2021 Vol. 47, No. 6

Display Method:
Volume 47 Issue62021
iconDownload (114005) 1006 iconPreview
Short-circuit fault diagnosis of SRM power converter based on interval current
WANG Rongji, LIU Yongzhi, GUAN Zhenshui
2021, 47(6): 1085-1094. doi: 10.13700/j.bh.1001-5965.2020.0134
Abstract:

The power converter is one of the core components of the Switched Reluctance Motor (SRM) speed control system, and it is also the weakest link of system reliability. Aimed at the problems of traditional power converter short-circuit fault diagnosis methods, such as additional hardware, large controller burden, limited diagnosis range, etc., taking the asymmetric half-bridge power converter as the research object, based on the theoretical analysis of the failure modes, the current sensors are rearranged to extract obvious fault feature, and a fault diagnosis method for power converters based on current analysis within a specific rotor position interval is proposed. In the single excitation interval of the current phase, the ratio of the difference between the output values of the other two phases current sensors and the output value of the previous phase can be used to quickly locate the faulty device. This method is not limited by the number of motor phases and control methods, the controller burden is small, and no additional hardware is required. Simulations and experiments verify the effectiveness of this method.

Dynamic prediction of ground support process for transit flight
WANG Liwen, LI Biao, XING Zhiwei, LIU Hong'en, LUO Qian
2021, 47(6): 1095-1104. doi: 10.13700/j.bh.1001-5965.2020.0165
Abstract:

Prediction of ground support process for transit flights is an important function of airport collaborative decision-making system. Aimed at the problems that the refined dynamic prediction of the process cannot be achieved at present and the accuracy is low, a method for dynamic prediction of the transit ground support process based on the Bayesian network is proposed. A Bayesian network model of ground support process was established. The initial sample space generation algorithm based on flight attributes is designed. Dynamic prediction method of ground support process is constructed in conjunction with Gaussian kernel probability density estimation. According to the simulation results of the actual data of a hub airport, it is shown that the method realizes the dynamic prediction of each support node based on full consideration of flight operation attributes. The average absolute error of each node is only 2.224 1 min, and the root mean square error is about 2 min lower than other methods, which confirm that this method can provide an objective decision-making basis for the short-term tactical organization of airport operations.

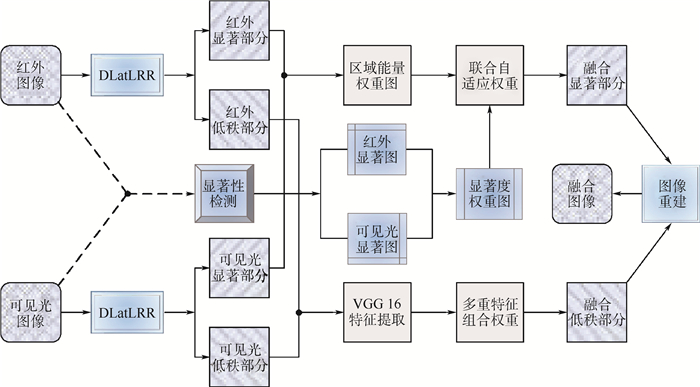
Infrared and visible image fusion based on latent low-rank representation decomposition and VGG Net
SHEN Yu, CHEN Xiaopeng
2021, 47(6): 1105-1114. doi: 10.13700/j.bh.1001-5965.2020.0178
Abstract:

An image fusion algorithm combining low-rank representation decomposition and deep neural network is proposed to solve the problem of serious feature loss and non-prominent target in infrared and visible image fusion. First, Latent Low-Rank Representation Decomposition (DLatLRR) was performed on the source image to obtain the corresponding low-rank part, saliency part and sparse noise. Then, the VGG Net model and the joint feature weighting algorithm were used to fuse the low-rank part and the saliency part respectively, and the sparse noise of two parts were discarded. Finally, image reconstruction was carried out on the low-rank part and saliency part of the fusion to obtain the final fusion image. Compared with other methods, the experimental results show that the algorithm can fuse the deep details of the image and highlight the "interested" area in the scene. The objective indexes of the fused image including the sum of the correlations of differences, structure similarity index measure, correlation coefficient all improve, with the maximum values of 0.73, 0.15 and 0.11 respectively, and the maximum reduction value of noise generation rate is 0.041 2.

