2018 Vol. 44, No. 4

Display Method:
Volume 44 Issue42018
iconDownload (27259) 955 iconPreview
Nonlinear vibration response characteristics of high-speed flexible rotor system
HONG Jie, YU Huan, XIAO Sen, MA Yanhong
2018, 44(4): 653-661. doi: 10.13700/j.bh.1001-5965.2017.0266
Abstract:

According to the multi-supported structure feature of high-speed flexible rotor and with the demand of rotor dynamic design, the influence of the bearing looseness on the rotor dynamic was analyzed. The nonlinear vibration response characteristics of the high-speed flexible rotor system were obtained through simulation. The results show that when the working speed of rotor is above the critical speed, the periodic, quasi-periodic and chaos can exist when the flexible rotor working. Furthermore, the influence of location of bearing looseness, value of unbalance and bearing clearance on the vibration response of multi-supported flexible rotor was studied. The analysis results provide theoretical method for dynamic design of multi-supported high-speed flexible rotor system.

Power matching of flying cars during takeoff stage based on dual-mode driving
XU Bin, TIAN Fugang
2018, 44(4): 662-669. doi: 10.13700/j.bh.1001-5965.2017.0279
Abstract:

To solve power-matching problem during takeoff stage of folding wing flying car, the basic dynamic control strategy was studied.The dual-mode driving characteristics during takeoff stage were analyzed through theoretical calculation, and the concept of the optimal switching time was proposed.Based on the basic parameters and results of power-matching calculation of the concept car, the driving state simulation models under different working conditions were established in Simulink. According to the driving state simulation mo-dels, the simulation analyses on driving state during takeoff stage were conducted, and the dual-mode driver selection principle and optimum matching scheme of switching time were obtained.The calculation results show that the takeoff acceleration time is reduced by 22% and the takeoff distance is shortened by 13% based on dual-mode driving.The optimization analyses on transmission and vehicle parameters and variation of output characteristics were further conducted, from which the effect of the parameters on power performance during takeoff stage was obtained.

Fast acquisition methods based on sparse Fourier transform
ZHANG Chunxi, LI Xianmu, GAO Shuang
2018, 44(4): 670-676. doi: 10.13700/j.bh.1001-5965.2017.0280
Abstract:

The acquisition of the satellite signals is the key step of baseband signal processing in the receiver. The speed of the acquisition has a serious effect on the time to first fix (TTFF).According to the parallel code phase search (PCPS) method based on fast Fourier transform (FFT), the sparse Fourier transform (SFT) which computes in sub-sampled time is applied to the PCPS algorithm to simplify the acquisition process. The fast acquisition method based on SFT is proposed. The faster acquisition is achieved by optimizing the efficiency of correlation operation. The simulation results show that the computation time of the proposed fast acquisition method based on SFT is 2 times faster than that of the conventional FFT-based acquisition method. And it can better meet the requirements of fast satellite signal acquisition.

Influence of meteorological factors on aircraft fuel efficiency in approach flight
HU Rong, WU Wenjie, CHEN Lin, ZHANG Feifei
2018, 44(4): 677-683. doi: 10.13700/j.bh.1001-5965.2017.0245
Abstract:

Meteorological factors are significant to aviation flight. To investigate the fuel efficiency in aviation flight, base of aircraft data (BADA) model was combined with meteorological factors, and the aircraft fuel consumption correction model was built. Taking the example of one inbound flight approach at Guangzhou Baiyun Airport, the flight simulation tests were developed and the influence of the change in air temperature, air pressure and wind speed on aircraft fuel efficiency was discussed from two aspects:fuel flow and fuel consumption. The results show that the correlation between meteorological factors and fuel efficiency is obvious. When aircraft flight altitude is certain, if air temperature rises, fuel flow and fuel consumption increase, and fuel efficiency decreases; if air pressure rises, fuel flow changes little but fuel consumption slightly decreases, and fuel efficiency increases; if wind speed rises, fuel flow and fuel consumption firstly decrease and then increase, fuel efficiency increases first and decreases afterwards, and fuel efficiency is the highest when wind speed is 4 m/s. If flight altitude reduces, air temperature and air pressure increase but wind speed increases, fuel flow increases with a slight fluctuation, and fuel efficiency decreases. Fuel consumption in approach can be reduced by about 3% under the best meteorological factors. The study results are significant for improving the fuel efficiency in actual flight.

