2020 Vol. 46, No. 11

Display Method:
Volume 46 Issue112020
iconDownload (89805) 1037 iconPreview
Positioning technology based on ORBCOMM signals of opportunity
QIN Honglei, TAN Zizhong, CONG Li, ZHAO Chao
2020, 46(11): 1999-2006. doi: 10.13700/j.bh.1001-5965.2019.0565
Abstract:

In order to get rid of the dependence on Global Navigation Satellite System (GNSS) and overcome the problem that it cannot work under the condition of intentional or unintentional interference, we can use Signals of Opportunity (SOP) to realize positioning. Low earth orbit satellite SOP have advantages of strong signal power, wide coverage and no need for additional infrastructure. This paper proposes to use Orbit Communication satellite (ORBCOMM) system to realize space-based SOP positioning. Through a further research on the communication system of ORBCOMM signals, Doppler measurement information is obtained by ORBCOMM frequency-doubling signals, and ORBCOMM signals of opportunity positioning method is realized by combining the satellite TLE data with orbit prediction model after establishing mathematical models of instantaneous Doppler positioning and geometric dilution of precision. The experimental results based on actual ORBCOMM signal show that the positioning accuracy can reach better than 140 m.The research of this paper is significant in theoretical research and practice application of positioning technology based on space-based SOP.

A fast EMD for multi-channel images based on morphological filter
HU Jianping, DU Ying, XIE Qi, WANG Xiaochao, ZHANG Daochang
2020, 46(11): 2007-2017. doi: 10.13700/j.bh.1001-5965.2020.0118
Abstract:

In order to improve the efficiency of the existing multi-channel image Empirical Mode Decomposition (EMD) methods, this paper presents a fast multi-channel image EMD method based on morphological filter. It uses the morphological expansion and erosion filters to compute the upper and lower envelopes of an image, which can accelerate the implementation of EMD for multi-channel images. The size of the morphological filter window is determined by the average extremum distance of each channel image. The proposed EMD method can decompose a multi-channel image adaptively into several Intrinsic Mode Function (IMF) images with scales from fine to coarse, and a residue representing the overall change trend of the image. A number of experimental results and comparisons show that the proposed method can not only accelerate the decomposition of EMD method, but also generate a good multi-scale adaptive decomposition for a multi-channel image. Its applications in image fusion and image watermarking and many experimental comparisons show that the proposed EMD method can be used to solve some specific image processing tasks conveniently and promptly.

Influence of one side facesheet crack damage on flexural properties of titanium honeycomb sandwich structures
YUE Xishan, YAN Qun, ZHAO Wei, XIE Zonghong
2020, 46(11): 2018-2025. doi: 10.13700/j.bh.1001-5965.2019.0587
Abstract:

During the manufacturing process and service period, the crack damage may occur in the facesheet of titanium honeycomb sandwich structure. The influence of one side facesheet crack damage on flexural properties of titanium honeycomb sandwich structures was studied experimentally and numerically. The research results show that the flexural strength of titanium honeycomb sandwich structure with one side facesheet crack damage is obviously lower than that of the structure without crack damage, and the flexural strength decreases linearly with the increase of the crack length; the finite element models can accurately predict the failure mode and fracture strength of the structures, and the maximum deviation between the predicted results and the test result is only 6%. The finite element analysis method can be used to predict the flexural strength of titanium honeycomb sandwich structure with facesheet crack damage in the engineering estimate.

Thermal control system design and on-orbit verification of hyperspectral greenhouse gas monitor on FY-3D satellite
SHEN Chunmei, YU Feng, LIU Wenkai
2020, 46(11): 2026-2038. doi: 10.13700/j.bh.1001-5965.2020.0138
Abstract:

The structure layout of hyperspectral greenhouse gas monitor on FY-3D satellite is very compact. There are eight optical lens, twelve electronic devices and three motors in the small-scale space. There are so many optical lens with high-precision temperature control requirement and so many heat source equipment. And thermal control resources such as heating power and radiator layout space are limited. These above characteristics make thermal control system design of hyperspectral greenhouse gas monitor a challenge. Thermal control system was designed based on multiple design methods including thermal management, indirect radiation thermal control, radiation cooling and collaborative optimization design of integrated structural and thermal control. Thermal control difficult problems were solved effectively. Hyperspectral greenhouse gas monitor experienced multiple operating modes after entering orbit. On-orbit temperature data show that all components' temperatures meet the requirements, and optical lens have high temperature stability under all the experienced operating modes. The maximum temperature fluctuation of interferometer is within ±0.15℃ under normal operating mode, and it is within ±0.45℃ for other optical lens. Furthermore, no matter under standby mode in a whole orbit period or normal operating mode, the heat dissipation systems of two sets of electronic device designed based on thermal management do not need to consume thermal control power resources. High-precision thermal control and energy saving thermal design are realized under the condition of multiple heat sources and complex working mechanism.

