2019 Vol. 45, No. 1

Display Method:
Volume 45 Issue12019
iconDownload (38815) 917 iconPreview
Multi-objective network structure optimization method based on waypoint layout
ZHENG Yukun, WANG Ying, LI Chao, QI Yao, LI Zhengxin
2019, 45(1): 1-9. doi: 10.13700/j.bh.1001-5965.2018.0157
Abstract:

In order to improve the scientific nature of regional air route network structure and reduce the network operation pressure made by flight flow growth, a multi-objective network optimization method based on waypoint layout was proposed. First, the constituent elements of regional air route network were considered, and the optimization model was made with the design of optimization targets and constraint conditions which reflected the network comprehensive performance. Then, a waypoint layout strategy was established based on node movement, fusion and decomposition, so the solution procedure of optimization method was provided and the method can be solved by NSGA-Ⅲ algorithm. Finally, a simulation of partial regional air route network belonging to Beijing flight information region was analyzed and the results demonstrate excellent comprehensive performance of air route networks made by NSGA-Ⅲ algorithm. While the optimal network satisfies the constraint conditions, the operating cost and non-linear coefficient are basically unchanged, and the flight conflict coefficient is reduced by 10.8%. So this optimization method can promote economic efficiency, safety and feasibility of air route network, which conforms to current airspace environment and management system in China.

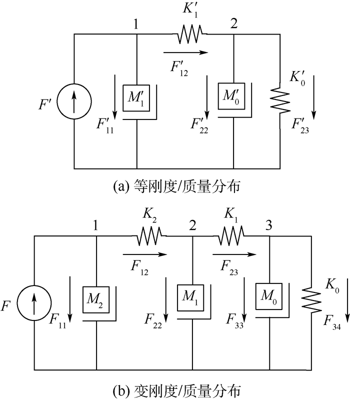
Vibration isolation design method and experiment of aero-engine supporting structure
HONG Jie, YANG Zhenchuan, WANG Yongfeng, MA Yanhong
2019, 45(1): 10-17. doi: 10.13700/j.bh.1001-5965.2018.0196
Abstract:

Based on the structural and dynamic characteristics of advanced aero-engine supporting frames, the design method of high vibration isolation supporting frames is verified by theoretical analysis and simulation calculation. The structural mechanical impedance in wide frequency band is increased and high vibration isolation within rotor working speed range is achieved by the optimized design of stiffness/mass distribution and configuration break in supporting structure. According to the effect of structural stiffness/mass distribution on vibration isolation, the rotor-supporting frame experimental apparatus is designed and established in folded discrete structure, and the high vibration isolation supporting frame design method is further verified by the experiment. The experimental results show that the discrete design in supporting structure possesses good vibration isolation effect to the excitation on different bearing positions in wide frequency band.

Joint stiffness loss and vibration characteristics of high-speed rotor
HONG Jie, XU Xiru, SU Zhimin, MA Yanhong
2019, 45(1): 18-25. doi: 10.13700/j.bh.1001-5965.2018.0222
Abstract:

To achieve high loading and light weight, the speed and the support span of aero-engine rotor continue to increase, which leads to the degradation of rotor bending stiffness and the bending deformation of the rotor. There will be bending stiffness loss at interfaces when the rotor has bending deformation. It is necessary to consider the effect of rotor bending deformation on joint interface stiffness characteristics and rotor system's vibration characteristics. A mechanical model for quantitatively describing the stiffness loss mechanism at the interface was proposed. For the dynamic design of discontinuous rotor system, the method for reduction of stiffness loss based on the strain energy distribution optimization was proposed. The numerical simulation results show that for large-span discontinuous rotor system, the stiffness loss is significant with bending deformation, which will greatly reduce the critical speed of the rotor. The sensitivity of rotor vibration characteristics to the stiffness loss can be controlled by optimizing the strain energy distribution of rotor. This method has important guiding significance for the optimal design of rotor vibration characteristics.

