2018 Vol. 44, No. 6

Display Method:
Volume 44 Issue62018
iconDownload (29310) 1065 iconPreview
Hand gesture recognition method by radar based on convolutional neural network
WANG Jun, ZHENG Tong, LEI Peng, ZHANG Yuan, QIAO Minglang
2018, 44(6): 1117-1123. doi: 10.13700/j.bh.1001-5965.2017.0397
Abstract:

With the widespread use of hand gesture recognition technique, capabilities of robust measurement and classification in non-contact and all-day conditions are much desired in its applications, such as human-computer interaction, life entertainment and medical service.According to this requirement, the paper introduces a hand gesture recognition method based on linear frequency modulated continuous wave (LFMCW) radar range-Doppler (RD) information and convolutional neural network (CNN).Firstly, for LFMCW radar echoes from hand gestures, dechirping, fast Fourier transform in fast-time domain and coherent integration are applied to produce the two-dimensional RD images of hand gesture.Next, they are used as the input data of CNN, and the feature space is constructed with the process of two-layer convolution and pooling.Finally, the effective hand gesture recognition is achieved by full connection and softmax classifier.On this basis, a 24 GHz industrial radar sensor is used to design the experimental system for hand gesture measurement, and a dataset of four typical hand gestures is also generated with the LFMCW waveform.The experimental results show that the proposed method based on RD information and CNN is applicable to general radar sensors at 24 GHz and could achieve effective recognition of typical hand gestures.

Detection and classification algorithm of suppression interference based on characteristic differences of FRFT domain
WANG Guohong, BAI Jie, ZHANG Xiangyu, SUN Dianxing
2018, 44(6): 1124-1132. doi: 10.13700/j.bh.1001-5965.2017.0423
Abstract:

Aimed at the problem that the reliability of the active suppression interference classification recognition result is low when the jamming-signal-ratio is unknown, a detection and classification algorithm of suppression interference based on characteristic differences of FRFT domain was proposed.Firstly, the existence judgment of suppression interference was carried out by the sequential decision algorithm of FRFT domain peak order to ensure that the suppression interference classification was carried out under the condition of high jamming-signal-ratio.On this basis, the standard deviation of the extreme value orders and the peak orders in FRFT domain were taken as the classification features, and at the same time, in order to avoid the classification error caused by the hard decision, the fuzzy decision method was used to obtain the classification recognition results which are based on different characteristic parameters.Finally, the two kinds of classification recognition results were merged to improve the accuracy of classification recognition results according to certain criteria.The simulation results show that compared with the existing classification algorithm, this algorithm can solve the problem of low confidence in the classification results.At the same time, this algorithm has a high accuracy of classification.

Topological structure design and compliance analysis of a new single-axis flexure hinge
QIU Lifang, CHEN Haixiang, WU Youwei
2018, 44(6): 1133-1140. doi: 10.13700/j.bh.1001-5965.2017.0388
Abstract:

Based on three-dimensional continuum topology optimization theory, aimed at maximizing compliance ratio, solid isotropic material with penalization model was used to establish the topology optimization model of a single-axis flexure hinge. With the help of OptiStruct, this paper designed a kind of single-axis flexure hinge with a new three-dimensional topological structure. Secondly, combining Castigliano's second theorem and the method of energy for the compliance of flexure hinge in theory, it deduced the compliance matrix of the new flexure hinge. 16 groups' analysis in theory and finite element simulation analysis showed the correctness of the theoretical formula because the relative error of analysis and FEA was within 6.35%. Finally, it compared the difference of compliance between the new flexure hinge and circular flexure hinge with the same cut profile. The results show that the new flexure hinge has much better performance in compliance. Compared with the circular flexure hinge, its compliance can be improved by 300%. Based on the three-dimensional continuum topology optimization method, this paper presented a new thought for the design of single-axis flexure hinge.

