2024 Vol. 50, No. 8

Display Method:
Volume 8 Issue E-journal
Volume 50 Issue82024
iconDownload (35088) 923 iconPreview
Control of non-affine nonlinear systems: A survey
QUAN Quan, CHEN Lian
2024, 50(8): 2367-2381. doi: 10.13700/j.bh.1001-5965.2022.0642
Abstract:

As a more general description of affine nonlinear systems, the practical applications corresponding to non-affine nonlinear systems are more comprehensive and closer to reality. Therefore, it is essential to study the control problems of non-affine nonlinear systems. However, the closed-loop system’s control signal appears as a nonlinear function due to the non-affine properties of nonlinear systems, which can lead to issues including singularity, zero-crossing, and uncertain control direction. From this point, solving control problems of non-affine nonlinear systems is a considerable challenge. This paper first introduces the relevant background knowledge of affine, strict feedback, and high-order systems, and then summarizes three solutions through literature research: function transformation method, reference model method, and data-driven method. Finally, based on existing research findings, the challenges and development trends faced in the field of non-affine nonlinear system research are proposed.

Bearing fault diagnosis in variable working conditions based on domain adaptation
CAO Jie, YIN Haonan, LEI Xiaogang, WANG Jinhua
2024, 50(8): 2382-2390. doi: 10.13700/j.bh.1001-5965.2022.0631
Abstract:

This research develops a domain adaptive fault diagnosis method based on an enhanced residual network (ResNet) to address the issues that the distribution of training samples and test samples differs in bearing fault diagnosis and the imbalance of different fault data results in a low fault recognition rate.First, the multi-dimensional convolution structure is used for feature extraction in the first layer of the diagnosis network to obtain fault feature information of different dimensions.Then, the local maximum mean difference (LMMD) is used in the domain adaptation layer to align the distribution of the source and target domains, to obtain more fine-grained information. Finally, the class-balanced loss (CBLoss) function is used to solve the training problem of unbalanced data, and the Adam optimization network is used to achieve fault diagnosis. The experimental findings demonstrate that, even in cases when fault sample categories are unbalanced, the enhanced approach suggested in this work can produce better diagnosis outcomes. Experiments are carried out on two bearing datasets and collected wind turbine data. The results show that the improved method has certain advantages, and its diagnostic performance is better than other deep transfer learning methods in the case of imbalanced data samples. It can be used as an effective cross-condition failure analysis method.

A fast long-term visual tracking algorithm based on deep learning
HOU Zhiqiang, MA Jingyuan, HAN Ruoxue, MA Sugang, YU Wangsheng, FAN Jiulun
2024, 50(8): 2391-2403. doi: 10.13700/j.bh.1001-5965.2022.0645
Abstract:

Current deep learning-based visual tracking algorithms have difficulty tracking the target accurately in real-time in complex long-term monitoring environments including target size change, occlusion, and out-of-view. To solve this problem, a fast long-term visual tracking algorithm is proposed, which consists of a fast short-term tracking algorithm and a fast global re-detection module. First, as a short-term tracking algorithm, the attention module of second-order channel and region spatial fusion is added to the base algorithm SiamRPN. Then, in order to make the improved short-term tracking algorithm have a fast long-term tracking ability, the global re-detection module based on template matching proposed in this paper is added to the algorithm, which uses a lightweight network and fast similarity judgment method to speed up the re-detection rate. The proposed algorithm is tested on five datasets (OTB100, LaSOT, UAV20L, VOT2018-LT, and VOT2020-LT). With an average tracking speed of 104 frames per second, the experimental findings demonstrate the algorithm's outstanding long-term tracking performance.

Fault-tolerant control of spacecraft attitude with prescribed performance based on reinforcement learning
JIN Lei, YANG Shaolong
2024, 50(8): 2404-2412. doi: 10.13700/j.bh.1001-5965.2022.0666
Abstract:

A fault-tolerant control method with prescribed performance based on reinforcement learning was proposed for spacecraft attitude control with inertia uncertainties and actuator faults. In order to ensure the transient response of the control process, the attitude controller of the spacecraft was designed by using the prescribed performance method. A reinforcement learning algorithm was introduced based on the prescribed performance controller to compensate for the inertia uncertainty online.The critic network was used to approximate the cost function to evaluate the performance of the system, and the actor network was used to generate feedforward compensation control and deal with the inertia uncertainty. Then, an adaptive compensation control law was designed to compensate for the effect of actuator faults and external disturbance on spacecraft attitude. According to Lyapunov stability theory, the stability of the whole closed-loop system was proved. The simulation results show that the proposed fault-tolerant control method can realize the stability control of spacecraft with actuator faults.

Research on response time of cockpit toggle switch under influence of multiple factors
JIN Huibin, YANG Yu, CHANG Yinxia, ZOU Guoliang
2024, 50(8): 2413-2420. doi: 10.13700/j.bh.1001-5965.2022.0657
Abstract:

With the goal of observing how a pilot’s response changes when he or she manipulates the toggle switch in the cockpit, an experimental flight simulation cabin will be built, response time data will be gathered from the pilots when they manipulate the toggle switch, and the multi-factor variance analysis method will be used to examine the impact of various factors on the pilots’ responses. The findings indicate that: the pilot’s response time is the shortest when the correct operation switch direction is forward as positive, as opposed to backward as positive. The cockpit toggle switch is situated on the left panel in front of the pilot, with a 45° downward horizontal slope. The pilot’s response time is influenced by the interaction of three main factors: panel position, load processing, and light guidance. The pilot’s response time is shorter when the control is applied, longer when there are high load factors, and reduced when there is light guidance. The objective and true results are beneficial in raising the pilot’s degree of flight safety through experimental research and data processing analysis. They also offer fundamental experimental research and recommendations for control device design.

