2017 Vol. 43, No. 10

Display Method:
Volume 43 Issue102017
iconDownload (42267) 920 iconPreview
Review on design method of electro-hydrostatic actuator
FU Yongling, HAN Xu, YANG Rongrong, QI Haitao, FU Jian
2017, 43(10): 1939-1952. doi: 10.13700/j.bh.1001-5965.2017.0195
Abstract:

Electro-hydrostatic actuator (EHA) is a novel high-performance servo actuator originating in the field of aviation and is becoming a common basic component of major equipment. Research is ongoing to develop an efficient and scientific design method of EHA due to its multidisciplinary coupling and high comprehensive indicator. A review on EHA design method is put forward with special consideration to the complete design process, providing a basic support and diverse technical means for the EHA product development process. Key technologies such as comprehensive index establishment, modeling and simulation, optimization design and control design are listed and analyzed. Focusing on automation-based preliminary design and multidisciplinary optimization-based detailed design, this paper suggests the implements of each step for different design needs. Applications of newly developed technologies such as automated detailed design, model based system engineering and 3D printing to EHA design are introduced.

Design of hybrid ultrasonic frequency pulsed GMAW power source
WANG Qiang, QI Bojin, WANG Yipeng, ZHENG Minxin
2017, 43(10): 1953-1959. doi: 10.13700/j.bh.1001-5965.2016.0813
Abstract:

A new type of gas metal arc welding (GMAW) method was proposed and a novel hybrid ultrasonic frequency pulsed GMAW power source was developed. In this method, an ultrasonic frequency pulse current was superposed upon the conventional pulsed GMAW current with frequency from 20 to 80 kHz, current amplitude from 0 to 100 A, and duty cycle from 0% to 100%. Main circuit topology in parallel structure and dual-processor digital control system consisting of MCU and DSP were designed. Synchronized output and different logical combinations of current given signal and PWM signal were realized through software programming, resulting in several output current waveforms for different work modes. Testing results of the output current indicate that output current waveforms of the designed hybrid ultrasonic frequency pulsed GMAW power source satisfy the requirement of different work modes with a fast current rising and falling rate even at ultrasonic frequency pulse current frequency of 80 kHz. Aluminium alloy bead-on-plate experiment was conducted with this power source and a good weld bead appearance was obtained.

Autonomous reconfiguration control method for multi-UAV formation based on RQPSO-DMPC
ZHOU Shaolei, KANG Yuhang, SHI Xianjun, DAI Shaowu, ZHOU Chao
2017, 43(10): 1960-1971. doi: 10.13700/j.bh.1001-5965.2016.0777
Abstract:

For various threats in the enemy defense area, in order to achieve covert penetration and implement effective combat against enemy, the unmanned aerial vehicle (UAV) formation needs to be reconfigured in the process of penetration, and the multi-UAV collision avoidance problem and communication constraint problem within the formation also need be considered. By establishing the virtual leader formation model and introducing the neighbor set, this paper adopts distributed model predictive control (DMPC), reconstructs the cost function of multi-UAV formation reconfiguration, and proposes that the cost function is solved by adopting the revised quantum-behaved particle swarm algorithm. The solving result is compared with the result obtained by particle swarm algorithm. Simulation result shows that this algorithm can control multi-UAV formation' autonomous reconfiguration effectively and achieve covert penetration safely.

Throughput optimization for an imperfect production system with queue time constraints
ZHOU Binghai, LIU Yuwang
2017, 43(10): 1972-1979. doi: 10.13700/j.bh.1001-5965.2016.0824
Abstract:

To efficiently solve the problems of queue time constraints and quality loss caused by machine degradation during production activities, a joint optimization mathematical model considering both preventive maintenance and the control of the buffer capacity was constructed in this paper. First, gamma process was introduced to model the degradation of the downstream bottleneck station, and the quality loss caused by its degradation was also considered. Second, based on the model mentioned above, we treated the arrival of workpieces, the intermediate buffer and the working process of downstream station as a queuing system and obtained the probability of work in process (WIP) blocking and exceeding the queue time constraints using M/G/1/K queuing model. Finally, with the objective function of maximizing the "effective throughput", we jointly explored the optimization of the threshold of preventive maintenance and the capacity of the intermediate buffer. Numerical example shows that the proposed model is practical and effective, which has certain instructive significance to the buffer capacity control, preventive maintenance and throughput improvement for those imperfect production systems with queue time constraints.

