2021 Vol. 47, No. 7

Display Method:
Volume 47 Issue72021
iconDownload (134492) 1136 iconPreview
Research development of fatigue life prediction and damage analysis model of fiber-reinforced composite
CHENG Xiaoquan, DU Xiaoyuan
2021, 47(7): 1311-1322. doi: 10.13700/j.bh.1001-5965.2020.0229
Abstract:

With the wide application of fiber-reinforced composite primary structures in many fields, fatigue has become a critical problem in composite structural design and analysis. Based on the development of fatigue theory of composite materials, many theoretical methods and numerical models for life prediction and damage analysis have been proposed by scholars. The current composite fatigue performance analysis models can be classified as fatigue life model, phenomenological model and progressive damage model. The development of these three kinds of models is reviewed and compared and their advantages and disadvantages are analyzed. The theory of fatigue life model is relatively simple, and the model is suitable for the life estimation of engineering structures. The mathematical relationship between residual strength/stiffness and fatigue cycle number is established in phenomenological model, which can predict the structure fatigue life and material residual mechanical properties. The progressive damage model can not only predict the structure fatigue life and material residual mechanical properties, but also analyze the fatigue damage mechanism of structures. Finally, the development trends of these fatigue performance analysis models are discussed. It is pointed out that reducing the implementation cost and improving the generality are important problems of these models.

Measurement method of ship's heave motion information based on IMU and UKF algorithm
LU Daohua, FU Huaida, WANG Jia, CAI Yaxuan, SONG Shilei
2021, 47(7): 1323-1331. doi: 10.13700/j.bh.1001-5965.2020.0223
Abstract:

To obtain accurate estimation of ship heave motion information in real time, according to the ship heave kinematics model and spectral analysis method, an analytical model describing the relationship between the acceleration measurement information of the Inertial Measurement Unit (IMU) and the ship heave motion state quantity was established. Based on the characteristics of Unscented Kalman Filter (UKF) nonlinear filtering algorithm, the heave motion filtering solution is performed. Simulation analysis proves the effectiveness of the proposed algorithm in ship heave motion measurement. The experimental verification of the three-degree-of-freedom platform heave motion measurement is performed. The experimental results show that, compared with the solution of the Extended Kalman Filter (EKF) method, the algorithm in this paper has faster convergence speed and higher measurement accuracy; the estimation accuracy of the ship's heave displacement reaches 5% of the maximum heave amplitude, and accurate and no-delay ship heave motion information can be obtained.

A calculation method for effective power supply area of manned spacecraft with body mounted solar array
YANG Sheng, WANG Xi
2021, 47(7): 1332-1337. doi: 10.13700/j.bh.1001-5965.2020.0216
Abstract:

The power supply capability is proportional to the effective area of spacecraft solar array. For cylindrical manned spacecraft, a calculation method for effective area of body mounted solar array is proposed. First, the mounted solar array was divided into n parts along the circumference. The angle between the sun vector and the normal of each part (incidence angle) was calculated by coordinate transform. Then, the effective area of body mounted solar array was obtained by summing up the products of the area of each part and the cosine of incidence angle. Finally, the proposed method was verified by effective area simulation under different orbit sunlight angles and different flight attitudes for manned spacecraft with body mounted solar array. The simulation results show that the average effective area can reach 25%-32% of the mounted area under earth-oriented three-axis stabilized attitude the flight attitude of orientating the earth. By yawing the manned spacecraft with fixed angle, the ratio of effective area to mounted area can be expanded to 30%-44%.

Topology optimization of cantilever structure with self-weight load based on guide-weight method
REN Yiru, XIANG Jianhui, HE Jie, NING Keyan, YANG Lingling
2021, 47(7): 1338-1344. doi: 10.13700/j.bh.1001-5965.2020.0191
Abstract:

Aiming at the problem of non-convergence of the material distribution at the end of the cantilever beam structure under self-weight load, a topology optimization method for the cantilever beam structure under self-weight load is proposed to solve the problem. According to the principle of virtual work equal, the load equivalent method was established by the relationship among the shape function of the four-node rectangular element, the unit volume density and the mass. According to the Kuhn-Tucker condition of the optimization model, the guide-weight criterion was derived, the sensitivity formula of the objective function was obtained, and the iterative formula considering the topology optimization of the self-weight load was derived. Aimed at the problem of ambiguity of material distribution in the end region of the topological optimization of a cantilever beam structure under self-weight load, a solution strategy combining variable density method and non-structural mass was studied, and the influence of typical factors on the topological structure was revealed. The results show that this method can solve the problem of fuzzy material distribution at the end of a cantilever beam under self-weight.

