2021 Vol. 47, No. 4

Display Method:
Volume 47 Issue42021
iconDownload (148581) 978 iconPreview
Structural properties and static robustness of function call networks
WANG Ershen, REN Hongfan, HONG Chen, SUN Qinghua, LIU Chang, XU Song
2021, 47(4): 675-681. doi: 10.13700/j.bh.1001-5965.2020.0039
Abstract:

In this paper, we build a directed function call software network model by analyzing the source code of the open source software tar and MySQL. The network structural properties, such as degree distribution and clustering coefficient, are investigated. The results indicate that the coupling of multiple major software modules leads to a high clustering coefficient of the entire software network; the node dependence (influence) is of a positive correlation with the node's out-degree (in-degree); the node influence has a negative correlation with its dependence. Based on the weak connectivity and strong connectivity robustness measure of directed networks, we use different node attack strategies to investigate the static robustness of function call networks. The experimental results show that, for tar network, high out-degree strategy obtains the best attack effect with respect to weak connectivity; in the case of MySQL network under weak connectivity, high in-degree strategy achieves the best attack effect.

Detection algorithm of aeroengine installation station based on R-D SSD model
CHEN Keshan, HAO Yu, HE Hongbo, LI Kunlong
2021, 47(4): 682-689. doi: 10.13700/j.bh.1001-5965.2020.0321
Abstract:

In order to solve the problems of manual installation and inaccurate positioning in the process of aeroengine installation, an improved SSD algorithm (ResNet-Dilated SSD, R-D SSD) is proposed to meet the detection requirements of aeroengine installation station in the research of its automatic installation method. The VGG16, the backbone network of classical SSD model, is replaced by the residual network ResNet-101 and the number of preselected boxes on output feature map is increased, which solves the problem that original algorithm has insufficient ability to grasp the underlying features, and thus results in poor detection effect of small target. The dilation convolution is used to expand the network's receptive field to obtain enough edge feature information of installation station, which ensures the good real-time performance of the model and the detection accuracy of the target without changing the network structure. The experimental results show that the average detection accuracy of the R-D SSD detection algorithm is 8.6% and 4.0% higher than that of original algorithm for the small target dataset and the whole dataset. It can meet the requirement that the average detection accuracy is not less than 85% when the aeroengine is installed.

Reliability and sensitivity analysis of relief valve mechanism of aircraft door considering wear
ZHOU Changcong, ZHAO Haodong, CHANG Qi, JI Mengyao, LI Chen
2021, 47(4): 690-697. doi: 10.13700/j.bh.1001-5965.2020.0024
Abstract:

As an important part of the aircraft door, the relief valve mechanism plays an important role in maintaining the normal and safe operation of the aircraft. In this paper, the multi-body dynamical model of the relief valve mechanism is built in ADAMS to study the effect of pin wear on positioning accuracy. The performance function of the positioning accuracy of the mechanism is established. The active Kriging model is introduced to find samples points which can obviously improve the fitting accuracy according to learning criteria. The Monte Carlo method is used to estimate failure probability and three sensitivity indices at different wear times, and the change rules of failure probability and failure probability based global sensitivity indices under different thresholds have been studied. The results show that under different wear times, the global sensitivity indices of a pin with a larger wear amount are also larger, and there are differences in the changes of various indices with the wear times.

Password authenticated key exchange protocol in electronic vehicle key enviromment
MING Yue, ZOU Junwei, SHEN Ting
2021, 47(4): 698-705. doi: 10.13700/j.bh.1001-5965.2020.0246
Abstract:

The rapid development of Internet of vehicles has promoted the research and development of digital key. In order to solve the communication security problem between digital key and car locks, a security model and password authentication key exchange protocol are proposed. The protocol completes the authentication between the digital key and the car lock through the assistance of the smartphone. Even if the smartphone is attacked by malicious code or is lost, the protocol can protect the privacy of the user. The security proof and performance analysis of the protocol under the security model show that the protocol can resist dictionary attacks, man-in-the-middle attacks, replay attacks, malicious code attacks, disguise attacks, internal attacks, etc. The performance of this protocol in computing consumption is better than that of other protocols of the same type, reducing the total computing consumption by 50.7%.

