2017 Vol. 43, No. 7

Display Method:
Volume 43 Issue72017
iconDownload (40587) 959 iconPreview
A calculation method for temperature control orifice of ram air turbine pump
WANG Yan, YIN Yafeng, CHEN Jinhua, JIANG Pei
2017, 43(7): 1287-1292. doi: 10.13700/j.bh.1001-5965.2016.0545
Abstract:

Ram air turbine (RAT) pump, by transforming the mechanical energy into hydraulic energy, can be used to control the aircraft rudder in emergency situation. Its performance of rapid response is critical to ensure the aircraft's safety. Exposed to low-temperature atmosphere for long time, the high viscosity of hydraulic oil will hinder the rapid start of the hydraulic pump, and an effective method for this problem is to introduce the high-pressure oil into aircraft RAT pump from the main hydraulic system. Taking RAT pump as research object, this paper explores the calculation method of minimum temperature control orifice for the RAT pump. First, it explains the thermal insulation theory of the RAT pump which is equipped with temperature control orifice in standby mode and proposes an algorithm of the orifice. Second, it establishes RAT pump's thermodynamic model and deduces the calculation formula of the orifice's diameter. Next, it establishes temperature control system's thermodynamic model with MATLAB and calculates the results. Finally, it verifies the correctness of the algorithm through simulation calculation, and energy saving effect is remarkable.

Improved test method based on vector cancellation for scattering characteristic of discontinuous target
GAO Xu, YANG Shuo, CHAI Jianzhong, ZHAO Jingcheng
2017, 43(7): 1293-1299. doi: 10.13700/j.bh.1001-5965.2016.0517
Abstract:

For stealth aircraft, the scattering contribution of discontinuous targets becomes considerable. The common method is based on low scattering carrier and compares measurement results of carrier with discontinuity and that without discontinuity. The scattering increase of target with discontinuity is obtained to analyze its electromagnetic scattering characteristic. This method has disadvantages of low efficiency, small-size target and high cost. An improved method is presented based on vector cancellation, which regards carrier as part of target background and separates carrier scattering from result. The scattering characteristic of discontinuous target in whole angle region which is independent of carrier is obtained, and the result is more integrative and more accurate. By comparing with literature and validation analysis, the vector cancellation method can get scattering characteristic of discontinuous target in whole angle region. The test results and target size are unrelated to carrier, so that this method has advantages of high precision and low cost.

Measurement for back-reflection of photonic crystal fiber fusion splicing point based on low-coherence light
XU Xiaobin, YAN Ming, TENG Fei, WU Chunxiao
2017, 43(7): 1300-1305. doi: 10.13700/j.bh.1001-5965.2016.0499
Abstract:

Although angle-cleaved fusion splice can greatly reduce the reflection of the fusion splicing point between photonic crystal fiber (PCF) and conventional single mode fiber, a weak residual back-reflection still exists at the fusion splicing point. A Mach-Zehnder and Michelson hybrid interferometer based on the principle of low-coherence interferometry was designed to achieve accurate positioning measurement of the residual back-reflection.Utilizing the interferometer, a -52.12 dB back reflectance of the 8° oblique splicing point between 125 μm cladding diameter solid-core PCF and conventional single mode fiber and a -49.35 dB back reflectance of the 8° oblique splicing point between 100 μm cladding diameter solid-core PCF and conventional single mode fiber were obtained.The locations of the two fusion splicing points were also acquired. The interferometer provides tools and means for precise positioning and measurement of the residual back-reflection of PCF angle-cleaved fusion splicing point, and lays a foundation for the quality improvement of the fusion splicing point.