Air container loading based on improved genetic algorithm
ZHANG Changyong, ZHAI Yiming
2021, 47(7): 1345-1352. doi: 10.13700/j.bh.1001-5965.2020.0197
Abstract:

Aimed at the problems of slow convergence speed, premature maturity, and poor optimization results when the standard genetic algorithm solves the loading plan, based on the anthropomorphic loading strategy, an improved genetic algorithm is proposed to maximize the utilization of container space, considering the loading sequence, volume, and quality of the goods, center of gravity, non-overlapping and other practical constraints. First, the real number code combined with the placement state of the goods is used to randomly generate the initial population. Second, the optimal solution preservation strategy is added to the routine selection operation, and the stability, support constraints, and center of gravity constraints are taken into account after linear scale transformation. In the fitness function, the evaluation value of each loading scheme is calculated by this. Finally, the scheme with the highest evaluation value is output as the optimal loading scheme. In the experimental part, the performance test was performed using test cases with different heterogeneity, and then three sets of specific cargo loading data were combined to prove the universality and practicability of the algorithm. The results show that the proposed algorithm has better optimization effect in solving the process of strong heterogeneous cargo loading, and is suitable for solving the container loading problem. Compared with the standard genetic algorithm, the convergence and search speed have been improved. The space utilization of the two different container types has increased by 3.82% and 3.66%, and the running time has been shortened by 7.9 s and 5.58 s. The optimal loading can be found quickly. The solution can effectively solve the problem of cargo packing in regular and irregular containers. At the same time, the visualization of the loading plan is realized based on MATLAB software, which provides a theoretical basis for the real-time loading decision of the container.

Design and verification of an adjustable length safety tether for astronaut extravehicular activities
SUN Qichen, JIANG Kun, WANG Hailiang, ZHANG Zilan, QIN Junjie, WANG Lusi
2021, 47(7): 1353-1361. doi: 10.13700/j.bh.1001-5965.2020.0184
Abstract:

With the steady progress of Shenzhou spaceship series tasks and space station construction tasks in China, Chinese astronauts are facing frequent extravehicular activities, the range of astronauts' extravehicular activities will gradually increase, and the operation position of astronauts will change frequently. The traditional safety tether can not operation the requirements. In this paper, a design scheme of an adjustable length safety tether for astronaut extravehicular activities driven by constant force spring is put forward, the design method is optimized, and the detailed design of the driving unit which is the core part of the safety tether is performed. Finally, the prototype of safety tether is developed, and the functional performance test, environmental adaptability test and driving unit life test are completed. The results show that the scheme of the safety tether can successfully complete the retraction and release of steel wire rope, and the measured retracting force and pulling force are basically consistent with the theoretical values. It has the advantages of small volume, light weight, and resistance to a large number of levels of vibration and high and low temperature environment. The driving unit can meet the requirements of 10 000 times of long-life use. The scheme of the safety tether can be used in subsequent engineering products.

RCS prediction method for cylinder containing microwave absorbing material
ZHAO Jingcheng, YANG Zongkai, WANG Jian, ZHANG Yang
2021, 47(7): 1362-1371. doi: 10.13700/j.bh.1001-5965.2020.0214
Abstract:

Large target's Radar Cross Section (RCS) estimation using scaling model is a common method to obtain RCS at the development phase. However, according to classical electromagnetic similarity theory, measurement of scaled target coated with microwave absorbing material is difficult to meet the scaling condition strictly. A multivariate logarithmic linear regression model is proposed to estimate RCS for the scaled target coated with microwave absorbing materials. Two sets of cylindrical models were designed and tested in the microwave anechoic chamber with scaling factors of 1:1, 1:2, 1:4 and 1:8, respectively. On the basis of data preprocessing such as angle correction, RCS data of scaling model is substituted into the model as training set to obtain parameters, and RCS of the original model is estimated and compared with the actual measured data. The results show that the curves of the predicted data and the measured data fit well. Compared with the traditional square rate formula, the error of the proposed method decreases by 3-5 dB, and the error decreases by 0.3-0.8 dB after adding the microwave absorbing material factor to the regression model.