Dynamic obstacle avoidance method for omnidirectional mobile robots
ZHANG Dazhi, LIU Wanhui, MIAO Cunxiao, YU Yuanjin
2021, 47(6): 1115-1123. doi: 10.13700/j.bh.1001-5965.2020.0155
Abstract:

Dynamic obstacle avoidance is an indispensable ability of omnidirectional mobile robots in complex working environments. The idea of water flow field is used to redefine the repulsive potential field function of artificial potential field and its direction, which solves the problems of traditional artificial potential field method, such as easily falling into local minimum point, inaccessible target point and oscillation. The improved algorithm can make the robot reach the target point smoothly and safely without increasing the amount of calculation, and realize the obstacle avoidance process. At the same time, in order to achieve three-dimensional dynamic simulation, a joint simulation method based on V-REP and MATLAB is proposed. By constructing a three-dimensional dynamic simulation environment, the dynamic obstacle avoidance simulation of omnidirectional mobile robot was realized by the proposed method combined with the improved artificial potential field method, and the smoothness and feasibility of the algorithm are verified. Finally, the algorithm was applied to the real scene in the laboratory, and the omnidirectional mobile robot successfully realized the dynamic avoidance action, which verifies the practicability of the algorithm.

Effect of rotor slipstream of tiltrotor aircraft in cruise mode
MA Tielin, ZHANG Zilun, LIU Zhenchen, WANG Xiangsheng, HAO Shuai
2021, 47(6): 1124-1137. doi: 10.13700/j.bh.1001-5965.2020.0177
Abstract:

The tiltrotor aircraft needs to take into account the power requirements of vertical takeoff and landing and high-speed level flight, and using large diameter rotor as the propulsion device will make most of the wing in the rotor slipstream area, which is different from the conventional propeller aircraft. In order to evaluate different numerical methods and study the effect of rotor slipstream on the aerodynamic characteristics of a tiltrotor aircraft with two-blade rotor in cruise mode, the actuator disk model, the Multiple Reference Frame (MRF) model and the sliding mesh model are used respectively for numerical simulation study. The results show that, compared with no slipstream, the steady effect of slipstream increases the drag of the whole aircraft, and the maximum lift-drag ratio decreases by 7.5%. The lift generated by the tail wing is increased. The longitudinal static stability is increased by 17.1% and the pitch down moment of the whole aircraft is increased. When the angle of attack is small, although the slipstream changes the lift distribution on the wing surface, the lift of the whole aircraft does not change much. The unsteady influence of the slipstream causes periodic fluctuation of the aerodynamic characteristics of the aircraft. The fluctuation range of lift coefficient and drag coefficient are 9.0% and 10.8% respectively. With the increase of the angle of attack, the fluctuation range also increases.

Aerodynamic exploration for wavy airfoil based on NACA0030
ZHANG Qing, YE Zhengyin
2021, 47(6): 1138-1144. doi: 10.13700/j.bh.1001-5965.2020.0135
Abstract:

Compared with smooth airfoil, the aerodynamic characteristics of wavy airfoil exhibit some unique features. In order to further explore the aerodynamic characteristics of the wavy configuration, based on the previous wind tunnel tests, a group of wavy airfoils with different geometric shape modified from NACA0030 were designed and then unsteady numerical simulations were carried out in details to investigate the effect of waviness on the vortical structure in the flow field and overall aerodynamic characteristics in low Reynolds number (Re=12×104) region. Final results show that, compared to the smooth airfoil, the separation flow for the wavy airfoil is more obvious, and the lift and its slope decrease significantly, but the stalling is delayed. The smoother the wavy surface is, the closer the aerodynamic characteristics are to the smooth airfoil. Although the pressure drag of the wavy wing is greater than that of the smooth airfoil, the recirculation generated in the corrugation can reduce the viscous drag.

