2018 Vol. 44, No. 7

Display Method:
Volume 44 Issue72018
iconDownload (42970) 1031 iconPreview
Research status and development trend of robot safety
ZHAO Jing, ZHANG Ziqiang, ZHENG Qiang, CHEN Diansheng, GUI Shun
2018, 44(7): 1347-1358. doi: 10.13700/j.bh.1001-5965.2017.0568
Abstract:

With the robot gradually used in many fields of production and life, safety has become one of the important research directions of robot. According to different research objects for robot safety, research status of robot safety at home and abroad is expounded from two parts, namely self-safety and interaction safety. The role of mechanical structure design and control algorithms in improving robot safety is analyzed. On this basis, the existing problems, such as too traditional structure design method, weak judgment of unexpected situation and lack of control compliance under complicated conditions, are analyzed, which limit the popularization and application of robots. The development trend of robot safety, such as rigid flexible hybrid mechanism, accurate and fast environment judgment and good compliance control, is proposed.

Maneuvering target tracking technology under speed deception interference
WANG Guohong, BAI Jie, SUN Dianxing
2018, 44(7): 1359-1370. doi: 10.13700/j.bh.1001-5965.2017.0488
Abstract:

When radar is used to track the maneuvering target under speed deception interference, there are many problems such as many false trajectories, hard discrimination of true-false target, and real target tracking instability. In view of these problems, this paper puts forward the speed interference identification method based on velocity estimation radial projection and motion state count delay under multiple false target deception interference. Firstly, the dual-channel maneuver detection method combining velocity measurement and position measurement was used to ensure the accuracy and timeliness of model switching under speed deception interference. Then, the method of motion state count delay was used to determine the time of tracking stability after target model switching; Finally, the test statistics using velocity estimation radial projection based on position information was used to identify the speed deception. The simulation results show that the algorithm has good robustness.

Exploration of engine VSV regulation law using support vector regression
CAO Huiling, KAN Yuxiang, XUE Peng
2018, 44(7): 1371-1377. doi: 10.13700/j.bh.1001-5965.2017.0523
Abstract:

The engine variable stator vane (VSV) regulation law is extremely complex, and through mining quick access recorder (QAR) data, the VSV regulation law is studied. Firstly, the support vector regre-ssion (SVR) model based on particle swarm optimization (PSO) is established through the QAR data of PW4077D engine health condition to explore the regulation law of VSV. Then, the PSO-SVR model is validated by the subsequent flight data, and the verification results are compared with the traditional PSO-BP neural network model. Finally, the PSO-SVR model is applied to engine fault diagnosis. The results show that the regression prediction accuracy of the PSO-SVR model is better than that of the PSO-BP neural network model, and it can accurately reflect the VSV regulation rule. It can be used in the condition monitoring and fault dia-gnosis of engine, and can also provide reference for the design of VSV control system.

A high-precision attitude coordinated control method using MEMS thruster for pico- and nano-satellite
YANG Bo, LI Jiaxing
2018, 44(7): 1378-1386. doi: 10.13700/j.bh.1001-5965.2017.0481
Abstract:

To achieve high precision attitude control for the pico- and nano-satellite at low cost, this paper presents a coordinated control method of double actuators using flywheel and solid propellant microthruster (SPM) array. The global fast terminal sliding mode controller is adopted to solve the rapid maneuvering of disturbed pico- and nano-satellite, which is verified by the Lyapunov stability. Meantime, the energy optimal switching strategy is derived, namely, the three sections of individual flywheel control, flywheel and SPM array coordinated control and individual SPM array control. In this way, the dual effects of high attitude stability precision and global minimum consumption of SPM array are realized. In this paper, the Monte Carlo method is used to optimize the allocation matrix in order to arrange the ignition sequence reasonably and minimize the consumption of the SPM array. The results of numerical simulation show that the coordinated control method of double actuators enables the pico- and nano-satellite complete high precision attitude control tasks at low cost, the attitude angle precision is 0.045 7°, and the attitude angular rate precision is 0.006 2 (°)/s.