Research on aircraft landing scheduling problem based on compact subsequence
FENG Xiaorong, GAO Zhengda, WANG Jin, WANG Xinglong, HUI Kanghua
2024, 50(8): 2421-2431. doi: 10.13700/j.bh.1001-5965.2022.0656
Abstract:

The aircraft landing scheduling problem has been proven to be an NP-hard problem. A multi-aircraft optimization model with time window constraints is established for the fixed aircraft scheduling sequence considering more practical situations. The concept of compact subsequence, its properties, left shift, division and merging conditions are discussed. A compact subsequence algorithm (CSA) for fixed-order aircraft landing problems is proposed. Sort by the optimal landing time of the aircraft and calculate the landing time of each aircraft in this order using CSA. Adjust the fixed order using the circular linear exchange and cyclic linear interpolation strategies. Then, compute iteratively to get an approximation of the model’s ideal solution. The OR-Library dataset is used for verification. Comparable to the CPLEX, RH-HPSO-LS, and cellular automation-based optimization (CAO), the results demonstrate that CSA, when paired with a heuristic fine-tuning method, can yield much superior outcomes than DALP and bionomic algorithm (BA). The algorithm also shows better advantages in time efficiency. It is extremely obvious that the advantages of computing precision and speed on small-scale datasets. CSA is a deterministic method that does not depend on prior parameters and has higher robustness, it can ensure that the heuristic fine-tuning strategy approaches the optimal solution continuously.

Application of new photoelastic technology based on pixelated polarization camera
SU Fei, WU Shaohua, LIU Yunpeng
2024, 50(8): 2432-2438. doi: 10.13700/j.bh.1001-5965.2022.0667
Abstract:

A new type of stress testing technology has been developed in the last 20 years by combining pixelated polarization cameras with traditional photoelastic methods. It overcomes the disadvantages of traditional photoelastic methods such as weak ability to resist environmental light interference, complex quantitative measurement operation, and difficulty in realizing real-time measurement. This paper introduced the working principle of this method and showed its great technical advantages in adapting to complex environments and high-precision testing through two examples. Some forward-looking application suggestions of the new photoelastic technology were given, including the efficient detection of the installation stress of the glass curtain wall and the online detection of the internal defects of the tempered glass.

Nonlinear backstepping control of special EHA for rail grinding vehicles
WANG Haibo, HE Huan, ZOU Huaijing, NIE Yong
2024, 50(8): 2439-2448. doi: 10.13700/j.bh.1001-5965.2022.0681
Abstract:

In order to improve the smoothness and stability of rail grinding by the rail grinding vehicle, an electric hydrostatic actuator (EHA) was proposed to replace the traditional hydraulic system as the special actuator of the rail grinding vehicle. By considering the nonlinear factors including the total efficiency fluctuation of the plunger pump and the large difference between the dynamic and static friction of the hydraulic cylinder, a nonlinear mathematical model was established. The MATLAB and AMESim joint simulation model of EHA was established, and the control strategies of PID control, sliding mode variable structure control, and backstepping control were compared. The simulation analysis verified that the backstepping control had good performance in response speed and stability. The four quadrant platform was built to carry out the backstepping control load test of EHA. The results show that its displacement control accuracy reaches 0.21 mm, indicating good control performance.

ADRC design for folding wing vehicles based on improved equilibrium optimization algorithm
MENG Zhipeng, YANG Liuqing, WANG Bo, LIU Yanbin
2024, 50(8): 2449-2460. doi: 10.13700/j.bh.1001-5965.2022.0698
Abstract:

In view of the modeling errors and poor anti-disturbance ability of folding wing vehicles (FWV) and the difficulty in manual parameter setting of active disturbance rejection controllers (ADRC), an optimization algorithm based on improved equilibrium optimizer based on Lévy(LEO)was proposed. A dynamics model of typical FWV was established, and an attitude controller for the FWV was designed based on the ADRC structure. The parameters of the ADRC were adjusted by the proposed algorithm, and a comparison between the optimized ADRC and the traditional ADRC by the simulation was made from the perspective of control performance and anti-disturbance. The proposed algorithm was compared with the classical equilibrium optimizer, particle swarm optimization (PSO) algorithm, and so on. The simulation results show that the controller optimized by the proposed algorithm can improve the control accuracy and disturbance suppression performance of FWV, and the superiority of the algorithm in the parameter optimization of ADRC was verified. The prototype equipped with the improved ADRC was verified in real flight. The results show that the FWV prototype still has a good flight performance index under wind disturbance, which further verifies that ADRC optimized by the proposed algorithm improves the anti-disturbance of FWV.