Terminal building short-term passenger flow forecast based on two-tier K-nearest neighbor algorithm
XING Zhiwei, HE Chuan, LUO Qian, JIANG Xiangfeng, LIU Chang, CONG Wan
2019, 45(1): 26-34. doi: 10.13700/j.bh.1001-5965.2018.0259
Abstract:

Outbound passenger flow of terminal building shows the quasi-periodic variation in a short period of time and also shows complex nonlinear characteristics because of many factors such as flight schedule and weather. In order to accurately predict the short-term passenger flow of terminal building, the flight schedule state pattern matching procedure is added on the basis of the traditional K-nearest neighbor (KNN) algorithm. The flight schedule including multi-dimensional attributes is taken as a feature to select historical similar operation days as forecast reference vectors. The two-tier K-nearest neighbor model based on terminal building short-term passenger flow forecast is built. Through instance analysis and comparison with ARIMA model and traditional K-nearest neighbor model, it is proved that two-tier K-nearest neighbor model has smaller prediction error and higher precision, and the model fitting degree increases by 8%-10% compared with traditional K-nearest neighbor model. Thus the model provides a new solution for accurately forecasting terminal building short-term passenger flow.

Human motion end point prediction in human-robot collaboration
CHEN Youdong, LIU Jialei, HU Lanxiao
2019, 45(1): 35-43. doi: 10.13700/j.bh.1001-5965.2018.0256
Abstract:

To realize a safe and effective human-robot collaboration (HRC), it is necessary for the robot to predict human motions in a timely manner, so as to assist human more actively in the cooperative work. In order to solve the problem of human motion prediction in HRC assembly scenario, a motion end point prediction method based on long short-term memory (LSTM) network is proposed. In the training phase, the LSTM network is trained with samples of human motion sequences and corresponding motion end points, and the mapping between motion sequences and motion end points is constructed. In the application phase, the motion end point is predicted in advance based on the initial part of the human motion sequence. The effectiveness of the proposed method is verified by predicting the end points of motion of a human grasping tool or part in an assembly scenario. When 50% of the motion fragments are observed, the accuracy rate of prediction is above 80%.

Experimental investigation on vacuum plume interaction of hydrogen/oxygen engines
WU Jing, CAI Guobiao, HE Bijiao
2019, 45(1): 44-49. doi: 10.13700/j.bh.1001-5965.2018.0233
Abstract:

To investigate the effects of plume interaction caused by multiple spacecraft engines on the flow field structure and parameters, the pressure fields of single plume and dual plumes generated by hydrogen/oxygen engines with 60 N thrust were determined using a pitot tube array in vacuum plume effect experimental system (PES) of Beihang University. The experimental results show that the pressure in the single plume field decreases rapidly with the increase of axial distance, and the location of the maximum pressure along the same axial distance gradually deviates from the nozzle axis due to the compression waves generated from the bell nozzle. Plume interaction occurs in the region between the dual prime plumes, whose action range and intensity increase with the increase of axial distance. To the highest degree, the pressure of the interacted plume can be more than 5 times that of the single plume at the same point. The location of the maximum pressure along the same axial distance gradually deviates from the symmetry plane of the dual engines due to the compression waves' boundary of the interacted plume.

Energy efficient clustering routing protocol for wireless sensor networks
LIU Wei, DU Jiahong, JIA Suling, PU Juhua
2019, 45(1): 50-56. doi: 10.13700/j.bh.1001-5965.2018.0251
Abstract:

Wireless sensor networks (WSNs) have attracted extensive attention due to their wide range of potential applications. Network energy conservation, energy consumption reduction and lifetime extension are problems which must be solved. In this paper, some concrete analyses on the typical clustering protocols have been made, and based on the comparative study, an energy efficient clustering routing protocol——BCCP based on node correlation for wireless sensor networks is proposed. With the use of node location correlation and residual energy, energy consumption balancing algorithm reduces clustering iteration times. Then uniform distribution of cluster head nodes is obtained and communication energy consumption between cluster head nodes and member nodes is reduced. Therefore, the algorithm reduces energy consumption of network. With the use of data similarity and cooperative correlation among nodes, energy consumption reduction algorithm reduces data traffic of internal-cluster and external-cluster communication. Therefore, the algorithm reduces energy consumption of network. The experimental results show that BCCP has a distinct advantage in balancing, number of live nodes and reducing energy consumption comparing to other current methods.