BDS/GPS combined navigation receiver autonomous integrity monitoring algorithm
WANG Ershen, YANG Fuxia, PANG Tao, QU Pingping, LAN Xiaoyu, JIANG Yi
2018, 44(4): 684-690. doi: 10.13700/j.bh.1001-5965.2017.0277
Abstract:

In order to make receiver autonomous integrity monitoring (RAIM) technique be applied to approach with vertical guidance (APV) flight phase in civil aviation navigation, the BDS/GPS combined navigation RAIM algorithm is studied. An algorithm based on the optimal weighted average solution of BDS/GPS position solution is proposed. Combined with the relationship between the optimal weighted average solution and BDS/GPS position solution, a test statistic is established. The test threshold is obtained according to the maximum allowable false alarm probability, and then the satellite navigation system fault is detected. Through the weighted least squares residual method, the satellite fault is detected and identified. The results are instructive for the study of multi-constellation combined satellite navigation system applied to the navigation in civil aviation APV flight phase.

Kinematic and mechanical analysis on launch process of stratospheric airship
ZHANG Taihua, JIANG Luhua, ZHOU Jianghua
2018, 44(4): 691-699. doi: 10.13700/j.bh.1001-5965.2017.0227
Abstract:

Launch mode of the stratospheric airship is the prerequisite factor to safely reach the target altitude. In this paper, a dynamics model for the launch process of stratospheric airship is firstly established, and the analytical solution method is put forward, and the quantitative analysis is carried out. Secondly, according to the typical issues that influence the launch process, the dynamic analysis of both the single-helium and multi-helium envelope structure are carried out, including dynamics response and force status. Furthermore, the numerical results of a single helium envelope structure are obtained and then compared with experimental data. The result verified the accuracy of the analytical method, which can also provide the basis for launch process of the airship and the design of the launch equipment.

Joint optimization of detection and tracking with Rao-Blackwellized Monte Carlo data association
CHEN Weishi, YAN Jun, LI Jing
2018, 44(4): 700-708. doi: 10.13700/j.bh.1001-5965.2017.0228
Abstract:

A joint optimization algorithm was proposed for radar target detection and tracking with Rao-Blackwellized Monte Carlo data association. Rao-Blackwellization made the separation of single target tracking and data association, where the data association was solved by the sequential Monte Carlo method (particle filtering), leading to the multiple target tracking in the environment of clutter and false alarm measurements. Meanwhile, the size of the wave gate depended on the distribution range of particles. Under the consideration of the particle weights, the detection threshold was modified with the relative position of the detection units to all the particles, improving the detection rate. Finally, combined with the algorithm for clutter suppression with spatial features achieved in the previous research, the proposed algorithm was applied to the simulated data as well as the ground-truth data collected by the S-band incoherent and coherent radars. It is demonstrated that the proposed algorithm can realize the detection and tracking of small targets with relatively small number of particles.

Influence mechanism of axial spacing on rotor blade flutter characteristics
ZHENG Yun, YU Yongbo
2018, 44(4): 709-716. doi: 10.13700/j.bh.1001-5965.2017.0251
Abstract:

The mechanism of the upstream blade row affecting the flutter characteristics of the rotor blade is studied, using the self-developed unsteady fluid-solid coupling numerical simulation program. The influence coefficient method is used to analyze the effect of axial spacing on the aeroelastic stability of rotor. The results show that the neighboring blade vibration, which adjacent to the certain blade's suction side, determines the value of rotor aerodynamic damping in the tuned cascade, and its effect is even larger than the certain blade vibration itself; in the multi-row environment, inlet guide vanes(IGV) mainly affects the minimum aerodynamic damping of rotor blade, and IGV increases the nodal diameter value of the most unstable point of aeroelasticity; the channel change caused by blade vibration restrains the reflection of IGV on unsteady pressure wave; with the decrease of axial spacing, the range of unsteady influence of blade vibration is obviously increased, since the effect of IGV on the unsteady pressure wave attenuates the circumferential attenuation of unsteady pressure wave; the influence coefficient method needs to measure more blades to obtain more accurate aerodynamic damping in the multi-row environment.