Blade design and aerodynamic performance numerical simulation on ram air turbine
JI Fenzhu, ZHANG Mengjie, WANG Rui, WANG Yan, DU Farong
2018, 44(7): 1387-1394. doi: 10.13700/j.bh.1001-5965.2017.0514
Abstract:

Ram air turbine (RAT) is a part of the emergency energy system in plane. It can extract energy from airflow through rotating turbine. Design of turbine blade and study on aerodynamic performance are the key for utilizing airflow energy efficiently. Aimed at the power needed by some type of emergency energy system, we designed turbine blade based on the momentum-blade element theory. Then aerodynamic performance of RAT is simulated by using computational fluid dynamics (CFD) method. Besides, the method of multiple rotation frame (MRF) is used to simulate 3D mixed flow field of the RAT where the pitch angle is adjustable. The performances of turbine power and rotor power coefficient are studied varying with airflow velocity and flight altitude. Distribution of pressure and velocity on blade surface are analyzed. The results show that the extracted power and rotor power coefficient of RAT vary with airflow velocity and pitch angle. RAT has different dynamic performance at different flight altitudes in the flight envelope. Constant power could be obtained by adjusting the pitch angle of RAT. Besides, flow state of the whole field is ideal, but there is still room to improve.

Acoustic emission source location for composite plate based on empirical wavelet transform
YUAN Mei, SHANG Fukai, DONG Shaopeng
2018, 44(7): 1395-1401. doi: 10.13700/j.bh.1001-5965.2017.0527
Abstract:

Acoustic emission (AE) technique is a non-destructive damage test method. It can be used to monitor the dynamic defects of composite structures in aircraft. The complex components of AE signal and the anisotropy of composite materials lead to the low positioning accuracy of the source. A method of time difference of arrival (TDOA) based on empirical wavelet transform (EWT) and generalized cross-correlation (GCC) is proposed to improve the location accuracy of AE source. EWT is used to adaptively decompose and reconstruct the AE signals observed by sensors. The dominant frequency modes are obtained and the correlation coefficients between signals in each channel are effectively increased. The wave velocity is polynomial fitted by the multidirectional wave velocity measurement experiment. Then the AE source is located by using GCC method to estimate the time difference of each channel. Experiments are conducted on a T800 carbon fiber composite plate with the signal of lead break as simulating source. The experimental results show the accuracy and practicability of the proposed algorithm.

Effectiveness analysis of pupil diameter detection for air traffic controller's fatigue
JIN Huibin, YU Guihua, LIU Haibo
2018, 44(7): 1402-1407. doi: 10.13700/j.bh.1001-5965.2017.0553
Abstract:

Air traffic controllers' fatigue has become a major hazard to affect civil aviation safety, and accurate detection of fatigue is an important means for fatigue warning and fatigue risk reduction. In order to study whether the pupil diameter can detect air traffic controllers' fatigue effectively, an experimental platform was constructed by using tower control simulation software and eye tracker, and the pupil data and subjective fatigue degree were collected. By analyzing the significance test of difference and change tendency of pupil diameter before and after fatigue at different flight flow rates, the effectiveness of pupil diameter index in detecting fatigue state was discussed. The study results show that when working time increases, the passive fatigue increases, and the pupil diameter decreases; when the flight flow increases, the active fatigue increases, and the pupil diameter increases. Both the factors restrict the change of pupil diameter. The receiver operating characteristic (ROC) curve analysis results show that the area under curve (AUC) values of the pupil diameter at 0.47 flight sorties per minute and 0.9 flight sorties per minute were 0.714 and 0.653 respectively, so pupil diameter can be an index for detecting air traffic controllers' fatigue.

Hypersonic air inlet performance based on engineering transition model
YANG Hui, LU Wenrui, LI Hongyang, YUE Lianjie
2018, 44(7): 1408-1418. doi: 10.13700/j.bh.1001-5965.2017.0516
Abstract:

In order to study the variation of the performance parameters of a hypersonic air inlet with the flight height, free stream turbulence intensity and free stream Mach number, and the influence of the boundary layer transition on the compression surface on air inlet performance, a series of numerical simulations were conducted by using the γ-Reθ transition model developed in a in-house HGFS and the flow phenomena and mechanisms were analyzed. Firstly, the improved γ-Reθ transition model implemented in the HGFS code was verified using a simplified model of an air inlet compression surface. Secondly, a hypersonic air inlet with isentropic compression surface was studied the effect of flight height and Mach number on parameters such as the transition location. Main conclusions are as follows:with the increase of the flight height, transition location of the boundary layer moves downstream on the compression surface, and the total pressure recovery coefficient decreases. Compared with the ground surface state, at the design flight height, the transition location moves downstream for about 0.525 m, the boundary layer thickness increases by about 73%, and the total pressure recovery coefficient decreases by 3.2%. About 0.5% magnitude change of the inflow turbulence intensity will contribute to 0.2 m movement of the transition location. However, the influence of turbulence intensity on the total pressure recovery coefficient is quite small.

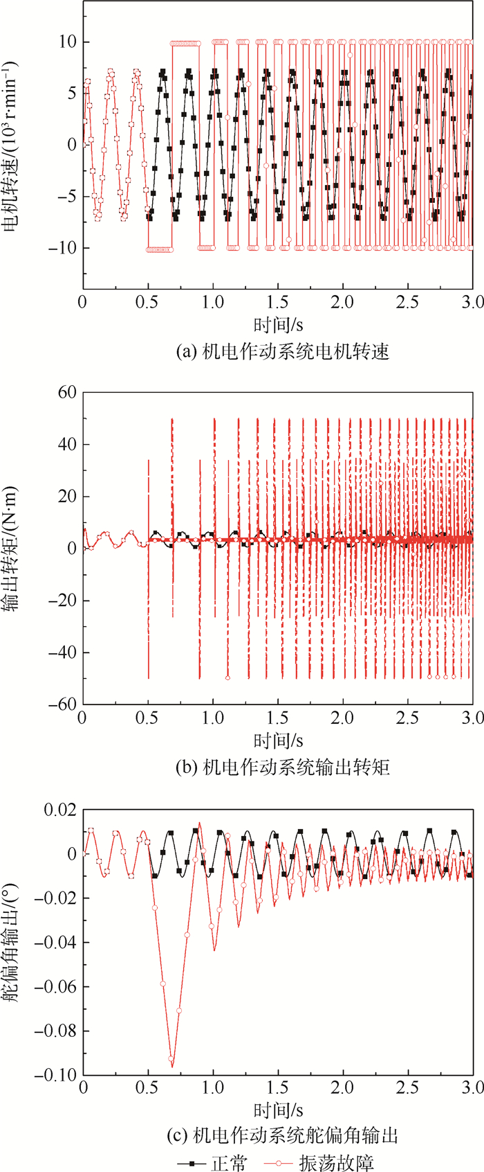
Failure effect analysis of uncommand oscillation signals in electromechanical actuation system
SUN Xiaozhe, YANG Zhenshu, YANG Jianzhong, WANG Libao
2018, 44(7): 1419-1429. doi: 10.13700/j.bh.1001-5965.2017.0529
Abstract:

Moving towards the development of more electric aircraft, advanced electromechanical actuation system (EMA) is developed for aircraft control surface as one of new technologies. The failure mode and failure effect of EMA are the focus of airworthiness review. In order to solve the problem of uncertain failure mode and failure effect caused by uncommand oscillation signal in EMA, this paper analyzes the generation mechanism, the generation position and the expression form of the oscillation signal. At the same time, the fault propagation and influence of oscillation signal with variable frequency and amplitude in EMA were researched. The results show that the system architecture will change the waveform of the oscillation signal, and the oscillation signal of the sensor makes the greatest fault influence on the system; the control surface deflection angle output of the system has the same frequency as the oscillation signal, and the oscillation signal with frequency between 0.2-3 Hz and 8-10 Hz will cause unacceptable oscillation of the electromagnetic torque and the deflection angle of surface. Finally, the amplitude of the oscillation signal affects the response speed of the system.