Wind shear characteristics in near space and their impacts on air vehicle
YANG Junfeng, XIAO Cunying, HU Xiong, CHENG Xuan
2019, 45(1): 57-65. doi: 10.13700/j.bh.1001-5965.2018.0175
Abstract:

Based on the near-space wind field data from MERRA reanalysis data, the seasonal variation of atmospheric wind field at 20-78 km is investigated. The characteristics of wind shear over Jiuquan (39.1°N, 98.5°E) are analyzed by the method of mathematical statistics. Moreover, the effect of wind shear on the near-space aircraft is studied. The results show that the wind in near space is eastward in January and October, westward in July, and eastward (westward) below (above) 50 km in April. The maximum wind speed occurs in January with 99% probability and the shear induced by the maximum wind has a certain height range. The synthetical wind vector is also given by the maximum wind and minimum wind. In addition, the wind attack angle of the near-space aircraft caused by the wind shear is significant. The wind attack angles for air vehicle with Mach numbers 3, 5 and 8 are biggest at 69 km, which are 8.5°, 5.1° and 3.2° respectively.

An average moment-independent importance index and its rejection sampling method
CHENG Lei, ZHANG Leigang, LEI Bao, LIANG Zudian, LIU Peng
2019, 45(1): 66-73. doi: 10.13700/j.bh.1001-5965.2018.0266
Abstract:

In the process of moment-independent importance analysis, importance index are always used to quantify the inverse allocation of structural system output uncertainty to input uncertainty.An assumption is given that the variance of a given factor can be reduced by future research, which leads to the development the moment-independent index function. The moment-independent importance index function provides an index for a given factor as a function of the amount of variance of that factor can be reduced. Meanwhile, by assuming the reduction amount of a particular factor variance as a random variable, the average moment-independent importance index is defined by taking average of the moment-independent importance index function. Estimating the average moment-independent importance index involves a large amount of computation using Sobol's method, and thus rejection sampling (RS) method is introduced here with the generated samples used in Sobol's method. Consequently, RS can use the samples generated during Sobol's method to accurately estimate the moment-independent importance index function and the average moment-independent importance index without any further model evaluation, which greatly reduces the computational cost. Numerical and engineering examples are demonstrated to show the effectiveness of the proposed measures and the accuracy and availability of the RS method.

A conjugated heat transfer oriented modeling method of turbine blade computational domain model
WANG Tian, XI Ping, HU Bifu, LI Jixing, SHI Xiaofei
2019, 45(1): 74-82. doi: 10.13700/j.bh.1001-5965.2018.0197
Abstract:

To solve the problems of low modeling efficiency, unstable model quality and poor adaptability to numerical simulation in conjugated heat transfer numerical simulation of turbine blades with complex cooling structure, the turbine blade model for manufacturing and its modeling method were analyzed. Combined with demands for numerical simulation, a conjugated heat transfer modeling method for the turbine blades' computational domain was proposed. Firstly, an automatic positioning algorithm based on the external cooling feature was used to create the turbine blade's cooling air fluid domain. Through the adaptive pipeline intersection algorithm and the boundary automatic matching algorithm, the gas fluid domain that can adapt to different blade section line types was generated. During the modeling process, the key geometric features and non-geometric information required for the numerical simulation were extracted, and then were integrated with the cooling air fluid domain, the gas fluid domain and blade entity. The conjugated heat transfer computational domain model was completed. Based on the above research, a rapid modeling system was developed for modeling conjugated heat transfer computational domain model, which verified the effectiveness of the proposed method.

