2020 Vol. 46, No. 10

Display Method:
Volume 46 Issue102020
iconDownload (94777) 678 iconPreview
Intersection test scenarios for AEB based on accident data mining
XU Xiangyang, ZHOU Zhaohui, HU Wenhao, XIAO Lingyun, LI Wenjuan, WANG Shuhan
2020, 46(10): 1817-1825. doi: 10.13700/j.bh.1001-5965.2019.0548
Abstract:

Based on 499 real intersection accident data in the national automobile accident in-depth investigation system, this paper aims to study the Autonomous Emergency Braking system (AEB) intersection test scenarios adapted to China. The feature elements of the autonomous driving test scenarios are extracted by analyzing the factors affecting the severity of accidents based on multi-Logistic regression, and the test scenarios are constructed. Taking scenario feature elements as clustering parameters, the hierarchical clustering algorithm is used to obtain 8 kinds of typical dangerous scenarios of the collision in intersections. Eight kinds of AEB intersection test scenarios adapted to China's traffic conditions are established. The research shows that China's intersection scenarios have certain similarities with the Euro-NCAP regulations, but they are more complicated than foreign countries, and the conflict of turn left and go straight at crossroads is the scenario that needs to be focused on. This study takes the lead in conducting domestic AEB intersection test scenarios research, which can provide reference for the development and test of domestic AEB system, and can be used as the basis for establishing China AEB intersection test evaluation system.

Target tracking algorithm based on AIGWO-IMMUKF
YOU Hanghang, HAN Qisong, YU Minjian, LONG Hongzhi, YANG Haiyan, LI Pengyong
2020, 46(10): 1826-1833. doi: 10.13700/j.bh.1001-5965.2019.0405
Abstract:

Aimed at the problem of filter selection and model design in target tracking algorithm, an adaptive Interacting Multiple Model-Unscented Kalman Filter (IMMUKF) target tracking algorithm is proposed. First, the algorithm steps of IMMUKF are introduced. Second, the Improved Grey Wolf Optimizer (IGWO) is proposed to optimize the filter parameters, and the time-varying Markov state transition probability is established by constructing the adjustment factor. Then, the AIGWO-IMMUKF algorithm is formed and its algorithm flowchart is given. Finally, the AIGWO-IMMUKF algorithm proposed in this paper and the traditional method are simulated under the same conditions, and the root mean square error curves of position and velocity as well as the timeliness comparison chart are obtained. The results show that AIGWO-IMMUKF algorithm overcomes the shortcomings of traditional IMMUKF, improves the performance of the algorithm, and has better accuracy and timeliness.

Coincidence counting and acquisition of the time difference of arrival in quantum positioning systems
CONG Shuang, SONG Yuanyuan
2020, 46(10): 1834-1843. doi: 10.13700/j.bh.1001-5965.2019.0540
Abstract:

Based on the Graphic User Interface (GUI) in MATLAB, the software is designed to realize the acquisition of quantum entangled light signals and the coincidence algorithm of the two entangled photon signals collected. At the same time, the selection of each parameter is optimized and determined by performance experiments on three important parameters including the coincidence gate width, the acquisition time and the delay increasing step in the coincidence algorithm. The design and implementation of the ground data acquisition and information processing module is completed by studying coincidence counting and Time Difference of Arrival (TDOA) based on quantum entangled light. Finally, the simulation platform of TDOA fitting is designed and implemented. The experimental results meet the desired accuracy and efficiency requirements.

Image fusion dehazing algorithm based on minimum channel and logarithmic attenuation
YANG Yan, ZHANG Dexin, YUE Hui
2020, 46(10): 1844-1852. doi: 10.13700/j.bh.1001-5965.2019.0552
Abstract:

The image color degradation and blurred details acquired by various image acquisition systems in foggy weather seriously affect the stability and effectiveness of outdoor imaging system, so it is necessary to study image dehazing technology. Aimed at the incomplete edge dehazing of dark channel dehazing algorithm, a fusion dehazing method based on the minimum channel and logarithmic attenuation is proposed. Firstly, the logarithmic attenuation of the minimum channel map of the foggy image is taken as a priori hypothesis, and then cross-bilateral filtering is performed to eliminate the texture effect. Before and after the operation, downsampling and upsampling operations are performed respectively to improve the operation speed, then we get the initial transmittance. Secondly, Canny operator is used to detect the edge of the minimum channel and logarithmic attenuation is carried out to obtain the edge information map. The initial transmittance and the edge information map are weighted and fused to compose the optimal transmittance. Finally, the atmospheric light value obtained by the improved quadtree search method is used to solve the atmospheric scattering model and restore the fog-free image. The experimental results demonstrate that the proposed algorithm can effectively suppress halo effect and remove edge residual fog, and has good real-time performance.