Design of decoupling controller for spinning missile based on receding horizon optimization
CHEN Wei, SUN Chuanjie, FENG Gaopeng, BAI Yunshan
2018, 44(4): 717-724. doi: 10.13700/j.bh.1001-5965.2017.0271
Abstract:

The spinning missiles are subjected to external disturbances and uncertainties during flight, and there are the aerodynamic cross-linking, inertial cross-linking and control cross-linking. To realize stable flight, it is necessary to design decoupling controller. Therefore, a decoupling control method based on the receding horizon optimization (RHO) was proposed. The kinematic models of the spinning missile and the servo system were expressed in the form of state space, and the augmented equations of state were obtained based on the equations of state of the spinning missile, the command filters and the integral of the tracking error. The control value was calculated using the RHO based on the command filter, and in order to realize the decoupling control of the spinning missile, the controller gains were adjusted in real time according to the difference between the system output and the command signal. Through the acceleration control simulation results, it can be seen that the designed control system is basically not affected by the spinning rate, the modeling errors and the external disturbances, which has high robustness.

Equipment RUL prediction oriented parallel simulation technology
GE Chenglong, ZHU Yuanchang, DI Yanqiang
2018, 44(4): 725-736. doi: 10.13700/j.bh.1001-5965.2017.0262
Abstract:

As an emerging simulation technology in the field of system modeling & simulation, equipment parallel simulation has become research emphasis. In the field of equipment maintenance support, the outstanding problem of equipment remaining useful life(RUL) prediction is analyzed, i.e., the stable model parameters without self-evolution ability, which has become the primary factor that hinders adaptive prediction of equipment remaining useful life. Combined with parallel systems theory, equipment remaining useful life prediction oriented parallel simulation framework is proposed on the basis of modeling analysis and Wiener state space model is taken as the basic simulation model in the framework. Driven by the dynamic implanted equipment degradation observation data, the model parameters are updated online by using expectation maximum(EM) algorithm and the data assimilation (DA) between simulation outputs and observation data is executed by using Kalman filter(KF), so as to realize dynamic evolution of the simulation model. The simulation model evolution which makes the simulation outputs close to equipment real degradation state provides high fidelity model and data for equipment remaining useful life prediction accurately. The framework is verified by the performance degradation data of a bearing. The simulation results show that the parallel simulation method can accurately simulate the equipment performance degradation process and the adaptive prediction of equipment remaining useful life is realized on the basis of the improved prediction accuracy, proving the feasibility and effectiveness of parallel simulation method.

Adaptive sliding mode control of solar array with input shaping
ZHOU Tong, GUO Hong, XU Jinquan
2018, 44(4): 737-745. doi: 10.13700/j.bh.1001-5965.2017.0276
Abstract:

This paper proposes a control strategy which combines adaptive sliding mode control (ASMC) with input shaping technology for the solar array drive system (SADS) to improve the angular position control performance and suppress the flexible vibration. To improve the angular position control performance, ASMC is introduced, which is able to guarantee the uniform boundedness and uniform ultimate boundedness, regardless of the uncertainty. The command trajectory is planned by the input shaper (IS) based on the reference model, which suppresses the flexible vibration of solar array. The simulation results verify the validity of the proposed control strategy.

