2021 Vol. 47, No. 5

Display Method:
Volume 47 Issue52021
iconDownload (102885) 907 iconPreview
Modeling and impedance analysis of composite material aircraft grounded return network
LIU Jianying, SUI Zheng, ZHANG Qihao, YANG Zhangang
2021, 47(5): 885-893. doi: 10.13700/j.bh.1001-5965.2020.0083
Abstract:

To ensure flight safety, a metal current return network is added for composite material aircraft to meet the grounding requirements of the electrical system on board. For the calculation problem of the impedance of the composite material and the metal current return network, a Partial Element Equivalent Circuit (PEEC) method is used based on conductors and dielectrics. The grounded reflux network is modeled including metal bar and composite material skin to calculate the impedance under different parameters and structures as well as the impedance between any nodes, and the influence of some component parameters on the impedance value is analyzed. The simulation calculation results verify the applicability of the algorithm in this paper and the correctness of calculation results, and provide further references for the composite material aircraft grounded reflux network in terms of fault management and electrical protection system design.

Improved adaptive artificial immune algorithm for solving function optimization problems
MENG Yafeng, WANG Tao, LI Zexi, CAI Jinyan, ZHU Sai, HAN Chunhui
2021, 47(5): 894-903. doi: 10.13700/j.bh.1001-5965.2020.0058
Abstract:

In order to overcome the shortcomings of Artificial Immune Algorithm (AIA) used in the function optimization process, such as huge calculation amount, low convergence accuracy and slow convergence speed, multiple adaptive immune operators are introduced, and an Improved Adaptive Artificial Immune Algorithm (IAAIA) is proposed. In the classic AIA, antibody excitation calculation operator is adaptively designed by introducing the number of iterations, and immune selection operator, clone operator, mutation operator and clonal inhibitory operator are adaptively designed by introducing antibody population average excitation and antibody excitation, which can improve the convergence accuracy, convergence speed and stability of AIA. Nine kinds of typical and widely used functions are chosen as experiment function, and four kinds of typical AIAs are selected as comparative algorithms to optimize the experiment functions. The comparative experiment results indicate the effectiveness and superiority of the IAAIA for solving function optimization problems.

Structural characteristics analysis and resilience assessment of airspace sector network
WANG Xinglong, MIAO Shangfei
2021, 47(5): 904-911. doi: 10.13700/j.bh.1001-5965.2020.0084
Abstract:

In order to ensure the safety of aircraft operations in the sector, improve the resilience of the sector network under external disturbance, and thereby effectively reduce flight delays and airspace congestion, by using complex network theory, an airspace sector network model of China is established based on airspace sector division rules. Then, the structural characteristics of airspace sector network are analyzed by defining basic network parameters. In addition, the concept of sector network resilience is defined and a quantitative evaluation method is used to measure it. Finally, resilience indicators under different recovery strategies are comparatively analyzed, so as to develop the optimal recovery strategy of the sector network under external disturbance and improve the network resilience. The results show that the airspace sector network of China has a lengthy average shortest path and a small clustering coefficient. The degree distribution follows a double power-law distribution and the cumulative distributions of betweenness follow an exponential distribution. Among them, betweenness has the greatest impact on the resilience of airspacesector network. Adopting the betweenness recovery strategy can significantly improve the airspacesector network resilience under external disturbance.

Evaluation method of lithium battery safety based on thermal runaway risk index
ZHANG Yu, BAI Wei, SHI Yanlei, ZHANG Qingsong, LUO Xingna
2021, 47(5): 912-918. doi: 10.13700/j.bh.1001-5965.2020.0077
Abstract:

Aimed at the current research on the safety of lithium batteries, focusing on the experimental measurement of characteristic parameters and analysis of reaction mechanisms, this paper proposes the thermal runaway risk index of lithium batteries based on risk assessment theory and applies it to the quantitative evaluation method of lithium battery safety. The ignition parameter is multiplied by the environmental coefficient to characterize the probability of thermal runaway. The consequences of risk are characterized by the heat release parameter and fire growth parameter. Lithium-manganese batteries (CR) and lithium-thionyl chloride batteries (ER) commonly used in temperature monitor devices in cold-chain cargo of air-ground multimodal transport are selected, and the above parameters are obtained by the self-designed lithium battery thermal runaway experimental platform. Thermal runaway risk index is calculated. The example analysis shows that the thermal runaway risk index value of ER14250 lithium battery is 0.84, which demonstrates higher safety than others. This method can directly guide the selection of lithium batteries for temperature detection devices in air-ground multimodal transport for cold-chain cargo to ensure the safety of transportation.