Dynamic collaborative planning method of earth observation resources based on contract network
PEI Xinyu, LIU Baoju, DENG Min, WU Guohua, BAI Xue, HU Shuling
2020, 46(10): 1853-1862. doi: 10.13700/j.bh.1001-5965.2019.0554
Abstract:

Satellite, UAV and other earth observation resources have become the main observation means to carry out various monitoring tasks, such as disaster rescue, disaster damage assessment, etc. Random adjustment and dynamic execution environment of large-scale tasks are the core problems to quickly develop earth observation programs. In view of the above problems, a dynamic collaborative planning method for earth observation resources in uncertain conditions is proposed to dynamically and efficiently develop the cooperative observation scheme of heterogeneous resources. First, a bottom-up distributed dynamic cooperative framework is proposed based on the contract network protocol to integrate the heterogeneous observation resources of air-space-ground and to build a distributed, dynamic and loosely coupled cooperative observation network. Then, based on the above collaborative framework, a multi-round combination allocation method and an optimization algorithm are proposed to allocate large-scale monitoring tasks rapidly and dynamically. Finally, the results of simulation experiment show that the dynamic collaborative planning method based on contract network improves the task completion rate by about 25% and reduces the collaborative planning time by about 20% in the dynamic uncertain conditions with continuous task concurrency, which achieves the balance between task completion efficiency and method running time.

Numerical simulation of spreading process of lunar regolith simulant by DEM
LI Wen, XU Kening, HUANG Yong, HU Wenying, WANG Daokuan
2020, 46(10): 1863-1873. doi: 10.13700/j.bh.1001-5965.2019.0443
Abstract:

Spaced-based Selective Laser Melting (SLM) technique in combination with In-Situ Resource Utilization (ISRU) concept can be an off-world manufacturing solution to the significant engineering challenge on the large-scale construction for extra-terrestrial bases. Powder spreading process in SLM has a major impact on the characteristics and quality of final part. The geometric shape of the lunar regolith simulant particles was modeled by means of a non-spherical particle superposition model method. The particle's dynamic model was established based on linear spring-damping contact model, Hamaker theory and Newton's laws of motion. A three-dimensional Discrete Elemeat Method (DEM) technique with soft-sphere approach was employed to investigate the rheological behavior of the lunar regolith simulant powder during spreading process under various conditions. The results show that the proposed model and method can be used to study the flowability and packing behavior of lunar regolith simulant powder system as a function of process and environmental condition parameters. Lunar reduced gravity leads to larger values of surface roughness and smaller values of packing density and averaged coordination number of powder bed; the quality of lunar regolith simulant powder bed during spreading process under lunar gravity can be improved by reducing spreading speed and geometrically optimizing blade type spreader profile, resulting in a denser and more uniform powder bed.

Adaptive UAV target tracking algorithm based on residual learning
LIU Fang, SUN Yanan, WANG Hongjuan, HAN Xiao
2020, 46(10): 1874-1882. doi: 10.13700/j.bh.1001-5965.2019.0551
Abstract:

UAVs have been widely used in military and civilian applications, and target tracking technology is one of the key technologies for UAV applications. Aimed at the problem that the target is prone to scale change and occlusion during the target tracking process of the UAV, an adaptive UAV video target tracking algorithm based on residual learning is proposed. Firstly, by combining the advantages of residual learning and dilated convolution, a depth network is constructed to extract target features and overcome the problem of network degradation. Secondly, the extracted feature information is input into the kernel correlation filtering algorithm, and a positioning filter is constructed to determine the central position of the target. Finally, adaptive segmentation is performed according to the different appearance characteristics of the target and the scaling coefficient of the target scale is calculated. The simulation results show that the algorithm can effectively deal with the influence of scale change and occlusion on tracking performance, and has higher tracking success rate and accuracy than other comparison algorithms.

