2021 Vol. 47, No. 9

Display Method:
Volume 47 Issue92021
iconDownload (97218) 886 iconPreview
Finite element simulation of ultrasonic reflection/transmission characteristics for composite bonded joints with thick adhesive layers
HE Cunfu, LI Yongkun, LYU Yan, SONG Guorong
2021, 47(9): 1721-1728. doi: 10.13700/j.bh.1001-5965.2020.0305
Abstract:

For composite bonded joints with thick adhesive layers, finite element method is applied to calculate the ultrasonic reflection/transmission coefficients when bonding interfaces and cohesion of adhesive layers are degraded. In the simulation model, the boundary conditions of the spring model used in conventional theoretical derivations are modeled by using the physical field boundary namely elastic thin layer, and the cohesive state of the adhesive layer is simulated by changing the elastic constants of it. The simulation results show that the frequency spectrum curve of reflection/transmission coefficients will shift to the low frequency side and the angular spectrum curve of reflection/transmission coefficients will shift to the large angle side with the increase of degradation degree of bonding interfaces. In addition, when the degradation of the cohesion of adhesive layers is getting worse, the shift tendency of the corresponding frequency and angular spectrum curve of reflection/transmission coefficients is consistent with that when degradation on bonding interfaces occurs. The problem of simulating bonding interfaces and structural adhesive's cohesion layers in composite bonded joints with thick adhesive layers by finite element method is solved, and the simulation results are in good agreement with theoretically calculated results.

Future air routes discovery based on link prediction
FENG Xia, WANG Yao
2021, 47(9): 1729-1738. doi: 10.13700/j.bh.1001-5965.2020.0335
Abstract:

In view of the problems of subjective route selection and insufficient network information mining in the research of new air routes discovery, and considering the topological structure characteristics and nodes (navigable cities) hierarchical attributes of air transport network, a New Air Routes Prediction (NARP) model based on link prediction is proposed. The NARP model extracted local enclosing subgraphs to construct subgraph adjacency matrices, marked the structural importance of nodes based on distance, and obtained nodes hierarchical attributes through factor analysis and hierarchical clustering. Then the two types of features of subgraph structure and nodes attributes were fused, and the Deep Graph Convolutional Neural Network (DGCNN) was used to perform link prediction to discover the future new air routes. The experimental results on the actual operation data of Chinese air transport network show that, compared with the benchmark algorithm, the prediction accuracy rate of NARP model is improved by 9.28% at most. When the network is extremely incomplete, the prediction accuracy rate can remain around 80%. The predicted results are in line with the actual evolution of air transport network.

Terminal response mechanism of complex wire harness under double BCI coupling
SHI Xudong, ZHANG Hemao, ZHAO Hongxu, LI Ruipu, WANG Xuefei
2021, 47(9): 1739-1747. doi: 10.13700/j.bh.1001-5965.2020.0336
Abstract:

It is difficult to construct in a high-intensity radiation field laboratory environment, and the application of dual Bulk Current Injection (BCI) probe instead of irradiation methods for interference immunity research has broad prospects. Aimed at the current unclear coupling mechanism between dual bulk current injection probe and wire harnesses, accurate model of dual bulk current injection probe coupled with wire harness is established. Using the method of segmentation and then cascading, wire harness is studied. First, the equivalent circuit model is established in the coupling zone between the probe and the harness, and then the link parameter matrix is constructed based on the transmission line theory in the uncoupling zone. Finally, it could be cascaded into a wire harness terminal response prediction model. A numerical electromagnetic simulation model is established based on finite integration method, and the prediction results of the prediction model and the numerical simulation model for the wire harness terminal response are compared. The results show that the two have good agreement on the results of the wire harness terminal voltage, and MAPE is 17%, which further verifies the effectiveness of the model. Using the model to analyze the influence of the relative position of the harness and probe on the response voltage of the terminal, the results show that the relative position has no effect in the low frequency band, exceeding 100 MHz, and the amplitude and resonance point of the terminal voltage will change.