Effects of stroke deviation on flight stability of true hoverfly
XU Na, ZHOU Shuaizhi, MOU Xiaolei
2021, 47(7): 1372-1378. doi: 10.13700/j.bh.1001-5965.2020.0719
Abstract:

The aerodynamic performance of insect can be affected by wing stroke deviation, which may also influence the flight stability. The longitudinal and lateral non-dimensional stability derivatives of hoverfly with stroke deviation are obtained by solving Navier-Stokes equation, and then the natural modes of motion analysis method is used to analyze the flight stability. The results show that, when stroke deviation exists, the stability derivative of the rolling moment induced by the side motion velocity decreases significantly, while the other derivatives have little difference by comparing the situation with no stroke deviation. The reason why the existence of stroke deviation causes the decrease of the derivative is that the positive rolling moment of the left and right wings declines obviously under lateral wind circumstance, while the negative rolling moment caused by the lateral force increases slightly, which makes the total negative rolling moment increase. However, the decrease of the derivative of the rolling moment caused by the lateral flow does not alter the flight stability of hoverfly, and the longitudinal and lateral characteristic modes of motion are still the same as those without stroke deviation.

Unified form of large deflection analysis of elastic Euler beam based on elliptic integral
AN Chao, XIE Changchuan, YANG Chao
2021, 47(7): 1379-1386. doi: 10.13700/j.bh.1001-5965.2020.0186
Abstract:

The loading problem of Euler beam with one end clamped and one end having concentrated load is a basic mechanical model, which has important theoretical significance. In order to solve the problem that the traditional linear method is not applicable to large deflection analysis and cannot calculate the post buckling deflection of the central direction compressed column when the load coefficient exceeds the critical value, a nonlinear exact solution is proposed to calculate the large deformation of the beam under concentrated load. In this paper, the elliptic integral form is used to derive the deflection expression of the beam under concentrated load. Considering the dead force and follower force at any angle on the free end of the fixed-supported beam, a large deflection equation of the beam in a unified form is given. The deflection results under the combination of load factor and load angle are calculated. At the same time, the balance branch solution of the compressed column with dead force is analyzed using this form. The calculation results of this method are accurate and can be applied to the large deflection analysis of elastic beam under dead force and follower force.

Recognition of packet interleaver at low SNR
WU Zhaojun, LIU Kai, ZHONG Zhaogen, DAN Bo, ZHOU Leike
2021, 47(7): 1387-1398. doi: 10.13700/j.bh.1001-5965.2020.0193
Abstract:

In view of the shortcomings of the existing algorithms for blind recognition of packet interleaver, which are high computational complexity and poor fault tolerance, a new recognition algorithm based on the distribution of synchronization codes after packet interleaving is proposed in this paper. Firstly, the proposed algorithm based on the statistical characteristics of data matrix gives the function of probability density distribution for synchronous code and random traffic data in any number of matrix columns, and based on the minimum error decision criterion, the detection threshold of synchronous code is set. At the same time, the detection threshold of robust interleaving period is set based on the criterion of 3 times standard deviation. Secondly, the corresponding relationship between each row and column in the data matrix is analyzed, and a fast interleaving period traversal method is proposed, which greatly reduces the number of times of data matrix construction. Finally, the four rules of distribution of synchronization codes are summarized, and by traversing the synchronization codes and utilizing the relationship of positions between synchronization codes, the parameters of synchronization positions, interleaving column and row can be identified efficiently. The simulation results show that the algorithm has a strong error tolerance at low SNR and the correct rate of parameter recognition can reach more than 98% at the SNR of -6 dB. At the same time, compared with the existing methods, its performance is improved by 4-10 dB and the calculation efficiency is significantly improved.

Fault diagnosis of rolling bearing based on deep residual shrinkage network
CHE Changchang, WANG Huawei, NI Xiaomei, LIN Ruiguan
2021, 47(7): 1399-1406. doi: 10.13700/j.bh.1001-5965.2020.0194
Abstract:

Accurate fault diagnosis of rolling bearing is a necessary means to ensure the safe and reliable operation of mechanical equipment. In this paper, a fault diagnosis method based on Deep Residual Shrinkage Network (DRSN) is proposed for the vibration signal of rolling bearing with multiple faults and long time series. Firstly, fault samples are constructed according to the collected rolling bearing data. For the vibration signals of long time series under various fault types, the long time series are matrixed according to a certain size, so as to form the gray image fault samples of multiple fault types. Aimed at the performance degradation process of rolling bearings from normal to fault, the whole life cycle fault samples are constructed for fault diagnosis through random sampling of multiple sampling points. Secondly, based on the multi-layer deep learning model, the residual shrinkage network module is added to the Convolutional Neural Network (CNN) to build the deep residual shrinkage network model, in which the model degradation problem of the multi-layer network model is solved by adding the residual term to the network training, and the sample noise reduction is realized by using soft thresholding. Finally, in order to verify the effectiveness of the proposed method, multi-fault time series samples and life cycle fault samples of rolling bearing are collected for fault diagnosis. The result of the example shows that the proposed model has good robustness under the noise interference, there is no obvious network degradation under the multi-layer network model, and it can maintain a high accuracy of fault diagnosis. When dealing with two kinds of bearing fault datasets, compared with other models, this method has lower training error, and the average accuracy of fault classification is increased by 1%-6%.

High-precision on-orbit real-time orbital maneuver decision
XIE Shucong, DONG Yunfeng
2021, 47(7): 1407-1413. doi: 10.13700/j.bh.1001-5965.2020.0195
Abstract:

In order to ensure the real-time maneuverability and high-precision requirements of orbital maneuver, a real-time maneuver decision-making method based on machine learning is proposed. The optimal solution under perturbation is obtained offline through the optimization algorithm. The two-body solution is subtracted to obtain the speed increment difference, which is projected onto the orbital system to obtain the speed increment perturbation correction term, which is used as the output of the neural network. The network parameters are designed and trained to obtain perturbation correction network. The combination of perturbation correction network and two-body solution is used to achieve high-precision real-time orbital maneuver decision. The simulation results show that the terminal position deviation after the completion of the maneuver according to the decision is consistent with the accuracy of the terminal position deviation after the completion of the decision maneuver according to the optimization algorithm, and the former decision time is only about 0.01% of the latter decision time. The orbital maneuver decision-making method proposed in this paper takes into account both accuracy and real-time performance, and is suitable for on-board decision-making.

A principal component analysis of interval data based on center and log-radius
ZHAO Qing, WANG Huiwen, WANG Shanshan
2021, 47(7): 1414-1421. doi: 10.13700/j.bh.1001-5965.2020.0227
Abstract:

In order to study the dimension reduction and visualization of multivariate interval data, a two-dimensional array including center and log-radius is used as the expression of interval data. Then the algebraic algorithm of interval data is given, and a new Principal Component Analysis (PCA) method of interval data is proposed on this basis. The processing of the logarithm of interval radius ensures the rationality that the range of the final interval principal components are non-negative. The calculation of this new method is simple, and the complexity is low. Furthermore, the change of the relative position between the points in the sample group before and after the dimension reduction is as small as possible. By reducing the dimension of variables in the high-dimensional space, various classical statistical analysis methods can be used. Besides, the sample points in the original high-dimensional space can be depicted in the low-dimensional space, which makes it possible to visualize multivariate interval data. The results of simulation experiment verify the effectiveness of the proposed method.

Influence analysis of coupled band gap in piezoelectric periodic plate
JIANG Zhou, LI Lin, FAN Yu, WANG Wenjun
2021, 47(7): 1422-1437. doi: 10.13700/j.bh.1001-5965.2020.0230
Abstract:

In recent years, researches on the elastic band gaps in periodic structures to reduce vibration have attracted widespread attention. However, it is difficult to design a band gap with wide bandwidth and good tunability. Aiming at this problem, we designed a periodic structure with piezoelectric network. By bonding piezoelectric patches periodically into structure, a coupled band gap can be created between the elastic waves and electric waves thanks to the piezoelectric effect. This band gap can be tailored with the help of external circuits. In order to calculate the propagation characteristics of the structure efficiently, a reduced wave finite element method suitable for piezoelectric periodic structures was developed to improve the calculation efficiency. It was found that more than 90% of the calculation time can be saved with great accuracy. Using this method, the influence of the size and shape of the piezoelectric material on the performance of the coupled band gap was studied. The results show that when fixing the electrical parameters, as the size of the piezoelectric patches increases, the coupled band gap moves to lower frequency range and its bandwidth increases. Moreover, the bandwidth in the system with square patches is slightly wider than that with circular patches. However, these two shapes have little impact on the directional distribution of coupled band gap. Then, the guideline is proposed for designing electrical parameters to make sure that coupled band gaps are generated around the desired frequency for electromechanical systems with different sizes and shapes. Finally, in order to prove the vibration reduction effect of the coupled band gap, a finite periodic piezoelectric plate was employed. The results show that the coupled band gap can effectively control the elastic wave in structure.

