2017 Vol. 43, No. 9

Display Method:
Volume 43 Issue92017
iconDownload (48032) 987 iconPreview
Resilience-based component importance and recovery strategy for system-of-systems
PAN Xing, JIANG Zhuo, YANG Yanjing
2017, 43(9): 1713-1720. doi: 10.13700/j.bh.1001-5965.2016.0727
Abstract:

System-of-systems (SoS) is always under the influence of both intra and extra disruptive events. SoS architecture is the foundation of SoS design and construction, whose resilience is not only an significant indicator to reflect the ability to recover from disruptions, but also an important embodiment of evolution of SoS. Based on resilience, an effective SoS architecture evaluation method was proposed to conduct component importance measures (CIMs). In the method, the resilience of SoS architecture was defined in detail, relevant mathematical models were built, and influence of performance loss and recovery time on component importance were comprehensively weighed. Then, according to analysis of various disruptive events and recovery strategy, an optimized model for SoS resilience based on CIMs was proposed, and the optimized result of the proposed model on recovery capability of SoS was mainly analyzed. Finally, an example of evaluating resilience of SoS was introduced to validate the availability of the proposed model and method, and the final result shows that the optimized recovery strategy contributes to improving the recovery efficiency of SoS greatly.

Research on transient evolvement and modeling method of cavity with rotating orifices
DING Shuiting, PU Junyu, QIU Tian, YU Hang
2017, 43(9): 1721-1731. doi: 10.13700/j.bh.1001-5965.2016.0689
Abstract:

Rotating orifices and cavity are important parts of the air system of gas turbine engine, and their transient response might induce dangerous instantaneous transient load. To investigate the transient evolvement of the cavity with rotating orifices, a CFD model of the cavity with rotating orifices was built to research the cavity in front of the rotating orifices. Based on the steady flow characteristic of the rotating orifices, a transient one-dimensional model was built to simulate the transient process. The comparison of the results between the one-dimensional model and the CFD model shows that the former can conduct the transient process simulation satisfactorily and satisfy the elementary engineering needs. Finally, the analysis of the reason for the result errors of one-dimensional model is presented in this paper.

Frequent reset suppression algorithm of digital phase ramp in fiber optic gyroscope
SONG Ningfang, LIU Pengcheng, PAN Xiong, WANG Xiaxiao, ZHANG Shaobo
2017, 43(9): 1732-1737. doi: 10.13700/j.bh.1001-5965.2016.0662
Abstract:

In view of the problem that the digital phase ramp in fiber optic gyroscope resets frequently at the small angular velocity measurement, the reset phase error is modeled under the condition of the gain drift of the modulation chain. Then the mechanism and condition are analyzed for the frequent reset of the digital phase ramp. It is proved that the frequent reset is one of the factors generating the dead band. A hysteresis reset algorithm of the digital ramp is proposed, which has the similar characteristics with the Schmitt trigger. The algorithm suppresses the frequent reset and resulting dead band by means of separating the positive and negative ramp accumulation interval. The experimental results show that the hysteresis reset algorithm can decrease the dead band from three times to one time measurement noise when the modulation gain lessens by 1%.

Adaptive grasping strategy of robot based on Gaussian process
CHEN Youdong, GUO Jiaxin, TAO Yong
2017, 43(9): 1738-1745. doi: 10.13700/j.bh.1001-5965.2016.0660
Abstract:

When robot grasps an object, the pose of the object maybe change frequently. In order to make the robot adapt to the change of the pose of the object in the process of motion, an adaptive grasping strategy of robot based on Gaussian process was proposed. The proposed method maps the observation variables to the joint angles, which makes robot learn from samples and eliminates the calibration process of robot vision system and the robot inverse kinematics computation. First, the robot was dragged to grasp object. The observation variables of object and corresponding robot joint angles were recorded. Second, Gaussian process model was trained with the recorded samples, which correlates the observation variables and joint angles. Finally, after new observation variables were acquired, joint angles for grasping operation can be obtained by the trained Gaussian process model. The experiments show that UR3 robot can successfully grasp objects after training.

A multi-stage approach based on interactive clues driven for design pattern identification
XIAO Zhuoyu, HE Pei, YU Bo
2017, 43(9): 1746-1756. doi: 10.13700/j.bh.1001-5965.2016.0750
Abstract:

Aimed at inaccuracy and difficulty to extend the traditional design pattern automatic detection method, and in order to improve the accuracy of the design pattern instance recovery, an interactive clue-driven approach for design pattern detection was presented. Concept of clue was introduced based on the constraint satisfaction problem (CSP) of traditional design pattern detection, and expert experience feedback mechanism was proposed by investigation. The significant clues were converted into the information based on CSP in the refining stage, the clues were classified by information characteristics, and the clues were added in design pattern detection process until the candidate sets of design pattern instance were produced. Experimental results show that the proposed method can gradually reduce the false negative results and the false positive results of design pattern detection instance, and further more, the novel method can solve design pattern overlap problem. Compared to the F-score index of other well-known algorithms, the proposed method shows better detection effect.