Hydraulic cylinder position system controlled by piezoelectric high-speed on-off valve
YU Juntao, ZHAN Hao, WANG Li, JIAO Zongxia
2021, 47(4): 706-714. doi: 10.13700/j.bh.1001-5965.2020.0345
Abstract:

Aimed at low position resolution and slow response of on-off valve controlled cylinder, a hydraulic cylinder position system controlled by piezoelectric high-speed on-off valve was designed. Firstly, the position system model of on-off valve was built in order to analyze the influence of PWM carrier frequency on the on-off valve flow characteristics. The system structure based on differential flow of double valve is adopted to realize the nonlinear compensation of hydraulic cylinder load flow, which reduced the influence of dead zone on the static and dynamic performance. Then, mechanism and principle of on-off valve controlled hydraulic cylinder position chattering are obtained by analyzing the influence factors of load pulse flow of double valve controlled hydraulic cylinder system, and PWM, PAM and PFM control methods based on the pulse flow are compared.Finally, considering the piezoelectric high-speed on-off valve flow characteristics, a composite control method with PWM and PAM is proposed, which helps the system realize fast and accurate position control by adjusting the duty cycle and flow amplitude according to the error signal and change. Simulation and experimental results show that the positioning accuracy is nearly 1%, which provides a theoretical basis for the application of high-speed on-off valve and control system.

Blocking jamming effect prediction method under multi-frequency in-band radiation environment for spectrum-dependent equipment
LI Wei, WEI Guanghui, PAN Xiaodong, SUN Shuqing
2021, 47(4): 715-723. doi: 10.13700/j.bh.1001-5965.2020.0016
Abstract:

In order to solve the technical problem of accurately evaluating radiation effects of spectrum-dependent equipment in complex electromagnetic environment, based on the basic theory of electromagnetic wave coupling transmission, this paper deduces and reveals that the poor linearity and insufficient dynamic range of RF front-end are the essential reasons why the electromagnetic radiation effect is sensitive to the effective value or amplitude of interference field strength. On this basis, two kinds of electromagnetic radiation effect models are established when the spectrum-dependent equipment is interfered by multi-frequency in-band continuous wave. And the method to judge the electromagnetic radiation sensitivity type of the tested equipment is proposed by the effective value ratio of critical interference field strength (Eame/Esine) of amplitude modulation wave (modulation depth 100%) and single-frequency continuous wave. When Eame/Esine>0.9, the tested equipment is sensitive to the effective value of interference field strength. And when 0.612 < Eame/Esine < 0.9, the tested equipment is sensitive to the amplitude of interference field strength. The dual-frequency and tri-frequency electromagnetic radiation tests are performed on difference communication equipment in this paper. The results show that the error of the forecasting method is less than 10%, and the proposed method can effectively predict electromagnetic radiation effect when the spectrum-dependent equipment is interfered by multi-frequency in-band continuous wave.

Risk assessment of lateral collision between military UAV and civil aviation flight
LI Qi, GAN Xusheng, SUN Jingjuan, WANG Minghua
2021, 47(4): 724-730. doi: 10.13700/j.bh.1001-5965.2020.0030
Abstract:

In recent years, Unmanned Aerial Vehicle (UAV) has become a new combat force. In order to solve the flight conflict between military UAV and civil aviation and ensure flight safety, this paper improves the classic EVENT model and proposes a collision risk model suitable for UAV. The influence of navigation mode, human factors and high-altitude wind on UAV flight is emphatically studied, and the corresponding position deviation model is constructed. Monte Carlo method is used to calculate the loss frequency of lateral interval between military UAV and civil aviation flight. MATLAB is used for example simulation to verify the effectiveness of the model, and the relationship between the lateral collision probability and the parameters is obtained. By calculating the collision risk at different safety intervals, some suggestions on the use of airspace are put forward.