Effect of Co and P doping on α-Fe2O3 photoelectrochemical catalysis water splitting
ZHU Shan, YU Youxing, HAO Weichang
2018, 44(6): 1141-1146. doi: 10.13700/j.bh.1001-5965.2017.0444
Abstract:

Among many photoanode materials, the nanostructured material α-Fe2O3 is considered as one of the most promising materials due to its remarkable light absorption, good chemical stability and abundant reserves. Co and P doped α-Fe2O3 nanomaterials with excellent water splitting properties were prepared by hydrothermal method. After doping, α-Fe2O3 nanomaterial is still nanorod shaped, and the particle size of nanorods increases. Experiments show that the maximum photocurrent density has reached 0.453 mA/cm2(Co doped α-Fe2O3) and 0.276 mA/cm2(P doped α-Fe2O3) in the standard light, which are 20.6 and 12.5 times higher than those of the undoped samples, respectively. Thus, they have the property of efficient photocatalytic water splitting. At the same time, we used SEM, TEM, XRD, UV-Vis, and Mott-Schottky testing methods, which are combined with the morphology and structure characterization, to study the property influence mechanism of photoelectrochemical water splitting of α-Fe2O3.

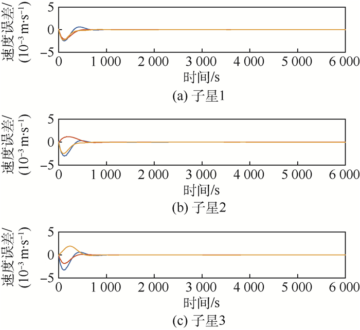
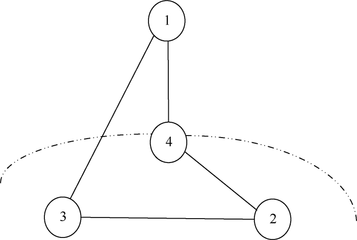
Micro-thrust high-precision satellite formation system based on Cartwheel configuration
YANG Bo, ZHAO Xiaotao, MIAO Jun, LIU Xuhui, LONG Jun
2018, 44(6): 1147-1155. doi: 10.13700/j.bh.1001-5965.2017.0463
Abstract:

Micro-thrust satellite formation can better complete the high-precision aerospace satellite formation tasks. Close-range cooperative work is the basic feature of satellite formation flight, and the specific geometric configuration and relative movement between the satellites is the basic condition of the cooperative formation. But perturbation and other interference factors lead to the uncertain change of the relative relationship. It is necessary to design the formation configuration and information topology to achieve long-term high-precision formation maintenance. How-ever, the micro-thruster's mechanism requires a higher reliability and fastness of the satellite formation system. To this end, a micro-thrust satellite formation system based on Cartwheel configuration is proposed, and a topological network structure is designed to meet the system performance requirements. An online trajectory optimization algorithm based on particle swarm optimization (PSO) algorithm was designed. The application to the control system of satellite formation maintenance achieves a high-precision fast and stable control with low energy consumption.

Solution method of fractional moments involved in probability density estimation of structural output response
LI Baoyu, ZHANG Leigang, SHI Jiao, YU Xiongqing
2018, 44(6): 1156-1163. doi: 10.13700/j.bh.1001-5965.2017.0664
Abstract:

For the fact that the fractional moment based principle of maximum entropy for structural reliability analysis has some advantages in computational efficiency and precision, in this paper, three computational methods for accurately estimating the fractional moments of constraint condition output response involved in the principle of maximum entropy, are studied and presented, including the dimension reduction integration (DRI) method, the sparse gird integration (SGI) method and the unscented transformation (UT) method. The computational theory and process are expounded, the calculation efficiency of each method is given, and the applicability of each method is analyzed in the paper. The presented three methods can greatly reduce the number of structural input-output model estimates and ensure the accuracy of calculation at the same time, so the efficiency of statistical analysis can be greatly improved. Besides, compared with the Monte Carlo simulation method, the accuracy and efficiency of the presented methods are verified according to the applied examples.

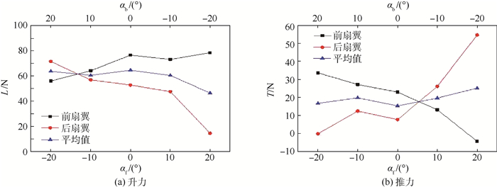
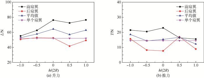
Numerical simulation and test on aerodynamic characteristics of tandem fan wing
DU Siliang, TANG Zhengfei, ZHAO Wenjin, CHEN Hui, WANG Yingyu
2018, 44(6): 1164-1175. doi: 10.13700/j.bh.1001-5965.2017.0393
Abstract:

Fan wing aircraft is a kind of new-concept new-principle aircraft, and especially its wing has unique aerodynamic principle.Fan wing can simultaneously generate lift and thrust.In order to further improve fan wing's aerodynamic characteristics, two fan wings were installed along the longitudinal body without changing fan wing's basic geometric parameters, which is composition of a tandem fan-wing aircraft.Through numerical simulation, the lift and thrust of the fan wings were calculated with the change of distance, height and installation angle of the front and rear fan wings, and the interaction rule of the aerodynamic characteristics between the front and rear fan wings was analyzed.In addition, the wind tunnel test model of a tandem fan wing was designed, and the wind tunnel test results and numerical calculation results were compared and verified preliminarily.The results show that in a certain condition of height, distance and installation angle, the aerodynamic characteristics of tandem fan wing have more advantages compared to single fan wing.Therefore, a tandem fan-wing aircraft has good development prospects and application advantages.

SMSP jamming suppression method based on jamming reconstruction and kurtosis maximum
LI Xin, WANG Chunyang, YUAN Hui, JIN Shanshan
2018, 44(6): 1176-1184. doi: 10.13700/j.bh.1001-5965.2017.0421
Abstract:

Smeared spectrum (SMSP) jamming is a kind of correlative blanket jamming to linear frequency modulation (LFM) signals. According to the periodicity of SMSP jamming sub-pulse, a jamming suppression method based on jamming reconstruction and kurtosis maximum is proposed. Firstly, the period of sub-pulse is estimated by utilizing the autocorrelation method, and the frequency modulation rate is computed based on the principle of SMSP jamming. Then we can reconstruct each jamming sub-pulse while the phase is still unknown. Secondly, each reconstructed sub-pulse is set with different phase, and then the conjugate multiplication between received signal and reconstructed signal is done. The initial phase of jamming signal can be achieved by analyzing the result of conjugate multiplication. Finally, the jamming suppression factor is computed based on the kurtosis maximum and then the jamming can be suppressed. The simulation results show that the proposed method can suppress SMSP jamming efficiently, the SIR can be more than 20 dB after jamming suppression, and it can maintain high signal-to-interference and noise ratio gain even when the noise and phase error exist.

Lightweight hash function based on affine transformation S-box
DU Pei, WANG Weike, HE Zhanhong, LI Lin, WANG Xiang
2018, 44(6): 1185-1193. doi: 10.13700/j.bh.1001-5965.2017.0311
Abstract:

Linear layer of lightweight hash functions is ordinarily too simple to resist statistical saturation attack. A novel lightweight hash function is proposed, which is based on the sponge structure and inspired by affine transformation S-box. The affine transformation S-box inherit the excellent cryptographic properties of original S-box, and offset lack of simple linear layer to a great extent as well. The original 4 bit S-box is selected by computing numbers of differential pairs with the largest differential probability, masks with the best linear approximation and maximum branch number of optimal S-box affine equivalent classes. Security of holistic and internal primitives is analyzed with differential and linear cryptanalysis, and especially statistical saturation attack.The control logic of affine transformation structure and the serial/parallel hardware architecture are designed and synthesized by Design Compiler. The results show that in case of adding a few control logic, the lightweight hash function with affine transformation S-box increases difficulty of tracing specific bit in diffusion trail, that is, structures of affine transformations increase confusion of linear diffusion layer and improve the ability against statistical saturation attack.

Coupling analysis between magnetic shielding device and magnetic field simulator
LYU Zhifeng, ZHANG Jinsheng, WANG Shicheng, SONG Zhongguo, XI Xiaoli, LI Ting
2018, 44(6): 1194-1202. doi: 10.13700/j.bh.1001-5965.2017.0399
Abstract:

The hardware in the loop simulation of geomagnetic navigation is the key link for the geomagnetic navigation from theory to engineering, and the technology of geomagnetic field environment simulation is the bridge between the computer simulation and the hardware in the loop simulation. Aimed at the coupling problem of the magnetic shielding device and the magnetic field simulator in the magnetic environment simulation system, the method of simulation analysis and experimental verification is adopted. First, simulation experiments are designed to explore the coupling relationship between the magnetic shielding device and the magnetic field simulator by the Ansoft Maxwell software. Then, a small geomagnetic field environment simulation system is established, including solenoid coil and magnetic shielding canister. Based on this system, the simulation results are verified by experiments. The simulation and experimental results show that the magnetic field simulator will cause serious magnetization on the magnetic shielding device under the condition of high current and strong magnetic field, which will affect the shielding effect. The linearity and uniformity of magnetic field simulator will not be affected by the magnetic shielding device, but the magnetic field of the axis center will increase. The magnetic shielding device can make the inductance of the magnetic field simulator increase, so that the real-time property becomes worse. The conclusions obtained in this paper can provide theoretical basis for the design of geomagnetic field environment simulation system.