Time-to-go estimation for guidance laws based on velocity prediction
ZHANG Youan, LIANG Yong, LIU Jingmao, SUN Yumei
2017, 43(10): 1980-1986. doi: 10.13700/j.bh.1001-5965.2016.0782
Abstract:

The idea of piecewise linear approximation and piecewise iterations is extended to the anti-ship missile's piecewise velocity prediction. Time-to-go estimation algorithms suitable for anti-ship missiles with time varying velocity are designed for proportional navigation guidance law and a biased proportional navigation guidance law with impact angle control both in the case of large lead angle. The proposed time-to-go estimation algorithms, which are based on the anti-ship missiles' differential equation of velocity in closed form and the current piecewise-iterative time-to-go estimation algorithms for the above mentioned guidance laws, perform piecewise-iterative prediction to the future velocity of anti-ship missiles for two flight cases: one for turning flight on level, the other for nearly straight flight on level, and then make corrections to the current time-to-go estimation algorithms. A range-to-go estimation formula is also given for the biased proportional navigation guidance law with impact angle control in the case of nearly straight flight on level. Numerical simulations are provided to illustrate the effectiveness of the proposed algorithm.

Test analysis for ultrasonic assisted friction stir welding of aircraft skin aluminium alloy
YANG Kunyu, HE Diqiu
2017, 43(10): 1987-1993. doi: 10.13700/j.bh.1001-5965.2016.0796
Abstract:

For the bottom of the weld, weak connection and other defects in the friction stir welding(FSW) of aircraft skin, due to the narrowing of the FSW process window, in order to explore a new method that is more suitable for long-range stable welding of large aircraft skin, skinned contrast test between ultrasonic assisted friction stir welding (UAFSW) and FSW were performed, UAFSW and FSW welding were carried out under the same process conditions using 2524-T3 aluminum alloy with thickness of 1.8 mm. Tensile test, metallographic test, and scanning electron microscopy were implemented for perfect UAFSW and FSW weld joints without internal defects. The results show that, compared with FSW weld joints, the UAFSW weld joint defect rate is significantly reduced, and the process window is expanded; the UAFSW weld surface texture is finer and free from laminations; the average tensile strength of UAFSW weld joints reaches 90.7% of strength of the base material, slightly higher than that of FSW weld joints; the average elongation of UAFSW weld joints is higher than FSW weld joints by about 20%. The study found that, compared with FSW, the addition of ultrasonic makes finer and more uniform microstructure for UAFSW weld joints, reduces grain size, and disrupts the regularity of the grains along the rolling direction, which makes the grain sequence show no clear direction.

Push-forward/pull-backward trim for helicopter based on hybrid genetic algorithm
WANG Wei, LIU Chun, LI Dongsheng
2017, 43(10): 1994-2002. doi: 10.13700/j.bh.1001-5965.2016.0834
Abstract:

To solve the problems that helicopter trim model has multivariate nonlinear equations, it is difficult to determine its initial value and the global optimal solution is non-unique, an efficient hybrid iteration algorithm is presented in this paper, which combines the genetic algorithm and the quasi-Newton method. The dynamic equations of the different modules of the helicopter are introduced. In modeling the rotor, considering characteristics of the motion and control of the rotor in the actual flight environment, an aerodynamic model of rotor based on dynamic inflow and the blade element theory with the rotor trim is established. The trim control vector and the constraint equations for push-forward/pull-backward are deduced in detail based on helicopter flight dynamic model. Since the objective function is constructed, trim problems are transformed into optimal computation. UH-60A helicopter in the push-forward/pull-backward flight is trimmed, and the trim results are compared with flight test data. It is shown that the pull-backward results agree well with flight data, and there is the discrepancy between the push-forward results and flight data. The primary contribution to the discrepancy of the trim of collective and pedal comes from inaccurate prediction of the unsteady aerodynamic characteristics of the rotor. It is a universal method that can be applied to helicopter trim simulation of different stable flight conditions.