Performance simulation model of millimeter-scale micro turbine engine
LIU Chuankai, LI Yanru
2018, 44(7): 1430-1437. doi: 10.13700/j.bh.1001-5965.2017.0566
Abstract:

In order to meet the requirement of milimeter-scale micro turbine engine performance design, a numerical model was presented to evaluate the performance of millimeter-scale micro gas turbine engines. In this model, new turbomachinery characteristic maps were applied, which took both low Reynolds number effects and heat transfer effects into consideration. Heat balance equations were also added into the matching equations. By coupled solving of the matching equations and the static structure thermal network equations, the engine performance and component heat transfer were dynamically simulated. Furthermore, a typical millimeter-scale micro turbine engine was modeled to study the dynamic changes of the engine internal parameters during startup. The results show that the rotational inertia has little influence on engine acceleration, while the unsteady heat transfer is the major determinant of engine transient performance. There is significant difference in thermal response time between rotor and static structures, which results in several kinks in startup operating line.

Situation awareness model based on multi-resource load theory and its application
FENG Chuanyan, WANYAN Xiaoru, CHEN Hao, ZHUANG Damin
2018, 44(7): 1438-1446. doi: 10.13700/j.bh.1001-5965.2017.0532
Abstract:

Based on the attention-situation awareness (A-SA) model and the attention resource allocation situation awareness model, a new quantitative model of situation awareness was put forward, which considers the multi-resource load and information recognition theory. In this model, the multi-resource load was applied to the low-level attention perception. The individual's situational awareness was composed of the damping of initial cognitive resource and the inherent deep-level rule availability matching after the activation of situation. In order to verify the usability of the model, 15 subjects were selected to complete the simulated flight task in different situations, and the subjective 10-dimensional situational awareness rating technology (10-D SART) and objective flight performance, situational awareness global assessment technique (SAGAT), and physiological measurement (electrocardiogram, electrodermal activity and respiration) were combined to carry out the experimental test. The experimental analysis indicates that the trend of the theoretical value predicted by the model is significantly related to the experimental results. The proposed situation awareness quantitative model can give some reference to guide the design of man-machine interface in the cockpit and to optimize the flight task assignment.

Pilot design for compressed sensing based OFDM sparse channel estimation
XIAO Shenyang, JIN Zhigang, SU Yishan, WU Jin
2018, 44(7): 1447-1453. doi: 10.13700/j.bh.1001-5965.2017.0501
Abstract:

In order to improve channel estimation performance, the pilot design problem in orthogonal frequency division multiplexing(OFDM) is investigated from the perspective of compressed sensing(CS).Since the reconstruction performance of the sampling matrix cannot be accurately measured by the existing methods, the pilot designed by the existing methods has poor channel estimation performance.Therefore, the cubic sum criterion which computes the cubic summation of entries of correlation matrix is proposed to measure the reconstruction performance of sampling matrix.Besides, for the pilot design of OFDM channel estimation which is a discrete combinatorial optimization problem, a novel pilot search method named grouped substitution with concurrent full trees is also proposed to search optimal pilot.At each iteration of the proposed algorithm, the pilot pattern set is divided into groups.Then, the pilot patterns are successively updated by obtained pilot sets.The proposed method enlarges the search space and avoids getting in local optimum in searching pilot pattern.The simulation results show that, the proposed evaluation method can accurately evaluate the reconstruction performance of the sampling matrix in comparison to the existing evaluation methods and compared with mutual coherence criterion, the proposed criterion can gain 3 dB improvement in mean square error.Furthermore, the proposed pilot search method has faster convergence speed and the best searching performance.

Real-time control method of magnetic field simulation based on advance regulation
LYU Zhifeng, ZHANG Jinsheng, WANG Shicheng, LI Ting
2018, 44(7): 1454-1460. doi: 10.13700/j.bh.1001-5965.2017.0560
Abstract:

The hardware in the loop simulation system of geomagnetic navigation is the key link of geomagnetic navigation from theory to engineering application. At the present stage, the real-time performance is one of the key technologies that restrict its development. To solve this problem, the delay effect of the magnetic field simulation in the system is analyzed emphatically, and the mathematical model of current versus time in magnetic field simulation is established. Then the real-time control method of magnetic field simulation based on advance regulation is proposed. The simulation experimental results show that when the initial control current is increased by 18.43%, the real-time performance of the system is increased by 5.45 times. And the test experimental results show that when the initial control current is increased by 18.57%, the real-time performance of the system is improved by 3 times. The method presented in this paper can provide a reference for improving the real-time performance of the hardware in the loop simulation system of geomagnetic navigation.

