Volume 45 Issue 1
Jan.  2019
Turn off MathJax
Article Contents
XING Zhipeng, QIAO Yingjie, ZHANG Xiaohong, et al. Low-viscosity epoxy resin boramine-anhydride composite curing system[J]. Journal of Beijing University of Aeronautics and Astronautics, 2019, 45(1): 141-148. doi: 10.13700/j.bh.1001-5965.2018.0208(in Chinese)
Citation: XING Zhipeng, QIAO Yingjie, ZHANG Xiaohong, et al. Low-viscosity epoxy resin boramine-anhydride composite curing system[J]. Journal of Beijing University of Aeronautics and Astronautics, 2019, 45(1): 141-148. doi: 10.13700/j.bh.1001-5965.2018.0208(in Chinese)

Low-viscosity epoxy resin boramine-anhydride composite curing system

doi: 10.13700/j.bh.1001-5965.2018.0208
Funds:

National National Science Foundation of China 51479037

More Information
  • Corresponding author: QIAO Yingjie, E-mail: qiaoyingjie99@163.com
  • Received Date: 11 Apr 2018
  • Accepted Date: 11 May 2018
  • Publish Date: 20 Jan 2019
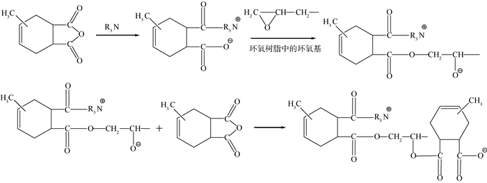
  • In order to explore the mechanism of composite curing reaction of low viscosity epoxy resin, boramine-anhydride The rheological properties and curing reaction process of low-viscosity epoxy resin with boramine-anhydride composite curing system were studied, and the influence of boramine-anhydride compound ratio on the rheological properties and curing reaction process of the composite curing system was analyzed. Based on Arrhenius equation, the curing time, gel time and activation energy of curing reaction of the composite curing system were determined by rheological parameters. The results show that the curing reaction is promoted with the increase of the anhydride ratio in the curing system, while the starting point of curing and the gel time point decrease, and the activation energy based on Arrhenius equation is reduced. The curing reaction process of boramine-anhydride composite curing system was analyzed by non-isothermal differential scanning calorimeter (DSC). The results indicate that relatively independent double exothermic peaks appear in the boramine-anhydride composite curing system. With the increase of anhydride ratio, the peak value of the low-temperature exothermic peak increases, the peak value of the high-temperature exothermic peak decreases, and the peak temperatures of double exothermic peaks move to the side of high temperature. According to the curing reaction mechanism of the two kinds of curing agents, two effects of mutual synergy and mutual competition between the curing agents of boramide and anhydride exist in boramine-anhydride composite curing system of epoxy resin.

     

  • loading
  • [1]
    陈平, 刘胜平, 王德中.环氧树脂及其应用[M].北京:化学工业出版社, 2011:36-38.

    CHEN P, LIU S P, WANG D Z.Epoxy resin and its application[M]. Beijing:Chemical Industry Press, 2011:36-38(in Chinese).
    [2]
    贺曼罗.环氧树脂胶粘剂[M].北京:中国石化出版社, 2004:2-4.

    HE M L.Epoxy resin adhesive[M]. Beijing:China Petrochemical Press, 2004:2-4(in Chinese).
    [3]
    高玉斌.硼胺络合物潜伏型固化剂的合成及环氧树脂体系性能研究[D].广州: 华南理工大学, 2014: 7-12.

    GAO Y B.Study on synthesis of boron amine complex latent curing agent and epoxy resin system[D]. Guangzhou: Institutes of Technology of South China, 2014: 7-12(in Chinese).
    [4]
    胡玉明, 吴良义.固化剂[M].北京:化学工业出版社, 2004:364-370.

    HU Y M, WU L Y.Curing agent[M]. Beijing:Chemical Industry Press, 2004:364-370(in Chinese).
    [5]
    陈平, 张岩.硼胺络合物/环氧树脂体系的固化反应机理及其动力学[J].复合材料学报, 1999, 16(4):52-57.