Transmission gear vibration mechanism and modification method for vibration and noise reduction
YUE Huijun, ZHANG Yao, LI Hongbiao, ZHANG Jing, SHAN Hongbo
2017, 43(10): 2003-2010. doi: 10.13700/j.bh.1001-5965.2016.0814
Abstract:

This paper discusses the vibration mechanism of gear transmission and modification methods to reduce vibration and noise with a specific automatic transmission as the research object. Using SimulationX and test methods, the gears that have the most contribution to system vibration can be found. The internal excitation of the helical gear was analyzed with the method of finite element simulation, including transmission errors, contact spots, meshing impact and thermo-elastic deformation. Considering the minimum fluctuation amplitude of the transmission errors, meshing impact elimination and the optimal contact status as a comprehensive objective, the optimal gear modification was obtained after comparison with plenty of simulation results. Based on the test results after modification, it is verified that the proposed modification scheme can optimize the transmission status and further effectively reduce the vibration and noise of transmission.

Kinematic analysis and workspace optimization of a novel 2-2PRUR parallel mechanism
LI Dian, GUO Sheng, HUANG Guanyu, ZHAO Fuqun
2017, 43(10): 2011-2020. doi: 10.13700/j.bh.1001-5965.2016.0816
Abstract:

A novel 2-2PRUR parallel mechanism is proposed to fit the actual demand of industrial production line. Kinematics analysis and workspace optimization are performed based on scatter plot. A method is presented by splitting the moving platform into two parts and adding planetary gear train, which could solve the over-constraints of four degrees of freedom parallel mechanism and increase the turning angle. The constraint equations are obtained using the coordinate method. The inverse-forward solutions of the mechanism are worked out. And the workspace is obtained by using the scatter plot of inverse kinematic solutions. Meanwhile, reasonable structural parameters are obtained by optimizing workspace with the principle of maximizing scattered points based on genetic algorithm. This work would lay the foundation for the future research and application of this type of parallel mechanism.

Effects of canopy's air permeability on parafoil aerodynamic performance
WANG Longfang, HE Weiliang, WANG Shichao
2017, 43(10): 2021-2029. doi: 10.13700/j.bh.1001-5965.2016.0764
Abstract:

In order to enhance the flight performance of parafoil, the effects of canopy fabric's air permeability on parafoil aerodynamic performance were studied. The canopy external flow field was modeled by the incompressible Reynolds-averaged Navier-Stokes (RANS) equations, and the governing equations for porous medium domain with an additional momentum source term were established to model the canopy. For two material models with air permeability and one traditional model without air permeability, the aerodynamic characteristics and distribution of the two-dimensional and three-dimensional flow field were numerically simulated under steady condition. The results indicate that the canopy seepage velocity is available by solving the governing equations of porous medium domain, and the canopy external turbulivity increases sharply. The lift coefficient decreases and drag coefficient increases significantly when the canopy is made of large air permeability fabric, and furthermore the inner cavity pressure dropping affects the aerodynamic shape maintaining of parafoil. The lift coefficient is less than that in impermeable case at small angle of attack, and is greater than that in impermeable case at large angle of attack when the canopy is made of slight air permeability fabric because mild seepage velocity can delay the boundary layer separation at large angle of attack.

Spacecraft forced fly-around formation design and control
ZHANG Ran, YIN Jianfeng, HAN Chao
2017, 43(10): 2030-2039. doi: 10.13700/j.bh.1001-5965.2016.0768
Abstract:

In order to meet the requirements of spacecraft fly-around technology in on-orbit service mission, spacecraft forced fly-around formation design and control scheme was investigated. Based on the analytic solution of the C-W(Clohessy-Wiltshire) equations, bi-teardrop formation was proposed. Then multi-impulse fly-around formations were developed after single-or double-impulse formations. The formula between the initial states of following spacecraft and the shape of fly-around formation was derived, and the analytic expressions of four fly-around formations and the impulse control scheme were proposed. Simulation results verify that four designed formations could be used in spacecraft slow fly-around and fast fly-around scenarios. The total fuel consumptions and distance errors of different formations were compared. Numerical results show that bi-teardrop formation has the smallest total impulse. The theory of spacecraft forced fly-around formation design and control is improved, and the results provide reference for engineering application.

A passive location algorithm based on TDOA and FDOA of dual-satellite in the condition of unfiled rank
ZHOU Longjian, LUO Jingqing
2017, 43(10): 2040-2046. doi: 10.13700/j.bh.1001-5965.2016.0811
Abstract:

To solve the problem that the position vector of the first satellite, the position difference vector between dual satellites and the speed difference vector between dual satellites are coplanar when the fixed emitter with known altitude is located by dual satellites using time difference of arrival (TDOA) and frequency difference of arrival (FDOA), an analytic solution in three-dimensional spaces was proposed. The condition for no solution is only that the two position vectors and two speed vectors of dual satellites are collinear. The paper analyzes the two conditions of both coplanar but non-collinear and collinear. The analytic solutions of different conditions are given. The problem of location can be simplified into solving quadratic equation with one unknown when the position vectors of dual satellites are collinear, which alleviates the complexity of the problem solving and reduces the computational complexity. Besides, the positioning accuracy is enhanced in nadir point of dual satellites when the three vectors are coplanar. The algorithm was proved useful by simulation experiments.