Trajectory tracking control for heterogeneous mobile robots based on UWB ranging
WEI Heng, LYU Qiang, WANG Guosheng, LIN Huican, LIANG Bing
2018, 44(7): 1461-1471. doi: 10.13700/j.bh.1001-5965.2017.0526
Abstract:

Aimed at random occurrence of singular value in the process of ultra wide band (UWB) ranging, the traditional Mahalanobis distance detection algorithm is improved, and the Mahalanobis distance singular value detection module based on minimum covariance is designed. Based on the omnidirectional robots' kinematic and dynamic characteristics, the inverse dynamic feedforward trajectory tracking algorithm based on sliding mode control and PID control is proposed. Aimed at the coordinate jump, the edge effect and the kinematic characteristics of the micro four rotor in UWB positioning algorithm, a trajectory tracking control method based on extended Kalman filter (EKF) is designed. In MATLAB and Gazebo simulation software, the tracking control algorithm of omnidirectional robot and nano-quadrotor is verified. In order to verify the real-time feature and accuracy of the closed-loop velocity and position control and UWB positioning for trajectory tracking control algorithm in real environment, a heterogeneous multi-robot system based on UWB was built to complete the nano-quadrotor hovering, single omnidirectional robot trajectory tracking, and heterogeneous multi-robot cooperative control experiments. The experimental results show that the UWB positioning system and the robot control algorithm can meet the requirements of real-time and stable control.

Scheduling algorithm for multi-sensor collaboration tracking and radiation control
QIAO Chenglin, DUAN Xiusheng, SHAN Ganlin
2018, 44(7): 1472-1480. doi: 10.13700/j.bh.1001-5965.2017.0555
Abstract:

Active sensors obtain the target continuous measurements that can be intercepted by enemy system. To reduce the interception risk, a scheduling algorithm for multi-sensor collaboration tracking and radiation control is proposed. Firstly, the sensor radiation is represented by the emission level impact (ELI) and the processes of target tracking and radiation control are formulated as a partially observable Markov decision process (POMDP). Secondly, the hidden Markov model (HMM) filter is utilized to update the sensor radiation state and derive the non-myopic radiation risk. Meanwhile, the target state is updated by the unscented Kalman filter (UKF) which is also used to evaluate the target tracking accuracy. Finally, considering the tracking task requirement, the non-myopic scheduling model of radiation control is set up with tracking accuracy constraint and the scheduling problem is translated to a decision tree optimization problem. Then, the suboptimal lower bound of each decision tree node is given and the optimal scheduling sequence is obtained by improved branch and bound (IB & B) technique. Simulation results prove the validity of the proposed algorithm.

Theoretical research on multi-axis maglev low-frequency vibration sensor
YAO Jingjing, ZHENG Dezhi, MA Kang, ZHU Kai, FAN Shangchun
2018, 44(7): 1481-1488. doi: 10.13700/j.bh.1001-5965.2017.0524
Abstract:

A new maglev low-frequency vibration sensor was proposed, which was used for multi-axis measurement of aerospace micro-vibration. It used micro-spring and the hybrid structure with electromagnets and permanent magnets as the supporting element. The axial displacement detection circuit and the photoelectric displacement sensors were used to measure the relative displacement between the maglev mass block and the shell and realize the multi-axis measurement of low-frequency vibration signals. When the sensor was used for dynamic measurement, the maglev mass block could return to the equilibrium position and keep stable levitation under the combined action of electromagnetic attractive force, gravity and spring force. The equivalent bearing stiffness coefficient and the equivalent damping coefficient of the system could be controlled by adjusting the control current of the electromagnetic coil, which can reduce the natural frequency effectively and extend application range of the sensor. Theoretical analyses show that the lower-cut-off frequency of the sensor is 0.6 Hz and it has better low-frequency characteristics. The proposed method provides new thought for designing multi-axis low-frequency vibration sensor.