Power text information extraction based on multi-task learning
JI Xin, WU Tongxin, YU Ting, DONG Linxiao, CHEN Yiting, MI Na, ZHAO Jiakui
2024, 50(8): 2461-2469. doi: 10.13700/j.bh.1001-5965.2022.0683
Abstract:

In order to improve the analysis and processing speed of power system fault text in actual business scenarios, a power fault text information extraction model based on pre-training and multi-task learning was proposed. The pre-training model was used to learn the context information of power text words. The first-order and second-order fusion features of words were mined, which enhanced the representation ability of features. The multi-task learning framework was used to combine named entity recognition and relation extraction, which realized the mutual supplement and mutual promotion of entity recognition and relationship extraction, so as to improve the performance of power fault text information extraction. The model was verified by the daily business data of a power data center. Compared with other models, the proposed model’s accuracy and recall of power fault text entity recognition and relation extraction were improved.

Time-varying frequency identification of space solar power station based on variable forgetting factor
NI Zhiyu, LI Zisen, WU Shunan, WU Chenchen
2024, 50(8): 2470-2481. doi: 10.13700/j.bh.1001-5965.2022.0665
Abstract:

By considering changes in the structural configuration caused by the rotation of the solar panel in the space solar power station (SSPS) during in-orbit operation, a variable forgetting factor generalized yet another subspace tracker (VFF-GYAST) method was proposed to identify the modal frequency parameters of the time-varying dynamic system in orbit. As a result, the tracking ability of the original GYAST method for the time-varying system was improved. First, the time-varying attitude-vibration coupling dynamic equation of the multirotary-joint SSPS (MJ-SSPS) was established based on modal synthesis technology and the substructure method. Based on the projection subspace theory, the time-varying forgetting factor in the recursive procedure was determined by computing the system’s mean square error, and thus the tracking performance of the original GYAST method was increased, and the time-varying pseudo modal frequency parameters of the system were identified. The computation results of numerical simulation show that the proposed method can effectively identify the time-varying frequency parameters of the large flexible system. Compared with the conventional recursive subspace method, the proposed method has higher noise-immunity ability. When the measured signal-to-noise-ratio is low, the average value of the relative error of the frequency identification results for the proposed method is still smaller than 5%. In addition, the tracking performance of the proposed method for the time-varying system is better than that of the original method with a fixed forgetting factor.

Adaptive sliding mode region reaching control for uncertain nonlinear systems
SUN Xiaoming, MA Xin, LIU Ye, ZHOU Yue, XING Bowen
2024, 50(8): 2482-2491. doi: 10.13700/j.bh.1001-5965.2022.0647
Abstract:

In this paper, considering the existence of external disturbances, an adaptive backstepping-based sliding mode region reaching controller is designed for a class of uncertain nonlinear systems in parametric strict-feedback form. The robustness of the system for mismatched uncertainties and unknown disturbances was recovered and strengthened. The designed controller is based on the fusion of the artificial potential field method, adaptive control, backstepping techniques, sliding mode control and the Lyapunov synthesis approach. The control target in the region reaching control technique is created as a desirable spatial region, which sets it apart from the conventional set-point control or position control. The target potential function and new Lyapunov functions are designed with the region control error in mind using the artificial potential field method in order to achieve the goal of region reaching control. The backstepping method can be used to break down large and high-order nonlinear systems into smaller, more manageable subsystems, making the suggested approach more applicable to real-world scenarios. The online estimation of the unknown parameters is obtained by the adaptive method which is combined with the first n-1 steps of the backstepping method. The Lyapunov theorem is utilized to prove the globally asymptotic stability of the closed-loop system, and simulation results are presented to show the effectiveness of the designed controller.

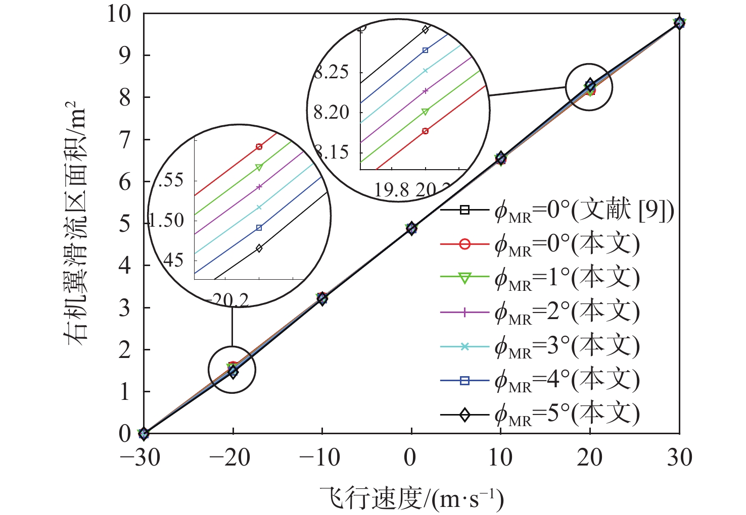
Visual calculation method of wing slipstream zone area on tiltrotor aircraft
SONG Wei, WANG Qi, HE Guoyi
2024, 50(8): 2492-2502. doi: 10.13700/j.bh.1001-5965.2022.0676
Abstract:

The calculation of the wing slipstream zone area is the key to analyzing aerodynamic interference between rotor and wing on the tiltrotor aircraft. A visual calculation method was proposed for calculating the wing slipstream zone area on the tiltrotor aircraft through aerodynamic and three-dimensional geometric calculations based on CATIA secondary development and parametric design technology. By the proposed method, the wing slipstream zone area could be accurately calculated, and the wing slipstream zone and its dynamic change with various parameters could be directly determined by considering the effects of wing and rotor parameters. According to the results of case calculation and analysis as per the parameters of XV-15 tiltrotor aircraft, the wing parameters including incidence angle, sweep angle, and dihedral angle only have little influence on the wing slipstream zone in both longitudinal and lateral analysis. However, the rotor parameters including the back and side angles of the rotor and the angle of outboard tilt of mast axis have a large influence on the wing slipstream zone area. Therefore, the calculation accuracy can be increased by 18.976% at most through the proposed method of the wing slipstream zone area on the XV-15 tiltrotor aircraft without considering the back and side angles of the rotor.