An improved multi-sensor MeMBer filter based on clutter measurement set constraint
LU Xiaoke, ZHANG Zhiguo, SUN Jinping, SUN Wei
2021, 47(9): 1748-1755. doi: 10.13700/j.bh.1001-5965.2020.0317
Abstract:

To solve the problems existing in the traditional Multi-Sensor Multi-Target Multi-Bernoulli (MS-MeMBer) filter in the high clutter density scene, such as poor quality of measurement partitioning hypothesis and biases of cardinality estimation, an improved MS-MeMBer filter based on clutter measurement set constraint is proposed. By introducing the influence of the clutter measurement set into the update step, the weight of the target measurement set is optimized and the single target multi-sensor likelihood function in the clutter scene is given. After that, the improved multi-sensor measurement partitioning hypothesis is obtained by two-step greedy partition mechanism. The proposed method is compared with the traditional MS-MeMBer filter by simulation. The experimental results show that the proposed method has better multi-target tracking performance in high clutter density scene.

Predicate logic based tooling drawing design of aircraft harness
QIAO Xiaoli, LI Lin, LIU Gongping, GAO Jie, CHENG Jiamin, TIAN Chunlin
2021, 47(9): 1756-1764. doi: 10.13700/j.bh.1001-5965.2020.0343
Abstract:

Aimed at the problems of low efficiency and high error rate of aircraft harness tooling drawing design, the core content and predicate logic of each design phase were studied. The Trunk-Branch Tree (TBT) model, which has the characteristics of undirected graph and multi-way tree, was proposed to replace the traditional undirected acyclic graph modeling method. Based on the simulative wiring statistical results, the Large Volume First (LVF) policy was used to realize the auxiliary decision making of the 1-order trunk. The higher-order trunk reasoning, the basic structure reasoning and the best space reasoning based on predicate logic were used to realize the automatic higher-order trunks' decision making, the automatic harness structure design and the automatic space optimization. The harness intelligent process aided design system was developed and used successfully in 12 actual experiments. The tooling drawings can always be designed automatically in 30 seconds, and total design time is no more than 30 minutes for the super-large design drawings with more than 200 edges, excluding the problems of the incorrect 1-order trunk selection and the incorrect edge length. The experimental results show that the design efficiency and reliability are improved significantly by the proposed method.

CFD calculation and analysis of unmanned helicopter tie-down aerodynamic load
LONG Haibin, WU Yuping
2021, 47(9): 1765-1773. doi: 10.13700/j.bh.1001-5965.2020.0308
Abstract:

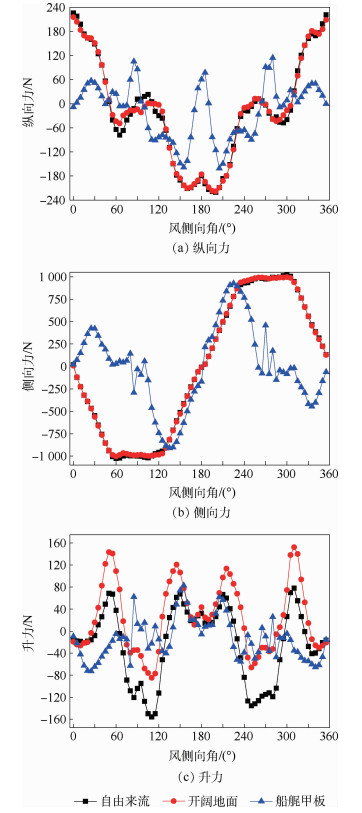
The tie-down aerodynamic load is used as the design input for the mooring device of the helicopter. In the past, it was usually calculated based on the wind tunnel test data of the large wind side angle aerodynamic characteristics of the fuselage. First, the CFD method was used to calculate the aerodynamic characteristics of the large wind side angle of an unmanned helicopter fuselage, including free flow, parking on the open ground and ship bow deck. Based on the CFD calculation results of the aerodynamic characteristics of the fuselage, the tie-down aerodynamic load was calculated. The results show that when the unmanned helicopter is parked on the open ground, the tie-down aerodynamic load is basically the same as that of the free flow. However, due to the influence of the ship's superstructure, the difference between the tie-down aerodynamic load when parked on ship bow deck and that of the free flow is large. The absolute values of force and part of the moment of force are relatively small, and the direction of the force and the moment of force are opposite in the case of some wind side angles. The research results can provide a certain reference for selecting the calculation method of helicopter tie-down aerodynamic load, the CFD calculation and the wind tunnel test status of the aerodynamic characteristics of the fuselage in different parking environments.

Dynamic automatic docking technology of gas-liquid composite umbilical connector for launch vehicle
LI Yongyi, WU Xinyue, LI Daoping, ZHANG Guodong, XIAO Shili
2021, 47(9): 1774-1779. doi: 10.13700/j.bh.1001-5965.2020.0304
Abstract:

In order to realize the automatic docking of ground composite umbilical connector for heavy launch vehicle with rocket interface, enhance the safety and reliability, and reduce safeguards of launch preparation process, first, the technology and overall strategy of automatic docking of composite umbilical connector were analyzed in this paper, the technical scheme which is composed of detection, control and pose adjustment system was proposed, and the strategy of non-contact detecting, active tracking and passive servo was designed. Then, the experimental automatic docking system of composite umbilical connector was developed. Finally, a series of experimental verification work were carried out including automatic docking, low temperature filling and automatic separating. The results show that the detection, control and pose adjustment function of the automatic docking equipment are normal, the automatic docking strategy is accurate and feasible, the automatic docking problem of heavy-load composite umbilical connector under large scale and high speed condition is solved, the comprehensive tracking range reaches±600 mm, the comprehensive tracking speed reaches 500 mm/s, and the time for automatic docking under various operation conditions is about 3-5 min.

Numerical simulation of coupling motion of an air-breathing hypersonic vehicle
CONG Rongfei, YE Youda, ZHAO Zhongliang
2021, 47(9): 1780-1789. doi: 10.13700/j.bh.1001-5965.2020.0313
Abstract:

In order to study the dynamic stability of an air-breathing hypersonic vehicle under coupling motion of pitch/roll, based on the aerodynamic/kinematic coupling numerical simulation method and theoretical analysis, the numerical simulation of forced pitch/free roll coupling motion of an air-breathing hypersonic vehicle with an inlet similar to the SR-72 configuration was carried out. The results show that the dynamic equation of the roll channel under the coupled motion of forced pitch/free roll motion can be simplified to the damped Mathieu equation, and the stability boundary can be obtained. Theoretical analysis shows that the dynamic stability of the roll channel is related to the angular frequency of pitch oscillation. There are two critical angular frequencies around the natural angular frequency of the aircraft roll oscillation. When the angular frequency of pitch oscillation is between the two critical angular frequencies, the roll channel is dynamically unstable. When the pitch amplitude is small, the numerical simulation results are in good agreement with the theory, but there is a certain deviation between the actual critical angle frequency and the theoretical value. The numerical simulation results show that with the increase of pitch amplitude, the angular frequency range resulting in rolling divergence becomes wider and shifts to higher frequencies.

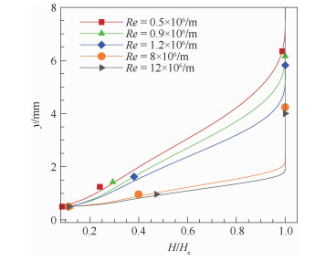
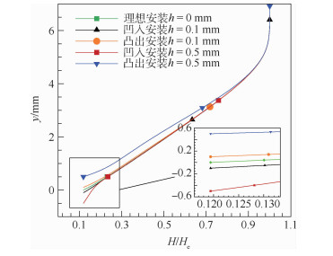
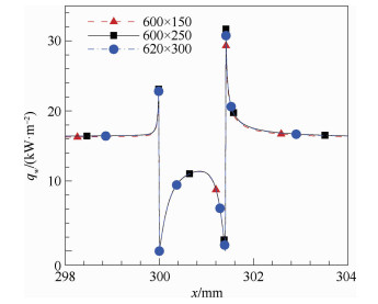
Influence of sensor installation on accuracy of aerodynamic heating measurement on flat plate
LUO Kai, WANG Qiu, LI Jiwei, LI Jinping, ZHAO Wei
2021, 47(9): 1790-1798. doi: 10.13700/j.bh.1001-5965.2020.0315
Abstract:

Accurate measurement of aerodynamic heating is an important issue for hypersonic vehicles to choose reasonable heat resistant materials and thermal structure design. However, it is still difficult to measure the heat flux accurately in shock tunnel experiments, and any slight deviation from ideal conditions may lead to inaccuracy. In-depth investigations are needed to carry out. In this study, the flat plate model is selected to study the influence of the non-ideal sensor installation on the accuracy of heat flux measurement. The sensors examined are protruding or recessed from the model surface in the order of 0.1 mm to 0.5 mm and different Reynolds numbers are considered. Related rules and mechanism of the influence of sensor installation on the accuracy of aerodynamic heating measurement are analyzed in detail. The results show that the sensor installation has great influence on the accuracy of the heat flux measurement. Protruding sensor installation results in larger deviation from actual heat transfer and recessed sensor installation results in smaller deviation compared to the results obtained with a smoothly installed sensor. The larger the protruding/recessed depth, the more severe the deviation, and this deviation will be larger under higher Reynolds number conditions. Using the non-dimensional form of protruding/recessed depth to the thickness of boundary layer, the level of deviation is only related to the non-dimensional value regardless of Reynolds number. In all, the results can provide theoretical guidance for the design and error analysis of aerodynamic heating measurement experiments.

Design of a GNSS vector tracking scheme for high-orbit space
YANG Jie, WANG Xinlong, CHEN Ding
2021, 47(9): 1799-1806. doi: 10.13700/j.bh.1001-5965.2020.0300
Abstract:

The availability of Global Navigation Satellite System (GNSS) signal in high-orbit space deteriorates, which puts forward higher requirements for the signal tracking performance of GNSS receiver. The received power characteristics of GNSS signal in high-orbit space are analyzed by using the GNSS signal transmission link model. The applicability of two typical tracking loops, scalar-tracking and vector-tracking, in high-orbit space is compared. A GNSS vector tracking scheme for high-orbit space is designed. In this scheme, the measurement noise covariance is determined by estimating the carrier-to-noise ratio, and then the measurement information of each channel is weighted to obtain high-precision navigation parameters. The process noise covariance is determined according to the dynamic performance of the high-orbit spacecraft, and the orbit dynamic model is used to make a one-step prediction of the navigation parameters, thereby predicting the signal tracking parameters of each channel to achieve joint tracking of all channels. Simulation results show that the designed scheme can realize the assistance of strong signals to weak signals tracking in high-orbit space, so as to improve the tracking performance and availability of weak signals in high orbit space. In addition, the designed scheme also has a certain bridging ability to signal outage.

Multipath effects on velocity measurement from GPS Doppler observations
CHENG Qi, SUN Rui, WANG Junhui
2021, 47(9): 1807-1813. doi: 10.13700/j.bh.1001-5965.2020.0311
Abstract:

Global Positioning System (GPS) Doppler observation is affected by multipath, which leads to a huge error in velocity calculation. In response to this problem, starting from the causes of Doppler observations, through kinematic analysis, a model of the relationship between the overall motion of receiver, reflection point and the satellite, and the error of Doppler observations is constructed. The results show that: the error of Doppler observations is related to the satellite observation vector, the tangent normal vector of the reflection point, the speed of the receiver and the reflection point. The effectiveness of the proposed model is verified by the results in 5 different scenarios. When receiver and reflection point are moving, multipath may cause a huge error in velocity, which makes the velocity unreliable.

A hole position correction method of interpolation Coons surface based on genetic algorithm
SUN Xinyue, TIAN Wei, HU Junshan, LIAO Wenhe
2021, 47(9): 1814-1822. doi: 10.13700/j.bh.1001-5965.2020.0324
Abstract:

In the automatic drilling process of the robot, the position of drilling is usually obtained from the process digital model of the workpiece to be drilled, and the position deviation and deformation will occur during the installation process of the workpiece to be drilled. Hence, the hole position accuracy requirement cannot be met if drilling according to the point position obtained from the process digital model directly. This paper proposes an interpolation Coons surface hole position correction method based on genetic algorithm to ensure the hole position accuracy of automatic drilling. The bilinear Coons error surface model is established using the corner reference holes in the drilling area, the error compensation vector of the hole to be drilled is calculated by the model, and the theoretical drilling position is compensated using the error compensation vector. At the same time, the reference holes in the drilling area are used to construct a genetic algorithm model to calculate the optimal value of the tangent vector modulus length to solve the problem that the tangent vector modulus length of the bilinear Coons error surface cannot be determined. The effectiveness and accuracy of the algorithm are verified through experiments. The results show that the use of interpolation Coons surface hole position correction method based on genetic algorithm can effectively compensate the hole position error, and the average hole position error is only 0.195 6 mm after compensation. Compared with the traditional interpolation surface methods, the hole position error is reduced by 5%-10% using interpolation Coons surface hole position correction method based on genetic algorithm.

Design and realization of an improved active disturbance rejection quadrotor UAV control system
SHI Jia, PEI Zhongcai, TANG Zhiyong, HU Dada
2021, 47(9): 1823-1831. doi: 10.13700/j.bh.1001-5965.2020.0333
Abstract:

In order to improve the ability of disturbance rejection of quadrotor UAV attitude control, this paper presents an improved Active Disturbance Rejection Controller (ADRC) with nested structure of inner and outer loops. The numerical simulation model of quadrotor UAV attitude control system is constructed with parameters measured from an actual prototype. By comparing to traditional double closed-loop PID controller, it is shown that the improved ADRC has very strong ability of disturbance rejection and high control efficiency, with quick response and no overshoot. The quadrotor UAV has excellent control effect during flight test with big partial load and strong disturbance from unknown directions, using the same control algorithm as in simulation.

Design of non-cooperative target's safe corridor and optimization of fly-by approach trajectory
WANG Jingxian, SHI Peng, CHEN Zhijun, ZHAO Yong, BAI Yuzhu
2021, 47(9): 1832-1840. doi: 10.13700/j.bh.1001-5965.2020.0301
Abstract:

In order to improve the safety of non-cooperative target's close-range approach trajectory, and optimize the approach time and fuel consumption at the same time, this paper designs the dynamic safety corridors of uncontrolled rotating satellite for the proximity to rotating non-cooperative target. The fly-by approach is chosen to reach the corridor entrance and the fly-by approach trajectory optimization method is proposed. First, based on the establishment of an uncontrolled rotating satellite spin model, the safety zone and the keep-out-zone are planned, and the basis for selecting two safety corridors is analyzed. Second, the fly-by approach is used as a close-range approach method, and with the goal of saving fuel and shortening the approach time, the two-pulse maneuver model is optimized and three optimization algorithms are selected to obtain the approach trajectory. The simulation results show that the choice of the safe corridor is related to the form, shape and interface position of the uncontrolled satellite spin. In the optimization problem of fly-by approaching two-pulse maneuver model, it is more advantageous to use the fgoalattain algorithm for optimization.

Hybrid polarization anti-SMSP jamming based on jamming reconstruction and blind source separation
ZHOU Changlin, WANG Chunyang, GONG Jian, TAN Ming, LI Xin, BAO Lei
2021, 47(9): 1841-1848. doi: 10.13700/j.bh.1001-5965.2020.0326
Abstract:

Linear Frequency Modulation (LFM) signal is a commonly used transmission signal of modern radar, which can effectively improve the range resolution and speed resolution. However, when Smeared Spectrum (SMSP) jamming is applied to the main lobe self-defense jamming, the jamming signal and the target height overlap in time domain, frequency domain and the airspace, which is an jamming pattern that can effectively combat LFM signals. In this paper, the difference of polarization information between the jamming signal and the target echo signal was used to construct a signal reception model of the hybrid polarization radar system. An anti-SMSP jamming algorithm based on jamming reconstruction and blind source separation was proposed to achieve jamming suppression. The simulation results show that the method proposed in this paper not only reduces the amount of calculation but also can effectively achieve jamming suppression when the jamming signal ratio is 25 dB.

Delay analysis of WAIC network based on priority-deficit round robin scheduling
YANG Jinhe, LI Qiao, ZUO Yuanjun, XIONG Huagang
2021, 47(9): 1849-1856. doi: 10.13700/j.bh.1001-5965.2020.0303
Abstract:

The advantages of Wireless Avionics Intra-Communication (WAIC) in reducing aircraft weight and saving cost make it have considerable prospects in the application of avionics systems. In this paper, a Media Access Control (MAC) protocol based on Priority-Deficit Round Robin (PDRR) scheduling is proposed to study the transmission delay of WAIC network based on 802.11 and guarantee its reliability. First, the arrival curve and service curve model for the MAC layer protocol were established by deterministic network calculus where the characteristics of the wireless communication physical layer and the combined channel inversion method were fully considered. Then, based on the worst-case end-to-end delay evaluation method for WAIC network traffic scheduling, it could be found that the stable channel capacity after channel inversion provides a more conservative delay bound. Finally, the delay bound of high-priority WAIC nodes and normal-priority nodes and the influence of channel inversion were compared through case analysis. The results show that high-priority nodes have better real-time performance than normal-priority nodes and the transmission delay bound can be improved by increasing the average signal-to-noise ratio.

Human motion direction prediction method based on eye tracking, pose and scene video
ZHANG Qing, WANG Xingjian, MIAO Yinan, WANG Shaoping, GAVRILOV Alexander I.
2021, 47(9): 1857-1865. doi: 10.13700/j.bh.1001-5965.2020.0316
Abstract:

Exoskeleton robots, as newly proposed smart devices to improve and enhance human life ability, require efficient and intelligent human-computer interaction systems, and the first step of human-computer interaction is to accurtely predict human behavior intention. From the perspective of top-level control of exoskeleton robots, the current states and progress of human motion intention recognition and the intelligent interaction capabilities of exoskeleton robots are reported. Then, the recognition of human motion direction is studied. A network framework of human motion intention recognition combining eye tracking information, position and posture information, and scene video information is proposed, and wearable experiments of acquisition devices are carried out. The predictive capability of the network has been proved by experiments. The results show that the proposed recognition system can predict the movement direction during human movement.

Multi-objective optimization of a high alcohol/expanded graphite composite PCM based heat sink
HOU Xu, XING Yuming, HAO Zhaolong, WANG Shisong, HOU Tianrui
2021, 47(9): 1866-1873. doi: 10.13700/j.bh.1001-5965.2020.0341
Abstract:

A novel composite Phase Change Material (PCM) based heat sink is proposed to cool chips under high ambient temperature. Physical and numerical model is proposed for the heat sink. High alcohol/expanded graphite composite material is chosen as PCM in the heat sink. Numerical model is obtained with the help of FLUENT software for three-dimensional simulation. The effect of heated area on the chip's operation time under same thermal output is investigated. Parameter analysis is performed on the geometric dimensions of the heat sink. Artificial neural network is trained with numerical results to predict the operation time of a given heat sink/chip configuration. NGSA-Ⅱ multi-objective optimization algorithm is employed to optimize the geometric shape of heat sink based on chip size and power output. The main objective is to stretch operation time while reducing the total weight of the heat sink. A series of non-dominate solution is obtained so that optimal geometric design can be chosen based on operation time needs. The optimization process is carried out to obtain the optimal heat sink design to cool a chip, whose side length is 35.4 mm with constant power output of 15 W. The ambient temperature is 80℃ while the chip needs to be kept under 90℃ for a sustained operation time of at least 180 s. After optimization, the weight of heat sink is reduced by 13.0%. The temperature and the liquid fraction distribution are more uniform.

Modeling of anti-jamming effectiveness evaluation of infrared air-to-air missile
NIU Deqing, WU Youli, XU Yang, WU Xin, ZHANG Danxu, YANG Pengfei
2021, 47(9): 1874-1883. doi: 10.13700/j.bh.1001-5965.2020.0334
Abstract:

In order to estimate the performance of infrared air-to-air missiles and improve its combat effectiveness, an overall valid evaluation of missiles' anti-jamming capability is required. However, due to the infinite number of countermeasure situations, most scholars currently study and analyze them based on typical countermeasure scenarios, which is inadequate. For this reason, the improved Latin hypercube sampling method was used to design sampling points in the whole range. Firstly, the infrared countermeasure principle and simulation system were explained and constructed, and the range and the type of input parameters were determined. Secondly, the Latin hypercube sampling method was improved and optimized, and the generated sampling results were discretized as needed to meet the needs of the decoy discrete parameter setting. Finally, the initial parameter combinations generated above were used to run the simulation system, and the obtained data were given to the random forest model as learning sample sets. After tuning the parameters and adjusting the loss matrix, the anti-jamming effectiveness evaluation model of the infrared air-to-air missiles was obtained and the prediction accuracy was 90.4%. Through simulation, the effectiveness of the model was verified under different IR countermeasures and different measurement errors..

Design of low sidelobe broadband microstrip array antenna with non-uniform spacing
XU Tongmin, YAO Minli, ZHANG Fenggan, WANG Xujian
2021, 47(9): 1884-1891. doi: 10.13700/j.bh.1001-5965.2020.0299
Abstract:

To reduce the Sidelobe Level (SLL) of the antenna and widen the bandwidth, a 16-element coupled-feed microstrip array antenna with non-uniform spacing at 14.25 GHz frequency was designed. The antenna adopts a multi-layer design, and a rectangular groove is formed in the ground layer to perform coupling feeding. And the air layer is introduced to reduce the antenna Q value and increase the bandwidth. Different from the excitation amplitude weighting of uniformly spaced antennas, this paper starts from the perspective of array element spacing, differential evolution algorithm is used to reduce the SLL, and a non-uniform spacing parallel linear array antenna is constructed. The energy received by the array element is approximately replaced with the energy passing through the rectangular slot, and the power distribution of the array element is observed. And the mathematical relationship of all feeder sections of the feed network is established to ensure that all array elements are excited with equal amplitude and in phase under the condition of unequal spacing. The measurement results show that the antenna has a voltage standing wave ratio of less than 2 in the range of 14 GHz to 15.2 GHz, which satisfies the bandwidth requirements of satcom on the move. The gain is more than 16 dB and the SLL is less than -17 dB within the operating bandwidth, which shows that the performance is better than that of the array antenna with uniform spacing.

Simulation analysis of PBGA packaged chips' thermal environment adaptability
LI Yongqiang, LYU Weimin
2021, 47(9): 1892-1899. doi: 10.13700/j.bh.1001-5965.2020.0339
Abstract:

In view of the fact that most Plastic Ball Grid Array (PBGA) packaged chips are only subjected to high and low temperature alternating tests in accordance with the US military MIL standard, resulting in a large deviation in predicted service life, this paper converts the microcomputer control chip mission time spectrum into ambient temperature parameters, and comprehensively considers the heat conduction and heat convection, so as to use icepak to complete the chip thermoelectric coupling simulation analysis, and use Transient Thermal and Transient Structural to complete the chip junction temperature acquisition and solder joint stress and strain calculation and solution. At the same time, the life of chip itself and the solder joint are predicted based on the Arrhenius model and the modified Coffin-Manson thermal fatigue model, so as to realize the quantitative analysis of its thermal environment adaptability. The simulation results show that the predicted life of the chip is about 6.26 years, and the life prediction deviation is about 13.4%, which complies with GJB 4239's single key environmental factor predicted life deviation standard and accurately reflects its thermal environment adaptability.

Design and FPGA implementation of fast convolution algorithm based on 3D-Winograd
LIN Keyu, JIANG Hongxu, ZHANG Yonghua, CONG Rongzi
2021, 47(9): 1900-1907. doi: 10.13700/j.bh.1001-5965.2020.0310
Abstract:

In recent years, Convolutional Neural Networks (CNNs) have been widely adopted by computer vision tasks. Due to the high performance, energy efficiency, and reconfigurability of FPGA, it has been considered as the most promising CNN hardware accelerator. However, the existing FPGA solutions based on the traditional Winograd method are usually limited by FPGA computing power and storage resources, and there is room for improvement in performance of 3D convolution operations. This paper first studied the one-dimensional expansion process of the Winograd algorithm suitable for three-dimensional operations; then, improved the performance of CNN on FPGA by increasing the one-time input feature map and the dimensional size of the convolution block, low-bit quantization weight and input data. The optimization ideas include four parts: the method of using shift instead of partial division, the division of tiles, the expansion of two-dimensional to three-dimensional, and low-bit quantization. Compared with the traditional two-dimensional Winograd algorithm, the number of clock cycles of each convolutional layer of the optimized algorithm is reduced by about 7 times, which is about 7 times less for each convolutional layer than the traditional sliding window convolution algorithm. Through the research, it is proved that the 3D-Winograd algorithm based on one-dimensional expansion can greatly reduce the computational complexity and improve the performance of running CNN on FPGA.

Moisture absorption behavior of epoxy resin matrix composite stiffened panel
YU Jian, HE Yuting, FENG Yu, MA Binlin, ZHANG Teng, YANG Fei
2021, 47(9): 1908-1917. doi: 10.13700/j.bh.1001-5965.2020.0532
Abstract:

The properties of epoxy resin matrix composites are sensitive to hygrothermal environment, and it is of great significance to investigate the moisture absorption behavior of epoxy resin matrix composite structures for its practical application. Based on the non-Fickian moisture absorption model of carbon fiber epoxy resin matrix laminates, the non-Fickian moisture absorption model for the epoxy resin matrix stiffened panel was established, the moisture absorption experiments of stiffened panel were conducted under the condition of 70℃/85% RH, and the established model was verified. The proposed model was compared with the existing moisture absorption model further. Finally, the moisture absorption distribution of the typical stiffened panel along the thickness direction was given through the established model. The results show that the calculated results of the established non-Fickian moisture absorption model of the stiffened panel are in good agreement with the experimental results. The relative error of the moisture absorption through the entire moisture absorption stage is less than 5%, and the predictive accuracy of the model is higher than that of the traditional Fick model. The established non-Fickian moisture absorption model of stiffened panel can be used to accurately predict the absorbed moisture content of epoxy resin matrix composite stiffened panels.

A geomagnetic reference map construction method based on convolutional neural network
MA Xiaoyu, ZHANG Jinsheng, LI Ting
2021, 47(9): 1918-1926. doi: 10.13700/j.bh.1001-5965.2020.0268
Abstract:

Geomagnetic matching navigation technology is an important auxiliary navigation guidance method. The construction accuracy of geomagnetic reference map plays a decisive role in the accuracy of geomagnetic matching guidance. Aimed at the problem that the construction accuracy of the existing geomagnetic reference maps is difficult to meet the actual requirements of geomagnetic matching navigation, a construction method of geomagnetic reference maps based on convolutional neural network is proposed. First, the convolutional layer is used to extract the feature image patches in the low-resolution reference image. Then, the Learned Iterative Shrinkage and Thresholding Algorithm (LISTA) is used to realize the sparse representation of the low-resolution image patches. Finally, the three-channel geomagnetic information is used to obtain the final reconstructed high-resolution reference map. The experimental results show that the proposed method has a higher construction accuracy for geomagnetic reference map and better robustness to noise. Various objective evaluation indexes of the proposed method are higher than those of the existing super-resolution reconstruction algorithms.

Random drift analysis method of MEMS gyroscope based on EMD
LI Wenhua, WANG Lixin, SHEN Qiang, LI Cheng
2021, 47(9): 1927-1932. doi: 10.13700/j.bh.1001-5965.2020.0681
Abstract:

In order to reduce the random drift of Micro-Electro-Mechanical System (MEMS) gyroscope, an improved random drift analysis method of MEMS gyroscope is proposed, based on an improved Empirical Mode Decomposition (EMD) and a mode set selection criterion, combined with the method of time series model and filter. The original data of MEMS gyroscope was decomposed into several Intrinsic Mode Functions (IMFs) by EMD, and IMFs were divided into noise IMFs, mixed IMFs and signal IMFs by using the mode set selection criterion. The mixed IMFs were reconstructed, the time series model of the mixed IMFs after reconstruction was formulated, and Adaptive Kalman Filter (AKF) after modeling was finished. The denoised signal is obtained by reconstruction of three types of signal. Experimental result shows that the proposed method has better denoising effect and real-time performance, which greatly improves the using precision of MEMS gyroscope.