Differential evolution optimization for stuffed Whipple shield ballistic limit equations
JIA Guanghui, YAO Guangle, ZHANG Shuai
2018, 44(7): 1489-1495. doi: 10.13700/j.bh.1001-5965.2017.0515
Abstract:

There are 11 parameters in the form of domestic integrated modeling of ballistic limit equations. Theoretically, the exhaustion method can be used to obtain the numerical value, but the computation time is too long and the storage space is huge, so it is not suitable to realize. To solve this problem, differential evolution algorithm is used. Based on the domestic data of stuffed Whipple shield, the differential evolution algorithm is applied to optimize 11 undetermined parameters of the formal ballistic limit equation of the integrated modeling. The optimization results show that the totality predicted rate is 82.35%, the safety predicted rate is 100%, and the average sum of squared prediction relative errors is 0.001 3. Based on 49 experimental data from other sources for predictive testing, the prediction test shows that the totality predicted rate is raised by 1.32%, the safety predicted rate is reduced by 4.08%, and the average sum of squared prediction relative errors is increased by 0.007 3. It shows that the differential evolution algorithm is suitable for solving the ba-llistic limit equation modeling of multiple parameters and multiple targets.

Modeling and intensity analysis of GNSS signal link for high-orbit spacecraft
CHAI Jiaxin, WANG Xinlong, YU Nengjie, WANG Dun, LI Qunsheng
2018, 44(7): 1496-1503. doi: 10.13700/j.bh.1001-5965.2017.0502
Abstract:

In the application of global navigation satellite system (GNSS) in high-orbit environment, satellite signal propagation link is complex with large attenuation and non-uniform intensity distribution. These signal link characteristics influence theoretical analysis and engineering application. In order to solve these new problems, GNSS signal link model from GNSS transmitting antenna to high-orbit spacecraft receiver was established. Based on the signal link model, signal intensity distribution of high-orbit spacecraft was obtained by the equivalent gain overall link simulation. On this basis, the availability of dual constellation, three constellations or four constellations integrated GNSS was discussed and compared. It provides reliable theoretical basis for engineering applications such as GNSS signal characteristic analysis, sensitivity selection of multimode receiver and acquisition and tracking algorithm design.

Space magnetospheric line radiation above China
SHENG Xuelian, WU Jing, ZHANG Chong
2018, 44(7): 1504-1513. doi: 10.13700/j.bh.1001-5965.2017.0525
Abstract:

The electric field data observed by DEMETER satellite in the space above China from 2008 to 2010 were analyzed, and 328 magnetospheric line radiation (MLR) events were detected. According to the spectrum of the existing MLR events, the characteristics and their possible cause of these MLR events were studied. We made statistical analysis on all MLR events, and the results indicated that there were more MLR events in daytime than in nighttime and more in winter and autumn than in summer and spring. MLR showed no significant dependence on geomagnetic activity. Most of events were distributed in the low and medium latitude. The frequency intervals of MLR events were between 55 Hz and 95 Hz, the frequency drift rates were mostly in the range of 0-0.4 Hz/s, and peak intensities in frequency-time spectrograms seemed to be independent of latitude. The characteristics of MLR events observed in the space above China were similar to those of power line harmonic radiation (PLHR) events, but different from those observed abroad.

Multistage temperature degradation modeling for BLDC motor based on Wiener process
YUAN Qingyang, YE Jianhua, LI Xiaogang
2018, 44(7): 1514-1519. doi: 10.13700/j.bh.1001-5965.2017.0546
Abstract:

Brushless DC(BLDC) motor is widely used and its temperature degradation process is multistage. It is necessary to establish a multistage degradation model. When the model has several parameters, the parameter estimation process is sensitive to the initial value and easy to end up with a local optimization. This study was based on accelerated degradation data of motors. The normal weighted average filter (Gauss filter) was used to improve the results of estimation for the model parameters. A multistage Wiener model was established by using the transition function to modify linear model. Then, to maximize likelihood function for parameter estimation, the numerical optimization method, improved particle swarm optimization (PSO), was used for cycle calculation. The rationality of multistage model is verified by comparison of the normality of residual with widely used nonlinear Wiener model, and by analysis of theoretical life distribution of models and actual failure distribution of this batch. The modeling results show that the degradation mechanism changes at high speed during the degradation of the motor. Finally, prediction for motor life under this stress was gained by life distribution in different moments of time calculated by nonlinear model, which is important for the prognostics and health management (PHM) of motors.