Rotor control phase angle analysis for coaxial rigid rotor helicopter
YUAN Ye, CHEN Renliang, LI Pan, LU Ke
2017, 43(10): 2047-2053. doi: 10.13700/j.bh.1001-5965.2016.0812
Abstract:

Adopting the flight dynamic model of coaxial rigid rotor helicopter, this paper sets the XH-59A coaxial rigid rotor helicopter as research object and analyzes the influence of rotor control phase angle on longitudinal trim characteristics, helicopter power required and hub bending moment of upper and lower rotor. Based on the analysis results, this paper proposes the allocation method of coaxial rigid rotor helicopter's rotor control phase angle. It aims to decrease the helicopter power required and make upper and lower rotor's hub bending moment and trim characteristics meet the requirement. The method can make the XH-59A helicopter satisfy the requirements of hub bending moment of upper and lower rotor and longitudinal cyclic pitch limitation within the flight speed scope of 0-80 m/s, and can minimize up to 8% power required. This method provides reference for design of coaxial rigid rotor helicopter.

Reduced step control of hypersonic vehicle based on tracking differentiator
ZHANG Shen, WANG Qing, DONG Chaoyang, HOU Yanze
2017, 43(10): 2054-2062. doi: 10.13700/j.bh.1001-5965.2016.0791
Abstract:

Aimed at the strong nonlinearity, complicated couplings and high uncertainties of hypersonic vehicle, a reduced step control scheme based on high-order tracking differentiator is put forward. The longitudinal model of hypersonic vehicle is transformed as strict-feedback form. A tracking differentiator is imported in the backstepping frame. The derivative of virtual control signal in the first step is obtained using the tracking differentiator with its ability of estimating any derivative for a given signal. Also, the actual control signal in the second step is obtained according to the second-order derivative estimation of the tracking differentiator. Thus, the three design steps are reduced into two steps. Moreover, the parameter uncertainties and external disturbances are modeled as equivalent disturbances in each step. Extended state observers are designed to estimate the equivalent disturbances. Then, the equivalent disturbances are compensated in the controller. The Lyapunov theory is used to prove the stability of the closed-loop system. The numerical simulation results show the inhibiting ability of the proposed control scheme against uncertainties and disturbances. And its tracking precision is superior to that of the traditional dynamic surface control method.

