2020 Vol. 46, No. 12

Display Method:
Volume 46 Issue122020
iconDownload (26778) 1489 iconPreview
Competing failure modeling for degradation-shock dependence systems with shock toughness
SUN Fuqiang, LI Yanhong, CHENG Yuanyuan
2020, 46(12): 2195-2202. doi: 10.13700/j.bh.1001-5965.2019.0628
Abstract:

Failure of complex systems is usually the result of dependent competing between degradation failure and sudden failure caused by some random shocks. In this paper, a degradation-shock dependent competing failure model and reliability evaluation method based on nonlinear Wiener process are proposed for some systems with shock toughness. The m-δ shock model is used to consider the ability of the system to resist the shock load, that is, only when the random shock frequency is higher than a certain level, a sudden failure will occur, and in other cases, only the degradation process will be affected. On this basis, the nonlinear Wiener process model is modified to consider the effect of random shock on the degradation of the system in both the degradation increment and the degradation rate. Finally, a space memory unit case is used to verify the proposed method, and the parameter sensitivity analysis is carried out.

Simulation and test study on split four-wheel air cycle refrigeration system
YANG Han, ZHANG Xingjuan, WANG Chao, YANG Chunxin
2020, 46(12): 2203-2210. doi: 10.13700/j.bh.1001-5965.2019.0633
Abstract:

In order to improve the performance of cabin environmental control system and reduce the difficulty of design and manufacture, the split four-wheel air cycle refrigeration system was proposed. Two split two-wheel turbine coolers were used instead of integral four-wheel cooler. Based on the enthalpy parameter method, the thermal performance of split four-wheel and four-wheel air cycle refrigeration system was analyzed. Results showed that the two systems have the same thermal performance. A prototype of split four-wheel air cycle refrigeration system was built and tested, and the maximum refrigeration capacity was 12.0 kW. The error between theoretical value and test value of refrigeration capacity was within ±15%, which verified the correctness of enthalpy parameter method. The coefficient of performance of the prototype was between 0.21 and 1.15. The spilt four-wheel air cycle system can provide research ideas for the development of domestic airliner environmental control system.

Data fusion algorithm of multi-sensor redundant inertial navigation and its application in self-alignment
GUO Jiangang, CHEN Peng, ZHENG Wei
2020, 46(12): 2211-2216. doi: 10.13700/j.bh.1001-5965.2019.0604
Abstract:

For the self-alignment problem of the multi-sensor redundant inertial navigation system, the data fusion algorithm of the inertial navigation system is studied based on ten-sensor inertial navigation system which consists of three-orthogonal and two-skew sensors. The validity of the least square estimation data fusion algorithm in improving the self-alignment accuracy of the system is verified through analysis and simulation. Then, a static alignment experiment is conducted and a weighted matrix based on the bias stability is established. The results of the experiment show that, compared with using the data of orthogonal instruments only, the data fusion can effectively improve the self-alignment accuracy of the system and make full use of the data of the skew redundant instruments. The accuracy of the improved algorithm is slightly better than that of Markov estimation.

Quantitative design model of civil aircraft cabin layout for ergonomics
CHEN Hao, PANG Liping, WANYAN Xiaoru, FANG Yufeng, GUO Sinan, MIN Yuchen
2020, 46(12): 2217-2226. doi: 10.13700/j.bh.1001-5965.2019.0623
Abstract:

To improve layout design efficiency and provide technical support for the rapid simulation design system of civil aircraft cabin, a quantitative design model for civil aircraft cabin layout is proposed. The ergonomic demand-oriented model took seat row distance, seat row number and cabin section length as design variables, and constructed three objective functions, which are comfort, economy and safety. The constraints were quantitatively represented in the model, including cabin boundary restriction, man-machine space coupling relationship, and airworthiness safety requirements. Model applicability was verified by taking the dual-aisle wide-body, single-aisle narrow-body, and regional airliner as analytical examples. The results show that the model can be applied to various types of cabin layout design by providing multiple quantitative design schemes meeting ergonomic design requirements. Optimization approaches for various types of indices can also be revealed in the model. It indicates that the quantitative design model could be a new adaptive method for the rapid design and the schemes comparison in the conceptual design stage and a quantitative assistant decision-making tool for the selection of airline passenger cabin layout.