Helicopter autorotation landing trajectory optimization after tail-rotor total failure
YAN Xufei, CHEN Renliang
2018, 44(6): 1203-1212. doi: 10.13700/j.bh.1001-5965.2017.0459
Abstract:

The optimal landing trajectory and control process of helicopter autorotation after tail-rotor total failure is studied using optimal control method. A six-degree-of-freedom rigid-body flight dynamic model was developed with equations describing the tail-rotor total failure and the available shaft power as well as the rotor speed variation in the autorotation landing procedure. The autorotation landing procedure after tail-rotor total failure was transcribed into an optimal control problem and solved by numerical method. A single-rotor helicopter with tail rotor was taken as the sample, and the calculated optimal autorotation landing procedure in engine failure was in good agreement with the flight test data, which shows that the flight dynamic model and the optimal control method are feasible. Finally, the helicopter optimal autorotation landing procedure after tail-rotor total failure in cruising speed was investigated, and the results show that:when the tail-rotor fails, the airframe will experience large variations of yaw rate and sideslip angle under the effect of rotor anti-torque, which leads to a complex coupled flight. Therefore, the pilot who turned off the engine and is operating the autorotation landing needs an extra series of controls to stabilize the roll and yaw attitude through lateral cyclic pitch and sideslip. The optimal trajectory and the control process are in line with the qualitative conclusions and recommendations obtained from the engineering flight tests.

Application of adaptive FLP filter to ring laser gyro IMU calibration
LU Zhaoxing, FANG Jiancheng, WANG Shicheng, LI Jianli, DANG Pengfei
2018, 44(6): 1213-1220. doi: 10.13700/j.bh.1001-5965.2017.0462
Abstract:

Ring laser gyro inertial measurement unit (IMU) encounters the problem of relatively large stochastic noise because of the strenuous dithering motion. The conventional calibration method eliminates the impact on the stochastic noise by extending the measurement time, which undoubtedly reduces the calibration efficiency. To solve the problem, the adaptive forward linear prediction (FLP) filter is adopted to suppress the stochastic noises of ring laser gyro IMU calibration data and improve the calibration accuracy of the system with small amount of calibration data. Firstly, the original data is acquired from the four-position rotation calibration experiment. Secondly, the calibration data is de-noised by the adaptive FLP filter to improve its signal noise ratio (SNR). Finally, the calibration parameters are calculated with the de-noised data. The experimental results show that the stochastic noises of calibration data are de-noised effectively by the adaptive FLP filter, the SNR of the signal is improved, and more accurate calibration parameters are acquired with small amount of calibration data, which enhances the navigation accuracy of the system.

Self-healing characteristics of aviation network under different growth mechanisms
FU Chaoqi, WANG Ying, LI Chao, SUN Yun
2018, 44(6): 1221-1229. doi: 10.13700/j.bh.1001-5965.2017.0485
Abstract:

Based on the theory of complex networks, this paper analyzes the functional self-healing mechanism of aviation network from the energy perspective, and studies the self-healing characteristics under different growth mechanisms. Firstly, network structure was divided into self-healing structure and coupling structure, and three kinds of growth mechanisms of the aviation network were analyzed and modelled abstractively. Then, the impact of the recovery robustness of network function and the network growth on network self-healing ability was analyzed in the case of the collapse of the whole network function caused by the deliberate attack on the American aviation network. The research shows that the American aviation network has good recovery robustness, and almost 80% of the airports have self-healing ability after short failure caused by energy shock. However, the different growth patterns of aviation networks have different effects on the self-healing ability of the network. The results confirm that construction of airport groups, which greatly increase network density and make network topology complex due to large connection demand, will reduce network self-healing ability, while the increase of small-scale airport will not affect the overall self-healing capacity of the aviation network.