Bare soil circular polarization scattering properties for GNSS-R applications
WU Xuerui, OUYANG Xinqiu, WANG Fang, MA Wenxiao
2020, 46(10): 1883-1889. doi: 10.13700/j.bh.1001-5965.2019.0553
Abstract:

GNSS-R is a new way of earth observation that uses the reflected signals of navigation satellites to remotely sense the geophysical parameters. Its unique feature is the circular polarization scattering. This paper employs the advanced integral equation model of bistatic scattering as a tool, and uses polarization synthesis to convert the random rough surface scattering model into a microwave scattering model that can calculate various polarizations. Simulation and analysis of the circular polarization scattering characteristics of bare soil under different observation geometries and different soil moisture contents are carried out. To some extent, the development of the random rough surface circular polarization scattering model fills the gap in the GNSS-R mechanism, and provides a tool for the subsequent further inversion of soil moisture.

A fretting fatigue total life prediction method for dovetail attachment
XU Kening, LI Wen, HUANG Yong, YU Qingtao, MA Guojia, HU Wenying
2020, 46(10): 1890-1898. doi: 10.13700/j.bh.1001-5965.2019.0471
Abstract:

Fatigue life of aero-engine dovetail attachment can be significantly reduced by fretting damage. Taking Ti-6Al-4V alloy aero-engine blade dovetail attachment as an example, a fretting fatigue total life prediction method for complex structure is proposed. A fatigue damage parameter was defined as an Equivalent Stress Parameter (ESP) based on modified Manson-McKnight method and multiaxial fatigue theory. Crack initiation position and nucleation life were evaluated by ESP and multiaxial stresses obtained from Finite Element Analysis (FEA). A numerical simulation method of fretting fatigue crack growth is proposed based on linear elastic fracture mechanics and maximum hoop stress criterion. From the simulated crack growth results, the function relationship between fretting fatigue propagation life and crack length was established, and the fretting fatigue propagation life was determined by the crack length at failure. The results show that the crack growth trajectory predicted by the simulation correlates well with that in a tested Ti-6Al-4V dovetail component-both have a crack kink angle of 18°. The estimated fretting fatigue total life (nucleation + propagation) of a dovetail under different fretting conditions by using the proposed numerical method matches well with test results, as the predicted total life is within 2 times of error range. Maximum tensile load has significant influence on crack nucleation and propagation life, and under the same stress ratio, the fretting fatigue total life of the Ti-6Al-4V dovetail attachment reduces one order of magnitude as the maximum tensile load increases from 18 kN to 24 kN.

Flutter active control method of time-varying delayed aerofoil with free-play nonlinearity
NIE Xueyuan, ZHENG Guannan, YANG Guowei
2020, 46(10): 1899-1906. doi: 10.13700/j.bh.1001-5965.2019.0542
Abstract:

Nowadays the studies on flutter active control methods considering time delays have been focused on constant time delay in one control channel. However, the time delays in a control loop are maybe time-varying and exist in the forward channel, feedback channel or both. As a result, the control method that can compensate time delay influences was developed and used to realize the flutter control of uncertain time delay for two channels. The trick where "time-stamped" flag was added in the data transferred was proposed. The state predictor with the ability to compensate for the time delays in feedback channel was reconstructed to predict the controlled plant states. The predictive controller using state feedback in a state space form was designed to compensate the delays in the forward channel. Then the stability of the closed-loop control system was analyzed with the above mentioned control strategy. The airfoil with free-play nonlinearity was used in the simulation. Then the flutter active control schemes for controlled system with variable time delays in both forward and feedback channels were investigated. Finally, the effects of time delay size in different channels on flutter control were discussed. The simulation results show that the developed method can suppress the flutter effectively with different time delay in both channels and improve the system stability. From a control point of view, the time delay in the feedback channel may have more influence on the control result when the control method based on the system state feedback is used.

Nonlinear disturbance observer based control for relative position and attitude coupled spacecraft
LIU Zengbo, QIAO Jianzhong, GUO Lei, LIU Zongyu, FAN Songtao
2020, 46(10): 1907-1915. doi: 10.13700/j.bh.1001-5965.2019.0546
Abstract:

This paper studies the control problem of approaching and docking autonomously system including an on-orbit servicing spacecraft with flexible appendages and an out-of-control target considering the coupled relative position and attitude dynamic. Choosing the relative position and the relative attitude quaternion as the system state and considering the relative position and attitude coupled which is produced by the propulsion installation error, the relative position and attitude coupled dynamics model of the servicing spacecraft with respect to the out-of-control target is established in the form of state equation. While considering the flexible appendages of servicing spacecraft, the vibration from flexible appendages is modeled as a derivative-bounded disturbance to the position and attitude control system of the rigid body. Then a nonlinear feedback control algorithm is proposed based on feedback linearization. Aimed at attenuating the modeled disturbance, a disturbance-observer-based control is formulated for feed forward compensation of the elastic vibration. Then a composite controller with a hierarchical architecture is designed by combining disturbance-observer-based control and nonlinear feedback control, where disturbance-observer-based control is used to compensate the disturbance from the flexible appendages. Numerical simulations and semi-physicd closed-loop experiments are performed to demonstrate that by using the composite hierarchical control law, disturbances can be effectively attenuated and the nonlinear feedback control law is robust with perfect tracking performance.