Design and optimization of automotive composite helical spring
ZHAN Bowen, SUN Lingyu, HUANG Bincheng, ZHAO Guanbo, WANG Qian
2018, 44(7): 1520-1527. doi: 10.13700/j.bh.1001-5965.2017.0548
Abstract:

A major problem in designing automotive structures is how to make full use of the flexible designability of composites and light weight of polymer matrix, and also consider the close connection among the material, structure and properties. Since the helical spring is one of the major load-bearing parts of suspension and subjected to complex loads, it is generally manufactured by spring steel with ultra-high performance. If replaced by lightweight composites, both safety and light weight should be satisfied, which makes the design of composite helical spring rather difficult. In this paper, an integrated materials-structure-performance design method of composite helical spring is proposed. According to the stress distribution on the cross section of spring under compression, carbon fiber reinforce polymer (CFRP) material with ±45° ply sequence is selected. Under the constraint conditions of stiffness, strength and installation space, the initial geometric parameters of helical spring are derived by analytical models based on spring stiffness and strength and composite material mechanics. Furthermore, the initial result is verified numerically by finite element simulation. Combining the design of orthogonal experiment with numerical simulation, the response surface model of stiffness and strength of helical spring to its geometric parameters is established. Finally, the optimal design of helical spring satisfying both required performance and weight reduction is obtained by genetic optimization algorithm. Compared with the metal helical spring, the CFRP one reduces the mass by 34.4%. As a representative product development case, it has demonstrated that the proposed method is a feasible integrated solution for design of automotive structural components with composite materials.

Flexural performance of scarf repaired honeycomb sandwich structures
GUO Xuan, GUAN Zhidong, QIU Cheng, LI Zengshan
2018, 44(7): 1528-1536. doi: 10.13700/j.bh.1001-5965.2017.0557
Abstract:

The flexural behavior of scarf repaired honeycomb sandwich structures was investigated via experiments and finite element analysis. A three-point bending test was carried out on both undamaged and repaired specimens. Test results demonstrate that the failure mode is core shearing, and that the flexural strength recovery ratio of the repaired to the undamaged panels is 110%. The flexural rigidity of the repaired panel is slightly higher than that of the undamaged panel. Based on these results, a 3D finite element model was proposed to investigate the flexural behavior of the repaired specimens. Using VUSDFLD, we developed Hashin fabric and Besant failure criteria to achieve the damage initiation and evolution of composite and honeycomb materials. The failure pattern, the ultimate load and the calculated stiffness are in good agreement with the test results. Then the effect of the damage diameter and the thickness of the patch on the repaired panels was analyzed by changing the parameters of the FEM, and the results show that with the increase of the damage diameter from 30 mm to 70 mm, the ultimate loads of repaired specimens increase, then decrease, and finally reach the maximal value at the diameter of 50 mm; besides, the strength recovery ratio is larger than 100% while the thickness of the patch ranges from 1 mm to 2.5 mm. This study indicates that the numerical model developed provides an efficient method for repair design of composite honeycomb sandwich panels.

Numerical simulation of influence of temperature disturbance on oblique detonation wave structure
CHEN Nan, Sudip BHATTRAI, TANG Hao
2018, 44(7): 1537-1546. doi: 10.13700/j.bh.1001-5965.2017.0561
Abstract:

2D Euler equations were used for the numerical simulation of the influence of temperature disturbance on oblique detonation waves (ODW) in an oblique detonation combustion chamber. Instantaneous variation of temperature was introduced from the inlet as the disturbance by increasing and decreasing 100 K respectively. The simulation results show that the ODW can adjust with the temperature disturbance and the transition progress is smooth enough. But the inherent instability of ODW is found to be further released by disturbance and cell structure is clearer. The existing form of disturbance was researched quantitatively and qualitatively, which is the complex of shock wave, expansion wave and weak compression wave. Comparison between the results from two kinds of disturbance was conducted, which demonstrates that the distribution of waves is basically the same in detonation zone, while reversed in deflagration zone. It is caused by the difference in the strength of weak compression wave in two cases, which effects the ODW structure enormously in consequence. Furthermore, at decreasing temperature, the complex of three kinds of wave propagates downstream along the ramp and shock wave appears in four types of form which are bow-like shock, Mach reflection, regular reflection and normal shock nearly vertical to the ramp. There is an enormous bifurcation at increasing temperature, where the waves propagate along the surface of ODW and the form of waves remains stable relatively.