A modeling method and its application of global atmospheric density in near space
CHENG Xuan, XIAO Cunying, YANG Junfeng, HU Xiong, YAN Zhaoai, LIU Dan
2020, 46(12): 2227-2235. doi: 10.13700/j.bh.1001-5965.2019.0614
Abstract:

Based on the 20-100 km atmospheric density data observed by TIMED/SABER satellite from year 2002 to 2018, the global grid data of monthly average and standard deviation are calculated statistically. Based on the grid data, the characteristics of atmospheric density variation are analyzed. The relative errors of USSA76 are calculated and the distribution characteristics of relative errors of USSA76 are analyzed. In addition, driven by the grid data, the atmospheric density is characterized as the sum of the monthly average and the large-scale disturbances and small-scale disturbances. The large-scale perturbations and small-scale perturbations are characterized by cosine functions and first-order autoregressive models, respectively. And a global near-space atmospheric density model is initially established. By comparing the simulated values of the model with the observed values of the lidar, the results show that the model values have a good agreement with the observed values, which verifies that the modeling method is feasible. Finally, Monte Carlo method can be used to reproduce all possible states of atmospheric density on a given trajectory.

Design of gust alleviation active control law considering time-delay of servo actuator
YANG Yang, YANG Chao, WU Zhigang, DAI Yuting
2020, 46(12): 2236-2244. doi: 10.13700/j.bh.1001-5965.2019.0635
Abstract:

For the aersevoelastic model including servo actuators with time-delay segment, the design method of gust alleviation control system is proposed based on Padé approximation and Linear Quadratic Gaussian (LQG) control method. Padé approximation was used to linearize the time-delay segment to a high-order transfer function, and then this function was introduced to an aeroelastic model to establish a linear controlled model of gust alleviation. The LQG method was applied to design a gust alleviation control system based on the linear model, and the order of control system was reduced by the balance truncation method. By using Simulink, the designed control system was introduced to the nonlinear model to calculate the gust responses of open/closed systems under von Karman continuous gust model. The results showed that the gust alleviation control system based on the proposed method could effectively reduce the gust responses of the original model with time-delay. The overloads of the airplane were reduced by around 15% and the root bend moment was reduced by more than 25%.

Comparative study on immunoreactions of small intestinal submucosa by irradiation and ethylene oxide sterilization treatments
SUN Lei, YUAN Yuan, NIU Rui, LI Weifeng, ZHAI Hui, NIU Xufeng
2020, 46(12): 2245-2252. doi: 10.13700/j.bh.1001-5965.2019.0621
Abstract:

Foreign body reaction is one of the key factors limiting the application of implantable biomaterials. This study evaluates the in vivo immune response of acellular Small Intestinal Submucosa (SIS) materials treated with irradiation and Ethylene Oxide (EO) sterilization technology for providing a basis for clinical trials. The sterilized materials are subcutaneously implanted into BALB/c mice for 14 or 28 days. Compared with negative controlgroup, there is no difference in the size, weight, cell numbers, lymphocytes proliferation and enzyme-linked immunosorbent assay of the immune organs for two sterilized materials on mice. These results prove that the SIS materials treated by two sterilization methods do not cause obvious inflammatory reaction. Flow cytometry analysis and H&E staining results show that the materials sterilized by EO have less immune stimulation to mice. It means that EO treatment is a safer and more reliable sterilization method for SIS material, providing a prospect for sterilization procedure and clinical application of acellular SIS materials.