A novel method for aviation safety prediction considering error uncertainty
REN Bo, ZENG Hang, LIU Min, WANG Fang, CUI Lijie, CHEN Haoran
2020, 46(10): 1916-1922. doi: 10.13700/j.bh.1001-5965.2019.0537
Abstract:

Accurate aviation safety prediction is of great significance for preventing accidents. At present, aviation safety prediction is mostly deterministic prediction, which ignores the influence of various uncertainties on the prediction results. Based on the traditional deterministic prediction of aviation safety point, this paper presents the prediction of aviation safety interval considering the uncertainty of error. First, through the description method of nonparametric uncertainties, aviation safety prediction error probability density function is derived. Then, the highest density domain method is applied for the most likely future value interval under a certain reliability of aviation safety, and quantitative uncertainty factors cause changes in the aviation safety prediction results. This method aims at determining that the area contains aviation safety forecast reliability, and better understanding the uncertainty and risk of those being predicted in the future change. Taking aviation safety data of civil aviation of an airline from 1994 to 2015 as an example, we predict the aviation safety using aviation safety interval prediction. The results show that the proposed method can provide aviation safety prediction curve and more accurate variation range of uncertainty, which is more conducive to modeling uncertainty of aviation safety and explaining the possibility level of aviation safety prediction results, which can provide theoretical basis for aviation safety early warning and management.

Stochastic unit cell model for predicting elastic modulus of nanoporous copper
JI Yu, XING Yufeng, SHAO Lihua
2020, 46(10): 1923-1928. doi: 10.13700/j.bh.1001-5965.2019.0538
Abstract:

The elastic moduli of nanoporous copper measured through experiment are much lower than the simulated results from molecular dynamics. And the size of actual ligaments is larger than that used in simulation. In this paper, a stochastic unit cell model of nanoporous material is established in software ABAQUS through Python platform. Homogenized elastic parameter was calculated by multiscale homogenization method based on thermal-stress analogy method. First, the elastic modulus of nanoporous gold was predicted by the present unit cell model and compared with the experimental results. The high agreement indicates the effectiveness of the present model. Second, the model was applied to predicting the homogenization elastic modulus of the nanoporous copper under different volume fractions. The threshold phenomenon of the change of the homogenization elastic modulus of the nanoporous copper with volume fractions was revealed and the mechanism of this phenomenon was interpreted physically. Finally, the influencing factors resulting in the difference between the predicted results and the experimental data were analyzed.

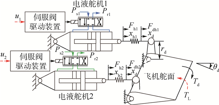
Fault-tolerant synchronization control for a dual redundant electro-hydraulic actuator system based on velocity estimation
LI Ting, WANG Xinmin, YANG Ting, CAO Yuyan, XIE Rong
2020, 46(10): 1929-1940. doi: 10.13700/j.bh.1001-5965.2019.0564
Abstract:

Considering the fact that the piston velocity measurements of electro-hydraulic actuators are not available in practice, a fault-tolerant synchronization control strategy based on piston velocity estimation is proposed to deal with the positon tracking problem for a Dual Redundant Electro-Hydraulic Actuator System (DREHAS) suffering from Internal Leakage Common-Mode Fault (IL-CMF) and disturbances. First, by introducing two groups of reference trajectory and a linear transformation of the system states, the decoupling of the control surface position tracking and the two actuators output force synchronization control is realized. Second, an Adaptive Extended State Observer (AESO) is designed to estimate the piston rod velocities and disturbances of the two-channel actuators, which overcomes the inaccuracy of the estimation results of Extended State Observer (ESO) under fault condition. Finally, based on the state estimation and the online adaptation of faulty parameters, a nonlinear fault-tolerant synchronization controller is developed by employing backstepping method. Lyapunov stability analysis indicates that the proposed scheme can ensure that all the signals of the closed-loop system are bounded and the system can achieve a prescribed tracking performance under IL-CMF and time-varying disturbances. Moreover, the system tracking error converges to zero asymptotically in the present of IL-CMF and constant disturbances. A simulation experiment validates that the proposed control scheme is effective.