Autonomous planning of on-orbit evasion path based on Frenet and improved artificial potential field
LIU Bingyan, YE Xiongbing, FANG Shengliang, LIU Huaixing, JIA Jun
2021, 47(4): 731-741. doi: 10.13700/j.bh.1001-5965.2020.0169
Abstract:

In the process of evading the space target, the spacecraft should take into account the absolute motion of flight along the transfer orbit and the relative motion of evading the space target. The corresponding path automatic planning is difficult, and there are few public research results at home and abroad. In view of the above problems, a method of autonomous planning of on-orbit evasion path combining Frenet coordinate system and improved artificial potential field is proposed. Firstly, this method constructs Frenet coordinate system to express spacial evasive motion, solves the problem that the relative position of spacecraft and the given transfer orbit is not easy to express in path planning, and achieves a simple representation of spatial evasive motion. Secondly, this method improves the artificial potential field function, adjusts the area of action of the potential field, and avoids the phenomena of premature trajectory deviation and local oscillation in the traditional artificial potential field method, so as to achieve the autonomous evasion of the space target. Finally, the global optimization function is constructed by taking into account the factors of evasion safety, orbit holding, braking time and fuel consumption, which can meet the requirements and preferences of different tasks, so as to realize the minimum deviation and fast recovery of the flight along the transfer orbit. The results of algorithm comparison and numerical examples show that this method has obvious advantages in application, with smooth path and small offset, and can meet the requirements of path planning for spacecraft to evade space targets.

Optimal design of series-hybrid electric system for unmanned convertiplane
CHEN Gang, JIA Yuhong, MA Dongli, XIA Xinglu, ZHANG Xin
2021, 47(4): 742-753. doi: 10.13700/j.bh.1001-5965.2020.0015
Abstract:

A new method is proposed, for the optimal design of Series-Hybrid Electric System (S-HES) equipped on the unmanned convertiplane, to cope with the special power demand of this type of new aircraft. The method includes multiple physical and mathematical models to describe the characters of convertiplane's S-HES, such as the power requirement solving model in rotor, fixed-wing, and transition modes, the hybrid power solving model based on S-HES structures, and the battery mass sizing equation considering the power constraint, energy constraint, and battery charging. The mass sizing equations of other S-HES components are also established on large amounts of statistical data, and a fuel consumption analysis model considering the engine operating point variation is built based on the Willans line method. Based on the above physical and mathematical models, the hybrid control parameter optimization is carried out at each flight stage in the flight profile using the Cauchy mutation particle swarm optimization algorithm, and thus the top-level aircraft design demand can be translated into the optimal operating strategies, design power, and mass distribution scheme of S-HES. The proposed method was verified in urban freight and mountain freight application scenarios. The results reveal that the adjustment of the mission profile of the unmanned convertiplane and the performance requirement changes at each flight stage have an important impact on the final optimal S-HES design results, and the proposed method can well capture the impact and has good adaptability to various application scenarios of unmanned convertiplane.

Influence of atmospheric density disturbance on aerothermodynamic environment of hypersonic vehicles in near space
CHENG Xuan, XIAO Cunying, DU Tao, HU Xiong, YANG Junfeng
2021, 47(4): 754-764. doi: 10.13700/j.bh.1001-5965.2020.0044
Abstract:

Based on the observation data of TIMED/SABER from 2002 to 2018, atmospheric density influence on aerothermodynamic environment of hypersonic vehicles is analyzed at 20-80 km. Based on the estimation method of heating transfer on stagnation in engineering, the relationship between the atmospheric density variations and the heating transfer changes is used to analyze the distribution characteristics of heating transfer changes in the vertical and horizontal directions qualitatively and quantitatively. The results show that: compared with the heating transfer calculated by USSA76, the heating transfer calculated by monthly mean density of SABER is higher in the middle and high latitudes in the summer hemisphere and lower in the winter hemisphere. There is a maximum value of heating transfer increments around 80 km in high latitudes of summer hemisphere. In summer, the maximum value of heating transfer increments in the southern hemisphere is higher than that of the northern hemisphere. Especially in January of southern hemisphere, the maximum value can reach 32.2%. In the longitude direction, the distribution of heat transfer in the summer hemisphere shows a small difference, while the heating transfer distribution in the winter hemisphere is significantly different. Considering disturbances in the real atmosphere, the heating transfer predicted by SABER is higher than that of USSA76 by up to 40.7% and 36.6% in summer of the southern and northern hemispheres around 80 km, respectively. In the longitude direction, the distribution of heating transfer caused by atmospheric disturbance is significantly different. Therefore, the effects of atmospheric disturbances on hypersonic vehicles cannot be ignored in the vehicle design process. Hypersonic vehicles should avoid crossing the southern or northern hemispheres during the summer to avoid the risk of increased heating transfer.