Fault estimation method based on adaptive super-twisting sliding mode observer and unknown input observer
QIN Yufeng, SHI Xianjun, ZHAI Yuyao, HAN Lu, LONG Yufeng
2020, 46(12): 2253-2263. doi: 10.13700/j.bh.1001-5965.2019.0631
Abstract:

For the problem of fault estimation with unknown disturbance, a fault estimation method based on Adaptive Super-Twisting Sliding Mode Observer (ASTSMO) and Unknown Input Observer (UIO) is proposed. This method does not require that the upper bound of fault derivative is known, which avoids the problem of sliding-mode gain overestimation in the existing adaptive algorithms, and is able to handle simultaneous faults of multiple actuators. First, the original system is degraded to two subsystems by non-singular transformation, one of which is only affected by the fault, and the other subsystem contains both fault and uncertain interference. ASTSMO and UIO are designed for two subsystems respectively, and the error of the system of finite time convergence condition has been carried on the proof. At the same time, the initial value of sliding-mode gain and the design method of time-varying gain are given. Then, based on the concept of equivalent control, the fault is detected and estimated. Finally, a simulation example is given to verify the effectiveness of the proposed fault estimation method.

Selective maintenance model and its solving algorithm for complex system
WANG Haipeng, DUAN Fuhai, MA Jun
2020, 46(12): 2264-2273. doi: 10.13700/j.bh.1001-5965.2019.0619
Abstract:

Considering no maintenance, minimal maintenance, replacement maintenance and multiple intermediate maintenance levels, a selective maintenance model for the complex system is proposed based on Particle Swarm Optimization (PSO) algorithm and multiple repairpersons. In the imperfect maintenance model, effective age, maintenance cost and pre-maintenance state of components are introduced, which is more in line with the engineering practice. A system components maintenance tasks assignment algorithm, to solve the problem of how to assign multiple maintenance tasks to multiple repairpersons in order to minimize the maintenance time, is also proposed. Furthermore, the proposed algorithm is introduced into the PSO algorithm to solve the selective maintenance model, which is given for complex system considering multiple repairpersons and imperfect maintenance. The results of case analysis show that the proposed model and the corresponding algorithm are effective, and can provide feasible maintenance decision-making schemes for complex system.

Attitude decoupling control and stability analysis of SADRC based quadrotor system
WAN Hui, Qi Xiaohui, LI Jie
2020, 46(12): 2274-2283. doi: 10.13700/j.bh.1001-5965.2019.0620
Abstract:

An Switch in linear-nonlinear Active Disturbance Rejection Control (SADRC) attitude decoupling control approach was proposed due to the underactuated, strong coupling characteristics of quadrotor. First, the mathematical model of the quadrotor attitude was formulated by taking quadrotor aircraft platform as research object. The SADRC and the basic principles of it were introduced. Then, an attitude decoupling controller based on SADRC was designed, followed by the stability analysis via Lyapunov function. Finally, the control performance of SADRC is verified by simulation experiments. The results indicate that SADRC controller possesses better performance to both Linear Active Disturbance Rejection Control (LADRC) and Nonlinear Active Disturbance Rejection Control (NLADRC) in anti-disturbance and robustness in some occasions, and has potential applications in engineering practice.

Semi-autonomous driving bus platooning and scheduling optimization
DAI Zhuang, CHEN Xi, MA Xiaolei
2020, 46(12): 2284-2292. doi: 10.13700/j.bh.1001-5965.2019.0627
Abstract:

Semi-autonomous driving bus platooning refers to the vehicle organization technology that connects bus units together through vehicle communication technologies to realize coordinated driving of vehicles and dynamic design of vehicle capacity. Based on semi-autonomous driving us platooning, a dynamic bus operation model is first proposed to model bus arrival and departure time at stops, passenger dwelling process, bus capacity constraint and onboard passenger dynamics. On this basis, a semi-autonomous driving bus scheduling optimization model is proposed to jointly optimize platooning size and bus dispatching time with the objective of the sum of the optimizing operating cost and passenger waiting time cost. An improved genetic algorithm is proposed to solve the model efficiently. The model is validated using a real-world example of bus route 55, Hangzhou, China. Simulation results show that the proposed semi-autonomous driving bus scheduling can reduce bus operating cost by 29.2% and reduce passenger waiting time cost by 18.2%, when compared with conventional human-driven bus scheduling. The result verifies the efficiency of the proposed model in scheduling semi-autonomous driving bus.