Characteristics of atmospheric density at 38°N in near space and its modeling technique
XIAO Cunying, HU Xiong, YANG Junfeng, YAN Zhaoai, LIU Tao, CHENG Xuan
2017, 43(9): 1757-1765. doi: 10.13700/j.bh.1001-5965.2016.0735
Abstract:

The environment of near space atmosphere is very complex. Its spatial and temporal changes are hard to be characterized and modeled. With 11 years of TIMED/SABER atmospheric density data, the climate means and standard deviations at 38°N in 20-100 km were obtained by the method of global gridding and mathematical statistics. Quantitative results were used to represent and analyze the characteristics of static slow climate changes and dynamic transient atmospheric disturbances. The results show that the atmospheric density at 38°N varies remarkably with altitude, seasons and longitude. A modeling method was set up, where the atmospheric density in near space can be represented as the sum of the climate means and atmospheric disturbances. A self-regression model was established for the atmospheric random disturbances. Model simulations were taken and compared with the lidar-observed density data, showing that the modeling method is feasible.

Sputtering model of SiO2 for low energy Ar+ and Xe+ bombardment
ZHANG Jianhua, XIA Yong, DING Li, SHANG Shengfei
2017, 43(9): 1766-1772. doi: 10.13700/j.bh.1001-5965.2016.0744
Abstract:

In order to obtain the more accurate sputtering model of SiO2 for bombardment with low energy Ar+ and Xe+, three existing models, Pencil model, Bach model and Seah model, were investigated and the deficiencies were analyzed. On the basis of Seah model, the sputtering parameters and surface binding energy were calculated by equivalent atomic method. Meanwhile, a new calculation method of sputtering threshold was applied to form a new advanced model. Combined with the experimental data of SiO2 for bombardment at normal incidence with Ar+ and Xe+, the calculation results of the four models were contrastively analyzed. The results show that, for both Ar+ and Xe+ bombardment, the root mean square error of the new advanced model is the smallest and the goodness of fit is the largest, which means the new advanced model is better than other three models. Under the low energy condition, the new advanced model can calculate the sputtering yield of SiO2 bombarded by Ar+ and Xe+ more accurately.

Multi-classification spacecraft electrical signal identification method based on random forest
LAN Wei, JIA Suling, SONG Shimin, LI Ke
2017, 43(9): 1773-1778. doi: 10.13700/j.bh.1001-5965.2016.0661
Abstract:

The spacecraft electrical signal characteristic data have problems such as large amount, high-dimensional features, high computational complexity and low identification rate. The feature extraction method of principal component analysis (PCA) and random forest (RF) algorithm was proposed to reduce the dimensionality of the original data, improve the computational efficiency and identification rate, and achieve rapid and accurate identification of spacecraft electrical signal data. The random forest algorithm has superior performance in dealing with high-dimensional data. However, considering the time complexity, the method of PCA was used to compress the data and reduce the dimension in order to ensure the accuracy of the classification and improve the computational efficiency. The experimental results show that compared with other algorithms, the proposed method shows excellent performance in accuracy, computational efficiency, and stability when dealing with spacecraft electrical signal data.

Performance simulation of a 76 km simulated high-altitude test system for liquid attitude-control engines
WEI Qiang, LIANG Guozhu
2017, 43(9): 1779-1788. doi: 10.13700/j.bh.1001-5965.2016.0754
Abstract:

To study the performance of a 76 km high-altitude test system for attitude-control liquid rocket engines, a transient test system simulation model with lumped parameters was built, which considers the phase change of the exhaust. The system model consists of a vacuum pumping sub-model, a liquid nitrogen flow sub-model and a condensing pipe sub-model. The sub-models were coupled through the heat and mass transfer process between the gas, frost and liquid nitrogen. The system working parameters during the steady and the pulsed tests of a bipropellant nitrogen-tetroxide/mono-methylhydrazine attitude-control engine were calculated, and effects of the important system design parameters on working performance were explored. The results show that the current test system could provide environment for the engine pulse tests and 6×104 s steady tests with a maximum propellant flow rate of 6.4 g/s (trust is about 16.5 N); in long-term test, the frost on the surface of condensing pipes will get saturated and lose the ability to absorb carbon dioxide and water vapor, leading to the gradually increase of the vacuum tank pressure; during the engine pulsed test, the vacuum tank pressure will fluctuate with the pulses, up to about 70% in the 15 ms pulse case. The conclusion of the study could be a guide in the design and upgrade of the high-altitude test system for the liquid attitude-control engines.