Effects of swirl at outlet of S-shaped inlet on axial flow compressor performance
WANG Jiale, CHENG Bangqin, FEI Xiaowen, YU Yang, FENG Luning
2021, 47(7): 1438-1445. doi: 10.13700/j.bh.1001-5965.2020.0190
Abstract:

In order to estimate the effects of swirl at outlet of S-shaped inlet on the performance of axial flow compressor, a swirl distortion network was optimized and designed to simulate the swirl flow field. The aerodynamic response of the single-stage axial flow compressor under the effect of the swirl at the outlet of the S-shaped inlet was investigated by numerical simulation. The characteristic map and flow field distributions of the compressor under the condition of uniform intake and swirling intake were obtained. The results show that the overall swirl angle error of the optimized swirl distortion network is reduced. The swirl flow at the outlet of S-shaped inlet has little influence on the pressurization ability, but it will lead to the decrease of compressor efficiency and decrease of stability. At the corrected speed of 100% and 80%, the maximum reduction of pressure ratio is 0.12% and 0.28% respectively, and the maximum reduction of efficiency near the peak efficiency point is 3.2% and 14.4% respectively. The reverse swirl zone in the swirl at the outlet of the S-shaped inlet increases the inlet attack angle of the rotor blade, resulting in the separation of airflow at the suction side and the blockage of the blade passage, which eventually leads to the instability of the compressor.

Two-step Kalman filter algorithm for pulsar position error estimation
XIAO Yongqiang, WANG Hongli, FENG Lei, YOU Sihai, XU Qiang
2021, 47(7): 1446-1452. doi: 10.13700/j.bh.1001-5965.2020.0201
Abstract:

A Two-Step Kalman Filter (TSKF) algorithm is designed to overcome the influence of clock error and satellite position error on pulsar position error estimation. First, the traditional model of pulsar position error estimation is introduced, and it is confirmed by analysis that the clock error, satellite position error, and both errors will have serious impact on the estimation. Second, the clock error and satellite position error are added to the traditional estimation model, and the clock error and its rate of change are expanded to a new state quantity, thereby deducing a new model of pulsar position error estimation containing these two errors. And its observability is proved through theoretical analysis. Then the update equation of the TSKF algorithm is written combined with the new model and based on the two-step Kalman filter principle. Finally, simulations show that the TSKF algorithm can effectively isolate the influences of the two errors and make the estimation accuracy kept within 0.2 mas while the traditional pulsar position error estimation algorithm has a large deviation and divergence of the right ascension and declination errors under the influence of the two errors.

Design of message authentication and OTAR broadcast strategy for BDSBAS
MU Shenglin, CHEN Ying, LIU Ting, LIU Cheng, CHEN Xiao
2021, 47(7): 1453-1461. doi: 10.13700/j.bh.1001-5965.2020.0222
Abstract:

Satellite-based Augmentation System (SBAS) relates to the field of life safety through a wide-area augmentation system that provides integrity information to users. To improve SBAS's ability to resist spoofing, firstly, based on the Elliptic Curve Digital Signature Algorithm (ECDSA), this paper proposes a message authentication design scheme for BeiDou Satellite-based Augmentation System (BDSBAS). According to the domestic commercial cryptographic standard elliptic curve (SM2) algorithm, the corresponding parameter design and message distribution scheme are carried out, and the message distribution strategy of Over the Air Rekeying (OTAR) is described. In order to further verify the test scheme, this paper uses Monte Carlo OTAR simulator to carry out simulation tests based on three broadcast scheduling algorithms. By adjusting the weights, the receiving time of OTAR messages in different situations is analyzed. The simulation results provide an important reference for the selection of broadcast scheduling of OTAR message schemes in specific situations.