Reliability analysis on one type of hydraulic motor in the case of introducing failure
HU Wenlin, LYU Weimin
2020, 46(10): 1941-1947. doi: 10.13700/j.bh.1001-5965.2019.0514
Abstract:

To solve an aggressive problem of directly using zero-failure data to analyze the reliability of the equipment, the data was comprehensively processed by introducing the failure information, and the reliability parameters could be estimated more reasonably. Taking a certain type of missile hydraulic motor whose life expectancy was exponentially distributed as an example, the Expected Bayes (E-Bayes) estimation of the failure rate in the case of zero-failure data was proved when the prior distribution of the failure rate was the Gamma distribution and the hyper-parameters were uniformly distributed. An improved method was proposed to determine the censoring test time. By introducing the failure information, the comprehensive E-Bayes estimation method of failure rate was derived, and the comprehensive estimation method of the reliability was given. For zero-failure data of the hydraulic motor, the comprehensive E-Bayes estimations of the failure rate and reliability are calculated. Compared with the existing methods, the range between the two is reduced by 22.33% and 38.02%, respectively. The computation results indicate the reasonability and availability of the proposed method.

UAV real-time route planning logical architecture in complex threat environment
LIU Chang, XIE Wenjun, ZHANG Peng, GUO Qing, XIAO Zonghao, GAO Chao
2020, 46(10): 1948-1957. doi: 10.13700/j.bh.1001-5965.2019.0534
Abstract:

Facing the battlefield environment with high confrontation and strong rejection, real-time route planning is an important guarantee to ensure the Unmanned Aerial Vehicle (UAV) to complete combat missions and improve its survival probability. In order to enable UAV to choose the appropriate real-time route planning mode when facing different levels of complex threat environment, a real-time route planning logic structure of UAV based on fuzzy inference mechanism is proposed. Firstly, the real-time route planning mode is classified. From the perspective of autonomy, the human-machine authority allocation levels are re-divided, and the connection between the real-time route planning mode and the human-machine authority is established. Secondly, aimed at the risk of "trust crisis" in typical Observation, Orientation, Decision, Action(OODA) control cycle, a real-time route planning architecture based on variable autonomy is constructed and its logic is explained. Finally, the dynamic human-machine authority allocation of UAV system is realized by using fuzzy inference mechanism, and the real-time route planning mode is determined by judging the man-machine permission assignment level. The simulation results show that the logic structure of real-time route planning is reasonable and the method of variable autonomy is effective. After comprehensive analysis, the decision-making results of real-time route planning mode also accord with the actual operational requirements. Compared with the fuzzy comprehensive evaluation method, the proposed method has lower subjectivity, stronger practicability and more convincing results.

Safety analysis and simulation verification of HWP in aerial refueling
CONG Jiping, CUI Lijie, CHEN Haoran, REN Bo
2020, 46(10): 1958-1965. doi: 10.13700/j.bh.1001-5965.2019.0607
Abstract:

For the hose aerial refueling system, the refueling hose is difficult to stabilize in a balance position due to interference of tanker wake, atmospheric turbulence, receiver bow wave, pilot operation, fuel pressure pulsation, etc. Thus the Hose Whipping Phenomenon (HWP) usually takes place in the docking phase of aerial refueling, which could reduce the docking success rate and the safety of refueling, and it is a typical hazard in aerial refueling process. Based on the System-Theoretic Accident Model and Processes (STAMP) and the System Theoretic Process Analysis (STPA) method, the safety analysis of HWP in aerial refueling process was carried out to systematically identify the unsafe action and causal scenes by constructing the control model, and a series of operational constraints were proposed from system level, unsafe action level and causing factors. According to the hazard function control structure of the HWP, the simulation verification platform was built by Simulink. The key causes of docking speed, reel mechanism control, and hose design length were inputted to verify the accuracy and feasibility of the proposed safety constraints.