Self-adaptive piecewise fitting filtering method for test data in continuous sweeping angle of attack
WANG Nantian, WANG Xiong, SUN Peng, XU Xiaobin, ZOU Qiongfen
2021, 47(6): 1145-1151. doi: 10.13700/j.bh.1001-5965.2020.0145
Abstract:

When the traditional step sweeping attack angle data processing method is used for directly processing the test data of continuous sweeping attack angle test, the low-frequency vibration component cannot be removed. Based on the characteristics of approximate symmetry and local linearity in the test data, a piecewise binomial fitting method is presented. Principle of the method is presented, and its minimum variance based piecewise length determination is introduced in details. The experimental results based on the test signal show that the method can filter the low-frequency component signal by nearly 70%, effectively improving the data processing accuracy. The method is also verified by common mode test, and has been successfully applied to some model tests.

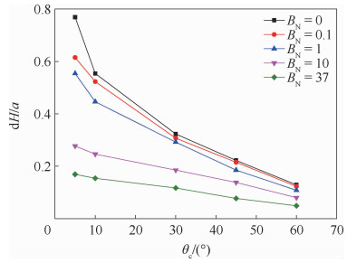
Numerical analyses of liquid-vapor interface in two-phase thermal-controlled accumulator under microgravity condition
ZHOU Zhenhua, MENG Qingliang, ZHAO Zhenming
2021, 47(6): 1152-1160. doi: 10.13700/j.bh.1001-5965.2020.0153
Abstract:

Two-phase thermal-controlled accumulator plays a vital role in mechanically pumped two-phase loop system. And the distribution state of liquid and vapor is one of the key factors that decide the temperature control performance of the accumulator. The distribution state of fluid in accumulator under on-orbit microgravity condition is significantly different from that on ground, which brings great difficulties to the accumulator design. In order to study the two-phase medium distribution characteristics of accumulator under on-orbit microgravity condition, Computational Fluid Dynamics (CFD) method was used to simulate the two-phase flow behavior. The continuum surface force model and volume of fluid method were adopted to calculate the surface tension and track the liquid-vapor interface shape, respectively. By comparison between simulation results and theoretical solution, it shows that the results are consistent. Several influence parameters, including different Bond numbers, contact angles and filing ratios, were studied, the movement and distribution characteristics of the two-phase medium were obtained.The results indicate that the liquid-vapor interface shape is related to the size, wall wettability and medium filling ratio of accumulator. The results presented in this paper can provide theory basis for the control of liquid-vapor interface in accumulator, and can guide the research, development and on-orbit application of accumulator.

Throughput optimization for cellular communication on tethered unmanned aerial vehicle base station
LUO Yizhe, DING Wenrui, LEI Yaolin, LIU Chunhui
2021, 47(6): 1161-1172. doi: 10.13700/j.bh.1001-5965.2020.0136
Abstract:

Considering the problems of uneven distribution of the number of ground users and serious co-channel interference of multi Unmanned Aerial Vehicle (UAV) cooperative services when multiple tethered UAV aerial base stations are used to provide air-ground two-way communication services to multiple communities, this paper proposes a throughput optimization method with both aerial base station height and link transmission direction optimized. This method determines the co-frequency link pairing and drone/user pairing by using the maximum co-frequency link criterion and the nearest service criterion. By optimizing the drone height and link transmission direction, the average throughput of the system is improved and the co-frequency interference between users is reduced. The verification results in various scenarios show that the proposed method is significantly better than non-joint-optimization comparative methods that do not jointly optimize the link transmission direction and the height of aerial base station. When the number of users in a congested community is 1-36 times the number of users in a non-congested community, compared with the comparative methods, the proposed method can improve the average throughput of the system by about 8 times.