Equivalent stiffness property of dimpled sheet based on unit cell finite element
WANG Yuan, ZANG Yong, GUAN Ben, QIN Qin
2018, 44(6): 1230-1238. doi: 10.13700/j.bh.1001-5965.2017.0698
Abstract:

To obtain the macroscopic stiffness property of the dimpled sheet and its relationship with surface morphology structure parameters, the unit cell finite element method finite element method was used to analyze the equivalent stiffness property of the dimpled sheet. Firstly, based on the periodic boundary conditions of unit cell finite element method, the equivalent stiffness of the dimpled sheet with periodic check board pattern was calculated. And then the equivalent stiffness of a specific dimpled sheet was analyzed and verified with the unit cell finite element method. Finally, the effects of structural parameters on the equivalent stiffness of the dimpled sheet were discussed. The analysis results show that with the unit cell finite element method the equivalent stiffness of dimpled sheet can be obtained. The dimpled sheet has higher bending stiffness but lower tension and shear stiffness compared with the base flat sheet. When base sheet's thickness is fixed, the bending stiffness increases as the thickness of dimpled sheet increases, while the tension stiffness and the shear stiffness decrease. As the periodic distance of dimpled sheet increases, the tension stiffness and the shear stiffness increase, while the bending stiffness decreases.

GNSS multipath signal model and altimetry method
LI Wei, ZHU Yunlong, WANG Feng, YANG Dongkai
2018, 44(6): 1239-1245. doi: 10.13700/j.bh.1001-5965.2017.0417
Abstract:

The method of global navigation satellite system-interferometric reflection (GNSS-IR) was developed to realize the altimetry. The model of global navigation satellite system-multipath reflection (GNSS-MR) was analyzed in depth. A single antenna height measurement model was proposed to obtain the signal-to-noise ratio (SNR) and frequency information of multipath signals, so as to reverse the height information. The Lomb-Scargle (LS) periodogram is a commonly used extraction method of the height measurement model of single antenna. In this paper, a new method based on analytic model fitting method was proposed and the frequency information can be acquired accurately for the SNR of the multipath signals. Thus the height of antenna to ground was reversed. On this basis, the maximum measurement height and the minimum output rate required by the receiver were discussed. From the analysis of experimental data, it can be concluded that when the best results of inversion are obtained, that is, as for LS periodogram, when the upper limit of elevation angle reaches to 17°, the RMSE is 0.028 75 m; as for the fitting method, when the upper limit reaches to 21°, the RMSE is 0.024 85 m. By comparing the RMSE of different upper limit of elevation angle, the best condition of height inversion can be retrieved. And it can also prove the practicability of the fitting method.

Reliability analysis of equipment for zero-failure of type-Ⅰ censoring test with replacement
ZHAO Quan, GE Hongjuan, ZHANG Lu, CHEN Shuwen, XUE Jianliang
2018, 44(6): 1246-1252. doi: 10.13700/j.bh.1001-5965.2017.0427
Abstract:

In this paper, an improved synthetic E-Bayesian method is proposed to estimate the reliability parameters of aviation electronic equipment for the zero-failure situation of type-Ⅰ censoring test with replacement. This method employs the failure factor and self-adaptive coefficient, which are combined with the priori value and classical E-Bayesian estimation result of the reliability parameters, to import the failure data, and then structures the corresponding failure weight model with the method of relative probability. Aimed at the mean life of the aviation electronic equipment, this paper builds the improved synthetic E-Bayesian estimation model and employs a certain type of transformer rectifier unit (TRU) as the object to make application research and method comparison analysis. The results show that the improved synthetic E-Bayesian method has better estimation performance and can ameliorate the "rash" problem that may emerge in reliability assessment.

A novel method for determining fatigue damage parameters
LIU Xiaoxiao, WANG Yibing, ZHANG Zheng
2018, 44(6): 1253-1257. doi: 10.13700/j.bh.1001-5965.2017.0448
Abstract:

Fatigue fracture of metal materials is a common failure mode in engineering structures. Damage mechanics regards crack initiation as a progressive damage process, describing and conducting life estimates through the damage evolution equation. However, the parameters in the damage evolution equation need to be fitted according to the standard experimental data. This process usually requires multi-parameter fitting, which involves complicated operation, large computational amount and vague physical meaning. To avoid these problems, based on the theoretical basis of damage mechanics, a new method to determine the parameters of damage evolution equation was proposed. According to the properties of damage evolution equation and the characteristics of S-N curves, a single parameter method, which employs single parameter to determine the damage evolution equation, was proposed using mathematical method. The proposed method avoids the disadvantage of multi-parameter fitting at the same time and improves the calculation accuracy and speed, which provides an alternative for engineering analysis. Finally, a concrete example is given to demonstrate the effect of the proposed method.