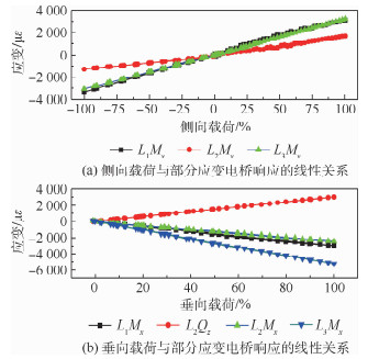
Load measurement based on structure partition and strain bridge decoupling for telescopic main landing gear
JIANG Qideng
2021, 47(5): 919-927. doi: 10.13700/j.bh.1001-5965.2020.0115
Abstract:

In order to resolve the problems of low sensitivity, high coupling degree and prominent nonlinearity during the load measurement of telescopic landing gear by strain method, the decoupling design methods of structure partition and strain bridge are proposed. Trough optimization design the effective parts of structure deformation under different equivalent load components were selected on the wheel-axis and piston rod with concentrated force transfer, and the bending moument-shear-torque strain bridge array was installed in the corresponding position.Furthermore, a simple and reliable load measurement model was obtained by combined loading calibration of landing gear.The load calibration tests show that the response sensitivity of the shear bridge on the wheel-axis to the vertical load is about 60% higher than that of the tension-compression bridge on the strut, and has no relation with the change of the compression stroke.Finally in the landing tests the load measurement model and flight data were used to calculate the landing load and buffer power absorption results which satisfy the requirments of engineering accuracy.

Multi-UAV cooperative surveillance based on role switch strategy
ZHU Qian, XU Nuo, HUANG Bei, LI Qiang, ZHOU Rui
2021, 47(5): 928-938. doi: 10.13700/j.bh.1001-5965.2020.0070
Abstract:

With limited communication range and real-time information transmission via multihop communications, a novel multi-UAV cooperative surveillance method based on role switch strategy is proposed for searching unknown region and monitoring some hotspots. Firstly, considering history detection information and cooperative surveillance, a multi-UAV cooperative surveillance frame is implemented based on probabilistic sensor model. Secondly, four attributes are proposed to characterize differences among UAV alternatives in communication network containing ground station, and a novel UAVs role switch strategy is proposed based on UAV node importance evaluation to achieve tradeoff between surveillance mission and connectivity maintenance with improved Technique for Order Preferenceby Similarity to Ideal Solution (TOPSIS). Finally, considering collision avoidance, connectivity maintenance and UAV dynamics constraints, UAVs motion plan is optimized by distributed receding horizon control based on different UAV roles to achieve multi-UAV cooperative surveillance. Simulation results demonstrate the feasibility and effectiveness of the proposed methods in multi-UAV cooperative surveillance.

A crater region detection algorithm based on automatic feature learning
LU Tingting, ZHANG Yao, YAN Yan, YANG Limin, YANG Weidong
2021, 47(5): 939-952. doi: 10.13700/j.bh.1001-5965.2020.0109
Abstract:

The crater-based navigation technology has been become a novel and precise autonomous navigation method in space exploration, and how to extract the crater regions from the crater navigation image is the essential condition of the crater-based navigation method. Accordingly, in this paper, we propose an algorithm for extracting crater regions via automatic feature learning. First, the candidate crater regions were obtained by the maximal stable external region method. Then, the features of these regions were automatically extracted by Convolutional Neural Network (CNN). Finally, the true crater regions were identified from all the candidate regions through Support Vector Machine (SVM) classifier. The experimental results demonstrate that the proposed algorithm can extract crater regions from the navigation image with higher accuracy and robustness than the traditional crater region detection algorithms based on the handcrafted features. The proposed algorithm obtains an F1 score which is 8% higher than that of the traditional method on the standard Mars surface crater database, and can be applied in the crater detection of the crater-based visual navigation method to provide the precise navigation landmarks.