Face micro-deformation and its control method of rotating ring of hydrodynamic face seal under high speed, high pressure and wide temperature range
LI Shicong, QIAN Caifu, LI Shuangxi, ZHONG Jianfeng, LIU Xinghua
2021, 47(6): 1173-1185. doi: 10.13700/j.bh.1001-5965.2020.0167
Abstract:

Aimed at the deformation of hydrodynamic face seal under high speed, high pressure and high/low temperature conditions, a thermal-solid coupling model of typical structure of hydrodynamic face seal is established, and the support and constraints of rotating ring are considered. The face micro-deformation caused by thermal loads, force and constraints are analyzed, and its control methods are proposed. The results show that, when multiple loads act together, temperature difference has the greatest influence on face micro-deformation, followed by the rotational speed and pressure. In two cases, the face micro-deformation of rotating ring is mainly affected by the temperature difference rather than the temperature. Face micro-deformation is more susceptible to high temperature, and the change of face micro-deformation per unit temperature difference is 3-4 times that of low temperature. The farther the centroid of rotating ring is from the rotating center, the greater the influence of the rotational speed on the face micro-deformation is, and it has a parabolic relationship. The face micro-deformation has a linear relationship with the pressure difference. For high-speed, high-pressure, and wide-temperature-range hydrodynamic face seals, controlling the face micro-deformation should first reduce the temperature difference between the inner and outer surfaces of the rotating ring. Under high-speed conditions, the thickness of rotating ring should be appropriately increased, and the deformation range can be increased by 86% by expanding the centroid change area. Under low-speed conditions, the inner surface of rotating ring is restrained by reasonable structure design, which can control the turning of rotating ring and reduce the face micro-deformation by 65.2% at most. The axial clamping force designed reasonably can further ensure that the face micro-deformation is kept in a minimum range.

Optimal control of tilt rotor aircraft based on gain scheduling and smooth switching
YU Xin, CHEN Renliang
2021, 47(6): 1186-1198. doi: 10.13700/j.bh.1001-5965.2020.0176
Abstract:

In view of the complex control problem caused by variable mechanical characteristics in conversion maneuver of tilt rotor aircraft, the control synthesis architecture that combines linear quadratic optimal control based on Gain Scheduling (GS) and smooth switching control is proposed to realize global optimal control in conversion maneuver. This control synthesis method alleviates the load of the operating mechanism while guaranteeing the minimum performance index. First, the high-precision flight dynamics model of tilt rotor aircraft was established, and the control redundancy was overcome by mixed control model. Then, a linear quadratic optimal multi-loop controller based on gain scheduling was designed, and two sets of controllers were synthesized by using smooth switching control strategy to realize the smooth transition of attitude in the conversion maneuver. Finally, the full-modes autonomous flight simulation was carried out, which had the desired trajectory of the middle tilting corridor. The simulation results show that the control system has strong robustness and better system performance in the process of conversion maneuver.

Neutron exterior CT reconstruction algorithm based on weighted total variation minimization
LIN Qiang, YANG Min, ZHANG Xiaomin, TANG Bin, LIU Bin
2021, 47(6): 1199-1209. doi: 10.13700/j.bh.1001-5965.2020.0126
Abstract:

Aimed at the requirements of the exterior CT inspection using neutron beam, an exterior CT reconstruction algorithm based on Weighted Directional Total Variation (WDTV) minimization is proposed. We first use the symmetry principle of parallel beam data to supplement the missing projection data that are on the other side of the rotation center in the sinogram. Then the FBP algorithm is used for the reconstruction under the exterior CT scanning. In order to reduce artifacts along the radial direction in the images reconstructed by the conventional FBP and SART algorithms, we choose radial direction and angular direction to calculate the local directional difference in the WDTV algorithm and then calculate the weighted sum of these two directional differences. In addition, we introduce two weight parameters into the WDTV reconstruction model to control the different edge responses' strength along radial edges and tangential edges. The relationship between the quality of reconstructed images and the amount of projection data is studied by using the proposed reconstruction algorithm. Computer simulation and real cold neutron experiments indicate that the proposed reconstruction algorithm can effectively suppress the image artifacts along the radial direction and thus high-quality reconstruction images can be obtained.