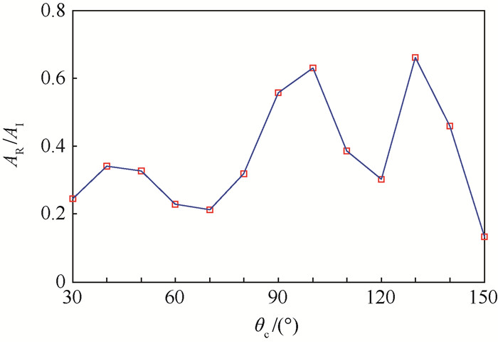
Research on deception jammer against monopulse radar based on compressed sensing
WANG Caiyun, HE Zhiyong, GONG Jun
2017, 43(9): 1789-1797. doi: 10.13700/j.bh.1001-5965.2016.0723
Abstract:

Deceptive jamming is a common radar jamming technology. This paper presents a novel deception jammer against monopulse radar. First, the characteristics of angle deceptive signal is analyzed. Then, according to energy aggregation properties of the linear frequency modulation (LFM) signal in fractional domain, a digital radio frequency memory (DRFM) under compressed sensing (CS) framework is proposed in order to generate angle deceptive jamming signal. In order to achieve effective jamming against the monopulse radar tracking system, the angle pull-off jamming and glint jamming achieving method is considered by controlling the power of jamming signal. Simulation results show that origin signal can be recovered with the proposed method very well, and the jammer can achieve a stable angle pull-off and blink jamming.

Synchronization optimization method of adaptive frequency-locked loop without DC component interference
LIU Yuzhi, ZHANG Xinyu, BIAN Jianpeng, HU Liqiang
2017, 43(9): 1798-1804. doi: 10.13700/j.bh.1001-5965.2016.0672
Abstract:

Grid synchronization is one of the key technologies to improve the fault ride-through capability for grid-connected converter. To achieve fast and accurate phase or frequency tracking under unbalanced grid voltage, a kind of improved first-order generalized integrator based on frequency-locked loop (FOGI-FLL) method is put forward. A mathematical model of grid-connected converter is established. Its separation principle of positive and negative sequences under unbalanced grid is also analyzed. The separation structure of fundamental negative and positive sequence components is simplified. Its core module configuration of FOGI is discussed. Integral compensation function which can eliminate the interference of DC components for FLL tracking is parallelly added to the basic structure of FOGI filter. Finally, the proposed method is verified by contrast simulation under unbalanced grid voltage with DC components. Simulation results present that the proposed method is capable of achieving better performance for synchronization under unbalanced grid voltage.