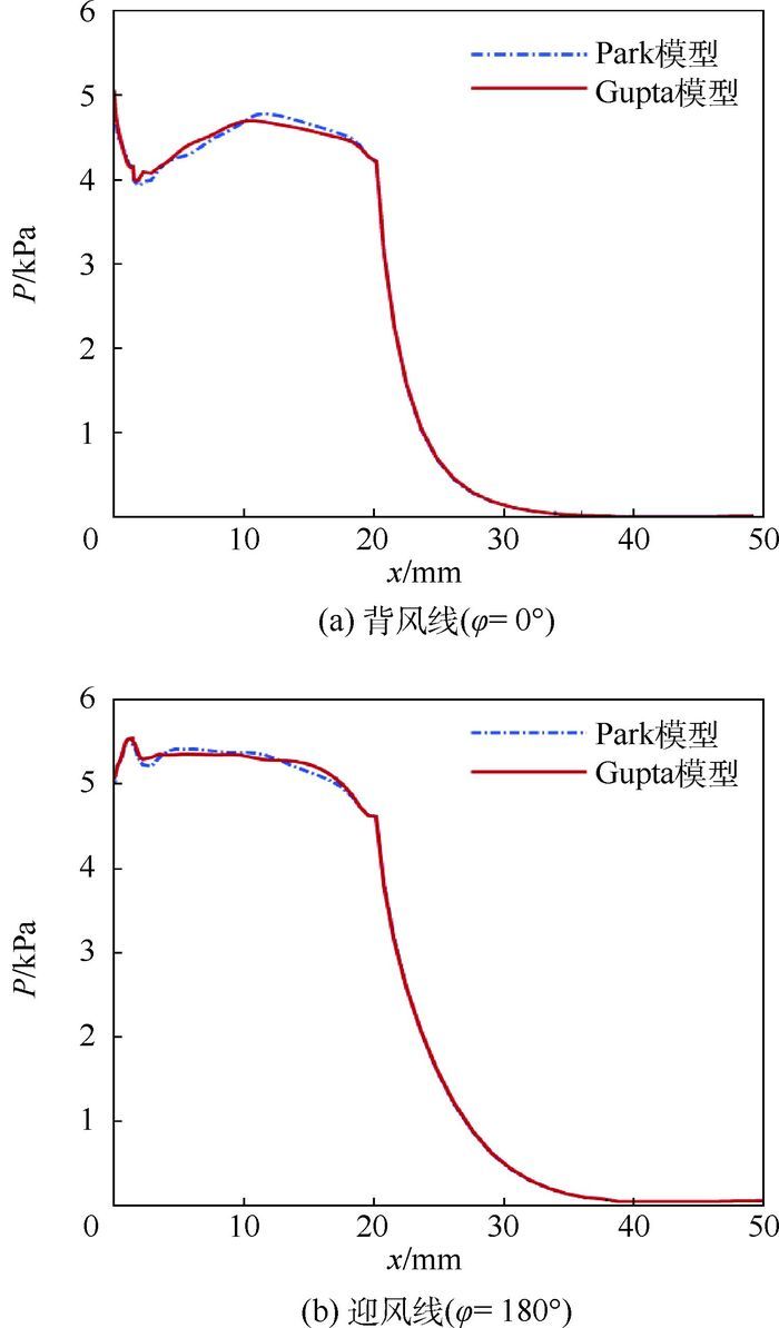
Influence of hypersonic thermo-chemical non-equilibrium on aerodynamic thermal environments
YANG Jianlong, LIU Meng, A Rong
2017, 43(10): 2063-2072. doi: 10.13700/j.bh.1001-5965.2016.0952
Abstract:

Severe aerodynamic heating phenomenon occurs in hypersonic flight. Thermal protection system design can be effectively guided by considering the influence of hypersonic thermo-chemical non-equilibrium on aerodynamic thermal environment. Park and Gupta's thermo-chemical non-equilibrium models were used to numerically calculate the 5 species (N2, O2, N, O, NO) and 17 groups of chemical reactions, and the influence of their thermo-chemical non-equilibrium on hypersonic vehicles' aerodynamic thermal environments was compared with that obtained from perfect gas and thermo-chemical equilibrium models. In the thermo-chemical non-equilibrium model, flow field temperatures are lower and shock standoff distances are smaller than those of the perfect gas model. The larger the gas density after shock wave is, the smaller the shock standoff distance is. Therefore, the shock standoff distance of thermo-chemical equilibrium model is the smallest due to the larger gas density caused by molecular dissociation and chemical reaction effects. The numerical heat flux loads of perfect gas and thermo-chemical equilibrium models are larger than the experimental data. There are small differences between Park's and Gupta's thermo-chemical non-equilibrium model when they are used to numerically calculate the shock standoff distance and aerodynamic load. The calculated values of heat flux load of Park's model are larger, while those of Gupta's model are in good agreement with the experiments. Therefore, Gupta's model is more reliable to predict hypersonic vehicles' aerodynamic thermal environments.

H control for morphing aircraft via non-affine parameter dependent LPV model
WEN Nuan, LIU Zhenghua, ZHU Lingpu, LI Luochuan, ZHOU Rui
2017, 43(10): 2073-2080. doi: 10.13700/j.bh.1001-5965.2016.0793
Abstract:

Morphing aircraft can adaptively alter configuration according to the different flight conditions or a variety of missions to ensure the optimal aerodynamic performance in flight. A class of variable-span morphing aircraft were considered, and the controller design synthesis for linear parameter varying (LPV) systems with non-affine parameter dependent configuration was researched. Jacobian linearization approach, as well as exact fitting method, was used on multiple balance points to transform the nonlinear model of morphing process into the LPV structure which regards the ratio of variable-span as the varying parameter. In contrast to most LPV systems, the obtained structure was polynomial instead of affine parameter dependent. An equivalent linear time-invariant (LTI) system for the non-affine LPV structure can be obtained by linear fractional representation (LFR).On basis of the sufficient condition of linear matrix inequality(LMI) for quadratic Lyapunov stability, a design methodology of the state feedback H controller was presented to guarantee the stability of morphing process. Its effectiveness for the globally stable performance was illustrated with simulation results, even when the external disturbance was taken into account. Therefore, the controller synthesis based on LFR transformation is no longer limited to the affine parameter dependent form, and can be widely applied to universal LPV system.