Numerical simulation and test investigation on interference characteristics of grid fins with missile body at supersonic speed
LI Yonghong, YANG Xiaojuan, CHEN Jianzhong, JIA Wei
2021, 47(5): 953-960. doi: 10.13700/j.bh.1001-5965.2020.0086
Abstract:

For cross layout grid fin-missile body configuration, the vertical grid fins will be exposed to the interference regions of head separated vortices, and thus the horizontal grid fins will be immersed in the missile body upward flow while a certain body's angle of attack exists. Therefore, there will be a greater difference in the aerodynamic characteristics of grid fins between two installation forms: vertically and horizontally. In order to investigate the missile body interference on the grid fins, numerical simulations based on typical grid fin and grid fin-missile body configuration were conducted at supersonic speed. The aerodynamic characteristics of single grid fin and grid fin with body interference were compared. Flow characteristics and load distributions of grid fins installed differently were analyzed. The correction method for the aerodynamic characteristics of grid fins with body interference obtained from the aerodynamic characteristics of single grid fin was studied. Moreover, by wind tunnel validation tests, data differences of grid fins in different installation ways were obtained, and the correction method obtained from the cross upward flow theory of the body was explored to be practicable. Thus, it provides data supports for the high-speed wind tunnel tests of grid fins and data correction technology facing engineering application.

Experimental results of high current spike in Flash chip by pulsed laser
SHANGGUAN Shipeng, ZHU Xiang, CHEN Rui, MA Yingqi, LI Sai, HAN Jianwei
2021, 47(5): 961-966. doi: 10.13700/j.bh.1001-5965.2020.0082
Abstract:

High Current Spike (HCS) of nonvolatile Flash chip has been tested by pico-second pulsed laser single event effect experimental facility. Accurate positioning of pulsed laser confirmed that sensitive area triggering HCS was charge pump of the chip. Different laser energies and specific locations in charge pump can trigger the same amplitude current spikes with different time cycle, although HCS has the same phenomenon with single event latch-up, and completely different mechanisms. When laser energy was high enough to be equivalent to heavy ion's LET value of 99.8 MeV·cm2/mg, continuous irradiation on the same sensitive area of charge pump can trigger the high current spike of the chip, which will cause catastrophic failure to the chip due to multiple charging and discharging.

Accuracy evaluation of wide-area differential service for BDS-3
TIAN Qiuning, CAO Yueling, HU Xiaogong, TANG Chengpan, GUO Rui, YANG Yufei
2021, 47(5): 967-976. doi: 10.13700/j.bh.1001-5965.2020.0108
Abstract:

In order to ensure the smooth transition of the wide-area differential service of the Beidou system, the Beidou-3 System (BDS-3) uses D2 navigation message on GEO satellite to broadcast the equivalent clock correction and ionospheric grid information on B1I/B3I frequency. This paper analyzes the characteristics of the equivalent clock correction and ionospheric grid information after adding the BDS-3 satellite, and compares the User Differential Range Error (UDRE) of satellite between the BDS-2 and the BDS-3. Combined with the measured data of BDS-2 and BDS-3, this paper also evaluates the positioning accuracy of wide-area differential service of BDS-3. The analysis results show that, after using the equivalent clock correction, the User Equivalent Range Error (UERE) of the BDS-2 satellite changes from approximately 1 meter to approximately 0.3 meters, while the BDS-3 satellite UERE changes from approximately 0.4 meters to approximately 0.2 meters. The results show that the equivalent clock correction can correct the space signal step error brought by the update of the broadcast message, and significantly improve the satellite space signal accuracy. Compared with the Klobuchar 8 model broadcast by the basic navigation system, the ionospheric grid information broadcast by the wide-area differential system can improve the accuracy of ionospheric error correction by about 18%. In comparison with BDS-2 single system, the accuracy of single-frequency positioning for BDS-2/BDS-3 can be improved by 26%, while that of dual-frequency positioning can be improved by 41%. The positioning accuracy of single-frequency users for wide-area differential services is 2.4 meters, and the positioning accuracy of dual-frequency users is 1.7 meters, which is improved by 13% and 41% respectively.