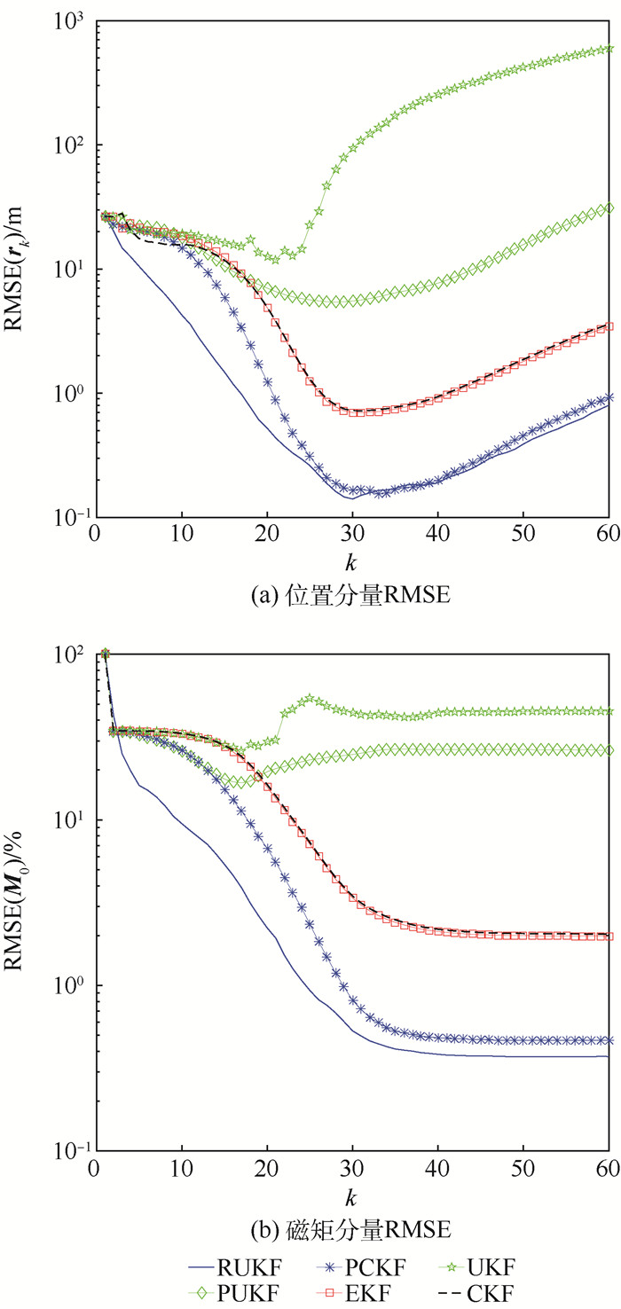
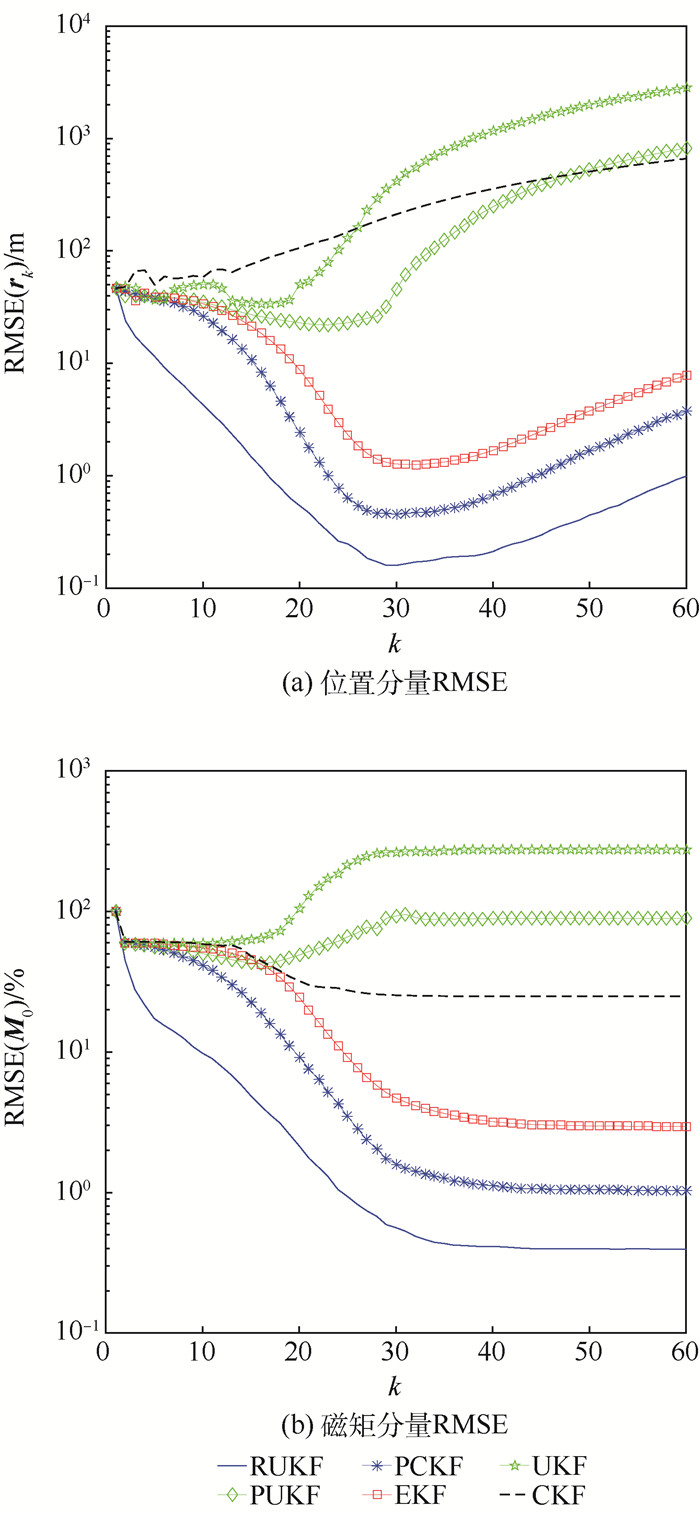
Magnetic dipole target tracking based on recursive update Kalman filter
WU Yuanfu, SUN Yue
2017, 43(9): 1805-1812. doi: 10.13700/j.bh.1001-5965.2016.0694
Abstract:

The magnetic target tracking problem is addressed in this paper by establishing the discrete state-space model on the basis of the equivalent magnetic dipole model in order to formulate the real-time magnetic dipole target tracking problem as filtering estimation problem of state-space model. Then a novel filtering approach with the recursive update process is proposed to address the divergence problem of magnetic target tracking under large prior error condition when using present Kalman-type filters. The one-step measurement update is replaced by recursive update process; hence the large nonlinearized error caused by large prior error is reduced in each recursive step. The proposed algorithm is tested by simulation and real-world magnetic data. Both results validate the superior performance in comparison with present filters in terms of accuracy and convergence, and the capacity to suppress the divergence problem caused by large prior error in magnetic dipole target tracking.