Towed radar active decoy jamming detection based on Doppler frequency difference
FU Xiaolong, BAI Weixiong, LI Xin, YUAN Hui, CHEN Jinjin
2017, 43(10): 2081-2088. doi: 10.13700/j.bh.1001-5965.2016.0797
Abstract:

The foundation of countering the towed radar active decoy (TRAD) is the presence detection of decoy. Derivation of monopulse radar angle error output of balanced phase discriminator (BPD) with and without towed radar active decoy was demonstrated. According to the principle of BPD, the conclusion can be obtained that the Doppler frequency difference between target and decoy would affect the angle error. There was no variation when the angle error passed through the low pass filter without the decoy jamming; there was a change under the condition of decoy jamming. The alternating part of the angle error was filtered out by the low pass filter.Based on the variation of angle error with and without decoy, threshold detection was used to detect the towed radar active decoy. Simulation analysis under different jamming conditions was performed on the detection performance of the proposed method, and its effectiveness was validated.

Online condition prediction of avionic devices based on sparse kernel incremental extreme learning machine
ZHANG Wei, XU Aiqiang, GAO Mingzhe
2017, 43(10): 2089-2098. doi: 10.13700/j.bh.1001-5965.2016.0802
Abstract:

In order to achieve the online condition prediction for avionic devices, a sparse kernel incremental extreme learning machine (ELM) algorithm is presented. For the problem of Gram matrix expansion in kernel online learning algorithms, a novel sparsification rule is presented by measuring the instantaneous learnable information contained on a data sample for dictionary selection. The proposed sparsification method combines the constructive strategy and the pruning strategy in two stages. By minimizing the redundancy of dictionary in the constructive phase and maximizing the instantaneous conditional self-information of dictionary atoms in the pruning phase, a compact dictionary with predefined size can be selected adaptively. For the kernel weight updating of kernel based incremental ELM, an improved decremental learning algorithm is proposed by using matrix elementary transformation and block matrix inversion formula, which effectively moderate the computational complexity at each iteration.In proposed algorithm, the inverse matrix of Gram matrix of the other samples can be directly updated after one sample is deleted from previous dictionary. The experimental results of the aero-engine condition prediction show that the proposed method can make the whole average error rate reduce to 2.18% when the prediction step is equal to 20. Compared with three well-known kernel ELM online learning algorithms, the prediction accuracy is improved by 0.72%, 0.14% and 0.13% respectively.

Design and analysis of an integrated leg-arm quadruped robot
WANG Siyuan, TANG Ling, WANG Yaobing, CHEN Jiawei, XU Kun, DING Xilun
2017, 43(10): 2099-2108. doi: 10.13700/j.bh.1001-5965.2016.0810
Abstract:

An integrated leg-arm quadruped robot with a function multiplexing limb is presented in this paper, and it can realize both walking and operating. The walking mode and the operating mode of the robot are studied. First, a positive kinematic model of a single leg is established and inverse kinematics of the robot is derived. Then the forward kinematic model of the 5-DOF function multiplexing limb is built, based on which an optimal inverse kinematics method either to satisfy position or gesture for insufficient DOF operation arm is offered. And position deviation and gesture deviation corresponding to each situation are given. The kinematic model of a hybrid serial-parallel mechanism composed of supporting ground, standing legs, body and operating arm is established. The body displacement can compensate the position deviation of the tip of manipulator to ensure the accuracy of manipulation. Finally, the workspace of body, operating arm and hybrid serial-parallel mechanism is simulated. The functions of walking and operating of the robot are verified experimentally.