Interpenetrating polymer networks derived from ethynyl-terminated imide oligomers and cyanate ester
LIANG Yin, LAN Tian, GUO Shifeng, WANG Xianwei, DIAO Xungang
2021, 47(5): 977-982. doi: 10.13700/j.bh.1001-5965.2020.0060
Abstract:

Ethynyl-terminated oligomers (BETI) with different degrees of polymerization were synthesized using 2, 3, 3', 4'-biphenyltetracarboxylic dianhydride and 2, 2'-bis(trifluoromethyl) benzidine as the monomers and ethynylphthalic anhydride as the end-capper; modified cyanate ester resins were then formulated by dissolving BETI in bisphenol A dicyanate, and the properties of the blends and the resulting Interpenetrating Polymer Networks (IPNs) were investigated in terms of curing behavior, and thermal, mechanical, and dielectric properties. The results indicate that the trimerization of-OCN functionality could be catalyzed by the incorporation of BETI, as evidenced by significantly reduced curing temperatures and shorter gelation time. Moreover, IPNs show improved thermal and mechanical properties compared to pure polycyanurate. especially, when 30% weight BETI with the polymerization degree 19 was blended in pure cyanater ester resin, the class transition temperature, 5% weight loss temperature, tensile strength, and impact strength of the IPNs were increased from 297℃ to 309℃, 425℃ to 431℃, 76 MPa to 94 MPa, and 24 kJ/m2 to 31 kJ/m2, respectively. The dielectric constants of the IPNs are slightly higher than that of pure polycyanurate. The BETI-modified cyanate ester resins could be potentially used as matrix resin in aerospace industry due to their improved processability and material properties.

Aeroelastic characteristics of hypersonic vehicle tail at high angle of attack
HAO Shuai, MA Tielin, WANG Yi, ZHANG Zilun, LUO Wenli, XIANG Jinwu
2021, 47(5): 983-993. doi: 10.13700/j.bh.1001-5965.2020.0089
Abstract:

During the flight of near space hypersonic vehicles, the external disturbances may result in high angle of attack conditions. And the off-design conditions may lead to a large deflection angle of the all-movable tail, which brings aeroelastic problem. Aimed at solving the aeroelastic problems, aeroelastic characteristics were analyzed by the CFD/CSD/CTD coupled method for the all-movable tail, and especially the aerodynamic response and structural deformation were focused on. The results show that aerodynamic response curves fluctuate and gradually decay to equilibrium position. The larger the attack angle is, the greater the initial amplitude is, the larger the proportion of aerodynamic coefficient decreases, and the amplitude decays faster. Bending/torsion coupling deformation occurs in the tail structure, and the structural deformation leads to the change of pressure distribution, the reduction of the whole pressure and the decrease of lift coefficient. The larger the attack angle is, the greater the decrease is. The maximum stress of the tail reaches 1.2 GPa at 30° angle of attack, which has reached yield strength limit of the nickel alloy material. It should be strengthened for the region where wing axis contacts with tail, or it should be limited for the operating angle in control law design. Axial deformation is mainly caused by aerodynamic thermal load, and normal deformation is caused by aerodynamic thermal load and aerodynamic force load.