Nonlinear fitting method for torque-angle characteristic model of switched reluctance motor
YE Wei, MA Qishuang, XU Ping, ZHANG Poming
2019, 45(1): 83-92. doi: 10.13700/j.bh.1001-5965.2018.0223
Abstract:

The modeling method of the switched reluctance motor is different from the traditional motor. By analyzing the principle of electromagnetic torque generation, the relationship between electromagnetic torque and phase inductance derivatives under different motor saturation conditions is determined. The inductance derivative curve is modeled by piecewise function nonlinear fitting. And then, the analytical model for the reversible torque-angle characteristics of switched reluctance motor is obtained. The parameters of the model are determined and optimized by the structural parameters and constraint condition of the motor. The reversible torque-angle model makes the calculation of the magnetization curve and the instantaneous flux linkage possible. It brings great convenience for the design of the motor and the drive control of the motor. The accuracy of the analytical results is verified by the measured data and the finite element method with two prototypes.

Spatial autoregressive model for compositional data
HUANG Tingting, WANG Huiwen, SAPORTA Gilbert
2019, 45(1): 93-98. doi: 10.13700/j.bh.1001-5965.2018.0253
Abstract:

The existing compositional linear models assume that samples are independent, which is often violated in practice. To solve this problem, we put forward a spatial autoregressive model for compositional data, which contains both compositional covariates and scalar predictors. Furthermore, a new estimation method is proposed. The new model has advantages of coping with mixed compositional and numerical data and expressing dependence between the responses. And the parameter estimators are obtained through isometric logratio (ilr) transformation, which transforms dependent compositional data into independent real vector. A Monte-Carlo simulation experiment verifies the effectiveness of the proposed estimation method.

Deflection of multi-crack synchronous propagation in horizontal well
CHEN Minwei, LI Min, CHEN Weimin
2019, 45(1): 99-108. doi: 10.13700/j.bh.1001-5965.2018.0255
Abstract:

Horizontal well fracturing, a popular new technology developed in oil and gas industry, is utilized to enhance the production of wells. However, crack tips determine the crack initiation and propagation direction in the process of fracture growth and have a significant effect on the fracturing results. In this sense, in-depth understanding is required for this technology. In this paper, weight function at the crack tip is built according to the characteristics of stress field at the tip. The function can accurately describe the stress state at the crack tip and determine the growth direction. Based on the analysis of multi-crack propagation in the horizontal well, which is simulated by mesh regeneration method together with maximum principal stress principle, weight function at the crack tip is used to explain the reason of crack deflection under the conditions of stress contrast, crack number and distance among cracks. The final results indicate that the equivalent stresses in x and y direction at the crack tip have no distinct change and the deflections are mainly related to the equivalent stresses in xy direction.

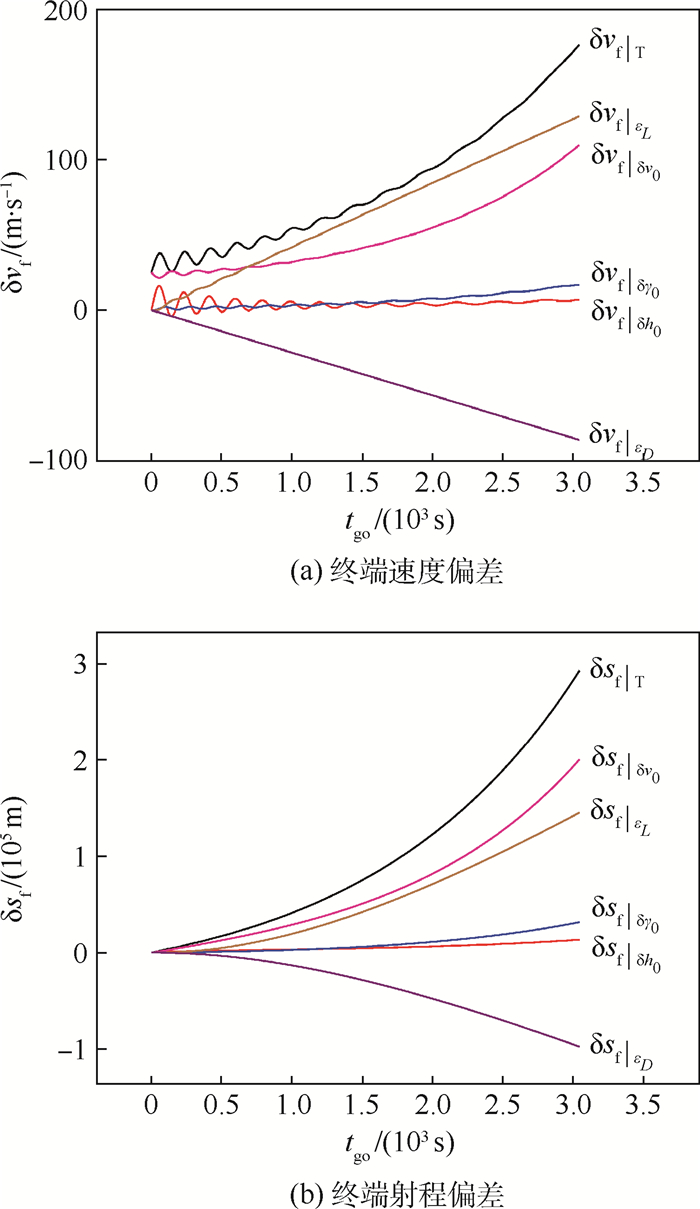
Adjoint analysis of steady glide trajectory with disturbance motion for hypersonic vehicle
HE Tailong, CHEN Wanchun, LIU Fang
2019, 45(1): 109-122. doi: 10.13700/j.bh.1001-5965.2017.0545
Abstract:

Aiming at the problem of steady glide trajectory for hypersonic vehicle with disturbance motion, the adjoint method and its application were studied. Based on the mathematical definition of adjoint system, interpretations of adjoint method were achieved in a new and general way, which include performance projections in error budget form and the general meaning of single adjoint computer run. For stochastic linear system, the adjoint of covariance analysis was derived. Then, based on the definition of glide dynamics model and the definition of steady glide trajectory, the consistency of the definition of steady glide trajectory was explored by simulation analysis. The dynamics model was built for glide with disturbances on initial states and aerodynamic forces. Under the assumption of small perturbations, the linearized differential equation was obtained as a perturbation to the nominal steady glide trajectory. Finally, adjoint simulation examples were taken to analyze the influence of the deterministic and stochastic disturbances on final states of the nominal steady glide trajectory, and the results agree closely with those by nonlinear simulations and Monte Carlo simulations, but the adjoint simulation offers a substantial increase in computing efficiency.

Test on permeability of phenolic composites under different pyrolysis temperatures
WANG Liyan, CUI Zhanzhong, CHEN Weihua, WANG Kaishi, ZHOU Qichao, WANG Zhenfeng
2019, 45(1): 123-129. doi: 10.13700/j.bh.1001-5965.2018.0144
Abstract:

To acquire the permeability of phenolic composites under different pyrolysis temperatures, the experimental device which was used for the measurement in gas permeation process in phenolic composites was developed, and a method for measuring permeability of phenolic composites was presented. The formula for calculating permeability was derived based on Darcy's law. Phenolic composites under different pyrolysis temperatures were chosen as the research object. Though experiment measurement, the gas pressure between down and upper materials and the gas flow penetrating the materials were obtained. The permeability of the materials was obtained according to Darcy's law. The results show that the permeability of complex pore composites can be measured by this experimental device. Overall, the higher the pyrolysis temperature is, the greater the permeability is. The permeability level is in 10-13 at 400℃ pyrolysis temperature, and in 10-11 at 600℃ and 800℃ pyrolysis temperature. Furthermore, permeability of phenolic composites K and pyrolysis temperature T meet the formula K=9.7×10-14T-4×10-11.The experimental results can provide basic property data for the theoretical analysis on permeability and heat and mass diffusion performance.

A new approach of cloud storage for industrial Internet
MENG Xiangxi, ZHANG Ling, GUO Haoming, GUO Limin, XIA Qianchen, LYU Jianghua, MA Shilong
2019, 45(1): 130-140. doi: 10.13700/j.bh.1001-5965.2018.0174
Abstract:

With the development of industrial informatization, industrial Internet has attracted many attentions, and massive heterogeneous data management is one of the most important issues. However, traditional relational database (RDB) limits the performance of access and retrieval of massive and heterogeneous data, while cloud data management mainly focuses on key-value (K-V) queries, which cannot quickly search data by using any data property other than the prime key. In this paper, a cloud storage framework-StoreCDB is proposed for data management in the industrial Internet. In StoreCDB, the heterogeneous data are represented by a uniform data model firstly and then stored in a distributed file and parallel architecture as unstructured data. In addition, a double-level index is proposed to support both key-value queries and RDB queries. This paper adopts a distributed cluster experimental platform and massive high-speed train operation simulation data to verify the framework. The experimental results show that StoreCDB has satisfactory heterogeneous data access and retrieval performance and provides a good solution for industrial Internet data management.

Low-viscosity epoxy resin boramine-anhydride composite curing system
XING Zhipeng, QIAO Yingjie, ZHANG Xiaohong, WANG Xiaodong
2019, 45(1): 141-148. doi: 10.13700/j.bh.1001-5965.2018.0208
Abstract:

In order to explore the mechanism of composite curing reaction of low viscosity epoxy resin, boramine-anhydride The rheological properties and curing reaction process of low-viscosity epoxy resin with boramine-anhydride composite curing system were studied, and the influence of boramine-anhydride compound ratio on the rheological properties and curing reaction process of the composite curing system was analyzed. Based on Arrhenius equation, the curing time, gel time and activation energy of curing reaction of the composite curing system were determined by rheological parameters. The results show that the curing reaction is promoted with the increase of the anhydride ratio in the curing system, while the starting point of curing and the gel time point decrease, and the activation energy based on Arrhenius equation is reduced. The curing reaction process of boramine-anhydride composite curing system was analyzed by non-isothermal differential scanning calorimeter (DSC). The results indicate that relatively independent double exothermic peaks appear in the boramine-anhydride composite curing system. With the increase of anhydride ratio, the peak value of the low-temperature exothermic peak increases, the peak value of the high-temperature exothermic peak decreases, and the peak temperatures of double exothermic peaks move to the side of high temperature. According to the curing reaction mechanism of the two kinds of curing agents, two effects of mutual synergy and mutual competition between the curing agents of boramide and anhydride exist in boramine-anhydride composite curing system of epoxy resin.

Hypervelocity impact damage prediction of stuffed Whipple shield based on Adaboost
DING Wenzhe, LI Xinhong, YANG Hong
2019, 45(1): 149-158. doi: 10.13700/j.bh.1001-5965.2018.0216
Abstract:

The explicit ballistic limit equation of stuffed Whipple shield may cause some deviations between the prediction results and the measured data when the projectile is subjected to hypervelocity impact damage prediction because of different filling materials and filling methods. In this regard, the machine learning method is used to transform the problem into a binary problem. The projectile impact parameters and protective structure parameters in the collision process are used as the classification features to construct a hypervelocity impact damage prediction model of stuffed Whipple shield based on Adaboost. The model uses the classification and regression tree (CART) as a weak classifier to generate a strong classifier by weighted combination of a series of weak classifiers. Through the cyclic use of training samples, the impact damage prediction under a small sample set is achieved. The experimental results show that the established Adaboost prediction model has good prediction effect on the hypervelocity impact damage of stuffed Whipple shield. Both the totality prediction rate and the safety prediction rate of Adaboost prediction model increase by 14.3% compared with NASA's ballistic limit equation, and the established model has more versatility. Cross check under different training sample sizes proves that the model has good robustness and accuracy.

Deep learning and optimization algorithm for high efficient searching and detection of aircraft targets in remote sensing images
GUO Lin, QIN Shiyin
2019, 45(1): 159-173. doi: 10.13700/j.bh.1001-5965.2018.0239
Abstract:

In order to achieve high-performance detection and accurate positioning of aircraft targets in large-scale remote sensing images, in this paper, a kind of efficient aircraft target detection algorithm based on synthetic integration of searching and detection is presented. First, through the end-to-end deep neural networks (DNN), the efficient and accurate pixel-level segmentation of apron and runway area is achieved so that the searching range of aircraft targets is greatly narrowed and the probability of false alarm is also reduced effectively and the goal of high speed searching of aircraft targets candidate detection areas is achieved accordingly. In view of the segmented areas of apron and runway, the strategy of transfer reinforcement learning is employed to pre-trained YOLO networks with supervised signals of positive datasets by manual labelling. In this way, pre-trained networks can make up the deficiency of capacity of manual data sets, and the advantage of real-time property of YOLO networks can also be utilized to deal with the classification and locations of aircraft targets so as to achieve a satisfied solution of regression problems and promote the efficiency of detection significantly. It is obvious that the apron and runway segmentation with DNN networks can play important role in getting performance superiority of high precision and efficiency. Meanwhile, YOLO networks based on transfer reinforcement learning not only possess the characteristics of high efficiency, but also maintain the precision of detection at a high level. A series of comprehensive experiments and comparative analyses verify the effectiveness and good performance of the proposed searching and detection algorithm of aircraft targets with DNN cascade combination and synthetic integration.

Micro-scaled biaxial loading test system based on multi-axis synchronous control
XIONG Jingzhou, WAN Min, MENG Bao, ZHAO Yuechao, WU Xiangdong
2019, 45(1): 174-182. doi: 10.13700/j.bh.1001-5965.2018.0219
Abstract:

Aimed at the currently insufficient experimental condition for the research on yielding and hardening behavior in microforming of ultrathin sheets, a micro-scaled biaxial loading test system was presented, which can achieve complex loading paths. The system is characterized with four independent driving axes in hardware, coupled with separated upper computer and lower computer in software structure. The digital image correlation (DIC) method is adopted to capture deformation strain in the biaxial tension process. The control model of permanent magnet synchronous motor (PMSM) was first established, and the control parameters of speed closed loop were identified. The control accuracy of single-axis position closed-loop is significantly improved by using the nonlinear PID control method, and the four-axis synchronous control under diverse displacement/load ratios is realized on the basis of virtual axis method. The biaxial loading experiment reveals that the system satisfies the requirements of displacement synchronization error within 0.02 mm and load synchronization error within 0.05 kN. The developed system can thus be used for experimental research on yielding and hardening behavior of ultrathin sheet.

Angle deception effect of frequency diversity array on interferometer
GE Jiaang, XIE Junwei, ZHANG Haowei, FENG Xiaoyu, ZHANG Jing
2019, 45(1): 183-191. doi: 10.13700/j.bh.1001-5965.2018.0191
Abstract:

A method of angle deception jamming for interferometer based on frequency diversity array (FDA) is proposed to solve the problem of direction-finding concealment of interferometer. The interferometer determines the angle of arrival by obtaining the phase difference of the signals received by each antenna, and the phase difference does not satisfy the solution relation due to the frequency offset of each element of FDA, so that the angle deception is achieved. This paper proposes two algorithms (FDA model establishment and Euler formula) to establish the FDA signal phase distribution model. It is proved that FDA signal has an angle deception effect on interferometer. Based on the principle of interferometer, the influence of interference distance, interval of array element, emission frequency, frequency offset, etc. is analyzed. The theoretical analysis and simulation results show that FDA has a good deception effect on the interferometer in far field.

Fatigue damage analysis of 2D braided C/SiC composite plate
CHEN Tianxiong, ZHANG Zheng, WANG Qizhi, LIN Huixing
2019, 45(1): 192-199. doi: 10.13700/j.bh.1001-5965.2018.0194
Abstract:

To explore the basic laws of composite damage, first, based on damage mechanics, combined with Tsai-Hill criterion of strength, a damage evolution equation that can characterize the damage anisotropy of 2D braided C/SiC composites was proposed.Second, a damage simulation program considered material stiffness reduction depend on the damage degree, as an add-on function, was developed and inserted in the commercial finite element software ANSYS environment. Third, the damage evolution of the 2D braided C/SiC composite plate model was simulated, and the result shows stress and damage degree have coupling effects on the element damage during the damage process. Finally, the form of damage evolution equation is discussed and improved, and the anisotropic characteristics of damage evolution under the material property and the action of damage driving force is revealed by analog computation, indicating that the material anisotropy damage is the inevitable result of its material properties and loaded form.