Modular design method for filament winding machine
XU Xiaoming, ZHANG Wuxiang, DING Xilun
2018, 44(4): 746-758. doi: 10.13700/j.bh.1001-5965.2017.0233
Abstract:

Winding machine is the core equipment for filament winding with the features of high production efficiency and stable product quality. To meet the requirements of customized and small batch production, the modular design method (MDM) is proposed to expand the function of winding machine. The system structure is analyzed, relation matrices between components are established, and the grouping genetic algorithm (GGA) is then employed to conduct modular optimization to cluster components into standard modules. Multi-objective optimization method based on non-dominated sorting genetic algorithm Ⅱ (NSGA-Ⅱ) is proposed to create a complete system by combining instances with consideration of performance and cost simultaneously. The modular design method for the control system is presented based on distributed network controller for a bus system, and the network interface of the controller is standardized as independent function module, and then the rapid configuration of the controller is achieved according to the modular configuration of the mechanical structure. The k-nearest neighbor (kNN) method is used to classify the control mode by detecting the connection state of the module and the dynamic reconfiguration method based on component object model (COM) component to realize the state transition sequence and data exchange of the modules. The research on the modularization of mechanical structure, controller and software can realize the rapid reconfiguration of the winding machine, and expand the function of the winding machine.

Effect of planet's third-body gravitational perturbation on aerobraking of moon's explorer
JIANG Ling, WANG Yue, XU Shijie
2018, 44(4): 759-764. doi: 10.13700/j.bh.1001-5965.2017.0249
Abstract:

An averaged orbital dynamics model for a natural satellite aerobraking was established and an Titan explorer was simulated to study the notable planet's third-body gravitational perturbation during the process. Firstly, non-singular Milankovitch elements were introduced to represent the orbital motion. A semi-analytical orbital equation was obtained considering moon's atmospheric drag, oblateness perturbation, and planet's gravitational perturbation. Secondly, taking Titan explorer as an example, simulations and analysis were carried out with different azimuth choices between Saturn and apse line when atmospheric drag was excluded and included. The results show that different initial azimuth of Saturn with respect to the apsidal line would cause that eccentricity and periapsis height oscillate in different intervals, which will ultimately influence the aerobraking result.

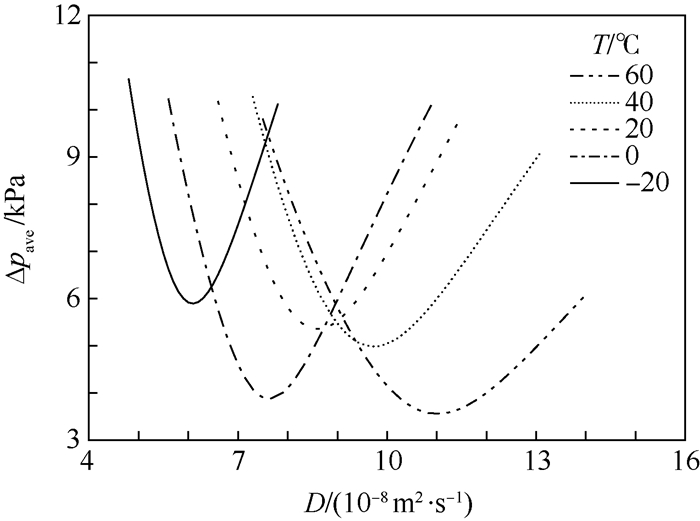
Experimental analysis of carbon dioxide diffusion coefficient in RP-3 jet fuel
LI Chaoyue, FENG Shiyu, SHAO Lei, PAN Jun, LIU Weihua
2018, 44(4): 765-771. doi: 10.13700/j.bh.1001-5965.2017.0265
Abstract:

The rule of mass diffusion of CO2 in jet fuel is an important consideration in the research of the aircraft fuel tank inerting system. A pressure-decay test apparatus was constructed to measure the diffusion coefficient of carbon dioxide in RP-3 jet fuel by monitoring the pressure variation at constant temperature of -20, 0, 20, 40, and 60℃, respectively. The two-dimensional diffusion equation in the hermetic container was derived based on Fick's law, and the concentration distribution was determined via the numerical method with the assumption that diffusion coefficient was known. Then pressure on ullage was predicted by utilizing mass conservation and real gas state equation and the calculating result was compared with the experimental data. By adopting the diffusion coefficient as the independent variable, the error functions as the experimental and theoretical data were derived. The optimum solution to the diffusion coefficient was obtained by Husain single variable search method to minimize the error. The study also reveals that the diffusion coefficient increases with the rise of the temperature, and the Arrhenius equation could be employed to correlate the diffusion coefficient and temperature.