Application of a new steepest descent algorithm in adaptive noise cancellation
WANG Shuai, XIANG Jianjun, PENG Fang, XIAO Bingsong
2021, 47(7): 1462-1469. doi: 10.13700/j.bh.1001-5965.2020.0218
Abstract:

Adaptive noise cancellation has important applications in many fields. In order to carry out adaptive noise cancellation, a new steepest descent algorithm is proposed. The main principle of the algorithm is to reduce the dimension of multivariate quadratic function to make it become a univariate quadratic function, and then apply the properties of parabola to iteratively solve the extremum of each dimension. Compared with the traditional adaptive algorithm, the new steepest descent algorithm shows the advantages of fast convergence, good filtering effect, adjustable filtering effect, resisting bad SNR and sharp change SNR, no need to choose iteration step, and suitable for computer and programmable hardware implementation.

Regional object detection of remote sensing airport based on improved deep neural network
HAN Yongsai, MA Shiping, HE Linyuan, LI Chenghao, ZHU Mingming, XU Yuelei
2021, 47(7): 1470-1480. doi: 10.13700/j.bh.1001-5965.2020.0225
Abstract:

The detection of multiple types of targets in the airport area under the satellite remote sensing monitor is of great military and civilian significance in real life. In order to effectively improve the detection accuracy of remote sensing images in the airport area, based on the representative deep network Faster R-CNN in the mainstream target detection method, the ReMD data enhancement algorithm is proposed for the data side. The deep ResNet network and the feature fusion component-FPN are used to extract more robust deep distinguishing features of airport area target. Finally, a new fully connected layer is added to the end detection network, and the softmax classifier and 4 logistic regression classifiers are combined to accurately classify airport area multi-class targets according to the target class correlation. Experiments show that the improvement of the original network brings a 11.6% increase in the average detection accuracy rate of the original network, reaching 80.5% mAP. Compared with other mainstream networks, it also has a better accuracy rate. At the same time, by appropriately reducing the input amount of the recommended area, under the premise of 3.2% reduction of accuracy rate, the detection time of 0.512 s is improved by 3 times to 0.173 s. According to the specific task, the accuracy and detection speed can be reasonably weighed, which reflects the effectiveness and practicability of the network.

Chaotic multi-leader whale optimization algorithm
TANG Andi, HAN Tong, XU Dengwu, XIE Lei
2021, 47(7): 1481-1494. doi: 10.13700/j.bh.1001-5965.2020.0585
Abstract:

Aimed at the path planning problem of Unmanned Aerial Vehicle (UAV), a path planning method based on a Chaotic Multi-Leader Whale Optimization Algorithm (CML-WOA) is proposed. In the known flight environment, 3D model of flight area and a flight path cost model are established. By introducing penalty functions, the constrained 3D path planning problem is transformed into an unconstrained multi-dimensional function optimization problem, which is solved using CML-WOA to obtain the optimal flight path. To overcome the defect that the WOA is easy to fall into local optimum, this paper introduces the cubic mapping chaos operator to improve the initial population and enhance the population diversity. And the Sine Cosine Algorithm (SCA) is integrated through an adaptive framework. A multi-leader search strategy is used to effectively improve the algorithm exploitation and exploration capability. Finally, a greedy strategy is used to ensure the convergence efficiency. The proposed improved CML-WOA is tested and validated by 20 benchmark functions test and path planning simulation experiments. The results show that the algorithm has significantly improved performance compared to other algorithms, with strong local optimal avoidance capability, higher convergence accuracy and convergence speed. Also, it is able to provide stable and fast planning of safe and feasible flight path with minimum cost and satisfying constraints.