Flight management system redundancy optimization method based on genetic algorithm
HUO Lin, FEI Simiao
2017, 43(7): 1306-1312. doi: 10.13700/j.bh.1001-5965.2016.0512
Abstract:

Aircraft management system is an important part to guarantee flight safety, and redundancy design is the main method to improve the safety of the system. The redundancy design, however, is constrained by the budget (economy) in the design and manufacture and the consumption of the maintenance support resources (reliability). According to the safety, basic reliability and economy models of aircraft management system, a redundancy configuration optimization method was proposed by using the improved integer optimal genetic algorithm, with safety as the objective, and basic reliability and economy as the constraint. Then an example was taken to show its effectiveness to the complex system redundancy optimization. The sensitivity analysis shows that the safety optimal value declines with the increase of the basic reliability lower bound, and rises with the increase of the economy upper bound. For two constraints on the optimization of the objective competitive constraints, at the same time only one constraint condition plays a major constraint role. These two constraint conditions play a role in the competition, and at the same time there is only one main constraint.

Enhanced resolution in MIMO-SAR imaging using apodization
XU Guangyao, LIU Yongze, XU Xiaojian
2017, 43(7): 1313-1320. doi: 10.13700/j.bh.1001-5965.2016.0514
Abstract:

When the conventional methods of sidelobe suppression are used in multiple input multiple output synthetic aperture radar (MIMO-SAR) systems to generate images for diagnosing the near field scattering features of targets, non-orthogonal sidelobes can hardly be suppressed efficiently. In this paper, based on the generation mechanisms of the non-orthogonal sidelobes in near filed, an approach which combines spatially variant apodization (SVA) with tri-apodization was proposed to suppress the non-orthogonal sidelobes for MIMO-SAR images. Simulation and experimental results demonstrate that the sidelobes in down range as well as the non-orthogonal sidelobes in cross range are suppressed efficiently via the proposed approach. As a consequence, for MIMO-SAR images, the resolutions in both the down range and the cross range are improved remarkably while a higher dynamic range can be achieved.

Quasi-variational principle and application of initial value problem for rigid-elastic coupling dynamics
ZHOU Ping, LI Haibo, LIANG Lifu
2017, 43(7): 1321-1329. doi: 10.13700/j.bh.1001-5965.2016.0849
Abstract:

The rigid-elastic coupling dynamics has been widely used in the national defense and civil economic construction, but there are still no mature theoretical research results. In this view, the quasi-variational principle of the initial value problem was established, according to rigid-elastic coupling characters, and the quasi-stationary condition of the quasi-variational principle was derived by the variational method. This condition is the governing equation of rigid-elastic coupling dynamics. Two examples were given to show the application of this condition. One was the analytical solution of the odd order vibration mode of free beam obtained by the governing equation. The other is the analytical solution of the even order vibration mode of the free beam obtained by the variational direct method Ritz method. The results show that the quasi-variational principle of the initial value problem of the rigid-elastic coupling dynamics provides the basis for the establishment of finite element model.

Common-path confocal interferometric surface plasmon microscopy
ZHANG Bei, YAN Peng, WANG Le, GAO Feng, YUAN Mei
2017, 43(7): 1330-1335. doi: 10.13700/j.bh.1001-5965.2016.0526
Abstract:

Surface plasmon (SPs) microscopy can measure local changes of refractive index on the nano scale and has been successfully applied in biomedical or semiconductor material fields. Here, we propose and develop a novel common-path confocal interferometric SPs microscopy. This technique delivers quantitative high spatial resolution sensitive to refractive index and offers the advantages of simplicitye, low cost, low environmental requirements, and high signal-to-noise ratio. The so-called V(z) effect is the period oscillation by the relative phase between the reference and the SPs signal and obtained by scanning the sample along the optical axis (z direction) with a Piezo-electric stage. We demonstrate that the image contrast can be controlled by varying the sample defocus without substantially degrading spatial resolution. We also verify the technique theoretically and experimentally.