Exploring LSTM based recurrent neural network for failure time series prediction
WANG Xin, WU Ji, LIU Chao, YANG Haiyan, DU Yanli, NIU Wensheng
2018, 44(4): 772-784. doi: 10.13700/j.bh.1001-5965.2017.0285
Abstract:

Effectively forecasting the failure data in the usage stage is essential to reasonably make reliability plans and carry out reliability maintaining activities. Beginning with the historical failure data of complex system, a long short-term memory (LSTM) based recurrent neural network for failure time series prediction is presented, in which the design of network structure, the procedures and algorithms of network training and forecasting are involved. Furthermore, a multilayer grid search algorithm is proposed to optimize the parameters of LSTM prediction model. The experimental results are compared with various typical time series prediction models, and validate that the proposed LSTM prediction model and the corresponding parameter optimization algorithm have strong adaptiveness and higher accuracy in failure time series prediction.

Frequency extension method of TEM cells based on slotted waveguide antenna
SONG Chunjiang, FENG Xiaoyao, DAI Fei
2018, 44(4): 785-791. doi: 10.13700/j.bh.1001-5965.2017.0296
Abstract:

In order to break through limitatiions in actual testing, the extension method of frequency range of a transverse electromagnetic (TEM) cell is studied. Using the theory of electromagnetic field and microwave technology, the influence of adding slots to the cell on the higher order modes is analyzed, and the suppressing effect of slots on the higher order modes is reinterpreted by summarizing the variation of the distribution of surface current. According to the principle of slotted waveguide antenna, a new method has been proposed to design the slotted surface of the TEM cell. Along with the numerical simulation of electromagnetic field, the paper validates the effectiveness of an engineering method to suppress higher order modes and evaluates the accuracy of the control parameters and the constraint conditions. The effect of the new method is further verified by processing a real cell and its measurement. The simulation and test results show that, without reducing the test space and affecting the main mode, the engineering method of slotted cell can extend the bandwidth by 42.9% by suppressing higher order modes.

Multicore design space exploration via semi-supervised ensemble learning
LI Dandan, YAO Shuzhen, WANG Ying, WANG Senzhang, TAN Huobin
2018, 44(4): 792-801. doi: 10.13700/j.bh.1001-5965.2017.0297
Abstract:

With the increasing complexity of microprocessor architecture, the design space is growing exponentially and the software simulation technology is extremely time-consuming. Design space exploration becomes one major challenge when processors are designed. The paper proposed an efficient design space exploration method combining semi-supervised learning and ensemble learning techniques. Specifically, it includes two phases:uniform random sampling method is firstly employed to select a small set of representative design points, and then simulation is conducted with the points to constitute the training set; semi-supervised learning based AdaBoost (SSLBoost) model is further proposed to predict the responses of the configurations that have not been simulated. Then the optimal processor design configuration is found. The experimental results demonstrate that compared with the prediction models based on the existing artificial neural network and support vector machine (SVM), the proposed SSLBoost model can build a comparable accurate model using fewer simulations. When the number of simulation examples is fixed, the prediction accuracy of SSLBoost model is higher.

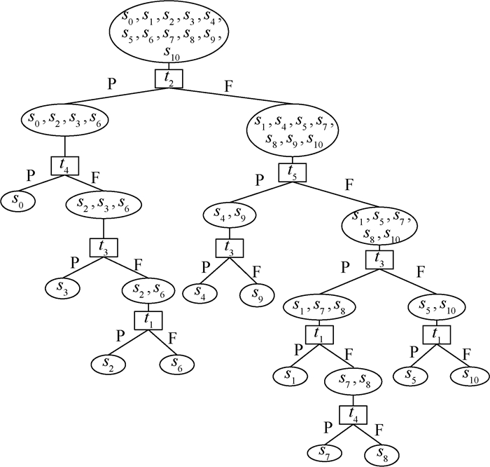
Multiple fault diagnosis and maintenance strategy based on testability D matrix
TIAN Heng, DUAN Fuhai, FAN Liang, SANG Yong, SHI Meng
2018, 44(4): 802-809. doi: 10.13700/j.bh.1001-5965.2017.0225
Abstract:

In view of the complicated multiple fault diagnosis problems and difficulties in the realization of multiple fault direct processing algorithm, on the basis of testability D matrix and single fault algorithm, a novel multiple fault diagnosis and maintenance strategy based on translating into single fault (MFDMSTS) is introduced. Firstly, under the assumption of multiple faults, disjunctive operation is introduced, and isolable single fault and isolable multiple faults are defined. According to the definitions, single fault, which composes a new D matrix with test set, is translated into from multiple faults. Secondly, single fault diagnosis algorithm is used to process the new D matrix, and the optimal diagnostic tree is obtained. Finally, a further multiple fault diagnosis and maintenance strategy is proposed for different leaf nodes in the diagnostic tree. Experimental verification demonstrates that MFDMSTS is an effective way to reduce average diagnostic cost and average diagnostic steps, and to greatly reduce the rate of maintenance error.

Computation method of collision probability of space object based on Laplace transformation
HUO Yurong, LI Zhi, HAN Lei
2018, 44(4): 810-819. doi: 10.13700/j.bh.1001-5965.2017.0263
Abstract:

The collision probability of space object is an important information for judging whether a collision occurs in the space debris collision warning, and is important for the maneuvering avoidance of the spacecraft. Based on the Laplace transformation and the definition of the power series, the collision probability calculation method and the collision probability expression expressed by the power series in the short-term encounter were discussed. The truncation error in the form of power series was determined and the number of terms of power series was analyzed under different precision requirements. The results of collision probability calculation based on Laplace transformation are compared with those of Chan method and Monte Carlo method for 2009 US-Russian satellite collision event. The validity of Laplace transformation method and the advantage of computing accuracy are verified.

Moon-based platform data transmission link scheme design and analysis
CHEN Guoqiang, RUAN Zhixing, GUO Huadong, LIU Guang, DING Yixing, ZHANG Yanxin
2018, 44(4): 820-827. doi: 10.13700/j.bh.1001-5965.2017.0290
Abstract:

The ability of data transmission and processing is an important factor in the construction of the moon-based platform. How to transmit the observation data to the earth station efficiently and accurately is a critical step to carry out the further researches. Through the joint simulation of STK and MATLAB, we simulate data transmission link from Moon-based platform to Earth and put forward a downlink communication scheme for the platform. It has been proved that the scheme of two relay satellites with 40 degrees apart and of utilizing the middle latitude earth station can receive reliable information all the time. It could make the downlink receiver get information with enough power and low bit error rate, so as to ensure the operation of the moon-based earth observation platform.

Improved flower pollination algorithm for multimodal function optimization
GUO Qing, HUI Xiaobin, ZHANG Jiakui, LI Zhengxin
2018, 44(4): 828-840. doi: 10.13700/j.bh.1001-5965.2017.0240
Abstract:

In order to discuss the defects of flower pollination algorithm (FPA) in solving multimodal optimization problems, the optimal disadvantages of flower pollination algorithm in multimodal function optimization were qualitatively analyzed by defining population diversity and difference index. And then a new framework of FPA was constructed by optimizing the global pollination process based on the simulated annealing idea and using Nelder-Mead simplex search method to reconstruct the local pollination process. The simulation results show that the improved flower pollination algorithm can effectively avoid falling into local optimum and has better global exploration and local exploitation abilities, which has advantages to solve multimodal function optimization, compared with primary flower pollination algorithm, cuckoo search algorithm and firefly algorithm.

Formation reconfiguration control of quadrotor UAVs based on adaptive communication topology
MA Siqian, DONG Chaoyang, MA Mingyu, WANG Qing
2018, 44(4): 841-850. doi: 10.13700/j.bh.1001-5965.2017.0281
Abstract:

This paper focuses on the cooperative control problem in formation reconfiguration of multiple flight vehicles, and the method of integral sliding mode control (ISMC) based on switching communication topology is investigated. The multiple flight vehicle system is modeled involving the connecting of communication topology and the character of formation reconfiguration of quadrotor UAV. The switching condition of the communication topology is raised considering the possible communication reliability problem in the process of formation reconfiguration. The cooperative controller is designed by ISMC method under the condition of switching topology communication, and its stability is proved adopting switching system theory. The simulation results show that the stability of UAV formation system can be ensured with ISMC method and switching communication topology in the process of formation reconfiguration, and illustrate the effectiveness of the proposed method.