    CHEN P, ZHANG Y.Curing reaction mechanism of boron amine complex/epoxy resin system and its dynamics[J]. Journal of Composite Materials, 1999, 16(4):52-57(in Chinese).
    [6]
    段国晨, 赵景丽, 赵伟超.环氧树脂/酸酐固化剂体系的热性能研究[J].中国胶粘剂, 2017, 26(2):9-12.

    DUAN G C, ZHAO J L, ZHAO W C.Research on the thermal properties of epoxy resin/anhydride curing agent system[J]. China Adhesives, 2017, 26(2):9-12(in Chinese).
    [7]
    明璐, 宁荣昌, 杨卫朋, 等.高性能环氧树脂浇铸体研究[J].热固性树脂, 2012(5):27-30.

    MING L, NING R C, YANG W P, et al.Study on high performance epoxy resin casting[J]. Thermosetting Resin, 2012(5):27-30(in Chinese).
    [8]
    孙鹤.具有二阶段固化特征形状记忆环氧固化动力学及性能研究[D].哈尔滨: 哈尔滨工业大学, 2014: 26-27.

    SUN H.Study on curing kinetics and properties of shape memory epoxy resin with two stages curing characteristic[D]. Harbin: Harbin Institute of Technology, 2014: 26-27(in Chinese).
    [9]
    赵仁翔, 张德震, 陆士平, 等.三官能团环氧树脂/复合固化剂体系的固化研究[J].热固性树脂, 2013, 28(4):16-20. http://www.cnki.com.cn/Article/CJFDTOTAL-RGXS201304005.htm

    ZHAO R X, ZHANG D Z, LU S P, et al.Study on curing of three functional epoxy resin/composite curing agent system[J]. Thermosetting Resin, 2013, 28(4):16-20(in Chinese). http://www.cnki.com.cn/Article/CJFDTOTAL-RGXS201304005.htm
    [10]
    郑昌梅.功能型环氧固化剂的合成与应用[D].长春: 长春理工大学, 2015: 16-23.

    ZHENG C M.Synthesis and application of functional epoxy curing agent[D]. Changchun: Changchun University of Science and Technology, 2015: 16-23(in Chinese).
    [11]
    赵渠森, 谢富源.先进复合材料手册[M].北京:机械工业出版社, 2003:1318-1320.

    ZHAO Q S, XIE F Y.Handbook for advanced composite materials[M]. Beijing:China Machine Press, 2003:1318-1320(in Chinese).
    [12]
    孙曼灵.环氧树脂的应用原理与技术[M].北京:机械工业出版社, 2002:115-139.

    SUN M L.Application principle and technology of epoxy resin[M]. Beijing:China Machine Press, 2002:115-139(in Chinese).
    [13]
    RUSLI A, COOK W D, SCHILLER T L.Blends of epoxy resins and polyphenylene oxide as processing aids and toughening agents 2:Curing kinetics, rheology, structure and properties[J]. Polymer International, 2014, 63(8):1414-1426. doi: 10.1002/pi.2014.63.issue-8
    [14]
    HICKEY C M D, BICKERTON S.Cure kinetics and rheology characterisation and modelling of ambient temperature curing epoxy resins for resin infusion/VARTM and wet layup applications[J]. Journal of Materials Science, 2013, 48(2):690-701. doi: 10.1007/s10853-012-6781-8
    [15]
    尹昌平, 肖加余, 曾竟成, 等.E-44环氧树脂体系流变特性研究[J].宇航材料工艺, 2008, 38(5):67-70. doi: 10.3969/j.issn.1007-2330.2008.05.018

    YI C P, XIAO J Y, ZENG J C, et al.Study on rheological properties of E-44 epoxy resin system[J]. Aerospace Materials & Technology, 2008, 38(5):67-70(in Chinese). doi: 10.3969/j.issn.1007-2330.2008.05.018
    [16]
    GARSCHKE C, PARLEVLIET P P, WEIMER C, et al.Cure kinetics and viscosity modelling of a high-performance epoxy resin film[J]. Polymer Testing, 2013, 32(1):150-157. doi: 10.1016/j.polymertesting.2012.09.011
    [17]
    倪秋如, 倪礼忠, 夏宏伟, 等.TBPB-TBPO引发不饱和聚酯树脂固化的动力学[J].功能高分子学报, 2014, 27(3):348-352.

