2017 Vol. 43, No. 8

Display Method:
Volume 43 Issue82017
iconDownload (37588) 1157 iconPreview
Health state prediction technique for aircraft wing based on MEMD and ELM
CUI Jianguo, XU Lingyu, YU Mingyue, JIANG Liying, WANG Jinglin, LIN Zeli
2017, 43(8): 1501-1508. doi: 10.13700/j.bh.1001-5965.2016.0610
Abstract:

Composite materials are more and more widely used in the modern aircraft structure. In order to effectively forecast the health state of aircraft wing, the multivariate empirical mode decomposition (MEMD) energy entropy and extreme learning machine (ELM) model are introduced into prediction method of aircraft wing health state. A certain type of aircraft's composite wing box section is taken as the specific research object. Then we carried out fatigue load tests after impacting it. The original strain information of aircraft's composite wing box section was obtained by fiber optic sensor acquisition system, and the health state of aircraft's composite wing box section was represented. Then, the original strain information was decomposed by MEMD, and the energy entropy was extracted from the band signal which is decomposed with MEMD as the feature. The energy entropy was then fused by dynamic principal component analysis (DPCA). The energy entropy after fusion was taken to construct the ELM prediction model. And we forecasted the structural damage of a certain aircraft's composite wing box section. Experimental research shows that the method can achieve the prediction of aircraft wing health state effectively and has a very good application prospect.

Localization and imaging of crack damage in plate-like structures based on vibro-acousic modulation
YANG Xiaohua, LIU Xuejun, ZHANG Ding, XIN Zhidong
2017, 43(8): 1509-1516. doi: 10.13700/j.bh.1001-5965.2016.0595
Abstract:

To overcome the shortcomings of linear Lamb waves in closed crack and micro crack monitoring, a imaging method of crack damage localization in plate-like structure based on vibro-acoustic modulation theory and delay and sum algorithm is proposed. The signal components of acoustic wave are analyzed in the crack structure when there is only high-frequency (HF) excitation and there are low-frequency (LF) and HF excitation at the same time. And then, a signal extraction technology is put forward to extract the signal containing damage information. Fatigue crack is located and imaged in plate-like structure based on delay and sum algorithm referring to linear Lamb wave damage localization method. Experiments prove that the proposed method can locate the crack position effectively without the original health reference signal, which provides a way for contact-like damage localization and imaging.

Propagation characteristics of photonic bandgap fiber collimator with C-lens
LI Yan, ZHAO Yuan, XU Xiaobin, CAI Wei
2017, 43(8): 1517-1522. doi: 10.13700/j.bh.1001-5965.2016.0581
Abstract:

A photonic bandgap fiber collimator with C-lens was proposed. The photonic crystal fiber end face does not have reflection, so the transform matrix will change. From the general model of Gaussian-beam imaging, using the theory of matrix optics, the matrix optics was calculated in meridian plane and sagittal plane respectively. Combined with practical applications in photonic bandgap fiber and C-lens related parameters, the influence of the distance between fiber tail and C-lens and the influence of the parameter of the C-lens on working distance and beam waist diameter of collimator were both stimulated and analyzed. The results of the analysis in new model show that the influence of the C-lens tile for meridian plane and sagittal plane was similar, and the Gaussian-beam ellipse was smaller compared with ordinary fiber. The result may direct the design of photonic bandgap fiber collimator and the design of optical device with photonic bandgap fiber collimator.

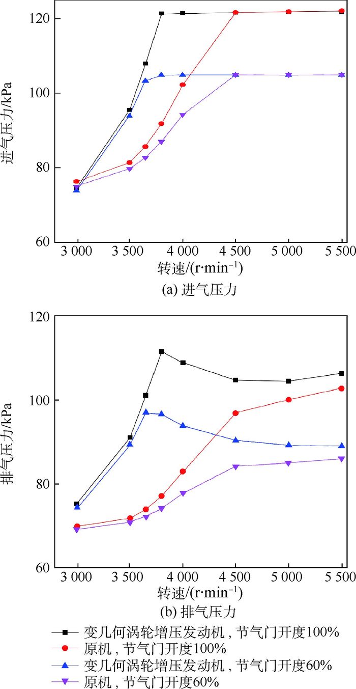
Research on performance of variable geometry turbocharger for aero engine
XU Bin, ZHOU Fan, YANG Shichun, TIAN Fugang, TAN Longxing
2017, 43(8): 1523-1530. doi: 10.13700/j.bh.1001-5965.2016.0639
Abstract:

A variable geometry turbocharger method was used to adjust the power of the engine. It's regulation law and characteristics was studied. According to the turbine flow model, the influence of different nozzle ring opening degrees on the turbocharger was analyzed under the same operating conditions. In GT-POWER, a variable geometry turbocharger engine model was established, and the application of the variable geometry turbocharger engine to recover the power of the sea was verified by the simulation and analysis of different working conditions. The results show that the engine can significantly improve the engine altitude adjustable range, enhancing the ceiling of engine usage from 5 km to 6 km, which is of guiding significance for application of variable geometry turbocharger to restoring power and the regulation of nozzle ring opening degree.

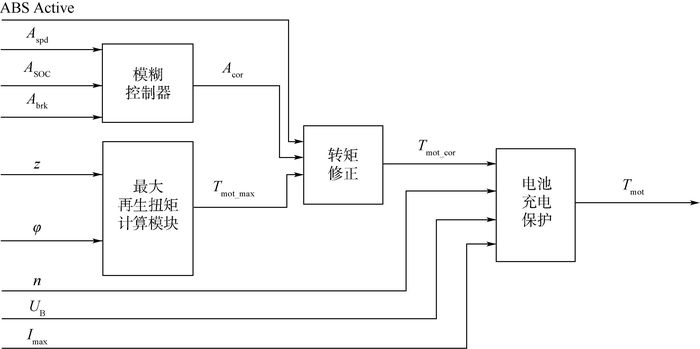
Regenerative brake strategy based on braking boundary and intention recognition
WU Zhixin, SHI Jinpeng, LI Yalun, YANG Haisheng, MA Shaodong
2017, 43(8): 1531-1540. doi: 10.13700/j.bh.1001-5965.2016.0645
Abstract:

Effective strategy of regenerative brake can increase the recycling energy and improve the driving range of electric vehicles. A recycling brake force distribution strategy on the basis of maximum boundary was proposed from the analysis of the vehicle brake dynamics and related regulations. The models of fuzzy braking intention identification based on brake pedal depth, vehicle speed and SOC wereestablished to identify the driver braking intentions; the models of battery charging protection based on the motor efficiency map were established to limit the battery charging current. The influence of the regenerative brake strategy ondriving range was researched by means of the second development of Cruise simulation platform. The driving range of electric vehicles rises by 7.8% in accordance with the regenerative brake strategy for the new European driving cycle (NEDC). The driving range of electric vehicles rises by 27.3% in accordance with the regenerative brake strategy for the EPA Federal Test Procedure (FTP75).

Design and comparative analysis of flight trajectory of airborne earth observation
GONG Xiaolin, ZHANG Shuai
2017, 43(8): 1541-1549. doi: 10.13700/j.bh.1001-5965.2016.0580
Abstract:

Aimed at the problem of attitude errors of distributed position and orientation system (POS) accumulate over time when airborne earth observation aircraft moves along a straight line at a constant velocity, a variety of maneuver modes were designed. Not only the estimation accuracy of distributed POS was compared, but also the time of system reaching stability after maneuver and the time of straight flight in imaging segment and baseline length of global position system (GPS) were tested. The method was based on the concept that the effective maneuver can improve the observability of distributed POS. Simulation results show that the designed flight trajectory can improve the measurement accuracy of the imaging segment motion parameters and can provide theoretical guidance for the selection and design of optimal flight trajectory for airborne earth observation.

Performance optimization for 150 kV inverter power supply and its electron beam source characteristics
XU Haiying, SANG Xinghua, ZHANG Wei, QI Bojin
2017, 43(8): 1550-1558. doi: 10.13700/j.bh.1001-5965.2016.0651
Abstract:

In order to enhance the stability and reliability of electron beam source system and improve the machining quality of electron beam, the topology circuit of AC-DC-AC-DC-AC-DC, new power transformer, high voltage pulse detection technology, optimized feedback control technology of electron beam and closed-loop control technology of filament current are introduced to optimize high voltage power source, bias voltage power source and filament power source. The inverter power supply, 150 kV/30 kW EB gun, vacuum system and others control system were integrated to establish a set of electron beam system. The high voltage, maximal electron beam output, and the influence of bias voltage and filament current on beam output are tested. The results of a series of tests show that the high voltage output of the inverter power supply has a fine linearity, and the maximum beam output is up to 200 mA at the high voltage output up to-150 kV. At given high voltage and current of filament, the electron beam will increase with the decrease of bias voltage. When the high voltage and bias voltage are given changeless, the electron beam output experiences non-beam phase, linear increasable phase and steady changeless phase with the increase of filament current.