Modular modeling and dynamic stiffness simulation of electromechanical actuator
LU Jin, WU Zhigang, YANG Chao
2021, 47(4): 765-778. doi: 10.13700/j.bh.1001-5965.2020.0020
Abstract:

Flutter is a dangerous aeroelastic instability form. The influence of actuator dynamic stiffness on the fin-actuator system flutter characteristics cannot be ignored. Therefore, accurate actuator modeling and simulation are necessary. A modular modeling method and dynamic stiffness computer simulation method for electromechanical actuator are proposed. The object is the actuator composed of DC motor, reduction gear and ball screw-fork. It is divided into submodules with core functions. The main nonlinear factors that may appear are fully considered. Then the whole actuator model is built according to the connection between the submodules. Based on the above, a calculation method using step sine sweep signal as excitation and processing the data by least square method is proposed. Taking a certain actuator as an example, the influence of the actuator main linear and nonlinear parameters on the dynamic stiffness is studied. The modular modeling method has good generality, which is convenient for the modeling of different actuators. The damping of the motor rotor, the transmission ratio of the reducer and the damping at the output shaft have a great influence on the dynamic stiffness, and three nonlinear factors, clearance, contact stiffness and friction, also have important influence.

Aerodynamic and flight dynamic iterative simulation method of a joined wing aircraft
CAI Yuhong, LIU Gang, HONG Guanxin
2021, 47(4): 779-791. doi: 10.13700/j.bh.1001-5965.2020.0022
Abstract:

An aerodynamic component-oriented flight dynamic model of joined wing aircraft was established based on the joined wing aircraft aerodynamic force and moment distribution characteristic, and a simulation platform is established by combining the computational fluid dynamics and flight dynamic simulation method. The entire simulation is spatially discretized with time steps, and is executed by iterating Computational Fluid Dynamics (CFD) calculation along with the above joined wing aircraft flight dynamic model at each time step. Moreover, the platform is able to output the change of variables of interest, such as aerodynamics, mechanics, attitude and the space track of all components throughout the entire simulation process. Based on the dynamic response of the platform to different input signals, the longitudinal and lateral dynamic characteristics of the joined wing aircraft are analyzed. The simulation results show that the joined wing aircraft is longitudinally stable, but is not laterally stable. Lateral and directional motion couple clearly, and the yaw and side slip motion oscillations are in line with the main characteristics of the Dutch roll. The developed platform can provide a useful guideline for investigating the ontology system model, flight quality, flight safety analysis and flight dynamic response characteristics of the joined wing aircraft.

Multi-objective test optimization selection based on NSGA-Ⅱ under unreliable test conditions
ZHAI Yuyao, SHI Xianjun, YANG Shuai, QIN Yufeng
2021, 47(4): 792-801. doi: 10.13700/j.bh.1001-5965.2020.0036
Abstract:

Since test optimization selection plays a vital role in the test design of various equipment systems, in the testability design of various types of equipment, test unreliable factors seriously affect the optimization of test selection. First, this paper describes the mathematical model of the multi-objective optimization selection problem under unreliable test conditions. Second, under this mathematical model, the test cost, missed detection rate, and false alarm rate are used as the optimization goals, and the fault detection rate and isolation rate are constraints. Thus, a multi-objective optimization problem was established. Third, the NSGA-Ⅱ algorithm, a fast Non-dominated multi-objective optimization Sorting Genetic Algorithm-Ⅱ with an elite retention strategy, was proposed to optimize the proposed multi-objective problem. Using the NSGA-Ⅱ algorithm, a set of Pareto optimal solutions are obtained, and the optimal test combination can be selected according to actual needs. Finally, an example analysis is performed on a certain equipment, three sets of optimal solutions are obtained, which can meet the optimal selection under different needs, and the feasibility and effectiveness of the mathematical model and multi-objective optimization algorithm are verified.