    NI Q R, NI L Z, XIA H W, et al.Curing kinetics of unsaturated polyester resin initiated by TBPB-TBPO[J]. Journal of Functional Polymers, 2014, 27(3):348-352(in Chinese).
    [18]
    TRICK K A, SALIBA T E, SANDHU S S.Akinetic model of pyrolysis of phenolic resin in a carbon phenolic composite[J]. Cabon, 1997, 35(3):393-401.
    [19]
    樊孟金, 周宇, 尚呈元, 等.一种80℃固化环氧树脂体系的非等温固化动力学[J].宇航材料工艺, 2017(3):23-28.

    FAN M J, ZHOU Y, SHANG C Y, et al.Non-isothermal curing kinetics of an 80℃ curing epoxy resin system[J]. Aerospace Materials & Technology, 2017(3):23-28(in Chinese).
    [20]
    孙曼灵, 郑水蓉, 马玉春.环氧树脂固化促进剂(Ⅱ)——环氧/酸酐体系的固化促进剂[C]//第十六次全国环氧树脂应用技术学术交流会暨学会西北地区分会第五次学术交流会暨西安粘接技术协会学术交流会论文集, 2012: 25-28.

    SUN M L, ZHENG S R, MA Y C.Epoxy resin curing accelerator(Ⅱ)-Curing accelerator of epoxy/anhydride system[C]//Procceedings of the Sixteenth National Academic Conference on the Application of Epoxy Resin Technology and the Fifth Academic Exchange Meeting of the Central Society of China, 2012: 25-28(in Chinese).
    [21]
    苏祖君, 曾金芳, 王华强.酸酐固化环氧树脂用促进剂评述[J].热固性树脂, 2004, 19(5):35-38. doi: 10.3969/j.issn.1002-7432.2004.05.011

    SU Z J, ZENG J F, WANG H Q.The review of accelerators for curing epoxy resin with acid anhydride[J]. Thermosetting Resin, 2004, 19(5):35-38(in Chinese). doi: 10.3969/j.issn.1002-7432.2004.05.011
    [22]
    LIU Q Y, CHEN J B, LIU S M, et al.Dynamic cure kinetics of epoxy resins using an amine-containing borate as a latent hardener[J]. Polymer International, 2012, 61(6):959-965. doi: 10.1002/pi.v61.6
    [23]
    陈平, 何东晓, 王辉.硼胺络合物固化环氧树脂的研究[J].热固性树脂, 1993(2):16-19.

    CHEN P, HE D X, WANG H.Study on the curing of epoxy resin by boramide complex[J]. Thermosetting Resin, 1993(2):16-19(in Chinese).
    [24]
    陈平, 毛桂洁.硼胺络合物/环氧脂体系固化反应机理及其动力学的研究[J].绝缘材料通讯, 1997(2):27-79.

    CHEN P, MAO G J.Study on curing reaction mechanism and kinetics of boron amine complex/epoxy resin system[J]. Jueyuan Cailiao Tongxun, 1997(2):27-79(in Chinese).
  • 加载中

Catalog

    通讯作者: 陈斌, bchen63@163.com
    • 1. 

      沈阳化工大学材料科学与工程学院 沈阳 110142

    1. 本站搜索
    2. 百度学术搜索
    3. 万方数据库搜索
    4. CNKI搜索

    Figures(11)  / Tables(4)

    Article Metrics

    Article views(954) PDF downloads(540) Cited by()
    Proportional views
    Related

    /

    DownLoad:  Full-Size Img  PowerPoint
    Return
    Return