Linear stability analysis of liquid films flowing down a porous wall
ZHAO Yue, YANG Lijun
2018, 44(6): 1258-1264. doi: 10.13700/j.bh.1001-5965.2017.0475
Abstract:

The paper conducted a linear stability analysis on the Newtonian liquid films flowing down a porous wall, especially concerning about the case of moderate Reynolds number. It was considered that the flow at the porous wall satisfied the Beavers-Joseph slip boundary condition. And the momentum integral method was used to obtain the dispersion relation and the neutral stability condition. The results show that the permeability of porous wall promotes the instability of liquid film flow and accelerates the movement of liquid film surface fluctuation. With the increase of the Reynolds number, the maximum growth rate increases first and then decreases in the range of moderate Reynolds number. The extremum values and cutoff wave number of growth rate were related to the wall permeability. The mechanism of porous media permeability affecting the stability has been discussed by energy analysis. It is considered that the existence of porous wall slip velocity increases the average flow velocity and decreases the velocity gradient, which leads to the decrease of viscous dissipation and the reinforcement of flow instability.

Effect of swirl number of pilot stage on TeLESS Ⅱ combustor's lean blow-out performance
XIAO Ronghong, LIN Yuzhen, ZHANG Chi
2018, 44(6): 1265-1272. doi: 10.13700/j.bh.1001-5965.2017.0392
Abstract:

The next generation of technology of low emission of stirred swirl (TeLESSⅡ)low-emission combustor developed by Beihang University adopted a central staged arrangement. The center of the dome was classic swirl cup pilot structure which could provide a stable ignition source for the combustor. The main stage arranged outer of the pilot stage which adopted a pre-mixed single axial cyclone design was used to reduce emission. The influence of the combination of the swirl number of the pilot first stage and the secondary stage on the blow-out performance of the combustor was studied. The pilot stage is found playing an important role in the stabilization of flame in low-emission combustor. The gas-oil ratio was measured in the single dome combustor under normal temperature and pressure conditions. The aerodynamic characteristics of different cases were analyzed by numerical calculation. The results show that the higher the total temperature in the recirculation zone is, the lower the gas-oil ratio for lean blow-out is, and the decrease of pilot secondary stage's swirl number isfavorable to the coupling between the flame and flow field. Therefore, the flame in the recirculation zone is more stable and the lean blow-out boundary becomes broader. With the increase of the pilot first stage's swirl number, the gas-oil ratio for lean blow-out is not reduced.

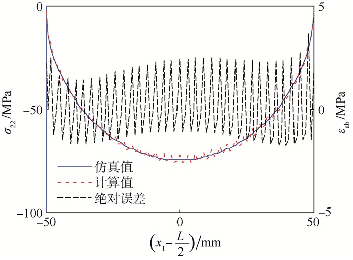
Study on contact problem of anisotropic elastic body based on Eshelby-Stroh formalism
YAN Dengdeng, LI Chenggang, SHEN Jingjin, WANG Yan, WANG Chunming, SONG Weishan
2018, 44(6): 1273-1282. doi: 10.13700/j.bh.1001-5965.2017.0400
Abstract:

In order to solve infinitesimal deformation contact problem of a linear anisotropic elastic body, the elastic body is divided into several parts, according to the contact condition between the rigid body and the indenter. Based on Eshelby-Stroh formalism, the displacement function and stress function of each part are solved, and the load is obtained by integrating the stress function. Considering the stress mutation at junction and nonzero stress on the top of noncontact region, both whole displacement constraint method and linear superposition principle are used for getting ideal displacement function and stress function based on iteration. The contact problem between the cylindrical indenter and bounded elastic body and the contact problem between the rounded wedge indenter and elastic body are solved. The load results based on cylinder indenter are close to the results of elastic half space method. When the quantity of series is 400, the computing relative error is only 0.52%. The computed load results based on cylindrical indenter and rounded wedge indenter agree well with those of ABAQUS simulation. The relative error of cylindrical indenter load is 0.67%, and 6 rounded wedge indenters are computed with all the relative errors of load less than 2%.