Regularized sparsity variable step-size adaptive matching pursuit algorithm for compressed sensing
LIU Haoqiang, ZHAO Hongbo, FENG Wenquan
2017, 43(10): 2109-2117. doi: 10.13700/j.bh.1001-5965.2016.0830
Abstract:

Compressed sensing (CS), which could break through the bottleneck of the Nyquist sampling theorem, makes the high resolution signal acquisition possible. Reconstruction algorithm is the key part of compressed sensing, and the iterative greedy algorithm is one of highly significant research directions. A novel iterative greedy algorithm for compressed sensing, named regularized sparsity variable step-size adaptive matching pursuit (RSVssAMP) algorithm, was proposed in this paper. The regularized idea and the variable step-size adaptive idea were utilized in the new algorithm to achieve a quick and accurate reconstruction under the condition that the sparsity of a signal was unknown. Compared with traditional greedy algorithms, RSVssAMP could reconstruct the signal without prior information of the sparsity, and it could accelerate the reconstruction speed obviously and achieve better performance by acquiring a better candidate set. The Gaussian sparse signal and discrete sparse signal were taken as trial signals, and the comparisons of reconstruction probability and time were demonstrated in this paper. The simulation results indicate that the proposed algorithm could achieve a higher reconstruction precision and take shorter time when compared with the existing greedy algorithms.

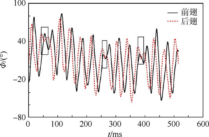
Numerical study on intermittent flapping flight performance of dragonfly during climbing
LIU Jiajia, ZHENG Mengzong, PAN Tianyu, LI Qiushi
2017, 43(10): 2118-2126. doi: 10.13700/j.bh.1001-5965.2016.0766
Abstract:

Aerodynamic force generation in a dragonfly intermittent flapping flight with modeled wings was studied using the method of numerical simulation. The computational results show that the average lift coefficient and average thrust coefficient of the modeled wing decrease with the increase of the intermittent proportion at the Reynolds number of 157. They descend faster in the frontal part, while gently in the middle part, and decrease to zero in the latter part. The average thrust coefficient is affected greater than the average lift coefficient. When the continuous flight turns into intermittent flight, the thrust coefficient during the early phase and stable phase of short gliding is significantly weakened with totally 42.7%; For the lift coefficient, it is mainly weakened during the stable phase of short gliding, accounting for 41.4%, but the early phase of short gliding has a contribution of 8% to the increase of average lift coefficient. Intermittent flapping flight is possible to improve the lift-thrust ratio in dragonfly flight. When the the proportion of gliding time to intermittent flight cycle is 0.3, the average lift-thrust ratio is close to 1.

Impeller machining technology based on 4+2-axis machine tool
SHI Yikun, ZHU Yu, CHEN Zhitong
2017, 43(10): 2127-2134. doi: 10.13700/j.bh.1001-5965.2016.0773
Abstract:

The purpose of this study is to enhance the machine tool's processing capability by improving the machine tool from 4-axis to 4+2-axis, which endows the machine tool the ability to process impeller using the barrel cutter. We first analyzed the dynamic performance of the 4+2-axis machine tool with theory of mechanism, which demonstrates that the tool position has one optimizable parameter. Then, we derived the relationship among the half-linkage axis parameters, the tool position, and the linkage axis movement parameters, and obtained a method for solving the position at the cutter contact point. Based on the geometrical analysis of the complex surface, mechanical interference and the movement range of the machine tool, we provided a method to choose the parameters of two half-linkage axes when processing the impeller by using 4+2-axis, and deduced an algorithm for generating the tool path. We finally tested the tool path by experiments. The results show that the proposed 4+2-axis machining method for processing impeller blade is feasible and has promising production and application value.

Multi-aspect SAR image fusion method based on wavelet transform
SHI Quan, LI Jingwen, YANG Wei, ZENG Hongcheng, ZHANG Haojie
2017, 43(10): 2135-2142. doi: 10.13700/j.bh.1001-5965.2016.0823
Abstract:

Considering the diversity of target scattering characteristics with different observation angle and information redundancy of multi-aspect images, this paper proposes a novel multi-aspect SAR image fusion method based on wavelet transform and edge detection. First, wavelet transform was performed to multi-aspect space-borne SAR image processing. The images were separated to different parts of frequency so that the multi-resolution representation and multi-aspect information of sequential images can be conveniently fused. Second, the improved Robinson edge detection algorithm was used to strengthen the energy of contour feature. Finally, fusion experiment and quantitative evaluation method were used to verify the effectiveness of this fusion imaging method.