Design of MSCSG control system based on ADRC and RBF neural network
LI Lei, REN Yuan, CHEN Xiaocen, YIN Zengyuan
2020, 46(10): 1966-1972. doi: 10.13700/j.bh.1001-5965.2019.0536
Abstract:

In order to overcome the influence of external disturbance mutation on the suspension stability of magnetic suspension rotor and the output torque precision of Magnetic Suspension Control Sensitive Gyro (MSCSG), a MSCSG radial deflection control method based on the combination of Auto Disturbance Rejection Controller (ADRC) and Radial Basis Function (RBF) neural network is proposed. The influence of ADRC parameters on the control effect of MSCSG is clarified. By optimizing the design of ADRC and combining RBF neural network with ADRC, the real-time debugging of controller parameters can be realized so as to overcome the impact of external disturbance mutation. It is proved by simulation that compared with single ADRC control, this method not only improves the accuracy of decoupling control, but also improves the response speed and robustness of the system to external disturbances and parameter changes. It can be applied to the MSCSG with high precision, fast response and strong robustness control.

GRA-TOPSIS emitter threat assessment method based on game theory
DONG Pengyu, WANG Hongwei, CHEN You
2020, 46(10): 1973-1981. doi: 10.13700/j.bh.1001-5965.2019.0543
Abstract:

When the radiation source threat assessment is handled as a multi-attribute decision problem, the scouting party cannot obtain all the information of the enemy radiation source, the method of Technique for Order Preference by Similarity to an Ideal Solution (TOPSIS) is hard to get perfect results in dealing with "poor information", and it only considers the Euclidean distance between the indicators and cannot reflect the correlation between different indicators. Aimed at the problems of TOPSIS method, a radiation source threat assessment model based on game theory is proposed by combining Grey Relational Analysis (GRA) and TOPSIS method. On the basis of constructing the comprehensive evaluation index system of radiation source targets, Game Theory (GT) idea is used to combine the subjective weights of Interval Analytic Hierarchy Process (IAHP) and the objective weights obtained by information entropy to obtain comprehensive weights, which can greatly reduce the information loss caused by the weight alone. Based on the GRA-TOPSIS radiation source threat assessment model, a decision information system for battlefield situation is constructed. By comparing with the traditional TOPSIS method, the effectiveness of the proposed method is verified, which is helpful for sorting radiation sources more precisely and accurately.

An improved 2D-TLS-ESPRIT algorithm of GTD model parameter estimation
ZHENG Shuyu, ZHANG Xiaokuan, GUO Yiduo, ZONG Binfeng, XU Jiahua
2020, 46(10): 1982-1989. doi: 10.13700/j.bh.1001-5965.2019.0556
Abstract:

The parameter estimation and noise robustness ability of classical Two-Dimensional Total-Least-Square Estimating Signal Parameter via Rotational Invariance Techniques (2D-TLS-ESPRIT) algorithm are not effective when extracting parameters of the two-dimensional Geometric Theory of Diffraction (GTD) model. To solve this problem, an improved 2D-TLS-ESPRIT algorithm is proposed in this paper. Firstly, polarization scattering matrix is added into the two-dimensional GTD model and hence the full-polarization scattering center model can be obtained. Secondly, the covariance matrix of the original echo matrix can be achieved by constructing a permutation matrix. The length of electromagnetic scattering data can be added by combing these two matrices. Finally, the simulation results prove that parameter estimation performance and noise robustness ability of the improved algorithm are better than those of the same kind of algorithms. The Radar Cross Section (RCS) extrapolation results also validate the superiority of the improved algorithm in parameter estimation performance.

Multi-efficiency optimization method of jamming resource based on multi-objective grey wolf optimizer
XING Huaixi, WU Hua, CHEN You, ZHANG Xiang
2020, 46(10): 1990-1998. doi: 10.13700/j.bh.1001-5965.2019.0559
Abstract:

Traditional jamming resource decision-making methods that rely on empirical decisions or simple template matching are difficult to adapt to the current complex electromagnetic environment. This paper focuses on the intelligent requirements of radar jamming resource decision-making. The jamming resource scheduling is modeled as a multi-objective optimization problem, and the jamming resource scheduling model is established with the objective functions of maximizing the overall jamming efficiency, minimizing the total jamming power, and minimizing the battle loss. A Multi-Objective Grey Wolf Optimizer (MOGWO) is used to solve the Pareto front of the problem model. The optimal solution set is used instead of the optimal solution, and then the optimal scheduling scheme is selected according to the actual situation of the battlefield to make the decision scheme more scientific and reasonable. The experimental results show that the MOGWO algorithm can overcome the shortcomings of the basic Grey Wolf Optimizer (GWO), such as lack of exploration competence and local convergence, and has higher search efficiency. The optimization ability and stability of the algorithm are better than those of the NSGA-Ⅱ algorithm and the MOPSO algorithm.