncertainty is constructed based on evidence theory. A parameter updating method based on the likelihood samples strategy is proposed. For the CFD numerical simulation of the three-dimensional wing ONERA M6, the probability envelope representation of the lift coefficient is obtained by quantifying mixed uncertainty, considering epistemic uncertainty of the turbulence model coefficients and aleatory uncertainty of the incoming flow conditions. Based on this, the global sensitivity analysis is carried out to explore the key turbulence model coefficients that have a great impact on the output, so as to reduce the complexity and calculation of the model updating. The key coefficients are updated according to the likelihood samples strategy. The updated CFD simulation results following parameter iterative updating show a strong degree of consistency with the experimental data, demonstrating the efficacy of the suggested CFD model updating technique.

Station keeping control for aerostat in wind fields based on deep reinforcement learning
BAI Fangchao, YANG Xixiang, DENG Xiaolong, HOU Zhongxi
2024, 50(7): 2354-2366. doi: 10.13700/j.bh.1001-5965.2022.0629
Abstract:

In this paper, a stratospheric aerostat station keeping model is established. Based on Markov decision process, Double Deep Q-learning with prioritized experience replay is applied to stratospheric aerostat station keeping control under dynamic and non-dynamic conditions. Ultimately, metrics like the average station keeping radius and the station keeping effective time ratio are used to assess the effectiveness of the station keeping control approach. The simulation analysis results show that: under the mission the station keeping radius is 50 km and the station keeping time is three days, in the case of no power propulsion, the average station keeping radius of the stratospheric aerostat is 28.16 km, the station keeping effective time ratio is 83%. In the case of powered propulsion, the average station keeping radius of the stratospheric aerostat is significantly increased. The powered stratospheric aerostat can achieve flight control with a station keeping radius of 20 km, an average station keeping radius of 8.84 km, and a station keeping effective time ratio of 100%.