Trajectory tracking method based on predictive control in virtual domain
FAN Yu, YAN Liang, ZHU Wuxuan, BAI Guangzhou
2017, 43(9): 1813-1823. doi: 10.13700/j.bh.1001-5965.2016.0751
Abstract:

A trajectory tracking method based on predictive control in the virtual domain is proposed for the algorithm of online real-time trajectory planning. The method uses polynomial approximate system model and introduces virtual path and inverse dynamics to convert time domain into virtual domain. Its advantage is that the decoupling effect is good and it takes less compute time than the control method of approximate model in the time domain. Through inverse dynamics, the import configuration of nonlinear programming ensures the continuous controls, which cannot be guaranteed by the nonlinear predictive control of traditional soft constraint method. In the background of intercepting ballistic missiles, simulation verification is carried out under the condition of initial minor disturbances and terminal condition change. The simulation results demonstrate that, compared with nonlinear feedback tracking method, the curve is smooth, the miss distance, pitch angle error and yaw angle error are small, and instantaneity can meet the control requirements.

Influence on surface performance of 2024-T3 aluminum alloy processed with oxidising paste
ZHANG Qi, LI Weiping, WANG Xinkun, FENG Jianbo, LIU Huicong, ZHU Liqun
2017, 43(9): 1824-1831. doi: 10.13700/j.bh.1001-5965.2016.0728
Abstract:

Oxidising paste was prepared for in-situ local oxidation treatment of coatings on aluminum alloy skin surface and its film-forming performance on 2024-T3 aluminum alloy was studied. Morphology and chemical composition, corrosion resistance, and adhesive performance of the oxidation film were investigated by SEM, EDS, stereomicroscope, drop test, electrochemistry test, contact angle and tension loading method. The results show that oxidation film can be obtained rapidly on aluminum alloy surface after treated by oxidising paste, and the film has microscopic pore structure, including Al, F, Cr, O, etc. Corrosion resistance of the film is similar to that gained by Alodine solution. Compared to the bare sample, corrosion potential increases from -0.898 V to -0.880 V, corrosion current density decreases from 2.582×10-5 A/cm2 to 3.334×10-7 A/cm2, and impedance improves from 1.556×103 Ω/cm2 to 1.347×105 Ω/cm2. Surface free energy and the work of adhesion rise from 32.7 mJ/cm2 and 36.3 mJ to 55.7 mJ/cm2 and 109.7 mJ, respectively. Strength properties of adhesive in shear is promoted from 11.7 MPa to 15.0 MPa. The results indicate that morphology and chemical composition of the oxidation film can enhance interface bonding strength and adhesive performance.

Multi-fault fuzzy diagnosis for complicated system based on grey theory
ZHANG Tao, WANG Jinbo, WANG Jianmin
2017, 43(9): 1832-1840. doi: 10.13700/j.bh.1001-5965.2016.0703
Abstract:

The failure probability is usually hard to collect for complicated systems in aerospace or nuclear power, which makes fault diagnosis based on Bayesian model inapplicable. By surveying this problem in test space, a novel multi-fault fuzzy diagnosis method based on dependency matrix and grey theory was proposed. A fault-testing dependency matrix was described first, and the fault alarm probability matrix with interest priority was developed. By calculating grey correlation degrees between test vectors and fault feature vectors, suspect faults can be located. Experimental results show that the proposed method can support diagnosis parameters' adjustment and report interested faults first, and the diagnosis conclusion has suitable accuracy, which can meet the practical demand.

Ship object detection in remote sensing images using convolutional neural networks
HUANG Jie, JIANG Zhiguo, ZHANG Haopeng, YAO Yuan
2017, 43(9): 1841-1848. doi: 10.13700/j.bh.1001-5965.2016.0755
Abstract:

Object detection in remote sensing images is mostly suffered from complex background and multiple interferences of environment. In this paper, a new method of ship detection is proposed, which combines convolutional neural networks (CNN) and support vector machine (SVM) to complete the ship detection task. Convolutional layers were adopted for feature extraction, taking advantages of independent feature extraction of CNNs and avoiding the process of complicated feature selection and extraction, which leads to better detection performance in complex background images. Meanwhile, since the samples of warship are difficult to acquire, samples of civil ship were employed as assistant samples for warship detection based on transfer learning theory. And this transfer learning method is proved to be effective by the experimental results, which performs better than the model trained only with warship samples. According to the parameter tuning and experimental validation, this method achieves a precision of 90.59% on testing dataset established by ourselves. In conclusion, this method possesses feasibility and robustness under different conditions of illumination and environment.