Flow visualization experiment of jet mixing enhancement using pulsed jets
KONG Bo, WANG Changsheng, DING Wenhao, ERIQITAI
2021, 47(5): 994-1003. doi: 10.13700/j.bh.1001-5965.2020.0105
Abstract:

In this paper, a turbulent jet with Reynolds number 33 000 forced by a pair of pulsed jets working in antisymmetric mode is investigated using laser-induced fluorescence technique. The evolution of large-scale vortex structures in the shear layer is captured and the effect of forcing frequency and amplitude of pulsed jets on vortex structure and mixing enhancement is studied. It is found that inclined and staggered vortex structures are generated in the shear layer, causing the oscillation of primary jet and promoting entrainment. The forcing frequency mainly influences the distance of neighboring vortex rings. There exists optimal excitation frequency that causes the primary jet bifurcating in the far field and spreading most in the shear layer in the forced plane. The forcing amplitude also has effect on the vortex structure. The vortex structures are larger and more coherent at high amplitude, resulting in better mixing enhancement.

Scheduling algorithms optimization in software defined time-triggered network
LU Jun, HE Feng, XIONG Huagang, ZHENG Zhong
2021, 47(5): 1004-1014. doi: 10.13700/j.bh.1001-5965.2020.0106
Abstract:

Software defined Time-Triggered Ethernet (TTE) optimizes message scheduling in avionics systems, and its dynamic online scheduling algorithm must ensure the transmission determinacy of all the messages in any case. When time interval of Time-Triggered (TT) message is less than the frame length, the Rate-Constrained (RC) message delay increases, and transmission determinacy goes down. This paper improves the TT message scheduling algorithm. First, a system model of software defined time-triggered Ethernet was established. And the mechanisms of Minimum Delay (MID) scheduling algorithm and Back to Back (B2B) scheduling algorithm were introduced. Then, on this basis, a Macrovoid (MAV) scheduling algorithm was proposed to reduce the waiting delay for RC messages in special cases. Finally, OMNeT++ experiment was conducted to analyze the performance of these three algorithms. Experimental results show when there is no small time interval TT messages, the message delay in the back to back scheduling algorithm is the largest, and the macrovoid scheduling algorithm has similar message delay as the minimum delay scheduling algorithm. However, when there are small time interval TT messages, the macrovoid scheduling algorithm has better transmission determinacy than the minimum delay scheduling algorithm, and the transmission determinacy of RC message by macrovoid scheduling algorithm is improved by 87.3%, compared with minimum delay scheduling algorithm.

Influence of surface dielectric barrier discharge on diffusion flame combustion characteristics
CHEN Qingya, CHE Xueke, TONG Yiheng, CHEN Chuan, ZHU Yangzhu, NIE Wansheng
2021, 47(5): 1015-1024. doi: 10.13700/j.bh.1001-5965.2020.0113
Abstract:

The plasma excited by Surface Dielectric Barrier Discharge (SDBD) owns both significant aerodynamic effect and chemical activation effect. In order to analyze the combustion-assisted effect of surface dielectric barrier discharge on shear-coaxial air/methane diffusion flame, the reverse excitation of plasma induced jet is applied to the flame through the use of high-frequency AC power supply in the experiment, and the influence of plasma on the flame combustion characteristics under different combustion conditions is investigated according to the obtained jet flow field schlieren photograph, flame image and CH* spontaneous emission. The results show that the air/methane mixing of elongated shear layer in the upstream of flame is enhanced under the plasma aerodynamic excitation, which enlarges the combustion width of the shear layer. And the combustion heat release rate is also significantly increased, which is mainly related to the plasma activation effect, and the activation effect significantly enhances the combustion intensity of base flame at nozzle outlet. Both the turbulence intensity and jet angle of the flame downstream can be effectively increased with plasma aerodynamic excitation at a reasonably low air flow rate, making the flame height reduced and the flame width enlarged, and the effect tends to be more obvious with a higher discharge voltage.