Quantitative characterization method for anti-chaff-jamming performance of radio fuze based on probability of ignition
LI Ran, HAO Xinhong, LI Ping
2021, 47(6): 1210-1219. doi: 10.13700/j.bh.1001-5965.2020.0128
Abstract:

In order to overcome the shortage of existing anti-chaff-jamming quantitative characterization methods for radio fuze, taking the fuse of anti-aircraft missiles as an example, a quantitative characterization method of anti-chaff-jamming ability of radio fuze based on initiation probability is proposed by combining chaff cloud trajectory model and probability statistical method. Based on the analysis of the spiral descent motion of a single chaff wire, the trajectory of the chaff cloud is obtained by iterating the 6-DOF nonlinear difference equation. The dynamic volume density function of chaff cloud is derived by quasi-Monte Carlo method. The non-initiation probability of fuze under near-zone interference and far-zone interference of chaff cloud is calculated by using the motion model of chaff cloud and the dynamic volume density function, respectively. The trajectory model of chaff cloud is constructed based on MATLAB. After detailed analysis, the dynamic point distribution model of chaff cloud is obtained. On this basis, the dynamic volume density function of chaff cloud is obtained by quasi-Monte Carlo method. The volume of chaff cloud is obtained by using octree algorithm and least square surface method. Finally, the probability of fuze initiation caused by chaff cloud interference is calculated according to the probability definition formula. The results show that the proposed method is objective and reasonable, which provides a theoretical basis for designing the starting conditions of anti-chaff-cloud-interference algorithm of radio fuze in the future.

Low-velocity impact behavior and residual tensile strength of composite laminates
GUAN Qingyu, FENG Jianfei, XIA Pinqi, WU Guanghui
2021, 47(6): 1220-1232. doi: 10.13700/j.bh.1001-5965.2020.0132
Abstract:

The low-velocity impact behavior and residual tensile strength of composite laminates are experimentally studied in this paper. Firstly, the effects of impactor type and layup type on the impact responses of laminates are investigated by impact tests, and damage characteristics are evaluated by using the dent depth, damage projection area, impact force and impact energy translation. Secondly, the tensile response and residual tensile strength of the laminates after impact are investigated by quasi-static tensile tests. Finally, the mechanism of the effects of impactor type and layup type on the impact behavior and residual tensile strength of the laminates are analyzed. The results indicate that: the effect of impactor type on impact damage of composite laminate is closely related to the function of the projection area of impact contact surface with the dent depth; under the condition of high impact energy, the strip impactor is a critical impact threat to damage, while the damage caused by corner impactor is relatively not serious; the type of layup has a remarkable influence on the impact damage resistance performance and tensile fracture morphology of the laminates.

Algorithm of in-orbit SRAM for self-inspection
WU Yang, WANG Yi, YU Xinyu, XU Zhilong, REN Fang, HUANG Jin
2021, 47(6): 1233-1240. doi: 10.13700/j.bh.1001-5965.2020.0140
Abstract:

In-orbit self-inspection of Static Random Access Memory (SRAM) in spaceborne electronic equipment is used in the power-on initialization process. It is able to find the faulty unit of the memory before equipment starts to work. It provides a basis for evaluating the health status of electronic equipment. The structure and main failure principle of SRAM were analyzed, and the research in the special background of in-orbit application was conducted. Then, an improved test algorithm for the typical one was proposed. After the analysis and evaluation of the improved algorithm, the implementation of the algorithm on a 8 K×8 bit SRAM was carried out. Experimental results show that the improved algorithm is feasible. Compared with typical test algorithm, the improved algorithm has the advantages of low resource consumption and high fault coverage.

Numerical simulation of dynamic aerodynamic characteristics of a camber morphing airfoil
WU You, DAI Yuting, ZHANG Renjia, SONG Chen, YANG Chao
2021, 47(6): 1241-1253. doi: 10.13700/j.bh.1001-5965.2020.0141
Abstract:

In order to solve the problem of accurate numerical simulation of trailing edge morphing motion of a camber morphing airfoil, a spatiotemporal surface fitting method based on two-dimensional polynomial is proposed, which could accurately simulate the space-time position of the morphing trailing edge.On this basis, the numerical simulation method of the boundary motion caused by airfoil pitching motion and trailing edge morphing is developed in OpenFOAM, and the aerodynamic forces of the coupled motions of the airfoil are calculated. The results show that trailing edge motion has a significant influence on the lift and drag characteristics of the airfoil pitching motion, the effect of nonlinear deformation is 6%-10% greater than that of linear deformation in airfoil large-amplitude pitch motion. Meanwhile, the influence of phase difference between airfoil pitch motion and trailing edge motion on aerodynamic characteristics is discussed in this paper. In particular, when phase difference is 180 degree, trailing edge motion increases the maximum lift by 50.3% as well as the time-averaged lift by 34.6%. When phase difference is 0 degree, trailing edge motion reduces the maximum drag by 39.7% as well as the time-averaged drag by 30.2%. The maximum lift-drag ratio is increased by 22.3% and time-averaged lift-drag ratio by 16.8%. Meanwhile, during the airfoil pitching motion, negative drag coefficient is observed and the inducement is discussed. The above results provide important reference for the design of control law based on camber morphing airfoil.

SA&M-Relax target DOA estimation method for passive radar
CHEN Geng, TIAN Bo, GONG Jian, FENG Cunqian
2021, 47(6): 1254-1260. doi: 10.13700/j.bh.1001-5965.2020.0137
Abstract:

Due to the low signal-to-noise ratio of echo in passive radar, the target angle is usually estimated after range-Doppler 2D correlation. In this case of single snapshot, the performance of the classical super resolution method is poor due to the non-positive nature of the covariance matrix. To solve this problem, based on the A&M interpolation iterative algorithm (iterative frequency estimation by interpolation on Fourier coefficients algorithm), the SA&M-Relax passive radar target DOA estimation method suitable for sparse array is proposed.In the case of the same number of sensors, the resolution and precision of the target angle estimation are improved compared with the original algorithm, and the computation amount is reduced. Finally, the effectiveness of the proposed algorithm is verified by simulation experiments.

Hydrodynamic lubrication characteristics of piston ring gap under high pressure and high shear rate
ZHANG Letao, LIU Zhiqi, LI Zhanlong, XU Yan, GAO Yu
2021, 47(6): 1261-1270. doi: 10.13700/j.bh.1001-5965.2020.0144
Abstract:

In order to reduce the thermal effect on the lubrication performance of piston ring under high pressure and high shear rate, the friction pair lubrication performance is characterized by the shear velocity gradient, the wall shear stress and the oil film temperature rise. RNG k-ε turbulence model is used and the fluid-solid-thermal multi-physics model is established through Workbench to calculate the change rule of gap flow pattern, the film thickness change before and after temperature rise, the flow velocity and pattern distribution rule, wall shear stress, temperature distribution and thermal deformation under different L-shaped groove internal and external diameter ratio and length-to-diameter ratio. The results show that the L-groove viscous bottom layer thickens with the increase of shear speed, and the oil film thickness becomes thinner with the increase of motion period.When the ratio of the internal diameter to the external diameter of the L-groove is less than 1.07, the shear stress increases as the ratio decreases, and the maximum change rate is 7%.The average shear stress of the piston ring reaches the maximum when the length-to-diameter ratio is 0.19. If the ratio continues to increase, the oil film temperature rise and thermal deformation decrease as the velocity gradient decreases. The research results can provide theoretical guidance and basis for the optimization of motor to reduce energy loss and improve the lubrication condition of piston ring.

Predicting the formation uniformity of composite autoclave by BP neural network
LIN Yuan, GUAN Zhidong
2021, 47(6): 1271-1276. doi: 10.13700/j.bh.1001-5965.2020.0158
Abstract:

The difference in degree of cure in the forming process of composite autoclave is one of the main characterization parameters of degree of cure uniformity of composite. Based on thethree-layer BP neural network, this paper established a rapid estimation model of maximum difference of curing degree at any time in the forming process with heating rate, holding time and holding temperature as input parameters. Maximum difference in degree of cure was obtained by simulating the forming process of composite autoclave as test sample data to train the BP neural network, and the accuracy of the model was verified after the training. The results show that the accuracy and efficiency of this BP neural network model are high, which provides a fast and effective new method for estimating the difference of the maximum curing degree of composite autoclave.

Design and visualization of 3D reconstruction of aircraft maneuver movements library
SU Guangxu, ZHANG Dengcheng, WEI Jinpeng, Li Haiquan, ZHANG Yanhua, LEI Yuchang
2021, 47(6): 1277-1287. doi: 10.13700/j.bh.1001-5965.2020.0160
Abstract:

Maneuver movements library is an important basis for aircraft air combat simulation. Reliable and targeted maneuver movements library can improve the authenticity and application value of air combat simulation. In order to establish a targeted maneuver movements library, a technical approach of calculating aerodynamic characteristics through 3D reverse modeling and then establishing the maneuver movements library of the aircraft is proposed, which provides technical support for the air combat simulation of aircraft with unknown aerodynamic parameters. Firstly, the aircraft's geometry was reconstructed in three dimensions, and its longitudinal aerodynamic characteristics were calculated and analyzed. Secondly, the aerodynamic data was added into the restricted link of flight simulation, and a maneuver movements library for the typical tactical movements of the aircraft was designed. Finally, based on MATLAB function, the visualization of maneuver movements was studied. The results show that the maneuver movements library reflects the pertinence and reliability of aircraft types, and visualizes the 3D display of flight trajectory and aircraft attitude and the parameter cursor, which lays a foundation for air combat decision-making, air combat simulation training and combat effectiveness improvement.

Reentry guidance method of hypersonic telescopic deformable vehicle
YUE Caihong, TANG Shengjing, WANG Xiao, GUO Jie
2021, 47(6): 1288-1298. doi: 10.13700/j.bh.1001-5965.2020.0183
Abstract:

Aimed at the reentry guidance problem for hypersonic deformable vehicle, firstly, a shaping plan of hypersonic deformable vehicle using telescopic wings is proposed, and the aerodynamic model and dynamic model with elongation deformation are established. Secondly, with the elongation deformation being extended to control variables, the relationships between bank angle, elongation deformation and terminal range, altitude are analyzed. On this basis, the remaining range and terminal altitude are predicted by bank angle and elongation deformation, the two control variables are corrected by numerical algorithm to meet the range and altitude constraints, and the bank angle symbol is determined through the heading angle corridor. Simulated results show that the reentry guidance method of the deformable vehicle has high guidance accuracy, having stronger terminal restraint ability and smoother trajectory compared with the fixedshape vehicle, and it has certain robustness under disturbance conditions.

Comparative analysis of linear/nonlinear static aeroelasticity of fishbone flexible wing
MAO Sen, YANG Chao, XIE Changchuan, CHEN Zhiying
2021, 47(6): 1299-1310. doi: 10.13700/j.bh.1001-5965.2020.0307
Abstract:

Fishbone flexible wing is a excellent design of active morphing camber wing. Ithas low chordwise bending stiffness and high stiffness along the thickness direction of airfoil, and it has strong geometric nonlinearity and significant aeroelastic effect when undergoing active deformation with large deformation. The traditional linear static aeroelastic analysis method is not fit for this problem. Therefore, this paper takes the public fishbone flexible wing model of Bristol University as the research object, adopts the nonlinear aeroelastic analysis method which is based on non-planar Vortex Lattice Method (VLM) and nonlinear finite element analysis and the traditional linear aeroelastic analysis method which is based on linear finite element analysis and planar VLM to analyze the static aeroelasticity of the fishbone wing under large deformation and compare the results. Similarly, the aerodynamic calculation results of the non-planar VLM and XFOIL software used in this paper are verified. The results show that the aeroelastic effect of the fishbone flexible wing under large deformation is significant. Compared to the results of traditional linear static aeroelasticity analysis method, the lift coefficient of fishbone wing under large deformation by nonlinear static aeroelasticity analysis method is 8.28% smaller at most, and the moment coefficient is 6.86% smaller at most. The real deformation under the aerodynamic load can be obtained accurately and quickly by the nonlinear aeroelasticity analysis method proposed in this paper, which is more valuable for practical engineering application.