Meta-learning-based few-shot object detection for remote sensing images
LI Hongguang, WANG Yufeng, YANG Lichun
2024, 50(8): 2503-2513. doi: 10.13700/j.bh.1001-5965.2022.0637
Abstract:

This study introduces meta-learning technology to propose a meta-learning-based few-shot object detection algorithm for the few-shot item detection job in remote sensing photos. The object and background are easily confused under the condition of large-scale changes and small samples in remote sensing images. To solve this issue, we expand the single-scale re-weighting into a multi-scale re-weighting module in the feature extraction part, where the prior knowledge of supporting samples can be adapted to different objects. In order to solve the problem of large inter-class similarities and intra-class differences among remote sensing objects, a scene correction module is designed by leveraging the dependence relationship between the object and scene to correct the detected object’s category. In order to restrict the feature distributions of various objects, we additionally incorporate the marginal loss to the feature space. Experimental results show that the proposed algorithm achieves high detection performance on the 10-shot task setting, achieving mean average precision (mAP) of 64.18% and 37.27% on the new category of NWPU VHR-10 and DIOR datasets, respectively.

Trajectory planning of re-entry gliding vehicle in a class of uncertain environment
TIAN Muyin, SHEN Zuojun
2024, 50(8): 2514-2523. doi: 10.13700/j.bh.1001-5965.2022.0640
Abstract:

The flight process of reentry vehicles requires traversing a vast area from the near space to the ground. During this process, even minor modeling errors and external disturbances can lead to deviations from the original target point or exceed the constraint boundaries. To enhance the robustness of the results, this paper investigates a trajectory planning method for reentry vehicles under uncertain environments and introduces the concept of data-driven robust optimization to address uncertainties. A data-driven robust optimization trajectory planning approach is proposed. The core idea of the proposed method is to dynamically construct uncertainty sets using historical data of uncertain parameters and then solve the problem incorporating these sets using robust optimization techniques. Compared to traditional robust optimization or chance-constrained optimization, the proposed method offers two significant advantages: First, it does not require prior knowledge about the distribution or range of uncertain parameters, nor does it demand that they conform to a specific form. Second, by constructing data-driven support vector clusters online, the optimization results are less conservative. To improve computational efficiency, the method is further tailored according to the characteristics of reentry optimization problems. Numerical simulation results are presented and compared with traditional methods to demonstrate the effectiveness of the proposed approach.

Complex burn-back analysis and internal ballistic performance prediction of non-uniform grain
LI Wentao, HE Yunqin, ZHANG Yiyi, LIANG Guozhu
2024, 50(8): 2524-2537. doi: 10.13700/j.bh.1001-5965.2022.0669
Abstract:

The complex burn-back analysis and internal ballistic performance prediction of the non-uniform grain are the core issues in solid rocket motor design. A mathematical model of burn-back analysis of combustion with non-uniform grain was established. A new method, namely Poisson equation-eikonal equation-finite element method (PEF) was proposed to approach the viscous solution of the eikonal equation by solving a Poisson equation using the finite element method. The proposed method can transform the burn-back problem into a special stationary thermal conduction problem and realize the burn-back calculation of the 3D grain with irregular geometry and complicated burning rate distribution. Then, the actual factors such as the change in combustion chamber pressure were considered, and four calculation models for internal ballistic performance prediction were developed under the assumption of equilibrium pressure. The calculation of 2D star grain, 3D finocyl grain, and dual propellant grain with metal wires embedded was completed. The calculation results show that the proposed method can precisely adapt to the complex interfaces of different propellants. The proposed method can be directly applied and solved in the stationary thermal conduction module of the commercial finite element software. It can fully utilize the mature capabilities of computer-aided design (CAD) modeling, pre-processing, post-processing, and secondary development in commercial finite element software, achieving universality and practicality of the complex burn-back analysis and internal ballistic performance prediction method.

UAV pedestrian tracking algorithm based on detection and re-identification
ZHANG Jiahui, ZHAO Wei, WANG Zichen, MENG Zhijun
2024, 50(8): 2538-2546. doi: 10.13700/j.bh.1001-5965.2022.0675
Abstract:

Combining intelligent detection and tracking algorithms with the flexibility of unmanned aerial vehicle (UAV) is a hot research topic for UAV applications. A UAV pedestrian tracking algorithm based on detection and re-identification was proposed for solving the problems of target slippage and occlusion due to the UAV’s viewpoint and motion. Firstly, TensorRT acceleration of trained YOLOv5 was performed to solve the problem of limited UAV computational resources; secondly, a pedestrian tracking algorithm framework was constructed based on a target detection algorithm and a re-identification algorithm with quantization acceleration; finally, the pedestrian matching degree was designed and determined to complete the pedestrian matching system design. Simulation experiments show that the trained YOLOv5 and OSNet have certain accuracy, and the YOLOv5 network with TensorRT acceleration has nearly 50% improvement in frame rate with guaranteed accuracy. The flight test shows that the proposed algorithm can achieve stable tracking of the target under the situation of pedestrian intersection and obstacle occlusion, and it has certain practicality and effectiveness.

Performance analysis and optimization of buffering/walking integrated lunar probe
HE Tianyu, DONG Yang, ZHOU Shiming, ZHAO Junpeng, WANG Chunjie
2024, 50(8): 2547-2556. doi: 10.13700/j.bh.1001-5965.2022.0634
Abstract:

Taking into account the buffering and walking characteristics, a performance analysis and landing leg configuration optimization method is proposed to address the issue of the lunar probe integrating landing buffer and lunar walking functions, which causes challenges in its design optimization. According to the functional requirements of the landing legs of the lunar probe, a redundant DOF parallel mechanism with RUP-2RUPS configuration is proposed, and its parametric model is constructed. The mechanism can realize the configuration switching of buffering and walking functions by activating and deactivating the kinematic pairs. Combined with the full factor experimental method, the kinematic and dynamic characteristics of the lunar probe with two functions are analyzed. The objective function and constraint conditions of comprehensive optimization are given based on the intricate landing and walking conditions on the lunar surface. Based on the sensitivity analysis, the configuration parameters of the landing leg of the lunar probe are optimized by using the full-condition response surface model updated with the optimization process and the non-inferior sorting genetic algorithm. This optimization method not only improves the operation efficiency, but also ensures that each round of optimization can select the limit value of the worst working condition of the current configuration. After optimization, the maximum effective working space is increased by 8.7%, the minimum anti-overturning performance is increased by 4.0%, and the minimum anti-bottom-touchdown performance is increased by 0.2%. The overall performance is better.

Optimizing airborne PLC capacity through insufficient CP and window in OFDM-based communication
LIU Caiyi, YAN Ruowen, WANG Tong, LI Qiao
2024, 50(8): 2557-2564. doi: 10.13700/j.bh.1001-5965.2022.0636
Abstract:

Power line communication (PLC) decreases cabling volume and reduces wiring harness complexity. Therefore, capacity is not optimal if sufficient cyclic prefix (CP) that is no shorter than the channel duration is employed. Multipath components, on the other hand, suffer modest attenuation in PLC channels, creating extended channel duration. Therefore, it is reasonable to adopt insufficient CP combined with a windowing scheme to maximize capacity. A comprehensive approach to jointly adapt window and CP parameters is proposed, using the edge-window method which applies different windows to inner and edge subcarriers. Using frequency-selective impedances and airborne PLC topologies, one can first simulate PLC channels in accordance with transmission line theory. The CP and window settings should then be adjusted in three phases. In the first stage, obtain the minimum window overhead under the restriction of adjacent channel interference (ACI). In the second stage, adjust CP length to optimize capacity with the window obtained in the first stage. In the third stage, using edge-window, optimize inner and edge subcarriers separately and finally obtain optimal parameters. The results of the simulation indicate that the suggested strategy might approach or meet the maximum capacity achieved by full space enumeration, avoid excessive time growth of orthogonal frequency division multiplexing (OFDM) symbols while lowering ACI, and make the computation volume acceptable.

Trajectory design for straight-circulating flight transition of aerial recovery towing system
CHEN Haitong, SU Zikang, LI Chuntao, LI Xuebing, MENG Chong, ZHANG Peng
2024, 50(8): 2565-2574. doi: 10.13700/j.bh.1001-5965.2022.0692
Abstract:

To handle the stabilization problem of the towed buoy in the straight-circulating flight transition process of the aerial recovery towing system under airflow disturbances, a trajectory design method for the transition process of the towing system based on differential flatness theory was proposed. By designing the trajectory of the mothership, the towed buoy was indirectly controlled to fly safely, smoothly, and accurately along the preset transition trajectory. Firstly, the mass-spring discrete cable model was used to construct the multi-body dynamic model of the mothership-cable-buoy. Secondly, after proving that the towing system was differentially flat, a trajectory design method of the towing system based on differential flatness theory was proposed by taking the three-axis position of the towed buoy as the flat output so that the buoy could fly along the preset safe transition trajectory. Subsequently, the straight and circulating flight states of the towed buoy were analyzed to design the flight trajectory of the towed buoy in the transition section. Finally, the simulation examples under a calm atmosphere, various constant wind, and gust turbulence scenarios show that the proposed method can achieve stable flight of the towed buoy in the straight-circulating transition section.

Multi-beam LEO satellite user grouping and resource allocation algorithm
DAI Tianxiong, XU Zhen
2024, 50(8): 2575-2584. doi: 10.13700/j.bh.1001-5965.2022.0638
Abstract:

Compared with terrestrial network facilities, the resources of satellites are very limited, and the traditional fixed grouping and fixed resource allocation methods lack flexibility and limit the system capacity in the face of the uneven distribution of user geographic locations and traffic demands. User grouping based on user geographic location, using a dynamic beam with flexible direction and flexible beamwidth generated by phased array antennas and time-slicing technology of beam-hopping technique can achieve reasonable allocation and efficient utilization of satellite resources. Reasonable allocation and efficient usage of satellite resources can be achieved through user grouping based on user geographic location, phased array antenna-generated dynamic beam with flexible beamwidth and direction, and time-slicing technology of beam-hopping technique. Then a set of flexible resource allocation strategies for the user grouping scheme is proposed based on the grouping results, and an inter-group resource allocation process is added at the end to prevent the waste of free resources. In comparison to the conventional user grouping and resource allocation technique, the suggested approach can successfully increase system throughput and decrease users’ average queuing delays after experimental data simulation and performance evaluation.

Rotating bending fatigue life prediction of bearing steel based on damage mechanics
YU Yibing, HE Ziqiang, HE Xiaofan, YANG Zhenyu, ZHAN Zhixin
2024, 50(8): 2585-2594. doi: 10.13700/j.bh.1001-5965.2022.0639
Abstract:

This paper proposes a fatigue damage evolution model and numerical calculation method based on the theory of continuum damage mechanics, taking into account the effects of vacuum chemical heat treatment. Rotating bending fatigue damage analysis and life prediction are performed for M50NiL bearing steel. First, the constitutive model, the fatigue damage evolution equation and the material parameter calibration method in the theoretical model are presented. Second, based on the ABAQUS platform, the damage mechanics finite element numerical method for fatigue damage analysis considering the influence of the hardened layer is implemented by the UMAT subroutine. After that, the rotating bending fatigue experiments are conducted for the untreated, carburized, and carbonitrided M50NiL bearing steel, and the effect of the heat treatment process on fatigue properties is analyzed. Finally, the rotational bending fatigue life of M50NiL bearing steel is predicted using the suggested fatigue damage model and numerical approach, and the experimental findings validate the applicability of the proposed method.

Experimental study on kinetics of TLP diffusion bonding of GH3230 alloy
WU Lei, TENG Junfei, LYU Yanlong, QU Wenqing, ZHUANG Hongshou
2024, 50(8): 2595-2600. doi: 10.13700/j.bh.1001-5965.2022.0644
Abstract:

The transient liquid-phase (TLP) diffusion connection can obtain welds similar to the tissue performance of the parent material, so it has become an important bonding technology for the nickel-based superalloy structure of the aviation engine thermal end component and is widely used. The isothermal solidification of the liquid phase during the TLP diffusion bonding to form the solid solvent organization without the precipitates is the core link of the TLP diffusion bonding mechanism and the process dynamics. The TLP diffusion connection process of GH3230 alloy is carried out in the ways of an amorphous intermediate layer based on nickel by using the Co element in the middle layer as the tracer atom. The results focus on the element diffusion and distribution characteristics of the TLP diffusion bonding weld area under different connection time conditions. The maximum width of liquid phase is 72 μm. At the welding temperature of 1180 ℃, the isothermal solidification time of TLP diffusion bonding is more than 4 h.

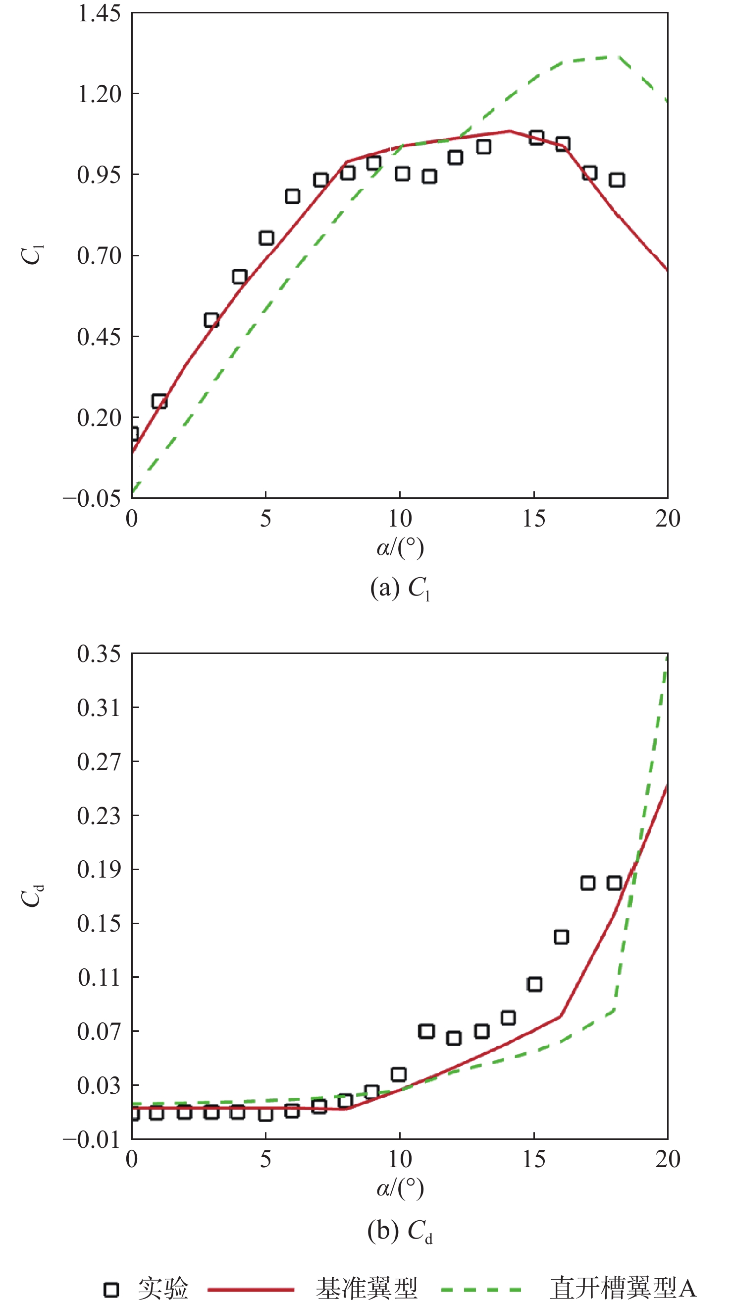
Application of inclined slot in airfoil stall control
YANG Guangyu, ZHANG Yang, HU Lanxiang, FU Yifan
2024, 50(8): 2601-2618. doi: 10.13700/j.bh.1001-5965.2022.0652
Abstract:

Airfoil stall is an aerodynamic phenomenon that needs to be considered in the design of wind turbines, and the main reason for stall is that the flow energy in the boundary layer is insufficient to provide sufficient adhesion. This problem can be effectively solved by injecting the high-momentum airflow under the airfoil into the upper separation zone when the airfoil is at a high angle of attack by using the internal slot of the airfoil. This research investigates the effects of two distinct slotted airfoil forms with varying widths on aerodynamic characteristics in an effort to improve the design of slotted airfoils. By observing the flow field diagram of different slotted airfoils and analyzing the flow velocity in and at the outlet of different slotted airfoils, the slotted airfoils with better aerodynamic characteristics can be optimized. In the deep stall environment, the Angle of attack of the optimized slotted airfoil increases by 8°. It has been demonstrated that the slotted airfoil can enhance the aerodynamic properties of the airfoil at larger angles of attack, as its aerodynamic performance has significantly increased when compared to the original airfoil.

An improved inversion method of forest biomass based on satellite GNSS-R
ZHOU Xun, ZHENG Nanshan, DING Rui, ZHANG Hengyi, HE Jiaxing
2024, 50(8): 2619-2626. doi: 10.13700/j.bh.1001-5965.2022.0654
Abstract:

Based on the Tau-Omega model, a spaceborne global navigation satellite system relectometry (GNSS-R) forest aboveground biomass inversion method considering the correction of ground soil moisture is proposed. The cyclone global navigation satellite system (CYGNSS) reflectance was corrected using the Tau-Omega model to increase the modeling parameters' accuracy, and SMAP satellite soil moisture was chosen as supplementary data. The biomass reference data utilized was the vegetation optical depth (VOD) supplied by SMAP satellite and the above-ground biomass (AGB) maps. The correlation changes between the observed values and the reference data prior to and following improvement were compared. The results show that the correlation coefficient increases significantly after the correction. The correlation coefficient between the parameters after improvement with VOD is increased from 0.54 to 0.67 compared to the reflectivity with VOD, and the correlation coefficient with AGB is increased from 0.46 to 0.56. Then, the GNSS-R VOD and AGB inversion models were established based on the corrected parameters and reflectivity through the artificial neural network, respectively. The results show that the improved method can effectively improve the inversion accuracy of VOD and AGB, and the improvement effect is better in areas with low biomass levels. For VOD inversion, after improvement, the correlation coefficient increased from 0.70 to 0.83, and the RMES decreased from 0.21 to 0.17; for AGB inversion, after improvement, the correlation coefficient increased from 0.61 to 0.71, and the RMES decreased from 74 t/hm2 to 65 t/hm2.

Whirl flutter on distributed electric propeller aircraft
CAO Tingting, YANG Youxu, YU Lingfu, CHENG Zhiyong, YE Bo
2024, 50(8): 2627-2635. doi: 10.13700/j.bh.1001-5965.2022.0684
Abstract:

Whirl flutter has become one of the essential aeroelastic problems faced by distributed electric propeller aircraft due to multiple propeller motors. Based on the motion and force relationship of the wing/nacelle/propeller coupling system, the downwash and sidewash effects of the wing on the propeller were considered, and the motion equation of the wing, nacelle, and propeller coupling system was derived. The gyroscopic moment of multiple sets of nacelle/propeller power and the unsteady propeller aerodynamic force were introduced into the wing structure dynamics model, and the flutter model of the distributed electric propeller aircraft was established. The influence of the critical dynamic layout parameters of the distributed electric propeller aircraft on the whirl flutter characteristics was studied through the variable parameter analysis of the spanwise position of the motor system and the number of motor systems. The flutter characteristics of two typical distributed electric propeller aircraft layouts were evaluated. The results show that when the motor system is located near 0.8 times the wingspan, the whirl flutter velocity is significantly improved, while other installation position parameters are insensitive. In the process of gradually increasing the motor quantity from the wing root to the wingtip, when the motor quantity is less than 5, the flutter speed of the wing is insensitive to the motor quantity parameter; when the motor quantity increases to 6, both the classical flutter velocity and the whirl flutter velocity of the wing are significantly improved. Under the premise that the overall design indicators such as total stiffness, total mass inertia, total slip flow effect, and total power are equivalent, the distributed scheme of the same motor system is better, which is beneficial to improving the classical flutter velocity and whirl flutter velocity.