Intelligent decision making for airport bird-repelling with support vector machine
CHEN Weishi, YAN Jun, ZHANG Jie, LI Jing
2018, 44(7): 1547-1553. doi: 10.13700/j.bh.1001-5965.2017.0556
Abstract:

To impove the management of bird-strike avoidance at airport and realize the linkage of avian radar with multiple bird-repelling devices, an intelligent decision making method was proposed for airport bird-repelling based on support vector machine (SVM). The method includes two steps of training and testing. In the training step, the bird-repelling strategy classification model was established by data pretreatment and SVM training, which are combined with expert knowledge and large amount of historical bird information collected by the airport linkage system for bird detection, surveillance and repelling. In the testing step, the bird-repelling strategy classification model was continuously corrected and optimized according to the real-time intelligent bird-repelling strategy results. Through the real bird information data and several bird-repelling examples of a certain airport, it is demonstrated that the decision accuracy of bird-repelling strategy classification model is relatively high, and it can solve new problems by self correction and optimization. The proposed method achieves the optimized combination of multiple bird-repelling devices against real-time bird information with great improvement of bird-repelling effect, overcoming the tolerance of birds to the bird-repelling devices due to their long-term repeated operation.

Scattering characteristics of slit based on carrier cancellation method in small angular domain
ZHAO Jingcheng, YANG Tao, FU Xinru, GAO Xu, CHAI Jianzhong
2018, 44(7): 1554-1561. doi: 10.13700/j.bh.1001-5965.2017.0498
Abstract:

An important part of the scattering of stealth aircraft is slit scattering. Though researches have done on it, none of them has produced results in small angular domain (from -30° to 30°). This paper applied the carrier scattering method based on superposition principle to electromagnetic scattering computation for more accurately studying the electromagnetic scattering characteristics of slit. The effectiveness and accuracy of carrier cancellation method are verified by one-dimensional imaging of a plate with slit. Statistics of polarization characteristics and variation pattern of slit scattering in small angular domain with the width and length were made at 10 GHz frequency. The study results with different slit width show that, in small angular domain, horizontal scattering is larger than vertical polarization scattering when the slit width is less than a quarter of wavelength; otherwise, horizontal scattering is smaller than vertical polarization scattering. It is also found that the radar cross section (RCS) value of the slit increases faster with the growth of slit width under vertical polarization. The results with different slit length demonstrate that, in small angular domain, the mean value of electromagnetic scattering increases with the growth of slit length (200-1 000 mm) and the approximate range of scattering mean ranges from -22.2 dBsm to -8.4 dBsm in horizontal polarization and from -27.3 dBsm to -13.3 dBsm in vertical polarization. The relationship between RCS mean and slit length can be fitted to obtain RCS with a certain length, and thus the approximate range of RCS with different slit length could be calculated.

Judgement criterion for terrain false matching based on joint probability of multiple reference points
ZHANG Kunwei, WANG Kedong
2018, 44(7): 1562-1568. doi: 10.13700/j.bh.1001-5965.2017.0499
Abstract:

Since the terrain contour matching (TERCOM) algorithm is easy to mismatch due to measurement error and terrain self-similarity, an on-line false matching judgement criterion based on the joint probability of multiple reference points in a correlation plane was proposed by taking mean square difference (MSD) as an example. Firstly, the MSD correlation plane was calculated by the correlation of the measured elevation data with the reference elevation data. Then, the MSD probability distribution density function of the candidate matching points was derived by analyzing the statistical distribution of elevation measurement error. Finally, the multi-point joint probabilities were calculated for all the candidate points in the correlation plane so that they are compared with a threshold to judge the matching of the point with the minimum MSD value false or not. The simulation results show that 97% false matching points can be detected and 90% correct matching points can be preserved when the threshold is set to 0.9, implying that false matching can be avoided to a great extent.