Circuitry test response signal reconstruction based on GP-KSVD algorithm
NIE Jing, SU Donglin, LI Hongyi, ZHAO Di
2017, 43(7): 1336-1347. doi: 10.13700/j.bh.1001-5965.2016.0518
Abstract:

Response signals in circuitry system always have the characteristics of high periodicity and sparse distribution. In order to realize response signals reconstruction in circuitry system, an algorithm combining gradient pursuit and K singular value decomposition (GP-KSVD) was proposed. Dictionary was trained according to the features of single and mixed signal. Making use of the updated dictionary and gradient pursuit to sparse representation on noisy signal, the reconstruction achieves the aim of de-noising. The algorithm has excellent reconstruction results with low computing complexity and storage capacity. In simulation, GP-KSVD dictionary was compared with both random and discrete cosine dictionary (DCT) dictionary, and the results show that the denoising effect of sparse representation with KSVD dictionary is the best depending on the indices of signal to noise ratio (SNR) and root mean square error (RMSE). GP-KSVD sparse representation was compared with orthogonal matching pursuit(OMP)-KSVD and preconditioning conjugate gradient pursuit(PCGP) algorithms. The simulation results prove that GP-KSVD has the minimum computer running time and the highest reconstruction precision, and the measurement verification proves the universality of the algorithm. This algorithm can be applied to response signal preprocessing, which provides theoretical basis for circuitry system equipment performance evaluation analysis.

Quantified effects of high-altitude wind on route performance of large passenger plane
HUANG Chengtao, WANG Lixin, ZHONG Bowen
2017, 43(7): 1348-1354. doi: 10.13700/j.bh.1001-5965.2016.0542
Abstract:

High-altitude wind affects the fuel consumption and flight time of large passenger plane route flight. This paper is aimed at proposing a method to calculate the route performance of aircraft in high-altitude wind, and analyzing the effects of high-altitude wind on route performance of large passenger plane. A flight simulation model of aircraft in the wind was established. A pilot modeling method for aircraft route flight was proposed. Based on the "pilot-aircraft" closed-loop digital virtual flight simulation, a method to calculate the route performance of aircraft in high-altitude wind was proposed. The fuel consumption, flight time and flight distance of the example aircraft under the typical route were calculated and analyzed. The study shows that, in the same flight distance, the fuel consumption and flight time of the plane are reduced by the tailwind and increased by the headwind. Due to the effects of high-altitude wind, the fuel consumption and flight time can be big difference in some round-trip route. In some long-distance route, due to the effects of high-altitude wind, in order to meet the maximum takeoff weight limit, the payload should be reduced to load more fuel, so as to reach the terminal airport.

A calculation method for power supply capability of spacecraft solar array
LI Tao, LI Wei, YANG Lei
2017, 43(7): 1355-1363. doi: 10.13700/j.bh.1001-5965.2016.0600
Abstract:

The solar array supplies power to spacecraft. Thus, it is important to predict power supply capability for spacecraft design and certification of on-orbit flight operation, and a calculation method for power supply capability of spacecraft solar array is proposed. The current versus voltage model of photovoltaic cell under standard test condition (STC) was developed using a group of ground test data, and then the parameters of the model such as photon current, cell series resistance, and cell shunt resistance were adapted to on-orbit irradiation intensity, temperature and shadow. According to Kirchhoff law, the outputs of photovoltaic cell working voltage, current, bypass diodes and block diodes in solar array were obtained, and the model of photovoltaic array was built. Simulation was performed for a typical spacecraft. Results show that this method is applicable to photovoltaic array power capability analysis under arbitrary irradiation intensity, temperature and shadow pattern, the influence of bypass diode and block diode in the solar array is analyzed accurately, and calculation accuracy is improved by 20% compared to traditional method.