Reliability modeling of uncertain competing failure degradation system with a change point
LIU Baoliang, ZHANG Zhiqiang, WEN Yanqing, KANG Shugui, ZHANG Lei
2020, 46(11): 2039-2044. doi: 10.13700/j.bh.1001-5965.2020.0139
Abstract:

In this paper, the reliability model of a competing failure degradation system with a change point is proposed. The system is subject to continuous internal wear degradation and external shocks, the internal wear degradation is described by an uncertain process, and the external shock is a renewal reward process, i.e., interval time of external shocks arriving the system and damage sizes of shock load are governed by different random variables. The distribution of damage sizes of shock load changes after a random number of shocks because the change of external environment condition occurs. The reliability formulas of the degradation system under three shock patterns are obtained by employing uncertainty theory and chance theory, and the correctness and effectiveness of the model are verified by a numerical example.

Transient numerical simulation and on-orbit verification of loop heat pipe used for space remote sensor
MENG Qingliang, YANG Tao, YU Zhi, ZHAO Zhenming, ZHAO Yu, YU Feng
2020, 46(11): 2045-2055. doi: 10.13700/j.bh.1001-5965.2019.0584
Abstract:

For the purpose of meeting the requirement of application on-orbit for Loop Heat Pipe (LHP), a transient numerical model of LHP, which is used for the thermal control of Charge-Coupled Device (CCD) of GF-9 satellite, is developed by using the node-network method and flow and heat transfer relation formula. The processes of heat and mass transfer between evaporator and accumulator are considered. By comparison between simulation and on-orbit results, it is found that the temperature differences are 0.2-0.4℃ and 0.5-2.0℃, for the interior components and condensers, respectively. The influence of orbital external heat flux and working mode of heat source can be adjusted by the degree of dryness in the pre-heater. The heat leak from evaporator to accumulator, flow resistance of loop, and the length of two-phase loop can be affected by the working mode of heat sources. The model can be used to study the variation of LHP interior parameters under different orbital external heat flux and heat source working modes, and predict the transient behavior of LHP system, which can also be used to guide the design and development of subsequent products.

Joint optimization method for carrier-based aircraft fleet sortie support personnel configuration and scheduling based on marginal-ABC algorithm
SU Xichao, WU Heng, CUI Rongwei, ZHANG Yong
2020, 46(11): 2056-2068. doi: 10.13700/j.bh.1001-5965.2019.0581
Abstract:

Support personnel configuration and scheduling for support operations are two core contents of decision making for the carrier-based aircraft sortie support, and the practical problem of joint optimization for support personnel configuration and scheduling under complex constraints within flight deck operations is studied. Firstly, the precedence relations constraints, time-limit constraint for sortie, support personnel constraints, support equipment constraints, workstation space constraint and supply capacity constraint are analyzed systematically. Secondly, with the optimization objectives of minimizing the total number of support personnel and sum of load variance, a mixed integer programming model is established. Thirdly, a bi-level optimized decision framework based on marginal-Artificial Bee Colony (ABC) algorithm is designed. The upper decision model is built for optimizing the support personnel configuration with the marginal algorithm, and the lower decision model is built for optimizing the schedule for the aircraft fleet sortie support mission with the improved double-justified artificial bee colony algorithm. Finally, the feasibility and effectiveness of the proposed model and bi-level optimized decision mechanism are verified by a typical aircraft fleet sortie support case.