Heat dissipation characteristics of double-layer battery pack under coupling of air and fluid domains
ZHAO Lei, ZHU Maotao, XU Xiaoming, HU Donghai, LI Renzheng
2019, 45(1): 200-211. doi: 10.13700/j.bh.1001-5965.2018.0242
Abstract:

The existence of the air domain in the multi-layer stacked battery pack makes the heat flow field of each layer module coupled together, thus affecting the heat dissipation performance of the battery module. A liquid-cooled heat transfer model for a square double-layer battery pack is established with considering the convection heat transfer between the battery module and the air. The thermal power of the battery in this model is based on the experimental results. ANSA is used as the pre-processing software to ensure the simulation accuracy, and CFX is used as the post-processing software. The effect of air domain in double-layer battery structure on the thermal behavior of liquid-cooled thermal management system is studied under different discharge rates, cooling fluid inlet directions and liquid flow rates. It is compared with the simulation result without the consideration of air domain under the same working condition. The comparison results show that the presence of the air domain does not affect the temperature distribution of upper and lower module of the liquid-cooled double-layer battery pack, but reduces the temperature difference of the upper and lower modules, and the difference of the maximum temperature rise in the upper and lower modules can be reduced by 49.1% to a largest extent, which improves the temperature consistency of the whole battery pack.

S-wave spin singlet bottomonium decay to charm quark pair
SUN Jiajia, ZHANG Yujie, XIONG Chang
2019, 45(1): 212-217. doi: 10.13700/j.bh.1001-5965.2018.0267
Abstract:

The decay of S-wave spin singlet bottomonium state to charm quark pair is studied, and the decay of S-wave spin singlet state and triplet bottomonium state to D meson pair is studied. By using the branching ratio of the decay of S-wave spin triplet bottomonium state to D meson measured by the BaBar Collaboration, it is found that the color octet matrix element of the S-wave spin triplet bottomonium state is much smaller than the theoretical prediction, and the theoretical prediction is a factor of 20 times larger than the experimental upper limit. The theoretical predictions of the branching ratio of S-wave spin singlet bottomonium state to charm quark pair can be used to probe the color octet mechanism. The theoretical predictions of the branching ratio of S-wave spin singlet bottomonium state to D meson pair are different from those of other literature. These predictions can be validated by Belle Ⅱ Collaboration to obtain more information about hadronization.

Visual localization technology of AGV based on global sparse map
ZHANG Haoyue, CHENG Xiaoqi, LIU Chang, SUN Junhua
2019, 45(1): 218-226. doi: 10.13700/j.bh.1001-5965.2018.0272
Abstract:

In order to realize the high-precision localization of automated guided vehicle (AGV) in complex industrial environment and overcome the influence of environment change, a vision localization method based on a global sparse map was proposed. First, a large-capacity two-dimensional coded point was designed, which was set on the ground as an artificial landmark. Based on a quad recognition algorithm, the coded points were accurately segmented and identified in complex industrial environment. The feature points from different images were properly matched by using the coded information provided by coded points. Then, a block-optimization three-dimensional reconstruction algorithm was designed to build a map for a large-scale industrial environment, which provided a sparse electronic map for AGV visual localization. The visual localization of AGV was realized by matching the feature points from the visual sensor and sparse electronic maps. The repeated precision of AGV is less than 0.5 mm, the angle deviation is less than 0.5°, and the average displacement error of trajectory is less than 0.1%. The practical application shows that the method can realize the visual localization of AGV in complex industrial environment. The speed and precision of localization both meet the requirements of industrial application, which provides a new way for vision-based localization of AGV.