Multi-objective Harris Hawk optimization algorithm based on adaptive Gaussian mutation
YAN Xiaobin, FANG Yangwang, PENG Weishi
2024, 50(8): 2636-2645. doi: 10.13700/j.bh.1001-5965.2022.0686
Abstract:

The Harris Hawk optimization algorithm tends to fall into local optimum due to poor population diversity when solving multi-objective optimization problems. To address this issue, a multi-objective Harris Hawk optimization algorithm based on adaptive Gaussian mutation was proposed. To make the solution shrink to the Pareto frontier better, a prey location method based on the grid division method was proposed. To improve the convergence performance of the algorithm, the individual location of the population beyond the interval was updated to the prey location. An adaptive Gaussian mutation strategy was used to improve the algorithm diversity and the uniformity of the Pareto frontier population particles. The simulation results show that when the algorithm solves the multi-objective optimization problem, compared with multi-objective genetic algorithm (NSGA-Ⅱ), multi-objective particle swarm optimization (MOPSO), multi-objective gray wolf optimization (MOGWO), and multi-objective Harris Hawk optimization (MOHHO), the optimization accuracy is improved by 8.02%~51.34%, and the convergence speed is improved by 16.67%~40.74%. The research work provides new methods and technical means for solving multi-objective optimization problems.

Numerical simulation of iliac vein compression syndrome in hemodynamics
LI Chaoqun, ZHAN Yanqing, WANG Zhongming, GAO Yongxin, QIU Peng, YAO Cheng
2024, 50(8): 2646-2654. doi: 10.13700/j.bh.1001-5965.2022.0693
Abstract:

To investigate the reasons for the typical symptoms of iliac vein compression syndrome with the collateral veins, a typical iliac vein blood flow field with a collateral vein was numerically studied. The viscous resistance coefficient of the porous media model was adjusted to simulate the second and third development stages of iliac vein compression syndrome. The hemodynamic characteristics in the two stages were analyzed and compared, e.g., pressure gradient, blood helicity, and wall shear stress. The results show that the pressure gradient between the left iliac vein and the inferior vena cava is 107 Pa in the third stage, which is far greater than 31 Pa in the second stage but less than the criterion of iliac vein compression syndrome, i.e., 266 Pa. In the third stage, the left iliac vein is replaced by the collateral vein to realize the venous blood flow. When the blood flow pathway changes, the blood helicity and wall shear stress in the collateral vein and right iliac vein are much greater than those in the second stage. The obstruction of the left iliac vein changes the transport pathway of the erythrocyte and prolongs the transport time. Although the venous blood flow in iliac vein compression syndrome with the collateral vein is normal, the patient still presents the typical symptoms due to the combined effort of the excessive pressure gradient, large blood helicity, abnormal wall shear stress, and transport hysteresis of erythrocytes.

Autonomous navigation method of satellite constellation based on adaptive UKF
WANG Dong, YANG Jing, XIONG Kai
2024, 50(8): 2655-2666. doi: 10.13700/j.bh.1001-5965.2022.0696
Abstract:

The autonomous satellite constellation navigation system faces model uncertainty and is difficult to accurately obtain statistical characteristics of the time-varying system noise, thus affecting the navigation accuracy. To address this issue, an unscented Kalman filter (UKF) algorithm based on the online adaptive adjustment of system noise was proposed. An autonomous satellite constellation navigation method based on the relative measurement between satellites was designed according to the proposed adaptive UKF algorithm. This method combined the sampling strategy of singular value decomposition and scale correction to solve the problem that Cholesky decomposition cannot be carried out due to the loss of positive definiteness of the state error variance matrix when UKF was applied. Through the simulation results on a low earth orbit (LEO) local constellation and a middle earth orbit (MEO) global constellation, the effectiveness of the algorithm in improving the filtering accuracy and the confidence of state estimation was verified. Its orbit determination accuracy was better than the extended Kalman filter (EKF) algorithm, adaptive EKF algorithm, and UKF algorithm based on symmetrical sampling strategies. Finally, the Cramer-Rao lower bounds (CRLB) analysis method was used to verify the estimation performance of the algorithm.

Turbulence-radiation interaction in turbulent jet flame based on large-eddy simulation
SONG Xuguang, JIN Jie, ZHANG Minqi, WANG Fang
2024, 50(8): 2667-2676. doi: 10.13700/j.bh.1001-5965.2022.0697
Abstract:

In large eddy simulation (LES), the influence of subgrid-scale turbulence-radiation interaction (SGS-TRI) on the radiative source term for Sandia Flame D and the scaled Sandia flame D (Flame 4D) was studied. The transport probability density function (TPDF) method was used to simulate the turbulence combustion, and the spherical harmonics (P1 approximation) method and the weighted-sum-of-gray-gases model (WSGGM) were employed to simulate the radiation heat transfer. The optically thin fluctuation approximation (OTFA) of the turbulent vortex group was applied for processing the filtered absorption term, and different methods considering or omitting the SGS-TRI were used for solving the filtered emission term. The results show that the SGS-TRI has a relatively large effect on the time-averaged radiation source term (up to 25%) only in areas where the source term itself is small. The radial distributions of the time-averaged temperature and CO2 concentration calculated by considering and ignoring the SGS-TRI largely overlap (The relative difference is less than 3%). Therefore, the influence of SGS-TRI on the non-sooting turbulent jet flames (Flame D and Flame 4D) is small.