Numerical study on maximum impact load during aircraft ditching on wave surface
ZHAO Yunke, LIU Peiqing
2021, 47(5): 1025-1037. doi: 10.13700/j.bh.1001-5965.2020.0556
Abstract:

This paper uses numerical methods to study the magnitude of the maximum impact load on the fuselage and its physical cause during the compulsory landing of the wave. In the numerical calculation, the finite volume method and Volume of Fluid (VOF) method are used to capture the free surface. The Six-Degree-of-Freedom (6DOF) model and the Global Motion Mesh (GMM) are used to process the relative motion between water and the aircraft, and simulate the forced landing process of the aircraft. By selecting the wavefront phase of the aircraft that has the maximum sinking speed relative to the water surface as the position of the forced landing water contact, the ultimate impact load on the fuselage is predicted. The results show that during the water-impacting stage of the wavy surface, the fuselage encounters an unforeseen impact peak on a calm water surface, and the magnitude of the impact peak is related to the sinking speed of the aircraft relative to the water surface. This paper also compares the movement attitude and overload change history of aircraft forced landing under five different wave height sea conditions, and gives the influence rules of wave height on the maximum impact load and the peak values of other parameters, which provides a reference for the design of aircraft load distribution.

Comparative experimental study on wind tunnel based on WDPR-8 and machetes tail support
PAN Jiaxin, LIN Qi, WU Huisong, ZHOU Fangui, WANG Xiaoguang
2021, 47(5): 1038-1048. doi: 10.13700/j.bh.1001-5965.2020.0124
Abstract:

For a dynamic test model designed in China in recent years with a typical advanced fighter layout, Wire-Driven Parallel Robot with 8 Wires (WDPR-8) support and a traditional machetes tail support were used in a FL-5 wind tunnel for a comparative blow test. According to the wind tunnel test environment and the system's stiffness and working space, WDPR-8 wire structure and supporting mechanism were designed, and the prototype was built; for the blocking ratio and the distance between the two centers are small, the versatility of the model in the two support systems was ensured, and the test model of the built-in six-component bar balance was designed; the wire tension signal is used to parallel the WDPR-8 vision acquisition system and the wind tunnel VSS acquisition system to achieve that the three systems work synchronously. Repeatable tests, longitudinal tests, and transverse tests were performed under conditions in which the test conditions are consistent except for the support system. During data processing, the WDPR-8 was not modified for the tail bracket, and the tail support was modified for the tail bracket. The comparison of the test results of the two supports shows that the maximum mean square error of the lift coefficient obtained by the repeated tests in longitudinal test is near. The maximum mean square error of lift coefficient, drag coefficient, pitching moment coefficient obtained by the two supports do not exceed 3.6%. In the transverse test, the variation law of the derivative of the lateral force coefficient to the side slip angle obtained by the two supports are basically the same throughout the test angle of attack. The lift coefficient hysteresis loop curve obtained from the single-degree-of-freedom pitch oscillation test performed with WDPR-8 is consistent with the static lift coefficient curve. The lift coefficient hysteresis loop was continuous from beginning to end, and the area of the unsteady hysteresis loop increases with the shrinkage frequency, which is in line with the physical meaning. The experimental research results reflect the feasibility and effectiveness of the WDPR-8 support.

Single-baseline interferometer positioning method based on azimuth multiple hypothesis
XING Huaixi, WU Hua, CHEN You, ZHANG Jingxuan
2021, 47(5): 1049-1057. doi: 10.13700/j.bh.1001-5965.2020.0074
Abstract:

In order to solve the problem of ambiguity of phase difference information measured by one-dimensional single-baseline interferometer in an airborne single-station passive positioning system, the positioning method that measures only the phase difference change rate is improved, and the fuzzy phase difference is used as an effective positioning parameter. And a single-baseline interferometer phase measurement and positioning method based on azimuth multiple hypotheses is proposed. The possible distance and azimuth information of the radiation source target is initialized using the fuzzy phase difference and the phase difference change rate, and the target location of the radiation source is solved by the Gauss-Extended Kalman Filter (GS-EKF) algorithm. This method overcomes the shortcomings of using only the phase difference change rate to locate the impact of the maneuver of the observation platform, effectively shortens the positioning time, and does not need to consider the solution of phase ambiguity. Its positioning performance is superior to the positioning method that only measures the phase difference or the phase difference change rate. In practical engineering applications, this method can reduce equipment complexity and cost.