Effect of heating of turbine on the safety of carrier-based aircraft ski jump takeoff
QIAN Renjun, LI Benwei, XU Yanjun, DONG Qing, ZHANG Yun
2020, 46(12): 2293-2301. doi: 10.13700/j.bh.1001-5965.2019.0597
Abstract:

The turbine engine under unheated conditions produces thrust loss and influences the safety of carrier-based aircraft ski jump takeoff. The difference of the takeoff limit weight under heating and unheated conditions is analyzed. The dynamic model of carrier-based aircraft ski jump takeoff is established. According to the ski jump takeoff safety criterion, the takeoff limit weight is determined by the minimum climb rate in flight path, which is not less than zero. And the takeoff limit weight under heating and unheated conditions is compared when taking off from 105 m and 195 m runway with different deck wind and different air temperature. The results show that heating of turbine has a greater impact on the takeoff limit weight of 105 m short runway. With the increase of deck wind, the relative deviation of takeoff limit weight under heating and unheated conditions decreases gradually. The maximum and minimum deviation are 2.70% and 2.44% respectively when taking off from 105 m runway. The maximum and minimum deviation are 2.64% and 2.40% respectively when taking off from 195 m runway. With the increase of air temperature, the relative deviation of takeoff limit weight under heating and unheated conditions increases first and then slows down. The maximum and minimum deviation are 2.79% and 2.56% respectively when taking off from 105 m runway. The maximum and minimum deviation are 2.69% and 2.46% respectively when taking off from 195 m runway.

Siamese network visual tracking algorithm based on cascaded attention mechanism
PU Lei, FENG Xinxi, HOU Zhiqiang, YU Wangsheng, MA Sugang
2020, 46(12): 2302-2310. doi: 10.13700/j.bh.1001-5965.2019.0601
Abstract:

Aimed at the problem that the Fully Convolutional Siamese Network (SiamFC) is easy to fail to track when it is disturbed by similar object or the target has large-scale appearance changes, this paper proposes a Siamese network visual tracking algorithm based on cascaded attention mechanism. First, the non-local attention module is added to the last layer of the network, and the self-attention feature map of the target area is obtained from the spatial dimension and is added with the last-layer feature. Then, considering the different responses of different channel features to different targets and scenes, the channel attention module is introduced to select the importance of feature channel. In order to further improve the robustness of tracking, it is weighted fused with SiamFC algorithm to obtain the final response map. Finally, the Siamese network model is proposed to jointly train on the GOT10k and VID data set to further improve the expression and discrimination of the model. Experimental results show that compared with SiamFC, the proposed algorithm improves the accuracy by 9.3% and the success rate by 5.4%.

Data reconciliation scheme for space-ground quantum key distribution network
SUN Haizheng, SHANG Tao, LIU Jianwei, GENG Yunxiao
2020, 46(12): 2311-2319. doi: 10.13700/j.bh.1001-5965.2019.0599
Abstract:

In the space-ground quantum key distribution network, the hardware device limitation of the air platform makes the data transmission speed and processing capability of the post-processing stage weakened. Aimed at the characteristics of free space and airborne platform, this paper proposes a data reconciliation scheme suitable for the space-ground quantum key distribution network. Firstly, quantum error correction techniques are used to reduce the bit error rate of the original key. Then, a new method is designed to prepare random sequences in Low Density Parity-Check (LDPC) algorithm. Finally, considering the performance of the LDPC decoding algorithm and the hardware implementation complexity of the algorithm, Min-Sum decoding algorithm in the soft decision is selected. The simulation analysis shows that the error rate of the original key after quantum error correction processing is significantly reduced, and the error rate is reduced from 29.5% to 4.4%. Using a new method to generate a random sequence, the efficiency is improved under the premise of ensuring the randomness of the sequence. The time to generate a random replacement sequence with a length of 10 000 is about 0.019 s. The Min-Sum decoding algorithms in the LDPC decoding algorithm are moderate in performance and simple in hardware implementation.