Control characteristics analysis of split rudder of elastic forward swept wing
MA Binlin, SU Xinbing, FENG Haoyang, WANG Ning, ZHANG Yaguang
2017, 43(9): 1849-1858. doi: 10.13700/j.bh.1001-5965.2017.0142
Abstract:

Aimed at the influence of elastic deformation on the control characteristics of split rudder for the forward swept wing (FSW) aircraft, the computational fluid dynamics/computational structural dynamics (CFD/CSD) loose coupling static aeroelastic numerical calculation method was adopted. The calculation and analysis on control characteristics of the split rudder with rigid and elastic wings were performed under the subsonic condition. The simulation had highlighted the influence of wing deformation on the control characteristics of the rudder. The calculation result shows that, when the right side split rudder opens, compared with rigid wing, the stall attack angle of the elastic wing advances about 2°, the attack angle of maximum lift-drag ratio advances about 1°, the yaw effect at small attack angle is enhanced, the "pits" phenomenon of right-roll moment and roll moment appears, and the trend of yaw at high angle of attack advances about 8° with more violent roll action; under the influence of sideslip, the decrease extent of the yawing moment with the increase of sideslip angle is larger than that of the rigid wing, and the roll moment has completely opposite result; under the action of down moment proving by rudder, the increase extent of the yawing moment with the increase of sideslip angle is larger than that of the rigid wing. By comparison, the control characteristics of split rudder for the elastic FSW have a distinct difference with rigid FSW.

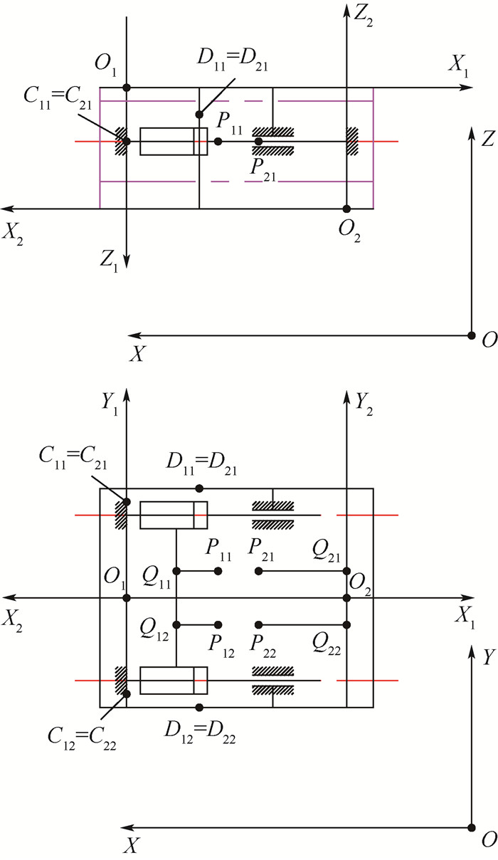
Precise docking technology in full-automatic quick hitch coupling device
TANG Zhidong, YUN Chao
2017, 43(9): 1859-1872. doi: 10.13700/j.bh.1001-5965.2016.0688
Abstract:

When the full-automatic quick hitch coupling device (full-AQHCD) of the rescue robot wrist automatically locks tightly the attachment interface, i.e., the lower coupling parts (LCP), it must synchronously dock precisely with and switch on the hydraulic pipelines of the LCP automatically, for this reason, the precise docking theory (PDT) based on digital measurement and the PDT based on analog measurement are proposed for guiding the manufacturing at the product stage and the prototype stage respectively. The PDT at product stage is:the full-AQHCD is regarded as a passive target, and the LCP is regarded as an active target; the full-AQHCD is connected with the LCP through 4 coupling points; the position-orientation relationships between the passive target coordinate system (X1O1Y1), the active target coordinate system (X2O2Y2) and the precise docking coordinate system (XOY) are established by measurement; the coordinates of docking points (CDPs) in X1O1Y1 are transformed to the CDPs in XOY, and then transformed to the CDPs in X2O2Y2; the postures of the docking points on the active target are adjusted according to their CDPs in X2O2Y2 to achieve the precise docking with the docking points on the passive target; finally, the docking points on the active target are fixed. The PDT at prototype stage is:the full-AQHCD is regarded as a passive target, and the LCP is regarded as an active target; the oil-lines cabin of the full-AQHCD is not constructed to expose the operation space (like wrench space) of the working cabin of the full-AQHCD; the full-AQHCD is connected with the LCP through 4 coupling points; the additional oil source is supplied for first "docking" hydraulic lines in the operation space, and then "measuring, posture adjusting and finally fixing" hydraulic lines of the active target; the oil-lines cabin of the full-AQHCD is completed. Regarding the above two theories under two conditions, simulation and verification are carried out.

Short-term conflict detection algorithm for free flight in low-altitude airspace
LIU Yang, XIANG Jinwu, LUO Zhangping, JIN Wanzeng
2017, 43(9): 1873-1881. doi: 10.13700/j.bh.1001-5965.2016.0687
Abstract:

Considering the autonomous route of free flight in low-altitude airspace, a probabilistic short-term conflict detection algorithm is proposed. The trajectory prediction error caused by navigation error, control error and wind disturbance was taken into account. A reasonable error model was constructed to compute the conflict probability between aircraft in the short term. By using coordinate transformation and extending the conflict zone, an approximate analytical expression was presented to estimate the conflict probability of maneuvering flight in three-dimensional airspace. By comparison with Paielli and Erzberger (P&E) approximation algorithm and the Monte Carlo simulation algorithm, the presented algorithm was proved to increase the accuracy of conflict probability estimation and decrease the computational consumption. The result shows that this algorithm can reach the real-time requirement of free flight in low-altitude airspace and realize the conflict detection in complex environment.