Escort strategy based on loyal wingman in denial environment
TIAN Lei, ZHAO Qilun, DONG Xiwang, LI Qingdong, LYU Jinhu, REN Zhang
2021, 47(5): 1058-1067. doi: 10.13700/j.bh.1001-5965.2020.0090
Abstract:

Escort strategy has always been one of the important studies of the major military powers and the denial environment with characteristics of strong electromagnetic interference and strong confrontation game puts forward higher requirements for escort strategy. This paper presents an escort strategy based on the distributed time-varying formation tracking control method. In this strategy, the high-cost lead aircraft detects the enemy missiles and releases several low-cost wingmen as loyal wingmen while moving for evasion. The time-varying formation tracking control methods are adopted to keep the wingmen on the line of sight axis associated with the lead aircraft and the enemy missiles, and then if necessary, the wingmen are sacrificed to protect the lead aircraft. As a result of the fact that the azimuth angles of enemy missiles are global information, the distributed observers are designed to estimate them. In the denial environment, the complex electromagnetic interference leads to the intermittent communication so that the communication topologies of systems composed by lead aircraft and wingmen are switched frequently. In order to deal with the damage of the communication topology caused by the electromagnetic interference and improve the ability of electromagnetic interference resistance, based on the observer theory, adaptive control theory and sliding mode control theory, a distributed control protocol with switching topologies is constructed under external disturbance of wingmen and the lead aircraft evasion. It is proven that the wingmen under the protocol can realize the escort strategy based on loyal wingman by Lyapunov theory in the denial environment. Finally, the effectiveness of the escort strategy is verified by simulating the attack scenario of the missiles.

UAV network intrusion detection method based on spatio-temporal graph convolutional network
CHEN Zhuo, LYU Na, CHEN Kun, ZHANG Yanhui, GAO Weiting
2021, 47(5): 1068-1076. doi: 10.13700/j.bh.1001-5965.2020.0095
Abstract:

Compared with ground networks, UAV networks have the characteristics of fast moving nodes, frequent topology changes, and unreliable communication links. Traditional intrusion detection methods are difficult to apply. Aimed at the spatio-temporal dynamic characteristics of UAV networks, an intrusion detection method:Attention-based Spatio-Temporal Graph Convolutional Network (ATGCN) is proposed, which combines graph convolutional network and gated recursive unit into spatio-temporal graph convolutional network. The spatio-temporal graph convolutional network extracts the spatio-temporal evolution characteristics of the network from complex and changeable data, attention mechanism is used to extract the features most relevant to intrusion detection, and the support vector machine is used as the last layer of the model for classification to identify network attacks. The experimental analysis of multiple datasets shows that the proposed method can adapt to the dynamics and instability of UAV networks, has higher accuracy and lower false positive rate than traditional detection methods, and has good robustness and adaptability.

Rating prediction model based on heterogeneous network representation learning
ZHAN Nana, LIU Wei, CHEN Xinbo, PU Juhua
2021, 47(5): 1077-1084. doi: 10.13700/j.bh.1001-5965.2020.0100
Abstract:

In recent years, it has become a hot spot to deeply analyze the personalized data of e-commerce users and provide recommendation services.The basis of recommendation service is to mine the potential interest of users and predict user's interest of products. Therefore, this paper takes this as the background to study the user's rating prediction of products. This paper studies the application of relational data of e-commerce in recommendation system, and puts forward a method of rating prediction by using network representation learning. First, the relational data is constructed into a heterogeneous network, and the users and items are the nodes in the network. Then, a personalized heterogeneous network sampling method is designed, which takes into account the network structure information and the similarity between nodes, and the nodes are represented and learned. Finally, the learned user and items representation vectors are input into the neural network for training, and the optimized neural network model is used to predict the score. The experimental results show that this method has high accuracy on YELP 13, Movielens 100k and Movielens 1m datasets. Compared with common methods, the accuracy is improved by more than 6.5%.