Octree based decimation algorithm for triangle isosurface using simplified patterns
XU Lei, WANG Huafeng, PAN Haixia, LIN Guangyan, CHEN Yuexi
2018, 44(4): 851-861. doi: 10.13700/j.bh.1001-5965.2017.0282
Abstract:

It is universally acknowledged that SMC based on simplified patterns extracts less triangles than the standard MC. Because only in-cube decimation was exploited, SMC is not able to take full advantage of local features of isosurfaces. Based on this observation, a new method named OSMC is presented in this paper. Based on characteristics of simplified configuration, OSMC first use octree structure to organize cells as nodes, then merge the nodes from bottom to top, and finally achieve local area triangles merging. The experimental results illustrate that the proposed method does further decimation than SMC, especially for datasets with large flat areas. The proposed method achieves an average reduction rate up to 55.1%, while the average reduction rate for SMC is 29.7%. The reduction rate reaches 80% at the highest and it is above 50% in average when OSMC is used on high-resolution geological dataset. Moreover, the new method is more adaptive to the increment of the dataset resolution.

Interaction between metallic and nonmetallic elements on grain boundary of nickel
FANG Shujuan, SHI Songxin, ZHU Linggang, ZHOU Jian
2018, 44(4): 862-867. doi: 10.13700/j.bh.1001-5965.2017.0293
Abstract:

First-principles calculations based on density functional theory are used to study the segregation of metallic and nonmetallic elements as well as their interactions on the grain boundary (GB) of nickel. Two typical GBs are constructed:close-packed GB and quite open GB. According to the solution energy calculation, both the metallic and nonmetallic elements show strong segregation behavior on the ∑5 GB, while for the ∑3 GB, the segregation is not so significant. The interaction energies between the common transition alloying elements and nonmetallic elements C, H, O, N and B are calculated when they occupy the most energy-favorable positions. It is found that Ru, Re, W and Ta exhibit strong repulsion to O, indicating beneficial effects for the oxidation resistance behavior; Ta shows strong repulsive interaction to H, which should be helpful for the inhibition of the hydrogen-embrittlement. The present work is useful for the grain boundary engineering of Ni-based superalloy by systematically studying the interaction between metallic and nonmetallic elements at grain boundaries.

Synthesis and characterization of high purity V2AlC prepared by pressureless sintering
GAO Shaohua, MIAO Naihua, ZHOU Jian
2018, 44(4): 868-873. doi: 10.13700/j.bh.1001-5965.2017.0295
Abstract:

In this paper, we reported the synthesis of high purity V2AlC by pressureless sintering with V, Al and C mixed powders. The reaction paths were studied and discussed according to the phase transformation at different sintering temperatures. Besides, the effect of sintering aid NaF on singtering process was stuied. The experimental results show that V2AlC was synthesized by the reaction of V3Al2, VC and C within the temperature range of 1 300-1 500℃ and that high purity V2AlC could be obtained with the optimized molar ratio of V:Al:C=2:1.2:1 at 1 500℃ for 2 h. In addition, the use of sintering aid NaF could greatly promote the reaction process and reduce the reaction temperature to 1 400℃. Based on the high purity and suitable size distribution (40~100 μm), the synthesized powders can be easily used as the reinforcement material or V2C precursor material.