Aircraft predictor-corrector guidance based on online constraint limit enforcement
CHENG Yang, CHENG Lin, ZHANG Qingzhen, NI Kun, CHU Pei
2017, 43(10): 2143-2153. doi: 10.13700/j.bh.1001-5965.2016.0833
Abstract:

In view of current research situation that the ballistic performance and constraints are unable to be guaranteed by traditional prediction correction algorithm in the reentry process, a new reentry guidance method was proposed, which combines the offline trajectory optimization based on simple parameterization of bank angle profile and the online prediction and correction. Process constraints were analyzed through equilibrium glide condition and the monotonic property of range to bank angle profile was proved. For offline section, control model was built through control variable parameterization (CVP) and the trajectory was optimized through sequence quadratic program (SQP) to improve the ballistic performance greatly. For online section, the solution of bank angle profile was obtained in real time, which satisfied terminal constraints through trajectory iteration based on Gauss-Newton method. Gauss-Newton method has fast convergence speed and high precision for solving trajectory. Finally, a constraint limit method was proposed to cope with the problems that high L/D aircraft would make equilibrium glide condition hard to be established and that strong interference would make constraints be violated, which provided powerful protection to process constraints in reentry. The simulation results show that this method is adaptable to uncertain factors such as throwing deviation, aircraft parameters and atmospheric model, and is of engineering application value for trajectory performance guarantee.

Adaptive cooperative control for electromagnetic spacecraft formation flight position tracking
LIAN Kefei, DONG Yunfeng
2017, 43(10): 2154-2162. doi: 10.13700/j.bh.1001-5965.2016.0809
Abstract:

Aimed at the relative position cooperative control problem of electromagnetic spacecraft formation flight, an adaptive cooperative controller was designed based on the consensus theory. Firstly, primary principles and accurate nonlinear dynamics equation of the relative motion of electromagnetic spacecraft formation were discussed. The relative motion dynamics model was then amended considering the uncertainties of the electromagnetic distant field calculation model. Secondly, nonlinear adaptive cooperative control laws for formation station tracking were designed under the condition of electromagnetic model uncertainty and communication delay among spacecraft. Solutions of magnetic moment allocation by utilizing optimization method were developed according to the difference of the maximum magnetic moments that electromagnetic spacecraft can produce. Finally, simulation shows that the adaptive cooperative controller is effective, and compared with artificial potential function method, the ability of maintaining the instantaneous stability of formation shape is improved by 4.9 times. The allocation method of magnetic moments has also achieved reasonable results.

Anti-AM jamming performance analysis of FM Doppler fuze
ZUO Huanyu, HAO Xinhong, YUE Kai
2017, 43(10): 2163-2170. doi: 10.13700/j.bh.1001-5965.2016.0829
Abstract:

To improve the anti-AM jamming performance of FM Doppler fuze, the AM jamming mechanism was quantitatively studied, and the anti-jamming performance of FM Doppler fuze under different AM jamming was quantitatively studied with signal to jamming ratio (SJR) gain as descriptive parameter. The SJR gains of FM Doppler fuze in the environment of sine wave AM jamming, square wave AM jamming and triangle wave AM jamming were deduced in detail and verified by simulation. Quantitative analysis, simulation and experimental results indicate that the total SJR gain of FM Doppler fuze is at 10 dB under AM jamming; anti-AM jamming performance of FM Doppler fuze is not sensitive to the types of AM waves; modulation depth nearly has no effects on the anti-jamming performance of FM Doppler fuze; to a certain extent, reducing Doppler filter bandwidth can improve the anti-jamming performance of FM Doppler fuze system.

Radar state transfer estimation method based on HMM
CHEN Weigao, JIA Xin, ZHU Weigang, TANG Xiaojing
2017, 43(10): 2171-2180. doi: 10.13700/j.bh.1001-5965.2016.0836
Abstract:

Aimed at the problem of traditional recognition models that parameter rule description is not complete, a hierarchical model suitable for multi-function radar (MFR) is proposed in this paper. This model reflects the operating mechanism of MFR system through three levels of task, state and parameter. Then according to parameter features, a variety of functions are used to describe the change rule of parameters, and signal joint changes and statistical information can be reflected. This model has better recognition effect compared with statistic and pulse sample diagram model. On the basis of the hierarchical model, to solve the problem of poor robustness and low accuracy of MFR state transfer estimation method, double chain hidden Markov model (HMM) was built by introducing target motion state information. D-S (Dempster-Shafer) evidence theory was used to optimize estimated results, and a radar state transfer estimation method based on HMM was proposed. The experimental results show that the proposed algorithm has more excellent robustness and higher estimation accuracy rate than that before improvement.