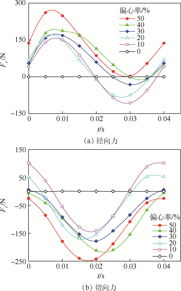
Time-domain analysis of rotordynamic characteristics with steam flow excited vibration in seal
SI Heyong, CAO Lihua, GUO Shuai, LI Pan
2020, 46(11): 2069-2076. doi: 10.13700/j.bh.1001-5965.2019.0571
Abstract:

In order to solve the problem of steam flow excited vibration caused by rotor eccentricity in steam turbine and the defects of static eccentric rotor whirling motion model in rotordynamic characteristics study, the dynamic mesh was adopted to simulate the authentic rotor three-dimensional whirling motion in order to study rotordynamic characteristics in time domain. The results show that the exciting force and the rotordynamic coefficients present the trigonometric function changes while the rotor whirls, and the direction of radial force changes with rotor central position. The rotordynamic characteristics are influenced by the eccentricity, whirling speed, rotational speed and pressure ratio. Under rated condition, the radial force and tangential force increase about 25-35 N averagely with the 10% increase in eccentricity. As the whirling speed increases, the tangential force, direct damping and cross damping decrease. With the increase of pressure ratio, the radial force increases, while tangential force decreases. In a certain range, the absolute value of maximal exciting force decreases when the rotational speed becomes higher.

Quantitative reconfigurability evaluation method of actuator for quadrotor UAV
SHEN Fuyuan, LI Wei
2020, 46(11): 2077-2086. doi: 10.13700/j.bh.1001-5965.2019.0568
Abstract:

The reconfigurability of system, that is, the ability of autonomous recovery of fault system, has been highly concerned by scholars with the continuous improvement of system security and reliability requirements. However, the existing quantitative evaluation methods for the reconfigurability of control system mainly focus on linear system. Therefore, this paper proposes a quantitative evaluation method of reconfigurability for nonlinear system based on the combination of robust observer of double sliding surfaces and Mahalanobis distance, which chooses the quadrotors Unmanned Aerial Vehicle (quadrotor UAV) with strong coupling, underdrive and strong nonlinearity as the controlled object. Firstly, in order to obtain accurate estimation of system state, a double sliding surface robust observer is designed based on the nonlinear model of quadrotor UAV, which is insensitive to disturbance and failure. Secondly, the similarity method based on Mahalanobis distance is used to quantitatively evaluate the reconfigurability for nonlinear system under the double constraints of actuator saturation and system state error. Finally, the effectiveness of the proposed method is verified by the quadrotor UAV simulation experiment. The results show that the method can truly reflect the system reconfigurability quantification level under different failure levels, which provides an important basis of the control strategy adjustment and compensation for nonlinear fault systems.

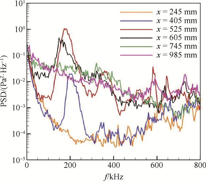
Experimental study of boundary-layer transition on a 7° sharp cone in shock tunnel
LI Jiwei, LU Pan, WANG Qiu, ZHAO Wei
2020, 46(11): 2087-2093. doi: 10.13700/j.bh.1001-5965.2019.0577
Abstract:

Hypersonic boundary layer transition has an important influence on friction drag and heat transfer, and thus accurate prediction and control of boundary layer transition are critical to the development of hypersonic vehicles. In this paper, experimental study on a 7° half-angle sharp cone was conducted in the JF8A shock tunnel to investigate the hypersonic boundary layer transition. The wall fluctuation pressure was measured by the pressure transducer with the response frequency as high as 1 MHz, and the development process of the disturbance wave in hypersonic sharp cone boundary layer was also investigated together with the results of heat flux measurement. The experimental results show that the pressure fluctuation in the free flow is 2.8% under the test condition of Reynolds number equals to 6.4×106/m. Structures and development of the second mode waves in the process of transition can be obtained by the high-frequency fluctuation pressure measurement technique. The characteristic frequency of the second mode wave changes from 165 kHz to 206 kHz under the present test condition. The current research results can provide data support for hypersonic numerical method validation.

Trajectory prediction of hypersonic glide vehicle based on SVM and EKF
CHENG Yunpeng, SUN Chengzhi, YAN Xiaodong
2020, 46(11): 2094-2105. doi: 10.13700/j.bh.1001-5965.2020.0050
Abstract:

In the scenario of intercepting a Hypersonic Glide Vehicle (HGV), the trajectory prediction is a key issue for successful interception. Considering HGV's strong maneuverability and variable trajectory, in this paper, a novel trajectory prediction method is proposed based on Support Vector Machine (SVM) and Extended Kalman Filter (EKF). First, the investigation on the maneuvering mode is performed. The maneuver motion of the HGV is divided into longitudinal mode and lateral mode, which are labeled and formulated into the training set of SVMs. Second, the tracking model of the trajectory for single ground-based radar is established, and EKF is applied to track the glide trajectory of HGV. Finally, the recognition framework of HGV motion is established based on SVM, and the prediction of the subsequent trajectory is accomplished. The results show that the proposed method can improve the trajectory prediction accuracy of HGV.