Center of mass estimation of Tiangong-2 spacecraft using GNSS measurement
JIN Zheyang, WANG Wenbin, LIU Jiangkai
2021, 47(4): 802-813. doi: 10.13700/j.bh.1001-5965.2020.0019
Abstract:

Due to fuel consumption of orbital maneuvers, payloads' load and separation, and the release of small satellite, the Center of Mass(COM) of Tiangong-2 space laboratory moves. To solve this problem, a reduced orbit dynamic determination and COM estimation method is given based on Global Navigation Satellite System (GNSS) measurement data in this paper. Fuel consumption is the main reason for the COM of Tiangong-2 moves. The COM mainly moves along the X-axis of Tiangong-2 body-fixed coordinate system. The COM estimation and precise orbit determination of Tiangong-2 are performed using GNSS measurement data. And in a three-axis earth-pointing stabilization attitude mode, the orbit determination results are not sensitive to the displacement of COM in the X-axis of Tiangong-2 body-fixed coordinate system since the X-axis of Tiangong-2 body-fixed coordinate system coincides with the tangential direction of the orbit. However, in a yaw-steering mode, the X-axis of Tiangong-2 body-fixed coordinate system has a large projection on the orbital normal direction, which makes the displacement of COM in the X-axis of Tiangong-2 body-fixed coordinate system have a greater impact on the precision orbit determination results based on GNSS measurement calculation. And the qualitative and the quantitative analysis results show that the COM estimation is feasible in a yaw-steering attitude mode. Compared with the results without considering COM estimation, the Tiangong-2 measurement data calculation results considering COM estimation show that the empirical accelerations which represent orbital dynamics modeling error in the radial, tangential and normal directions are reduced by 62%, 50% and 65%, respectively, and the standard deviation of post-residuals of the carrier phase is reduced by 0.04 cm. Besides, the comparison accuracy of precision orbit data and the global laser ranging improves by 0.86 cm. The method proposed in this paper can be applied to COM estimation of the large-scale low-earth-orbit spacecraft.

Cooperative search algorithm based on pheromone decision for UAV swarm
WU Ao, YANG Rennong, LIANG Xiaolong, HOU Yueqi
2021, 47(4): 814-827. doi: 10.13700/j.bh.1001-5965.2020.0026
Abstract:

To solve the problem of Unmanned Aerial Vehicle (UAV) swarm search in unknown environment without prior information, this paper proposes a UAV swarm cooperative search algorithm with pheromone as decision mechanism. Firstly, considering the communication constraints of UAV, two search models which are star communication network with external nodes and self-organizing communication network without external nodes are established. Secondly, the task environment model is established by mapping environment map to pheromone map. In this paper, the task process is divided into three stages. In the search stage, the UAV can update the local pheromone map by moving constantly. In the communication stage, the fusion of UAV swarm pheromone maps is realized through the communication network. In the decision-making stage, the decision is made based on the local information and the global information, and the grid pheromone concentration is taken as the decision function to guide the position update of the UAV. Based on pheromone map coverage rate, the search results are quantitatively described. Finally, the simulation results show that the method proposed in this paper can search and cover the region, which is characterized by high search efficiency, strong destruction resistance and little influence by the initial location of the swarm.

Impact of ambient temperature on GDIV emission
HU Shouxin, ZHAO Yaowei, LI Xinghu
2021, 47(4): 828-834. doi: 10.13700/j.bh.1001-5965.2020.0031
Abstract:

Two typical Gasoline Direct Injection Vehicles (GDIVs) were selected, and emission tests in the environmental cabin were performed under Worldwide harmonized Light-duty rehicles Test Cycle (WLTC) at different ambient temperatures after the vehicles cold-started and hot-started. The gaseous pollutants and particulates in GDIV emissions were measured and analyzed with the aim of providing a theoretical basis for the GDIV emission system design and control, as well as for related research to evaluate the impact of automobile emissions on the environment. The results show that ambient temperature has a significant effect on the Particle Number (PN) and Particle Matter (PM) emission factor of the tested vehicles. The PN emission factor under the cold start condition is difficult to meet the China 6 emission limit when ambient temperature is below 14℃. The emission factors of Total Hydrocarbons (THC) and CO are significantly affected by temperature under cold start condition but are not significantly affected under hot start condition. Regardless of the hot start or cold start conditions, when the temperature gradually rises from -7℃ to 40℃, the CO2 emission factor of the test vehicle first decreases and then increases, and the CO2 emission factor of the two vehicles during hot start is reduced by 4% and 7% on average compared to cold start. There is no obvious rule of Nitrogen Oxide (NOx) emission factor influenced by temperature under cold start and hot start conditions.

Autonomous capability evaluation of ground-attack UAV based on improved Hopfield neural network
FENG Yuxuan, LIU Shuguang, XIE Wujie, RU Le
2021, 47(4): 835-843. doi: 10.13700/j.bh.1001-5965.2020.0040
Abstract:

The ground-attack UAV has been one of the most state-of-the-art unmanned equipments, which requires a high degree of autonomous capability. Autonomous capabilityis a typical operational ability of UAV. In view of the quantitative evaluation of autonomous capability forground-attack UAV, this paper proposes a detailed evaluation index system of autonomous capability from four aspects of observation capability, decision capability, action capability and security capability, and places emphasis on the analysis of airborne equipment parameters. Combined with the model factor library, the weight matrix of Hopfield neural network is designed by singular value decomposition, and based on sparsity, the weight reduction algorithm is introduced to improve the network structure. Finally, the evaluation criterion of autonomy is established to quantify and grade the autonomous capability for ground-attack UAV system. The simulation results show that, compared with traditional Hopfield neural network, the improved algorithm can delete the unimportant connection weights within a certain range, reduce the network complexity, and easily achieve quantitative evaluation of the autonomous capability of UAV system.

A satellite anomaly detection method based on distance correlation coefficient and GPR model
SUN Yuhao, LI Guotong, ZHANG Ge
2021, 47(4): 844-852. doi: 10.13700/j.bh.1001-5965.2020.0041
Abstract:

During the orbital operation of the satellite, the telemetry data is usually represented by multidimensional time series. The Gaussian Process Regression (GPR) model can provide dynamic thresholds for important telemetry parameters and timely discover failure symptoms hidden within the engineering threshold. However, high dimensional satellite data makes GPR model limited. Therefore, in order to obtain the dynamic threshold related to multiple telemetry parameters, based on the GPR model, the distance correlation coefficient is combined to select predictive variables, reduce the information redundancy and the amount of calculation, and improve the interpretability of the model.The generalization error of the model is estimated to set a more reasonable prediction interval, to improve the generalization ability and detect the continuous abnormality of the data stream. Simulation experiments on actual orbiting satellite data verify that this method can detect data anomalies in the early failure of the satellite, improve the prediction performance of the model and reduce the false alarm rate.

Simulation and evaluation method of aircraft response characteristics under wind disturbance
XU Wangqiang, WANG Lixin, YUE Ting, ZHANG Zhe
2021, 47(4): 853-862. doi: 10.13700/j.bh.1001-5965.2017.0804
Abstract:

Aimed at economic and safety problems of investigating response characteristics of aircraft under wind disturbance by flight test, this paper presents a method of stimulating aircraft by designing input command of control surface in a calm atmosphere, to make it simulate motion response under wind disturbance and then complete the evaluation of aircraft characteristics under wind disturbance. Taking a certain aircraft as an example, stimulation command signals were designed based on PID control method. Response characteristics of aircraft that encountered vertical gust and cross wind were simulated, and the stability of aircraft was evaluated based on time-domain peak value. The stability characteristics, based on response data under wind disturbance, were compared and validated by adoption of low-order equivalent matching method. The results show that the design method of input command of control surface to simulate wind disturbance response and the evaluation method of stability characteristics are correct and reasonable. The research methods and results provide valuable reference for the evaluation of motion characteristics of aircraft by flight test.