Influence of continuous trailing-edge variable camber wing on aerodynamic characteristics of airliner
GUO Tongbiao, BAI Junqiang, YANG Yixiong
2017, 43(8): 1559-1566. doi: 10.13700/j.bh.1001-5965.2016.0583
Abstract:

The continuous trailing-edge variable camber wing has a potential in improving the aerodynamic characteristics of the airliner, and is widely concerned recently. Based on the optimization design system constructed in this paper, the influence of continuous trailing-edge variable camber wing on the aerodynamic characteristics of the airliner wing-body configuration is presented. First, the free form deformation (FFD) technique is used to accomplish the parameterization of the continuous trailing-edge variable camber wing. Then, based on the RANS equation solver, the trailing-edge variable camber wing optimizations are carried out to reduce aerodynamic drag of the wing-body configuration around the design lift coefficients. Finally, the difference of the optimization design results by considering the trailing-edge deflection of the outboard wing and the whole wing is explored. The optimization results show that when the lift coefficient is lower than the design lift coefficient and only the deflection of outboard wing trailing-edge is considered, the favorable deflection direction to reduce the induced drag and wave drag is opposite, and it is difficult to reduce them simultaneously; when the deflection of inboard wing is also considered, the drag reduction quantity is much larger than that of the former optimization; when the lift coefficient exceeds the design lift coefficient, the trailing-edge deflection of both the outboard wing and the whole wing can reduce the wave drag and induced drag simultaneously, and their drag reduction quantity is almost the same.

Numerical analysis of pitching moment non-linear characteristics of diamond joined-wing configuration
SUN Junlei, WANG Heping, ZHOU Zhou, WANG Ziyi
2017, 43(8): 1567-1576. doi: 10.13700/j.bh.1001-5965.2016.0584
Abstract:

Investigation on the pitching moment non-linear characteristics of the high-attitude long-endurance (HALE) diamond joined-wing configuration unmanned aerial vehicle (UAV) was carried out by both numerical simulation and theoretical analysis method. The results show that the aircraft have two obvious pitching moment non-linear regions and there is a pitch-up phenomenon. The turbulent kinetic energy is used to represent the strength and the influence area of flow field structure of the aft-wing changed by the frt-wing wake direct sweep, which explains one of the causes of the non-linear region of the pitch moment. The other reason for the pitching moment non-linear region and pitch-up moment is explained by analyzing the separation characteristics of the aft-wing and the frt-wing. The influence of the general layout parameters of the UAV on the pitching moment characteristics of diamond joined-wing UAV was studied. The results show that adjusting the overall layout parameters can effectively mitigate the impact of pitching moment non-linear characteristics on flight performance.

A modified weighted round robin scheduling algorithm in TTE
ZHANG Yingjing, HE Feng, LU Guangshan, XIONG Huagang
2017, 43(8): 1577-1584. doi: 10.13700/j.bh.1001-5965.2016.0590
Abstract:

TT messages that have the top priority among three kinds of traffics affect RC message communication inevitably in time-triggered Ethernet (TTE). Therefore, RC messages have to be scheduled among discrete time slices caused by TT message offline schedule table. A modified weighted round robin (MWRR) scheduling method based on optimal time slice was proposed in this paper. Firstly, TT message offline schedule table was calculated satisfying the requirements of TT message constraints in order to get optimal time resources for RC flow transmission; secondly, different kinds of RC flows were scheduled in several time slices and the worst end to end delays were analyzed by network calculus in TTE; finally, experiments show that MWRR algorithm in the paper not only has low complexity, good fairness and feasibility in practical application, but also obtains better real-time performance than first input first output (FIFO), priority queue (PQ) and weighted round robin (WRR) scheduling algorithm.