Analysis method for conversion corridor of quad tilt rotor aircraft
YU Zhiming, CHEN Renliang, KONG Weihong
2020, 46(11): 2106-2113. doi: 10.13700/j.bh.1001-5965.2019.0594
Abstract:

For flight's characteristics of morphing and speed change in the conversion mode of Quad Tilt Rotor (QTR) aircraft, a comprehensive method based on flight dynamics model is proposed to calculate the conversion corridor of QTR aircraft. In this method, the boundary of lower speed and upper speed are limited by the lift characteristic of wing, and the upper conversion boundary is limited by the available power of the single rotor. The proposed method was used to determine the conversion corridor of the example QTR aircraft without cyclic pitch control, and to analyze the variation of aerodynamic force of pneumatic components and front and rear rotor power with forward speed under different angles of attack of fuselage. The results show that the QTR aircraft is superior in tilting at small angles of attack of fuselage. The vertical force ratio provided by each pneumatic component would change with the angles of attack of fuselage. The upper speed boundary of the conversion corridor of QTR aircraft is composed of the upper speed boundary of the wing lift characteristic and the limit boundary of single rotor power. The available power limit boundary of single rotor is stricter than the total available power limit boundary.

Multi-working-condition topology optimization of coarse pointing mechanism for periscopic laser communication
ZHAO Ruijie, WANG Chunjie, YAN Su
2020, 46(11): 2114-2120. doi: 10.13700/j.bh.1001-5965.2019.0566
Abstract:

Laser communication technology has wide application prospects. The coarse pointing mechanism for periscopic laser communication is taken as the research object. The equivalent finite element modeling method of the mechanism is proposed, and then the corresponding finite element model is established. The effects of acceleration load and temperature load on the performance of the mechanism in the launch stage and the on-orbit working stage are analyzed. The multi-working-condition topology optimization method is used to optimize the main structure of the mechanism for improving the working performance of the mechanism. The optimization objective is to maximize the weighted average of the first three order frequencies of the mechanism under launch and working conditions, minimize the mirror central deformation during launch, and minimize the mirror surface error of thermal deformation during on-orbit working. The constraints are the mass of the mechanism and the gap between the response of the left and right mirrors. The feasible direction method is used to complete the optimization iteration calculation. After optimization, the fundamental frequencies of the mechanism under two working conditions increase. The central deformation and surface error of mirrors are reduced. The overall performance of the mechanism is improved significantly.

Crack propagation analysis and strength prediction of bonded joints based on XFEM-CZM coupling method
ZHOU Wei, ZHANG Chao, GAN Shuyuan
2020, 46(11): 2121-2130. doi: 10.13700/j.bh.1001-5965.2019.0579
Abstract:

In this paper, the crack propagation and interface debonding in the adhesive layer of bonded joints were analyzed based on the coupling method of Extended Finite Element Method (XFEM) and Cohesive Zone Model (CZM). By using the cohesive interfacial element and surface-based cohesive contact to describe the interface between adhesive layer and adherent, the finite element models of single- and double-lap joints were established. The strength properties of bonded joints under tensile loading were predicted and compared with available experiment data. The feasibility of XFEM-CZM coupling method and the effectiveness of cohesive element and cohesive contact interfacial modeling methods were verified. The process of crack propagation from the interior of the adhesive layer to the adhesive layer/adherent interface was simulated, and the damage and failure mechanism in this process was analyzed. The effects of initial crack length, interface stiffness, strength and strain energy release rate on the strength properties of bonded joints were discussed. The numerical results show that the strength of bonded joints decreases with the increase of initial crack length, and it is more obvious in the double-lap joint model. The interface stiffness and strength have greater influence on the strength of bonded joints while the effect of strain energy release rate is small.

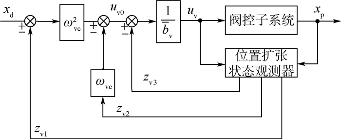
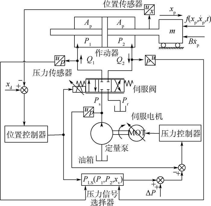
Active disturbance rejection control method for position servo system based on electro-hydraulic load sensing
LIU Hua, WANG Chengwen, GUO Xinping, ZHAO Bin, HUO Pengfei
2020, 46(11): 2131-2139. doi: 10.13700/j.bh.1001-5965.2019.0569
Abstract:

To deal with the strong interaction between position loop and pressure loop in the electro-hydraulic load sensing control system, we propose a decoupling strategy based on Active Disturbance Rejection Control (ADRC) in this paper. First, according to the equation expressions built by theoretical analysis, the stale space mode model of the load sensing control system was established. Then, position ADRC controller and pressure ADRC controller are designed to control piston position and pump pressure independently. The dynamic interaction between the position loop and pressure loop, external disturbances and uncertainties are treated as total disturbances, which were compensated by ADRC controller. Finally, co-simulation experiment was conducted by using MATLAB and AMESim. The simulation results show that the proposed control strategy can eliminate the strong interaction between the position loop and pressure loop, and improve the control accuracy and robustness of the system. In addition, the dynamic performance and energy-saving efficiency are compared with those of valve-controlled and pump-controlled systems. The simulation results show that the dynamic performance of the load sensing system based on ADRC is better than that of the pump-controlled system, and the energy efficiency is also greatly improved compared with the valve-controlled system.

Improved GERT based time characteristic modeling and analysis method for task process
XIA Hongqing, JIAO Jian, CHU Jiayun, ZHAO Tingdi
2020, 46(11): 2140-2148. doi: 10.13700/j.bh.1001-5965.2019.0572
Abstract:

The characteristic of time is an important requirement for system tasks, especially in complex industrial systems. This paper adopts Graphical Evaluation and Review Technique (GERT) to build the stochastic network model of task flow. Considering the queued execution of activities caused by resource sharing and the overlapping of some upstream and downstream activities in tasks, the queuing theory and time factor are introduced to modify the execution time of each activity in the task, and the solution steps are given. The average execution time of the task increases by 22.9%; through uncertainty analysis, moreover, the key activities in the task are found out, which can provide direction and ideas for further task optimization. The landing task of carrier-based aircraft is taken as a case study to demonstrate the effectiveness and applicability of the proposed method.

Parameter estimation of 1D GTD scattering center model based on an improved MUSIC algorithm
ZHENG Shuyu, ZHANG Xiaokuan, GUO Yiduo, ZONG Binfeng, XU Jiahua
2020, 46(11): 2149-2155. doi: 10.13700/j.bh.1001-5965.2019.0576
Abstract:

The noise robustness and parameter accuracy are poor when the classical Multiple Signal Classification (MUSIC) algorithm is used to estimate parameters of the one-dimensional Geometric Theory of Diffraction (GTD) scattering center model. To solve this problem, a series of improved MUSIC algorithms are proposed in this paper. Firstly, the improved algorithms construct the conjugate matrixof the original back-scattered data, which utilizes the information of the original data more effectively. Secondly, by averaging the covariance matrix of the original scattering data and its conjugated data, a novel total covariance matrix can be obtained. Finally, quadratic, quartic and other even power are performed on the matrix to obtain another matrix, and thus it can broaden the differences between the eigenvalues of noises and signals, which is equivalent to increasing the signal-to-noise ratio. Simulation results show that the parameter estimation performance and noise robustness are better than those of the classical MUSIC algorithm.

Comparison of direct and indirect filtering modes for UAV integrated navigation
WANG Junhui, SUN Rui, CHENG Qi, ZHANG Wenyu
2020, 46(11): 2156-2167. doi: 10.13700/j.bh.1001-5965.2019.0578
Abstract:

Global Navigation Satellite System/Inertial Navigation System (GNSS/INS) integrated navigation that could provide continuous and high-accuracy position, velocity and attitude are widely used in UAV state estimation. Particularly, the design of filtering algorithm is the key to the integration. Besides, different modes of integrated navigation influence the navigation and positioning results. In this paper, the direct and indirect modes based Extended Kalman Filter (EKF) algorithms are designed for the loosely-coupled Glolal Positioning System/Inertial Navigation System (GPS/INS) integration in Unmanned Aerial Vehicle (UAV) state estimation and tested in different scenarios. The results of simulation and field test indicate that the integration algorithm with the indirect mode can provide higher accuracy and stability state estimation results than the direct mode but with an increased computational cost. It is recommended to choose the indirect mode based integration for the applications with higher accuracy and reliability, while for the applications with the requirements of lower accuracy and fast computation, the direct mode based integration is recommended to reduce the system cost.

Dynamic radiator threat assessment based on CRITIC-TOPSIS
XU Yuheng, CHENG Siyi, PANG Mengyang
2020, 46(11): 2168-2175. doi: 10.13700/j.bh.1001-5965.2019.0585
Abstract:

In order to solve the problem that the traditional radiator threat assessment method is not closely related to the dynamic situation of air combat and to improve the assessment accuracy, an algorithm combining the inverse form of Poisson distribution with Technique for Order Preference by Similarity to an Ideal Solution (TOPSIS) method is proposed. The Criteria Importance Through Intercriteria Correlation (CRITIC) method is also introduced to assign the attribute weight, and the dynamic radiator threat assessment model based on CRITIC-TOPSIS is constructed. In view of the deficiency of the traditional method that only relies on the current detection and collection data and does not reflect the dynamic change of air combat situation, the Poisson distribution inverse form is adopted to fuse the radiator data information at multiple moments to realize the dynamic assessment. In view of the problem that traditional TOPSIS method relies on subjective assignment, the CRITIC method comprehensively considers the correlation within single index and among multiple indexes, and can completely describe the attribute information and objectively assign the attribute weight. The simulation results show that, compared with the traditional static assessment model, the model in this paper is more discriminative for radiator with different threat degrees, and has higher assessment accuracy and reliability.

A ranging method of hybrid modulation fuze based on instant correlation frequency domain detection
WANG Xiongwu, HAO Xinhong, JIA Jianguang, LI Ping, CHEN Qile
2020, 46(11): 2176-2183. doi: 10.13700/j.bh.1001-5965.2019.0592
Abstract:

For the radio fuze combining chaotic code bi-phase modulation with linear frequency modulation, a ranging method based on instant correlation frequency domain detection is proposed to achieve precise ranging for the ground targets with different scattering characteristics. Before instant correlation in time domain, the local chaotic code and the target echo signal are sampled synchronously with code width as sampling period; to reduce the influence of the target echo signal amplitude on ranging method, target distance and speed information are extracted by Two-Dimensional Fast Fourier Transform (2D-FFT), three feature quantities of the instant correlation window position, harmonic envelope main lobe position and stable Doppler frequency are used as the ranging basis, and precise ranging is achieved in frequency domain. Simulation results show that the judgement results of ranging method are only related to the signal-to-noise ratio of the target signal, regardless of the magnitude of the signal amplitude, and it can achieve precise ranging of the hybrid modulation radio fuze for the ground targets with different scattering characteristics in the circumstance of a very low signal-to-noise ratio -28 dB.

Communication interference assessment methods in GSO satellite system deployment
DONG Suhui, YAO Xiujuan, GAO Xiang, HAN Zhaohui, YAN Yi, SUN Yunlong
2020, 46(11): 2184-2194. doi: 10.13700/j.bh.1001-5965.2019.0596
Abstract:

Aimed at the issue of co-channel interference estimation in the Geostationary Satellite Orbit (GSO) system layout, the interference assessment scenarios were designed with the global distribution of earth stations and satellites for downlink and uplink and the integrated impact of beam service characteristics for multiple links. The interference estimation and analytical calculation models for the global distribution of the GSO system were established. An evaluation method based on interference function extremum was proposed. By establishing the random distribution set of the interference earth stations and the function of the interfered system, combined with the global terrain data, antenna beam parameters, and electromagnetic wave propagation model provided by International Telecommunication Union (ITU), the method could realize the quantitative calculation and analysis of satellite orbital and earth station layout between two GSO systems. The method was applied to co-directional downlink and uplink interference scenarios for quantitative calculation, with GSO satellites at 47°E±6° and earth stations at the (23°N, 26°E) for downlink, and GSO satellites at 26°E±6° and earth stations at the (23°N, 26°E) for uplink. The results show that the interference-to-noise ratio value is -12.29 dB with 2° orbital interval, and the error is 0.7% with the limit -12.2 dB specified in the ITU Recommendation, which verifies the effectiveness and feasibility of this method. The method can also calculate the interference distribution of GSO system in any angular interval and global deployment scenario, which has certain reference significance for making interference assessment and avoidance measures.