Conjugate heat transfer characteristics of enclosure cavity in near space environment
ZI Guicai, HE Weiliang
2018, 44(6): 1283-1293. doi: 10.13700/j.bh.1001-5965.2017.0412
Abstract:

Aimed at the application of near space aerostats' load cabins, numerical simulation of natural convection, surface thermal radiation and heat conduction in a cubical enclosure cavity with a heat source in complex thermal boundary conditions was carried out. A model of near-space thermal environment was established considering the effects of convective heat transfer, infrared radiation and solar radiation. The diurnal variation of the thermal characteristics in the enclosure cavity was studied by introducing the external unsteady convection-radiation coupling thermal boundary conditions through the Fluent software's user-defined function (UDF). The effects of solid wall thickness, emissivity and thermal conductivity were discussed. The numerical results indicate that the average temperature change in the enclosure cavity is about 12.9 K during one day, and the temperature field distribution changes with the sun's position. The natural convection in the enclosure cavity is weak and the maximum temperature difference is 71.3 K at the same time. Increased thermal resistance and surface emissivity lead to weakening of natural convection in the cavity.

Mechanical models of influence of interface deformation on rotor dynamic characteristics
JIN Hai, LIU Jixing, ZHANG Dayi, HONG Jie
2018, 44(6): 1294-1302. doi: 10.13700/j.bh.1001-5965.2017.0440
Abstract:

In order to analyze the problems of vibration increasing and interface wear of aero engine during work, the dynamic models of rotor-bearing system with three disks were established on the basis of the structural feature analysis. A parametric description has been made to analyze the coaxial and parallelism deviation of contact interface, and the dynamic differential equation for rigid high pressure rotor system was obtained by the Lagrangian method considering the interface deformation. The results exhibit that the interface deformation will cause the additional excitation force in the rigid rotor system, where the amplitude of the additional excitation force caused by the coaxial deviation is proportional to the square of the speed, and only applies to the corresponding degree of freedom; the amplitude of the additional excitation force caused by the parallelism deviation is only related with the rigidity and the deviation magnitude regardless of the speed, and it also applies to the support freedom.

Nonlinear polynomial model's structure and parameter integration identification
JIA Weizhou, PENG Jingbo, XIE Shousheng, LIU Yunlong, LI Tenghui, HE Dawei
2018, 44(6): 1303-1311. doi: 10.13700/j.bh.1001-5965.2017.0442
Abstract:

An integration algorithm of nonlinear polynomial model structure identification and parameter identification was proposed for the linear parametric polynomial assembled model, which had wider significance in the field of nonlinear systems. The algorithm combined optimal-selecting process based on contribution items with poor-eliminating process based on redundant items in structure identification. In the optimal-selecting process, the recursive modified Gram-Schmidt (RMGS) algorithm based on output vector residual was used to select the better terms in the vector space, and some redundant non-model terms were allowed to be selected, according to the maximizing drop of the output vector projection residual. In the poor-eliminating process, the algorithm adopted the model structure poor-eliminating strategy based on modified orthogonal sequence to deal with the contribution of the orthogonal vector equally. The structure items with small contribution to the actual output were deleted from the optimal set. The structure and parameters were determined by the system completeness index. Two examples of typical nonlinear polynomial model identification simulation demonstrate the effectiveness of the algorithm.

Sparse multi-wavelet-based identification of time-varying system with applications to EEG signal time-frequency analysis
LEI Mengying, WEI Yanzhao, LI Yang, WANG Lina
2018, 44(6): 1312-1320. doi: 10.13700/j.bh.1001-5965.2017.0449
Abstract:

The problem of identification in non-stationary time-varying system is investigated based on a time-varying parametric modelling algorithm, and is applied to time-frequency feature extraction analysis of electroencephalography (EEG) signals. The multi-wavelet basis function which has proved efficient for tracking the transient local changes in signals, is employed to approximate the time-varying coefficients, and thus the initial time-varying modelling problem is then simplified into a time-invariant regression model estimation problem. In addition, the regularized orthogonal least squares (ROLS) algorithm is used to construct a parsimonious model structure and estimate the model parameters effectively, which not only reduces the model complexity, but also avoids the overfitting problem. The simulation results show that, compared with traditional recursive least squares (RLS) algorithm and classical orthogonal least squares (OLS) algorithm, the proposed sparse multi-wavelet-based modelling method is capable of estimating time-varying parameters more accurately. Furthermore, the application of the proposed method to the real EEG signals during motor imagery has proven to have powerful tracking capabilities, and a time-frequency analysis is introduced based on the identified time-varying model. The high time-frequency resolution of the proposed method enables the characterizations of event-related desynchronization (ERD) and event-related synchronization (ERS) in alpha band precisely, and validates the applicability of the proposed modelling algorithm.