Impact of non-nominal troposphere error on GBAS integrity
XIN Pumin, WANG Zhipeng
2017, 43(9): 1882-1890. doi: 10.13700/j.bh.1001-5965.2016.0665
Abstract:

In current ground-based augmentation system (GBAS), the average vertical protection level(VPL) increase caused by non-nominal troposphere error is 2.29 m, the accuracy of bounding is reduced and the integrity risk is increased. Faced with the above problems, a real-time method was proposed based on the modified Hopfield model. With real-time method, the non-nominal troposphere error was calculated according to the real-time weather changes, satellite elevation angle and the distance between aircraft and ground station. Given the high requirement of the real-time method for very high frequency data broadcast(VDB) transmission bandwidth, a fitting method was proposed, in which error is a function of distance and elevation angle. Simulations compute the VPL under the flight scenarios of single point, approach area and terminal area with the aim of evaluating the impact of non-nominal troposphere error on GBAS integrity. The results show that, with the real-time bounding method, VPL is averagely increased by 1.55 m and the accuracy of bounding is increased by 32.52%; with fitting method, VPL is averagely increased by 1.27 m, the accuracy of bounding is increased by 44.54%, the VDB transmission data is less, and the GBAS integrity risk is decreased.

High-immunity high-precision longitudinal flight control for UAV's carrier landing
LIU Xianfei, WANG Yong, ZHANG Daibing
2017, 43(9): 1891-1899. doi: 10.13700/j.bh.1001-5965.2016.0679
Abstract:

Research on the control strategy, control structure and control law parameter design method is developed in this paper to realize flight control with high-precision performance in the longitude channel of UAV, aimed at solving the impact of sophisticated landing environment, including both the air-wake disturbance and the deck motion disturbance, on touchdown points. First, longitudinal control strategy and structure based on direct force control (DFC) and multi-surface for UAV's carrier landing are proposed on account of insufficient disturbance rejection ability of regular control structure. Second, an approach for designing control law parameters is presented. Control law parameters obtained by this approach which gives priority to the stability margin of the control system, make the position deviation from the ideal touchdown point to be the lowest under the sophisticated landing environment. A problem of optimum design based on this approach is constructed so that control law parameters with high-precision and high-immunity performance could be produced through particle swarm optimization (PSO) algorithm. The power spectrum densities of both the air-wake disturbance and the deck motion disturbance are analyzed to reduce the conservatism of the approach. Finally, the performance of the proposed longitudinal control strategy and structure is illustrated through being compared with the regular one. And the validity of the presented approach is also proved by calculation example and simulation.

Detection of welding crack in blisk blade based on ultrasonic phased array
MA Liyin, LI Yang, ZHOU Zhenggan
2017, 43(9): 1900-1908. doi: 10.13700/j.bh.1001-5965.2016.0683
Abstract:

Crack is a type of common defect in welding area of blade appearing in the process of blisk manufacture. Due to the complex structure of welding area in blade and the small size of crack defect, it is difficult to detect the welding crack. In order to satisfy the application requirement of this new process, a completely covered testing method, based on ultrasonic phased array inspection technique, to welding area was proposed. Finite element simulation models for phased array testing of welding area were built. The effects of crack parameters and ultrasonic beam focal position on the detection program were researched to testify the feasibility and validity of the detection program. A roboticized phased array ultrasonic testing system was established to simulate the propagation of ultrasonic beam in linear friction welding blade specimen and to achieve the recognition of prefabricated crack defects. The research results show that the proposed detection program can fulfill the requirement of rapid detection for linear friction welding blisk blade.

Detection of skin desoldering defect in Ti-alloy honeycomb using linear frequency modulated infrared imaging
FAN Jin, ZHAO Hanxue, LI Gen, ZHOU Zhenggan
2017, 43(9): 1909-1916. doi: 10.13700/j.bh.1001-5965.2016.0684
Abstract:

Ti-alloy honeycomb with variable skin thickness has been widely used in the aerospace field. Skin desoldering is one of the most common defects of Ti-alloy honeycomb sandwich. Because of single frequency, traditional lock-in thermography cannot defect desoldering under skin with a variety of thicknesses in one time and has low detection efficiency. To solve this problem, linear frequency modulated infrared imaging and excitation parameter selection method were studied. The finite element simulation model of Ti-alloy honeycomb was established by using ANSYS. Phase difference between desoldering region and normal region was calculated through correlation algorithm and the relationship between freqnency bandwidth, chirp time, skin thickness and maximum of phase difference absolute value was analyzed. Honeycomb sample with prefabricated desoldering defects was experimentally studied using linear frequency modulated exciting. Phase diagrams with different frequency bandwidth and different chirp time are obtained. The results show that one-time detection of Ti-alloy honeycomb with skin thickness 0.6-1.2 mm can be realized using linear frequency modulated signal with the frequency range 0.01-0.21 Hz and chirp time 22 s. These results provide a technical guidance for the practical detection of Ti-alloy honeycomb sandwich structure.