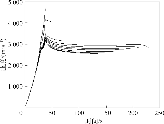
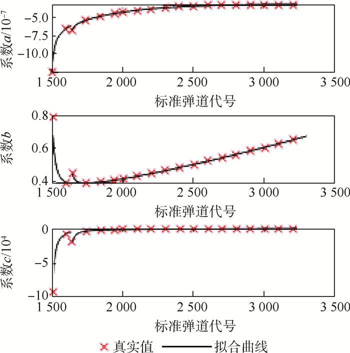
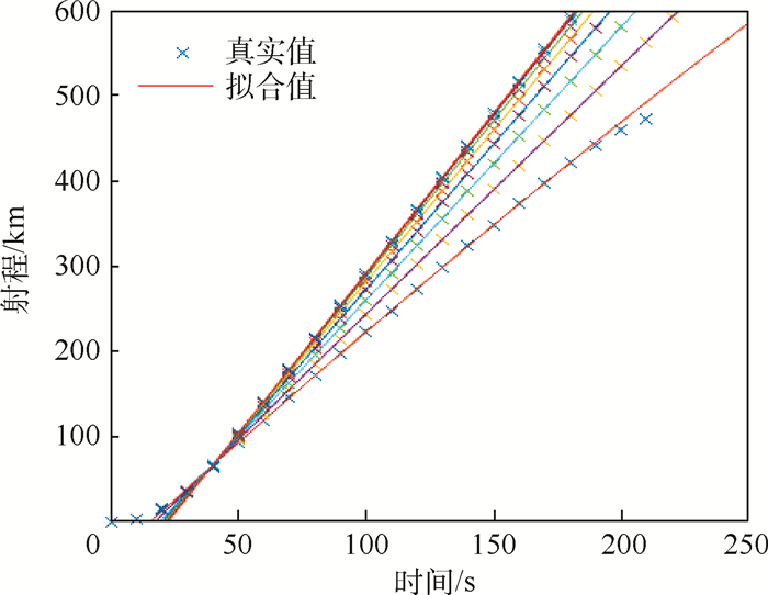
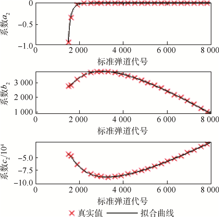
Predictive guidance method of THAAD-ER interceptor
ZHANG Rongsheng, CHEN Wanchun
2021, 47(4): 863-874. doi: 10.13700/j.bh.1001-5965.2018.0619
Abstract:

Based on public information, the model of THAAD-ER interceptor was established. Aimed at longer range, the high throw trajectory was planned, and a bunch of standard trajectories were produced. Predicted impact point iterated method is proposed, which contains solving time-to-go with analytic solution, seeking out the expected standard trajectory with polynomial fitting, and ascertaining the predictive impact point, and finally predictive guidance completes. Comparison is taken between predicted impact point iterated method and flight time iterated method, and it is easy to choose initial value with predicted impact point iterated method, and the program runtime decreases by 20%; standard trajectory files are not necessary during guidance process, which can save storage space of the computer on the interceptor. Large amount of simulations were carried out with different range and course shortcut, and the results show that interception range of THAAD-ER interceptor can reach 600 km, and the interception task can be completed with average miss distance less than 200 m when course shortcut remains. It has a good response to aerodynamic uncertainty.

A residue codes and berger codes combined coding self-check method for embryonic electronic cell
WANG Bo, MENG Yafeng
2021, 47(4): 875-884. doi: 10.13700/j.bh.1001-5965.2018.0622
Abstract:

According to embryonic electronic cell self-check demand, the residue code and berger code relationships between operands and results are analyzed based on basic logic and arithmetic operations. Aimed at address generator and I/O router, embryonic electronic cell equality operation is analyzed between inputs and outputs. With single fault detected by residue code and multiple bits unidirectional fault detected by berger code, a residue and berger combined coding self-check method is proposed. The process and realization of the proposed method are presented, and the checker is designed. Embryonic electronic cell fault detection rate, self-detection rate and hardware resource consumption based on the proposed method are analyzed. A simulation experiment is presented based on a sequential logic circuit to verify fault detection ability and self-check ability of the proposed method to various modules of embryonic electronic cell.