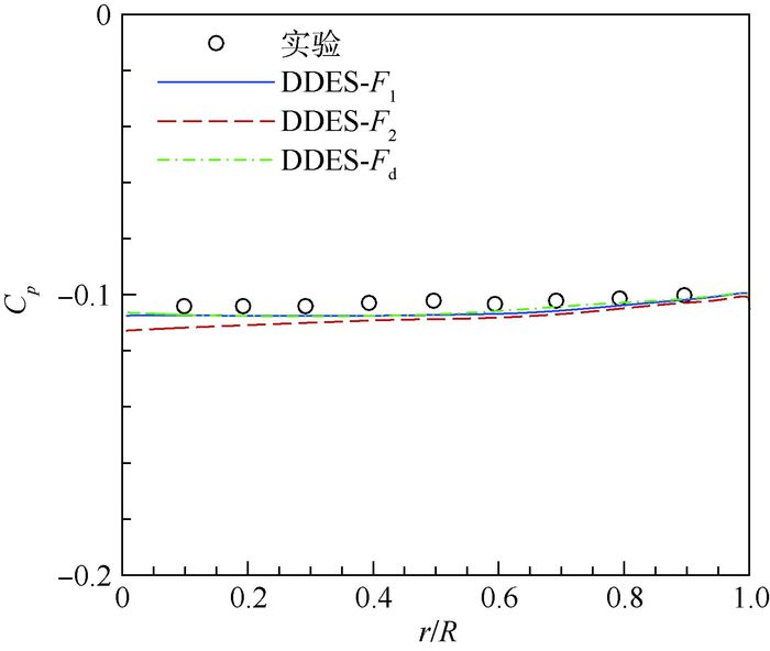
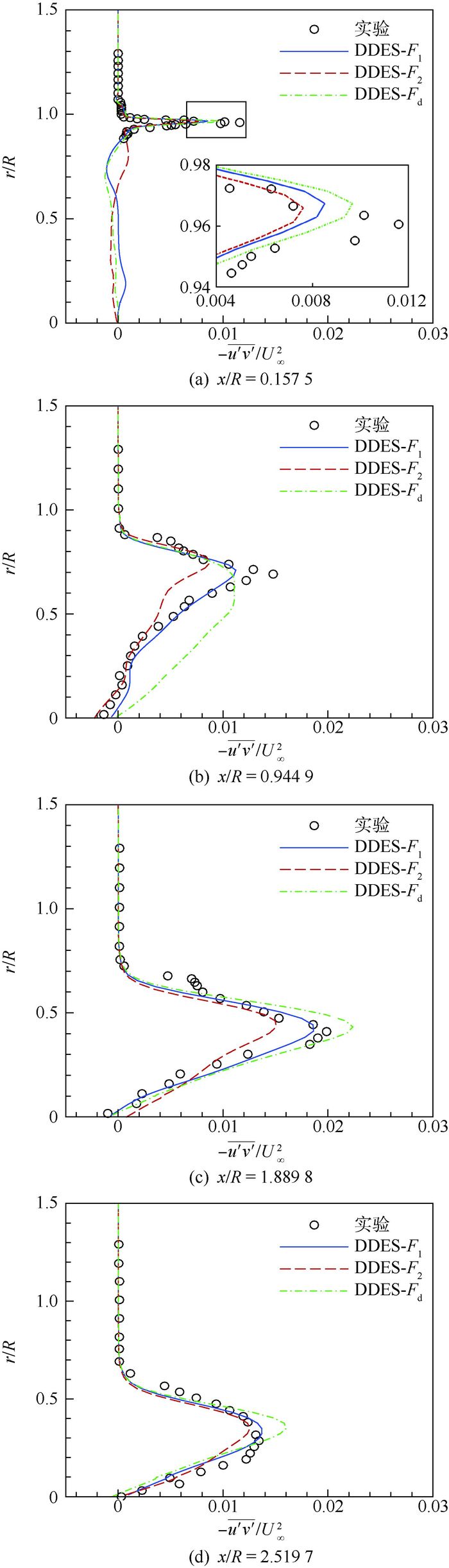
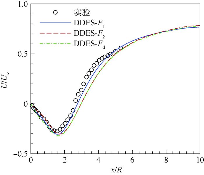
Performance of delayed functions in DDES for supersonic base flow
DU Ruofan, YAN Chao, HAN Zheng, XIANG Xinghao, QU Feng
2017, 43(8): 1585-1593. doi: 10.13700/j.bh.1001-5965.2016.0602
Abstract:

The DDES is a widely used approach among RANS/LES hybrid methods. It introduces the delayed function to ensure full RANS mode in the near-wall region, and has been proven to be quite efficient for separated flows. Up to date, various different delayed functions have been developed. However, the understanding to the performance and characteristics of different delayed functions still remains not comprehensive, especially lacking investigation on supersonic flows. The research focuses on the different delayed functions in the DDES methods by employing the supersonic base flow as the validation case. Through systematic comparisons with the experimental data and detailed analyses, the distributions and shielding behavior of different delayed functions together with resolving capabilities of different models are investigated. Studies show that there exist discrepancies in the shielding behavior and resolving capabilities between different delayed functions. Besides, DDES-F1 behaves appropriately in this supersonic separated flow and reproduces the experimental data very well, providing sufficient protection without impairing the model's numerical accuracy.

Design of guidance law with multiple constraints considering maneuvering efficiency
WANG Chaolun, XUE Lin, YAN Xiaoyong
2017, 43(8): 1594-1601. doi: 10.13700/j.bh.1001-5965.2016.0567
Abstract:

Due to the guidance law with terminal intercept angle which will cause big angle error when available payload is insufficient, a guidance law considering time-varying overload constraint has been elicited, which would bring on more energy loss when much maneuver is achieved at the same time. Given this, this paper elicits a guidance law with multiple constraints considering maneuvering efficiency. First, a closed-loop guidance law with time-varying control weight coefficient is elicited according to optimal quadratic theory. Second, drag coefficient when maneuvering is introduced into time-varying control weight coefficient, and the constraint boundaries of available payload and maneuvering efficiency are obtained through iterations. Finally, the time-varying weight coefficient is changed into function of time-to-go, and the trajectories are simulated with guidance law considering available payload and maneuvering efficiency. The simulation results indicate that both the two guidance laws can meet the requirement of trajectory shaping, and the acceleration command of guidance law with constraint considering maneuvering efficiency is more reasonable, which reduces the velocity loss effectively and enhances the guidance accuracy and damage effect. Moreover, balance solution of time-varying weight coefficient is not necessary with this method, so iteration speed will be highly improved when accuracy is guaranteed.

Compact shock capturing scheme for compressible multiscale flow
LI Yansu, YAN Chao, YU Jian
2017, 43(8): 1602-1609. doi: 10.13700/j.bh.1001-5965.2016.0623
Abstract:

Aimed at compressible multiscale flow simulations, a fifth-order high-resolution compact shock capturing scheme, compact-reconstruction weighted essentially non-oscillatory (CRWENO), is studied. Nonlinear weights are used to combine lower-order compact schemes to approximate a higher-order compact scheme. The scheme becomes the fifth-order linear compact scheme in smooth regions, while preserves computational stability across discontinuities. Numerical properties were analyzed for CRWENO and weighted essentially non-oscillatory (WENO) which is widely used these days, as well as the linear schemes that they correspond to, i.e. the fifth-order upwind linear scheme and the fifth-order compact scheme. The impacts of nonlinear weights on dissipation and spectral properties are evaluated. The advancements and drawbacks of linear/nonlinear and compact/explicit schemes in compressible multiscale flow simulations are discussed by performing 1D, 2D and 3D typical numerical tests. It can be concluded that CRWENO scheme can obtain non-oscillatory results near strong discontinuous regions. Its compact characteristic improves the problems of over-dissipation and low resolution exiting in nonlinear schemes and makes it clearly resolve multiscale flow structures. In a word, CRWENO is a proper candidate for compressible multiscale flow simulations.

GNSS sea surface reflection signal modeling method based on principle of bistatic radar
QI Yongqiang, ZHANG Bo, YANG Dongkai, ZHANG Yanzhong, WANG Qiang
2017, 43(8): 1610-1615. doi: 10.13700/j.bh.1001-5965.2016.0631
Abstract:

In the application of global navigation satellite system-reflection(GNSS-R) technology, the reflection signal source is needed to test the receiver in order to reduce costs. The signal model is the core of GNSS-R signal source. In order to solve the problem of the lack of corresponding model, this paper presents a method of establishing GNSS sea surface reflection signal model based on the principle of bistatic radar. First, on the basis of analyzing the characteristics of GNSS sea surface reflection signal, sea surface reflection points were selected. Then, the scattering coefficient and the scattering area in the radar equation were calculated. Thus, the reflected signal power in corresponding reflection point was obtained. Finally, reflection signal parameters are simulated and verified. The simulation results indicate that the correlation coefficient of the signal correlation power curve and the theoretical curve of the ZV model is better than 0.98, which can be used to generate the GNSS ocean reflection signal effectively. The approach is of important reference significance for the theory and the development of GNSS-R signal generator.

Optimization strategy of supercritical laminar flow airfoil design
XING Yu, LUO Dongming, YU Xiongqing
2017, 43(8): 1616-1624. doi: 10.13700/j.bh.1001-5965.2016.0656
Abstract:

A two-step optimization strategy for the supercritical laminar flow airfoil design is proposed in the paper. The γ-Reθt transition model coupled with the shear stress transportation (SST) turbulence model is used for prediction of airfoil boundary layer transition. The Class/Shape Transformation (CST) method is used to parameterize airfoil geometry. The parameters in the airfoil geometry model are used as the design variables. The first step of optimization is to increase the ratio of the laminar flow region. A genetic algorithm based on the Kriging surrogate model is employed to obtain the laminar flow airfoil with all constraints satisfied. The second step of optimization is to improve the optimization result of the first step, and to further increase the lift-to-drag ratio of the airfoil. A gradient based optimization is used to search optimal solution. The aerodynamic analysis during the second step optimization is implemented through the CFD code rather than the surrogate model. The example demonstrates that the supercritical airfoil NASA SC(2) 0412 can be optimized into a supercritical laminar flow airfoil by the two-step optimization method, the laminar region ratios on the airfoil upper and lower surface increase by 55.5% and 47.0% respectively, and the lift-to-drag ratio increases by 38.1%.

Modeling and analysis of spares supply support relations among three stations
ZHANG Ying, WANG Yun, XUE Pei
2017, 43(8): 1625-1631. doi: 10.13700/j.bh.1001-5965.2016.0709
Abstract:

For modeling, the existing spares-related researches have insufficient consideration of lateral transshipments. In this paper, the authors select a three-site inventory system as the research object, and by introducing spares supply support relationship between sites, longitudinal and lateral transshipments are considered at the same time. The quantitative probability values are used to represent the spares demand relationship between sites, and based on inventory balance theory, a relationship is established between the number of spares due in, the initial inventory, the number of spares on hand and the number of backorders. Based on the single-site inventory balance equations and the demand supply relations between sites, the three-site spare parts backorder equations are given. Then coefficients-matrix of the equations is found reversible and so the equations have only one unique solution. Then according to the principle of contractive mapping theory, an iterative method is used for solving the equations. Finally, an example is calculated to verify the fitness of the model and the validity of the solving method.

Numerical simulation of effect of nozzle layout on jet lateral control for missiles
LIU Liyuan, LI Yachao, YAN Chao
2017, 43(8): 1632-1639. doi: 10.13700/j.bh.1001-5965.2016.0603
Abstract:

In order to keep the motility in the thin atmosphere, air vehicles usually employ reaction control system (RCS), but in supersonic flow, it leads to complex jet interaction flow field on the surface of air vehicles, which has enormous influence on flight control. In order to improve the regularity understanding of jet lateral control, a model without any vane and a model with four tail vanes were used to study the sonic jet control effects in supersonic cross-flow by numerical simulation. The investigation of the influence of the jet location on the jet lateral control was conducted and the quantitative analysis of the contribution of different characteristic regions on the sweep to the jet lateral control was given. The numerical results indicate that as to wing-body configuration, the backward moving of the jet location and the increase of Mach number observably improve the jet lateral control effect; the amplification coefficient of the jet interaction force increases with the increasing angle of attack, and decreases with the increasing static pressure on condition that the jet is located before the tail vane; however, the law is opposite on condition that the jet is located after the tail vane; wing-body configuration, compared to body-alone configuration, does not have advantages on jet lateral control effects under some jet location and flow conditions.

Data association algorithm for unequal length sequence based on multiple model
SUN Guidong, GUAN Xin, YI Xiao, ZHAO Jun
2017, 43(8): 1640-1646. doi: 10.13700/j.bh.1001-5965.2016.0658
Abstract:

When dealing with data association for unequal length sequence, single model cannot balance computational accuracy, complexity and disturbance rejection. So a data association algorithm for unequal length sequence based on multiple model (MM) was proposed. The two unequal length sequence similarity measurement model based on sliding window and dynamic time warping (DTW) were selected as the input model of MM, which uses the rate of change between time and similarity of two model as the index to realize the transformation of the two models. It combines both advantages of two models and gets the models' application condition.The unequal length sequence similarity is output after MM as the index to judge the association of the sequence data. Simulation results show the effectiveness of the proposed algorithm for unequal length sequence and analyze the effect of sequence length and fluctuant rate on association result.

Finite element analysis of flow field and temperature field of electro-hydraulic pump by Fluent
FU Yongling, YANG Jiayuan, ZHU Deming
2017, 43(8): 1647-1653. doi: 10.13700/j.bh.1001-5965.2016.0605
Abstract:

The integrated structure and working principle of three phase induction motor-axial piston electro-hydraulic pump (EHP) were introduced. The mechanical losses were calculated. A model of EHP was established in Ansoft software, and then the electromagnetic losses were analyzed. Finite element coupling model was established. The flow and temperature distribution of hydraulic oil as well as the temperature field distribution of the key parts were analyzed by Fluent software. The analysis results depict that hydraulic oil can fully flow in internal flow road. The maximum temperature of stator is not more than 58℃, and the maximum temperature of rotor is not more than 40℃ under rated condition when the inlet oil temperature is 35℃. Cooling effect is better than motor-pump sets. The results also show that stator oil hole can obviously improve cooling effect. The maximum temperature of stator is reduced by 0.6℃, and local region temperature is reduced by more than 3℃ when four oil holes with a diameter of 10 mm are made.

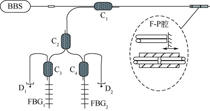
Demodulation error and influencing factor of three-wavelength digital phase demodulation method
ZHAO Wentao, SONG Ningfang, SONG Jingming, WU Rong
2017, 43(8): 1654-1661. doi: 10.13700/j.bh.1001-5965.2016.0568
Abstract:

This paper introduces the traditional demodulation method of Fabry-Perot (F-P) sensors, and systematically derives the demodulation principle of three-wavelength digital phase demodulation method using extrinsic Fabry-Perot interferometer (EFPI) sensors. Meanwhile, simulation method has been used to analyze the demodulation error of three-wavelength phase demodulation method. The results indicate that the phase deviation from an orthogonal relationship is the most important influencing factor limiting the demodulation. In order to ensure that demodulation error is less than 15 nm, the cavity length change should be within the range of 2 μm at the orthogonal cavity length. Three independent laser light sources have been used to do the experiment. The results show that when the cavity length changes within 1 μm from orthogonal cavity length, the error of the demodulation cavity length is less than 12 nm, and at the same time the repeatability error of the demodulation is less than 10 nm, which means that demodulation has good stability.

Reliability life prediction of smart meter based on multi-stress degradation model
ZHANG Jingyuan, HE Yuzhu, CUI Weijia
2017, 43(8): 1662-1669. doi: 10.13700/j.bh.1001-5965.2016.0582
Abstract:

Aimed at the difficulty to accurately predict the reliability life of smart meter in running state, based on the generalized multi-stress accelerated model, this study researched and determined the life distribution rules of smart meter by using the accelerated degradation test data. Through the analysis of the relationship between the environment stress and the parameters of Weibull distribution model, a new multi-stress degradation model based on log-linear regression model was established, parameters correction method of the new model was proposed, the solution of the parameters of life distribution model was realized, and the prediction consequence of the reliability life and remaining life of smart meter under normal stress level was obtained. The normal stress condition is set up at the end of the paper, and the feasibility of the method is verified, so that a research method is provided for the reliability life assessment of smart meter.

Static aeroelastic characteristics analysis of high-aspect-ratio wing for hydrogen-powered UAV
HAO Shuai, MA Tielin, GAN Wenbiao, LI Gen
2017, 43(8): 1670-1676. doi: 10.13700/j.bh.1001-5965.2016.0611
Abstract:

Based on hydrogen-powered ultra-long endurance unmanned aerial vehicle (UAV), nonlinear static aeroelastic characteristics were analyzed by the strong-coupled method for its high-aspect-ratio light composite wing. The aerodynamic comparison of rigid and elastic (aeroelastic deformation) wing was investigated. And then, an aerodynamic correction method, based on the result of the rigid wing, was applied to the elastic wing. The results show that the lift-drag ratio of the elastic wing reduces by 3.2% (compared to the rigid wing), and roll and yaw moments significantly increases to the disadvantage of aerodynamic performance. The aerodynamic correction based on rigid computation results is an efficient aerodynamic analysis strategy for high-aspect-ratio light composite wing.

Mechanical and dynamic characteristics of bearing with looseness on high-speed flexible rotor
YU Huan, MA Yanhong, XIAO Sen, HONG Jie
2017, 43(8): 1677-1683. doi: 10.13700/j.bh.1001-5965.2016.0635
Abstract:

Based on analysis of the structural and mechanical characteristics of the bearing with looseness on high-speed flexible rotor and the demand of dynamic optimal design for multi-supported flexible rotor, the mechanism of non-straight change of stiffness of supporting structure caused by looseness on rotor-bearing system was researched. Then a dynamic model of rotor-bearing system with looseness was developed. The generation conditions of chaos were analyzed. According to the analysis, the rotor will produce chaotic motion by the impact of the step change in stiffness when the dynamics of the rotor is sensitive to the stiffness of supporting structure. Based on the relationship of dynamics of the rotor and position and stiffness of supporting structure, the optimization design of the position and stiffness of supporting structure can control the sensitivity of rotor dynamic characteristics to the stiffness of the support, which can provide design method for dynamics optimization design for multi-supported high-speed flexible rotor.

Transient communication signal detection under non-Gaussian noise based on improved HHT
GUO Xiaotao, WANG Xing, ZHOU Dongqing, ZHANG Ying
2017, 43(8): 1684-1692. doi: 10.13700/j.bh.1001-5965.2016.0576
Abstract:

Based on the characteristics of transient communication signals and non-Gaussian noise, the corresponding signal models were established, and a novel algorithm of transient communication signal detection under non-Gaussian noise was proposed based on the improved Hilbert-Huang transform (HHT), which takes the advantage of HHT in processing non-linear and non-stationary signals. The improved detection algorithm was divided into two sections:ensemble empirical mode decomposition (EEMD) and filter of intrinsic mode function (IMF) components. First, signals were decomposed into several IMF components by adding random white noise and averaging, and then false components were eliminated by energy variance and correlation, through which transient signals aliased in the non-Gaussian noise can be detected effectively. Simulation compares the detection efficiency of HHT and the proposed algorithm, and the results demonstrate that the proposed algorithm can reduce the influence of model mixing and false frequency caused by HHT and achieve more accurate analysis to the time-frequency characteristics of transient communication signal.

Novel guidance law accounting for dynamics of missile autopilot
ZHANG Kai, YANG Suochang, ZHANG Kuanqiao, ZHANG Yongwei, CHEN Peng
2017, 43(8): 1693-1704. doi: 10.13700/j.bh.1001-5965.2016.0630
Abstract:

Interception of air targets requires zero miss-distance and impact angle constraint to improve the missile guidance performance. First, the acceleration of the target was estimated by extended disturbance observer which also considered the noise interference. Second, a nonsingular terminal sliding mode surface was improved, which considered autopilot ideally. Third, a sliding-mode guidance law was designed based on the terminal sliding mode control theory and the theory of finite time convergence. Finally, considering the second-order dynamic characteristics of autopilot, the novel guidance law was developed combining both sliding-mode guidance law and dynamic surface control method. In simulation experiments, both maneuvering targets and constant velocity targets were intercepted with different impact angle. A large number of simulation results demonstrate that the proposed guidance law canguarantee that the missile hits the target and at the same time achieves a desired angle of impact, which performs well.

Global sensitivity analysis under mixed uncertainty based on possibilistic moments
CHENG Kai, LYU Zhenzhou, SHI Yan
2017, 43(8): 1705-1712. doi: 10.13700/j.bh.1001-5965.2016.0626
Abstract:

For the structures with fuzzy uncertainty and random uncertainty simultaneously, to measure the influence of fuzzy and random input variables on the statistical characteristic of output response, a new global sensitivity index is proposed. Based on the definition of possibilistic moments of the fuzzy variable, the characteristic of the output response under mixed uncertainty is analyzed. With respect to the possibilistic moments of the output response, the possibilistic expectation of output response is taken as an example, and the average difference between the unconditional probability density function (PDF) and the conditional PDF of the model output possibilistic expectation is used to establish the global sensitivity indices for both the fuzzy input and the random input. The properties of the proposed global sensitivity indices are discussed, and the Kriging surrogate model is applied to solving the proposed index efficiently. Finally, some examples are used to verify the rationality and effectiveness of the proposed method.