Calibration method for laser beam direction and zero point of laser displacement sensor
CAO Shuangqian, YUAN Peijiang, CHEN Dongdong, SHI Zhenyun
2018, 44(6): 1321-1327. doi: 10.13700/j.bh.1001-5965.2017.0450
Abstract:

Laser displacement sensor is usually used in normal detection of aircraft panel. To solve the problem of the decrease of normal detection accuracy caused by machining and installing errors of laser displacement sensor, a calibration method based on math model and least square method was proposed and applied, which can calibrate the laser beam direction and zero point of laser displacement sensor. First, angle calibration theory was used to obtain the angle between laser beam and spindle feed direction. Then coordinate systems were built by a laser tracker. According to the measurements of laser displacement sensors when they detect the planes which have different angles with feed direction of the spindle, geometry math model was used to calculate the relative coordinates of all laser points. The space equations of laser beams were fitted by the least square method, so laser beam directions and zero points came out. Finally, calibration experiment was carried out in aviation drilling robot platform, and verification experiment was made according to the calibration result. The experimental results show that the method can precisely calibrate the laser beam direction and zero point of laser displacement sensor and the normal detection accuracy is 0.18°.

Disturbance observer applied in a nonlinear stiffness compliant actuator
GAO Dong, SONG Zhibin, ZHAO Yaru
2018, 44(6): 1328-1336. doi: 10.13700/j.bh.1001-5965.2017.0477
Abstract:

According to "low load, low stiffness; high load, high stiffness", nonlinear stiffness compliant actuators (NSCA) are developed to optimize the workspace of variable stiffness actuators (VSA). Besides, NSCAs are able to perform high force resolution under small interactive force and fast response under large interactive force. However, because it is difficult to set up accurate mathematic models for interference and noise in the complex human robot interaction environment, control accuracy of the system is deteriorated severely. Thus, disturbance observer (DOB), which evaluates disturbance based on observation and then compensates error, is discussed in this paper to settle these problems for NSCA. First, control system state function and DOB are built up according to dynamic model of NSCA. Lyapunov stability is used to analyze system stability and stable conditions are given. Second, based on the stable conditions, DOB control scheme is applied in NSCA control system to obtain experimental data. Finally, the experimental results shows that, using DOB reduces stiffness error of NSCA by 85.71% in the mode of impedance control and enhances control precision of the actuator obviously.

Safe driving speed threshold on curve section of road under different loading conditions based on TruckSim
WANG Chuanlian, HU Yueqi, LI Ping
2018, 44(6): 1337-1346. doi: 10.13700/j.bh.1001-5965.2017.0808
Abstract:

In order to investigate the influence of loading conditions and road conditions on safe driving speed threshold on curve section of road, oversize vehicle dynamics model, road scene model and driver control model were established by using TruckSim software. Simulation tests were conducted in terms of the loading quality and road adhesion coefficient, and the contributory factors to vehicle rollover and sideslip on curve section of road and the degree of influence were analyzed. Finally, one curve section on an expressway in Shaanxi Province was taken as an example, and the safe driving speed threshold influenced by two factors was studied. The results indicate that the safe driving speed threshold on curve section decreases with increasing loading quality of freight, and it shows a power function relationship between safe driving speed threshold and loading quality; safe driving speed threshold on the curve section presents a downward trend while the road adhesion coefficient increases from 0.1 to 0.6, and the safe driving speed threshold and road adhesion coefficient show an exponential function relationship; safe driving speed threshold on the curve section remains stable while the road adhesion coefficient increases from 0.6 to 1.1. In accordance with the model simulation analysis results and aimed at overload and over-limited problems, this paper gives some security advice to traffic management departments, stevedores as well as drivers, which can improve the active safety for driving on the curve section of road and provide theoretical and technical support for road safety operation research.