Numerical algorithm for POCET optimal phase search
ZHANG Meijun, KOU Yanhong
2017, 43(9): 1917-1923. doi: 10.13700/j.bh.1001-5965.2016.0701
Abstract:

Usually a modern navigation satellite needs to combine multiple signal components at the same carrier frequency or even two/three adjacent frequencies into a constant-envelope signal before its high power amplifier. The phase-optimized constant-envelope transmission (POCET) technique can deal with any number of signal components and achieve the highest power efficiency. The existing numerical algorithms for POCET phase searching, however, have some problems such as large amount of computation, slow convergence rate, and possible failure of convergence when the initial point is far from the optimal solution or when higher accuracy is required. Aimed at the argumentation of optimized multiplexing for satellite navigation signals, this paper firstly introduces the augmented Lagrange multiplier method to ensure convergence with smaller termination error. Next, the inexact line search algorithm based on Armijo criterion is adopted instead of the exact line search for determination of search steps. Then, the characteristics and applicability of several search direction optimization algorithms are comparatively analyzed, such as the steepest descent method, the conjugate gradient method, and the quasi-Newton method (including the BFGS method and the symmetric rank 1 method). Finally, the high accuracy, low computational complexity, and strong convergence of the improved algorithm are validated by its application in the search of optimal phase-table and evaluation of combining loss of BDS B1 signals under different power allocation and phase constraints. The study provides a reference for the design and optimization of the navigation signal modulation.

Emergency strategy operation optimization for atmosphere environment control system in space station
CHEN Yunpeng, PANG Liping, YIN Yongli, LI Guoxiang, WANG Jun
2017, 43(9): 1924-1930. doi: 10.13700/j.bh.1001-5965.2016.0664
Abstract:

Environment control system (ECS) in a space station is an essential system for the astronaut life safety. Composed of a number of coupling subsystems, the ECS functions as the controller of the cabin air condition and the environmental parameters, which are essential parts to the astronauts' life safety. As its subsystems are power-consuming, the system's regular operation highly relies on the stability of the power supply system and the ECS should have the ability to reconfigure operation strategy in some emergency conditions. In this paper, the emergency strategy optimization method of ECS is studied under potential insufficient power supply condition. To study this issue, we establish basic ECS mathematical models involving its substances, energy as well as consumption, and the non-regenerative substance lifetime conception, which represents the remaining amount of non-regenerative life support substance. A multi-objective optimization method is developed to search the ECS emergency strategy. The maximum non-regenerative substance lifetime and the minimum power consumption are chosen as the optimization objective functions. Some adjustable key variables are chosen as the optimal variables, which represent the way to reconfigure the operation strategy. With the constraints of 5 main environmental parameters, the non-dominated sorting genetic algorithm-Ⅱ (NSGA-Ⅱ) is adopted to obtain the Pareto optimal solution set and the Pareto optimal frontier (POF). The results of optimization research show that the presented optimal method can obtain the optimal emergency electric energy allocation strategy for subsystems under different insufficient power supply conditions, and the optimal reconfigured operation strategy can meet the maximum system lifetime and minimum system supply energy requirement.

Characterization on axial thermal conductivity of carbon fiber and its influence factors
WANG Tingting, GU Yizhuo, WANG Shaokai, LI Min, FANG Zenong, ZHANG Zuoguang
2017, 43(9): 1931-1938. doi: 10.13700/j.bh.1001-5965.2016.0757
Abstract:

Two measurement methods for carbon fiber's axial thermal conductivity are compared, which use fiber bundle and unidirectional fiber reinforced composite samples, respectively. The influence of fiber volume fraction and sample thickness on the measurement was discussed. The applicability of the method based on fiber bundle was investigated by testing polyacrylonitrile-based high-strength and high-modulus carbon fibers, and mesophase pitch-based carbon fiber. The relationship between thermal conductivity and microstructure was further discussed. The results indicate that unidirectional composite shows lower axial thermal diffusivity than fiber bundle sample due to the thermal conduction between fiber and polymer matrix in composite. Accurate thermal conductivity can be obtained by using fiber bundle sample, while unidirectional composite sample yields bigger thermal conductivity. For the measurement with unidirectional composite, the calculated thermal conductivity increases with the increase of fiber volume fraction and sample thickness. On the contrary, fiber bundle samples result in stable thermal conductivity which is not affected by fiber volume fraction. Moreover, the thermal conductivity increases in the order of mesophase pitch-based carbon fiber, high-modulus and high-strength carbon fiber. Lower lattice spacing and larger crystallite size leads to bigger thermal conductivity. These results may contribute to the accurate characterization on axial thermal conductivity of carbon fiber and the structural design of highly thermal conductive fiber composite.