Modeling of box-wing tilt-rotor UAV based on Lagrange equation in Hamilton system
WU Han, WANG Zhengping, ZHOU Zhou, WANG Rui
2020, 46(12): 2320-2328. doi: 10.13700/j.bh.1001-5965.2019.0602
Abstract:

The dynamics modeling of the tilt-rotor aircraft is studied during dynamic transition process. Firstly, starting from the multibody dynamics, a box-wing tilt-rotor UAV is taken as an example, which is assumed as a multi-rigid-body system consisting of wings, a body, ducted fans, tilt rotors, etc. Secondly, the non-conservative force and moment matrix of the UAV system are established by the displacement constraints of different rigid body centroids, and the kinetic energy, potential energy, complementary virtual work and inverse potential energy of the UAV are established. Finally, based on the Lagrange equation in Hamilton system and the second Lagrange equation, the dynamics model of the box-wing tilt-rotor UAV is deduced and established. The simulation results show that the simulation results of the dynamics models established by the two types of Lagrange equations are consistent with the experimental data, which verifies the rationality of the proposed modeling method. In the case that the rotation speed of the tilt rotor is constant, the longer the transition process takes, the less the UAV is dropped, the smoother the trajectory is, but the more input energy is, and the design of the specific transition process should be determined according to the actual needs of the time that the transition process takes, input energy, etc.

Improved rotor position detection method based on SMO
ZHAO Yahui, FENG Ming, LI Weiwen
2020, 46(12): 2329-2338. doi: 10.13700/j.bh.1001-5965.2019.0637
Abstract:

Due to the problem that the rotor position of sensorless Permanent Magnet Synchronous Motor (PMSM) cannot be accurately observed at high speed, which causes distortion of three-phase current fluctuation, an improved Sliding Mode Observer (SMO) is proposed to estimate the rotor position and speed more precisely. A function is adopted to be the switching function of the SMO to eliminate the fluctuation in the calculation of the back-EMF. Furthermore, a Software Phase Locked Loop (SPLL) algorithm is introduced to decrease the influence of chatting of traditional sliding mode observer on rotor position. The combined method significantly improves the observation accuracy of the rotor position angle at high speed. A controller of high speed PMSM is successfully developed and can works steadily under ultra-high speed and high power condition.

Composite control method for gimbal excitation effect suppression of magnetically suspended CMGs
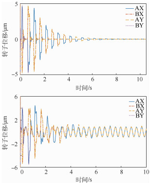
WANG Shu, ZHENG Shiqiang
2020, 46(12): 2339-2347. doi: 10.13700/j.bh.1001-5965.2019.0610
Abstract:

Aimed at the problem that the rotor suspension precision and stability will be reduced due to the gimbal excitation effect of the Magnetically Suspended Control Moment Gyroscope (MSCMG), a composite control method combining angular acceleration rate adaptive feedforward control and Active Disturbance Rejection Control (ADRC) is proposed in this paper. The dynamic model of MSCMG rotor is established, the disturbance torque of magnetic bearing under frame rotation is analyzed, an angular acceleration rate adaptive algorithm and a linear expansion state observer are designed, and a composite controller is designed with state feedback control. Meanwhile, the stability of the magnetic bearing system is analyzed. The simulation results of the magnetic bearing system verify the effectiveness of the proposed composite control method. The prototype developed in the laboratory was used to build a test platform for verification, and the results show that this method could effectively improve the anti-interference ability of the maglev system. The test platform is built by the developed prototype for verification. The results show that, compared with the traditional PID control method, the displacement peak of the convergent magnetic suspension rotor is reduced by 39.6%, and the anti-interference ability of the magnetic suspension system is improved.