Visual object tracking based on objectness measure with multiple instance learning
HUA Weixin, MU Dejun, GUO Dawei, LIU Hang
2017, 43(7): 1364-1372. doi: 10.13700/j.bh.1001-5965.2016.0527
Abstract:

For the problems that the multiple instance learning (MIL) tracking algorithm does not distinguish the differences of each sample when computing the bag probability and selects the weak classifiers by maximizing the log likelihood function, which reduce the performance of classifier and increase the complexity of the algorithm, this paper proposes a tracking algorithm based on objectness weighted multiple instance learning. First, the importance of each sample is measured by the objectness, which is also used to assign the weight for each instance. Then the weighted value is utilized for computing the final bag probability. In the phase of weak classifier selection, a maximized inner product between weak classifier and log likelihood function is adopted to select weak classifiers from weak classifier pool, and then these weak classifiers are combined into a strong classifier. All these strategies are beneficial for improving the tracking accuracy and reducing the computational complexity. By tracking the video sequences under different complex scenes, experimental results show that the proposed algorithm has strong robustness and high tracking accuracy compared with competing method.

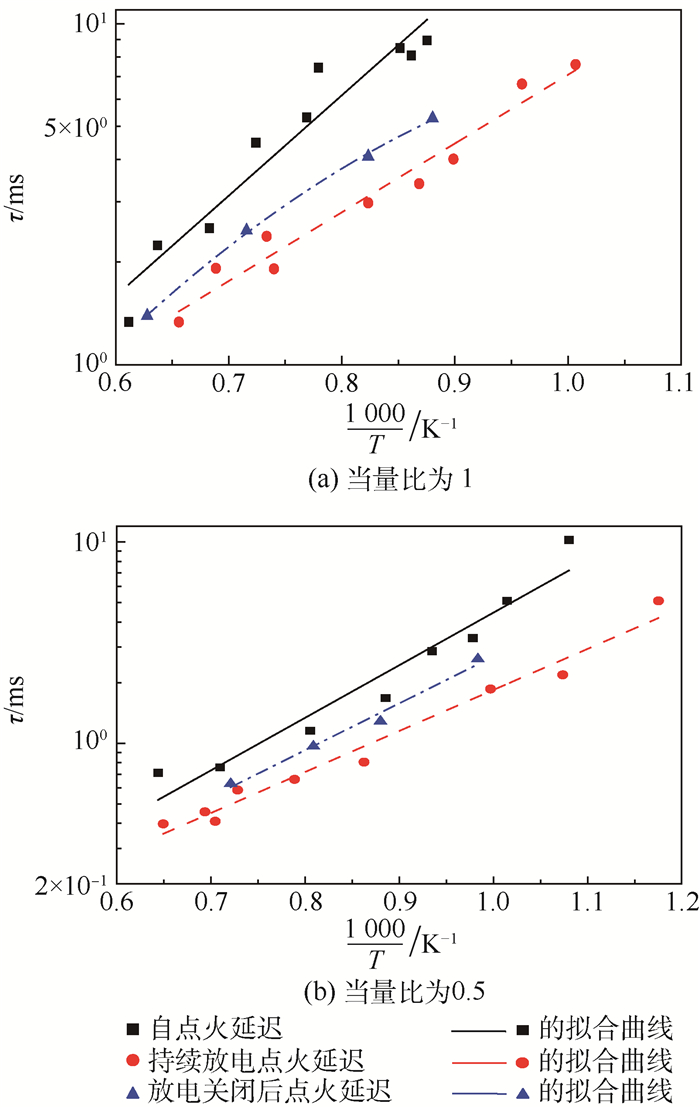
Plasma assisted methane ignition under different diluent gas
SHEN Shuangyan, JIN Xing, DENG Tongye
2017, 43(7): 1373-1379. doi: 10.13700/j.bh.1001-5965.2016.0544
Abstract:

Plasma could increase chemical and heat effect at the same time during the fuel reaction and it is expected to be an effective technical way of ignition assistance. Plasma assisted methane ignition experiment system was built based on shock tube. The methane ignition delay time of autoignition, under continuous discharge and when discharge is cut down was measured. The plasma's effect to shorten methane ignition delay under different diluent gas was analyzed. The plasma emission spectrum measurement system was built and the emission spectrum in discharge unit was measured. The active particle concentration is higher with higher ignition temperature under experimental condition. The methane ignition delay time could be shortened by 30% to 95% by a little discharge power ( < 4 W). The shortening effect of plasma is better when the ignition temperature is lower than 1 000 K or higher than 1 400 K with the diluent gas Ar. The shortening effect of plasma decreases with the increase of ignition temperature with the diluent gas N2.

Exit burr in rotary ultrasonic-assisted drilling of titanium alloys
LI Zhe, ZHANG Deyuan, JIANG Xinggang
2017, 43(7): 1380-1386. doi: 10.13700/j.bh.1001-5965.2016.0556
Abstract:

In aerospace industries, to solve the problem of big exit burr which leads to the difficulty in deburring operations and poor assembly quality of fastener after the traditional drilling process of the difficult-to-cut materials like titanium alloys using a twist drill, the rotary ultrasonic-assisted drilling (RUAD) technology of titanium alloys based on a novel tool (i.e., 8-facet drill) was proposed. The principles of RUAD process and motion trajectory of tool cutter tooth in RUAD were analyzed. And then, the drilling experiments were performed with a designed RUAD spindle unit, CA6140 lathe, measurement system of thrust force, measurement system of cutting temperature, high-speed video camera system and non-contact laser measurement system, and the type and size of exit burr were studied. In contrast to the common drilling (CD) of titanium alloys, the mechanisms of small or low burr height generated in RUAD were discussed and analyzed, and the theory models of burr formation mechanisms in CD and RUAD were obtained based on the high-speed camera images of burr formation and principle analysis of RUAD. The experimental results indicate that compared with CD, in RUAD process, the thrust force, maximum cutting temperature near the drilled hole exit and burr height of hole exit decrease by 16.79%-20.2%, 18.54%-21.68% and 82.27%-89.18% respectively, which greatly reduces the troubles and manufacturing costs of deburring operations and improves the production process.

Micro-motion classification of spatial cone target based on micro-Doppler
SHU Changyong, ZHANG Shengjun, HUANG Peilin, JI Jinzu
2017, 43(7): 1387-1394. doi: 10.13700/j.bh.1001-5965.2016.0500
Abstract:

There are many kinds of micro-motion in the spatial cone target in flight, which can be divided into nutation, precession and spinning. Accurate acquisition of the target's micro-motion form is the premise for the estimation of the micro-motion and the structural parameters of the ballistic target. First, the micro-Doppler distribution characteristics and the spectrum distribution characteristics of the cone target's cone node and cone bottom slip-type scattering source under the three micro-motions are analyzed, and it is found out that the micro-Doppler of spinning cone target's scattering source is 0 Hz, the micro-Doppler spectrum's peak value of nutation cone target's arbitrary scattering source is non-equidistantly distributed, and the micro-Doppler spectrum's peak value of precession cone target's arbitrary scattering source is equidistantly distributed. Base on this, the paper proposes the classification method, which recognizes the spinning cone target by the threshold of micro-Doppler and recognizes the nutation or precession cone target by judging whether micro-Doppler spectrum's peak value is equidistantly distributed or non-equidistantly distributed. Finally, the validity of the classification method is illustrated by simulation, which can provide reference for the micro-motion classification of spatial cone target.

Deformation behavior of a bent tube based on free expansion
KONG Deshuai, LANG Lihui, RUAN Shangwen
2017, 43(7): 1395-1402. doi: 10.13700/j.bh.1001-5965.2016.0525
Abstract:

As the development of lightweight design in manufacture industry, the application of thin-walled bent hollow tubes with various sections is expanding widely. In order to study the deformation behavior of bent tubes during hydroforming process and have a reliable process design, a theoretical model of free-expansion bent tubes based on membrane theory and plastic theory was put forward, and the model was verified by finite element (FE) analysis. The FE analysis results show good agreement with the theoretical model. The stresses distribution and deformation behavior were revealed. Finally, the work-hardening behavior during rotary draw bending was analyzed, and meanwhile, the fracture site of pre-bent tubes with different work-hardening states during free-expansion process was explored. The experimental results show good agreement with the FE analysis results.

Reliability modeling method for security & protection system of a key area
ZHA Guoqing, XU Yani, KANG Rui
2017, 43(7): 1403-1409. doi: 10.13700/j.bh.1001-5965.2016.0905
Abstract:

In order to evaluate the reliability of a security system in the key area, security system reliability of a key area is defined in this paper firstly. Failure distributions of security devices are acquired after the test and estimation of security devices' failure information by exponential distribution. Besides, the functions of subareas and devices are analyzed, and backup relations and reliability relations among areas, subareas and devices are described. Then reliability block diagram model of security systems, subareas and devices is built and the reliability of security systems in key area is calculated by series-parallel reliability block diagram method. Finally, a practical example is presented to indicate the computational simplicity and verify the efficiency of the model to acquire security system reliability of a key area.

Separation flow and blade dynamic response characteristic of compressor at high attack angle
NI Qifeng, HOU Anping, LIU Ruoyang, ZHOU Baihao, ZHANG Mingming
2017, 43(7): 1410-1418. doi: 10.13700/j.bh.1001-5965.2016.0912
Abstract:

In order to study the shedding and propagation of compressor rotors at high angle of attack, as well as the dynamic response under this transient process, a model with a stage of transonic compressor was simulated with unsteady numerical method and double direction iteration fluid-structure coupled numerical method. The results show that under near-stall condition, the separation regions at suction side move and shed periodically along axial and circumferential directions. The axial separation may influence the flow field and vibration performance of downstream blade rows, while the circumferential separation can impact the adjacent rotor blade, with an excitation brought on rotor row itself and an influence on the pressure distribution of rotor blades. Furthermore, the circumferential separation may cause violent dynamic response which could threaten the structural strength of rotor blades. Unsteady/FSI simulation technology has the ability to forecast frequencies, amplitudes and locations of the excitation sources in flow field. This kind of work should be emphasized during design procedure to assess the resonance and dynamic response of compressor blades.

Immune SVM used in wear fault diagnosis of aircraft engine
ZHANG Jian, LI Yanjun, CAO Yuyuan, ZHANG Lina
2017, 43(7): 1419-1425. doi: 10.13700/j.bh.1001-5965.2016.0553
Abstract:

Aircraft engine is wearing during its service life and will finally break down. The wear fault can be diagnosed by analyzing the ferrography data of oil monitoring. The use of immune algorithm optimized support vector machine (SVM) in aircraft engine wear fault diagnosis was researched in this paper. First, the process and algorithm of SVM and immune algorithm were summarized. Then, the optimization of SVM's penalty factor, slack variable and kernel function parameters by immune algorithm was researched. The verification results of an engine's oil ferrography analysis data and adding noise data show that the method can effectively diagnose the aircraft engine wear fault and has good robustness. Finally, the impact of kernel function, multi-classification decision method, initial population size, affinity calculation formula, optimization algorithm and normalization method on diagnosis accuracy was analyzed, and the best algorithm was achieved.

A collaborative localization algorithm based on non-line-of-sight error compensation
ZHANG Ran, SONG Lailiang, RAN Longjun
2017, 43(7): 1426-1432. doi: 10.13700/j.bh.1001-5965.2016.0557
Abstract:

The non-line-of-sight (NLOS) error has great influence on the positioning accuracy of the ultra-wideband (UWB) indoor positioning technology. Aimed at this problem, this paper estimates the mean and variance of NLOS according to the joint statistical properties of the additional time delay in NLOS and the root mean square delay spread decided by the channel, modifies the measurements of the localization algorithm and the covariance of the systematic measurement error, and uses a collaborative localization algorithm, which combines the particle swarm optimization algorithm with time-varying weight and Chan algorithm and has a favorable ability of global search and local search for optimal solutions. The simulation result shows that the collaborative algorithm improves the positioning accuracy by about 30%, compared to a single algorithm. It, to a certain extent, inhibits the effect of NLOS error, and meets the requirements of indoor location.

Metal structure crack monitoring based on copper film sensor in corrosion environment
TAN Xiangfei, HE Yuting, HOU Bo, CUI Ronghong, FENG Yu
2017, 43(7): 1433-1441. doi: 10.13700/j.bh.1001-5965.2016.0534
Abstract:

In the process of monitoring aircraft metal structure crack, copper film sensor is exposed to atmospheric corrosion environment. The corrosion resistance of copper film sensor and crack monitoring performance after corrosion experiment were researched under the background. First, copper films were deposited by pulsed bias arc ion plating technique at difference levels of current and negative substrate bias. The corrosion resistance was researched. The result shows that the optimal corrosion resistance of copper film was deposited at level of current 60 A and negative substrate bias 250 V. Then, a concentric ring copper film sensor array was deposited on 2A12-T4 aluminum alloy using the optimal depositing parameter. A salt-spray environment experiment was carried out. Finally, a fatigue crack monitoring experiment was carried out using the copper film sensor which was exposed in corrosion environment. The results show that the copper film sensor has good corrosion resistance. The corrosion resistance time reaches 1 000 h. The copper film sensor is very sensitive to fatigue crack and can realize quantitative monitoring with the accuracy of 1 mm. Besides, the monitoring results are repeatable.

End-to-end traffic latency computation using frame shaping model in AVB network
LI Ershuai, HE Feng, XIONG Huagang
2017, 43(7): 1442-1449. doi: 10.13700/j.bh.1001-5965.2016.0539
Abstract:

Audio video bridging (AVB) Ethernet is an available Ethernet-based solution for audio and video stream transmissions within embedded networking context, in which credit-based shaping (CBS) algorithm is defined to guarantee the end-to-end latency performance according to stream models. When considering the discrete characteristics of frame queuing and scheduling behavior in an actual networking scenario, an improved frame model CBS was proposed to replace the stream model CBS algorithm. According to this new model, the worst-case transmission latency was deduced by eliminating non-schedulable traffic in the network. A representative in-vehicle application scenario was established to verify the end-to-end latency performance of the frame model CBS. The results indicate that the frame model CBS can obtain a better end-to-end latency evaluation than the stream model CBS. Especially, the tightness of frame model CBS is clearer for the lower priority AVB traffics within the whole AVB networks.

Close-range air combat situation assessment using deep belief network
ZHANG Binchao, KOU Yanan, WU Meng, ZUO Jialiang
2017, 43(7): 1450-1459. doi: 10.13700/j.bh.1001-5965.2016.0956
Abstract:

Considering the difficulty in parameter setting, weakness of traditional situation assessment methods in processing and feature extraction of big data, feature of air combat data, applications of deep belief network (DBN) to close-range air combat situation assessment are discussed. A sample library of combat situation was constructed. The data were clustered using density peaks algorithm, and the results were revised by specialists of air combat and traditional functions. Then the model of deep belief network was constructed. According to the standard of test and reconstruction error, the network topology structure and optimal parameters were determined. The model was trained by the data from the sample library. Experimental results show that the model's situation classification accuracy reaches to 92.7%, and its running time meets the application requirements. Analysis of the practical example verified the feasibility of the DBN model.

Uncertainty analysis of failure of dynamic system and its efficient algorithm
GONG Xiangrui, LYU Zhenzhou, LIU Hui, ZHOU Yicheng
2017, 43(7): 1460-1469. doi: 10.13700/j.bh.1001-5965.2016.0533
Abstract:

In order to study the failure of dynamic system when the failure rates of components are uncertain, a new method is proposed to analyze the system failure probability when function time is given and function time when the threshold of failure probability is shown in system. Meanwhile, a new importance measure technique is developed to estimate the impact of components' failure rates on system failure probability and function time in dynamic system. In this paper, the Monte Carlo procedure is given to solve the proposed indices. The fractional moments-based maximum entropy method is used to obtain failure probability density function in system efficiently. An efficient technique with multiplication dimensionality reduction is developed to estimate two importance measure indices. Valve control system and civil aircraft electro-hydraulic actuator system are presented to illustrate the rationality and efficiency of the proposed method.

Model validation method with multivariate output based on kernel principal component analysis
HU Jiarui, LYU Zhenzhou
2017, 43(7): 1470-1480. doi: 10.13700/j.bh.1001-5965.2016.0519
Abstract:

At present, for the multiple correlated complex computational models with uncertainty, the traditional validation methods still have some problems, such as difficult calculation and poor stability.Aimed at such complex computational models, a new multivariate model validation method is proposed based on kernel principal component analysis (KPCA). By combining the KPCA with the idea of area metric, the proposed method constructs a new model validation metric which is easy to be calculated and has high stability. In proposed method, the correlated multivariate output variables are transformed into uncorrelated kernel principal component by the KPCA, and then for each kernel principal component, the computational model is compared with the experiment. Thus this method avoids the difficulties of solving the joint cumulative distribution function of multivariate output in the traditional methods. Because the KPCA can effectively extract the nonlinear characteristic of the analyzed model, the multivariate output model validation method based on the KPCA is more robust than that based on the principal component analysis (PCA). Under the same experiment sample data, the method based on the KPCA has a lower error rate than that based on PCA. Furthermore, by extracting the kernel principal component, dimensionality reduction of the multivariate output can be implemented; thereby the complexity of the multivariate output validation can also be reduced. The proposed method can be applied not only to the general multivariate output model validation, but also to the model validation with multiple validation sites. Finally, the correctness and effectiveness of the proposed method are demonstrated by the numerical and engineering examples.

Path following method with adaptive guidance length for unmanned aerial vehicles
LI Yue, CHEN Qingyang, HOU Zhongxi
2017, 43(7): 1481-1490. doi: 10.13700/j.bh.1001-5965.2016.0522
Abstract:

To guarantee the flight stability and high accuracy of path following for unmanned aerial vehicles (UAVs), a nonlinear path following method with adaptive guidance length is proposed. First, the kinematic model of UAVs was built. Second, the relation between guidance length and velocity of UAVs was found according to the theoretical analysis and flight experiments of nonlinear guidance law. Then the theory and detailed realization process of the adaptive guidance length method was discussed. Finally, simulation in various situations was carried out to verify the effectiveness of the proposed method. The simulation results show that the proposed method is able to track complex trajectory accurately, even with large initial cross track error or during waypoint switching process. It can satisfy the requirement of actual flight missions.

Study of supersonic flow field control mechanism with micro jet
LIU Pingchao, LIU Yanming, CHEN Sicheng, QIN Yang
2017, 43(7): 1491-1500. doi: 10.13700/j.bh.1001-5965.2016.0515
Abstract:

An numerical investigation was conducted to study the influence of micro jet with different total injection pressure on the supersonic flow field (Ma=2.9) for a 24° compression corner. The ejecting direction is vertical to incoming flow. The results show that the velocity of the fluid downstream the micro jet decreases due to the obstruction of micro jet, and then the decrease can weaken the separation shock intensity. In addition, high-energy fluid is brought into the bottom of the boundary layer near the wall to activate it to be fuller with the downwash effect of counter-rotating vortex pair generated by coupling of micro jet and mainstream, which leads to the stronger ability of resisting adverse pressure and the separation of the boundary layer. The activation ability enhances with the increase of total injection pressure. Weighing the control result and injection power, we think the scheme is the best when the total injection pressure ratio (total injection pressure/total freestream pressure) is 0.60. The boundary layer separation area is restrained by nearly 70%, the distance of the intersection point of λ shock wave and the wall is reduced by almost 37%, and the separation shock intensity is weakened by nearly 12% under this scheme.