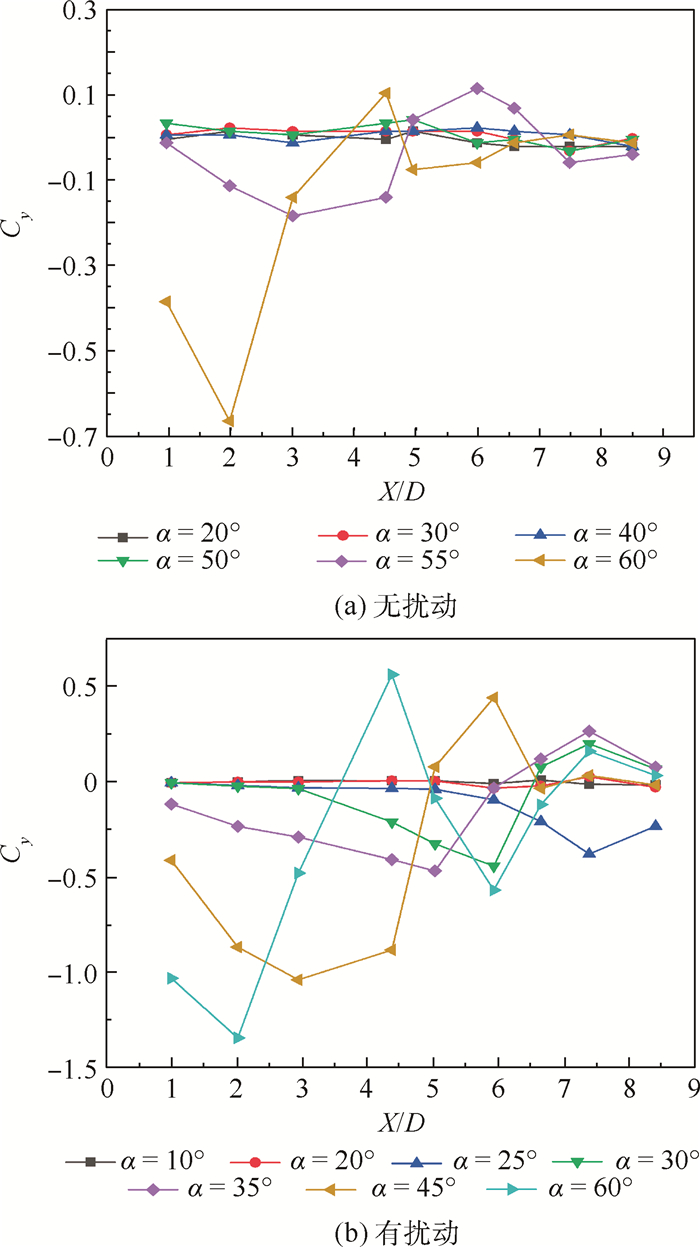
Numerical simulation of flow around slender body with disturbing block
LIU Keqi, LI Guohui, ZHANG Haonan, ZHANG Yanjia
2021, 47(7): 1495-1504. doi: 10.13700/j.bh.1001-5965.2020.0676
Abstract:

In this paper, the influence of the head disturbance block on the structure of the flow around the back of the slender body is studied. The slender body model is simulated at the angle of attack of 5°-60° through numerical simulation. The numerical calculation method selected is the Reynolds Average Navier-Stokes (RANS) method. This paper mainly compares whether to add a disturbance block model at an angle of attack of α=20°, 30°, analyzes the development of the flow around different sections along with the axial position, proposes a method to verify the topological structure, and finds the position of the singularity in each flow state. The position of the vortex core is used to analyze the development of the flow around the back of the model. It is found that the premise of adding a known regular disturbance block can speed up the conversion speed between the surrounding flow structures, and will reduce the angle of attack generated by the asymmetric vortex.

Influence of welding defects on fatigue behavior of dissimilar aluminum alloy TIG butt joint
WANG Chiquan, SHI Liang, ZHANG Xiangchun, LIU Zhiyi, SHAO Chengwei
2021, 47(7): 1505-1514. doi: 10.13700/j.bh.1001-5965.2020.0370
Abstract:

Fatigue tests and fracture morphology analyses were performed to determine the influence law and mechanism of pore defect and incomplete fusion defect on the fatigue performance of 5A06-O/7A05-T6 dissimilar aluminum alloy TIG butt joint. The results show that both pore defect and incomplete fusion defect have adverse effects on the fatigue properties of 5A06-O/7A05-T6 butt joint, and the interaction between the size and location of defects and the load is the main factor affecting the early initiation of fatigue cracks. Fatigue cracks are more likely to initiate at the welding defects with larger size and closer to the material surface under the same stress level, and the interaction between welding defects and fatigue loading increases with the decrease of stress level, and ultimately decreases the fatigue strength. Compared with pore defect, the effect of stress concentration at the edge of incomplete fusion defect is more significant, which is more likely to cause fatigue crack initiation, the microstructure of welded joint is more brittle than that of welding base metal, and the fatigue crack propagates alternately in the transgranular and intergranular form, which further shortens the fatigue life.