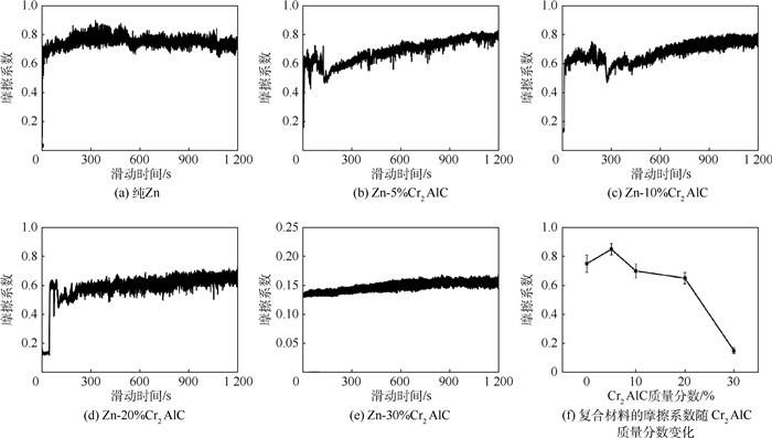
Preparation and tribological properties of Zn-Cr2AlC composites
LI Zhi, ZHAO Wenyue, MIAO Naihua
2018, 44(4): 874-878. doi: 10.13700/j.bh.1001-5965.2017.0298
Abstract:

In order to improve the friction and wear properties of Zn, Cr2AlC ceramic particle reinforced Zn matrix composites were prepared by hot pressing method. The effects of Cr2AlC content on the metallographic structure, Vickers-hardness, relative density and tribological properties of the Zn-based composites were investigated. The results show that the hardness of the composites is improved obviously with the proper increase of Cr2AlC content. When the mass fraction of Cr2AlC reaches 20%, the hardness of the composite is 1.52 times higher than that of pure Zn. The introduced Cr2AlC particles can significantly improve the tribological properties of the composites. The friction coefficient decreases from 0.75 in pure Zn to 0.65 in Zn-20%Cr2AlC, and the wear rate of Zn-30%Cr2AlC is reduced by 80.54% compared to pure Zn. Analysis on the worn surface morphology indicates that the wear mechanism is abrasive wear and delamination wear.

Immunological response evaluation of absorbable collagen membrane in vivo
ZHANG Lin, SUN Lei, XU Menghan, NIU Xufeng
2018, 44(4): 879-886. doi: 10.13700/j.bh.1001-5965.2017.0230
Abstract:

Immune response is one of the critical factors to limit implantable biomaterials' application. In this study, two kinds of collagen membranes for bone regeneration were evaluated in terms of immunological response in vivo, which is hoped to lay foundations for clinical trials. At day 14 following subcutaneous implantation of the two membranes in BALB/c mice, compared with negative control (NC, no implant), spleen and lymph nodes showed no obvious swelling, and normal lymph nodes'cell population as well as one-fold more splenic cell population was observed. Flow cytometry analysis demonstrated that in mice with collagen membrane 1, splenic T lymphocytes percentage decreased by about 13%, but no significant change was discovered in T lymphocyte subsets; collagen membrane 2 did not trigger apparent splenic cells composition alteration; the two membranes activated one-fold more B lymphocytes than NC. Enzyme linked immunosorbent assay indicated that one-fold higher IgG concentration than NC was detected in mice with collagen membrane 1 in day 14. Lymphocytes proliferation assay in vitro did not show significant difference from NC. H&E staining of local tissues exhibited slight cell infiltration around the two membranes. The two collagen membranes have engendered mild immune response and can be applied to clinical trials.

Multi-objective reliability design optimization approach based on competition game
FENG Jiazhen, ZHANG Jianguo, QIU Jiwei
2018, 44(4): 887-894. doi: 10.13700/j.bh.1001-5965.2017.0367
Abstract:

Aimed at the subjectivity of the selection of target weights, multi-objective reliability design optimization approach based on competition game is proposed. In this approach, every design objective is treated as the corresponding game player, and the random design variable set is decomposed into multiple strategy sets that are allocated to the corresponding player through the random design variable set mapping (RDVSM) technology. Then, combined with the performance measurement analysis method, every player takes its payoff as the single objective function for the reliability design optimization in its own strategy set, and the optimal results of all players form a group of strategies in this game round. After multi-round games, the equilibrium solution of the game is acquired. The study of a pressure vessel case and a gear reducer case shows that the proposed approach avoids the selection of target weights, and the design results have high objectivity.