Improved pigeon-inspired optimization algorithm based on adaptive learning strategy
HU Yaolong, FENG Qiang, HAI Xingshuo, REN Yi
2020, 46(12): 2348-2356. doi: 10.13700/j.bh.1001-5965.2019.0603
Abstract:

Pigeon-Inspired Optimization (PIO) algorithm has been widely used in the field of UAV formation and control parameter optimization, but the standard PIO algorithm is easy to fall into local optimum. This paper proposes an Adaptive Learning Pigeon-Inspired Optimization (ALPIO) algorithm. The algorithm introduces a tolerance-based search direction adjustment strategy, a self-learning candidate generation strategy, and a competitive learning based prediction strategy. By enhancing the diversity of the population, the global optimal probability of the algorithm can be improved. The algorithm has been tested on eight benchmark functions. The simulation results show that the convergence accuracy and convergence speed of the algorithm in the multi-peak function optimization problem are significantly improved, and it can effectively avoid falling into the local optimal solution.

Threat assessment of air combat target based on RS-CRITIC
YANG Aiwu, LI Zhanwu, XU An, LYU Yue, XI Zhifei
2020, 46(12): 2357-2365. doi: 10.13700/j.bh.1001-5965.2019.0638
Abstract:

Aiming at the problem of air combat target threat assessment under uncertain information, a threat assessment model based on Rough Set (RS) and Criteria Importance Though Intercrieria Correlation (CRITIC) method is proposed. Firstly, the model determines the target threat value under accurate information by CRITIC and the optimal segmentation set is solved by Mining Data (MD) heuristic algorithm. After the threat value is discretized, it replaces the decision attribute in the rough set information system. Secondly, based on the complete rough set decision information system, attribute reduction and minimum decision rules extraction of target threat assessment are realized by decision matrix. Finally, the export rules are applied to target threat assessment under uncertain information. Simulation results show that proposed method can achieve the target threat assessment in the absence of information, and reduces the influence of subjective factors and prior knowledge, and expands the application of rough set theory.

CT image reconstruction from ultra-sparse projection data
WU Lijun, SUN Fengrong, YANG Jiangfei, YU Qianlei, HE Fangfang
2020, 46(12): 2366-2373. doi: 10.13700/j.bh.1001-5965.2019.0613
Abstract:

In order to provide the reconstructed images which are suitable for the clinical imaging diagnosis, this study focuses on reconstructing the tomographic images from sparse projection data with sufficient accuracy under the premise of significantly reducing the X-ray dose of Computerized Tomography (CT) examination. Aimed at 2D image reconstruction of fan-beam projection under circular scanning, this paper proposes the view driven model and designs a CT iterative image reconstruction algorithm by combining the iterative algorithm and the Compressed Sensing (CS) theory. Then the algorithm is extended to 3D image reconstruction of cone-beam projection under circular scanning. The simulation results show that the algorithm has high numerical accuracy, low computational complexity, less memory overhead, and strong engineering practicability under the condition of ultra-sparse projection data (no more than 20 projection angles for fan-beam/cone-beam scanning in the range of[0, 2π)).

Two-dimensional resolution ability of GEO-UAV bistatic SAR
LI Jincheng, GUO Deming
2020, 46(12): 2374-2380. doi: 10.13700/j.bh.1001-5965.2019.0611
Abstract:

Mounted on the Geostationary Earth Orbit (GEO) and Unmanned Aerial Vehiclel (UAV) platforms, the GEO-UAV bistatic Synthetic Aperture Radar (SAR) can achieve precise and quick observation on the interested areas. The two-dimensional resolution ability is important performance metrics. The analysis on the two-dimensional resolution ability of GEO-UAV bistatic SAR is given. First, the calculation method of bistatic SAR vectored two-dimensional resolution based on the gradient method is given. Then, the range resolution, azimuth resolution and the angle between the azimuth and range vector are calculated according to the configuration of the GEO-UAV bistatic SAR. Finally, based on the two-dimensional resolution ability of the system, a configuration criterion for GEO-UAV bistatic SAR is proposed, which is verified via experiments on simulated point targets. The proposed configuration criterion is beneficial to the system design of GEO-UAV bistatic SAR.

2020, 46(12): 2381-2398.
Abstract: