2019 Vol. 45, No. 8

Volume 45 Issue82019
iconDownload (16991) 777 iconPreview
Multiphase Flow Measurement
Improved capacitance imaging biconjugate gradient image reconstruction algorithm
MA Min, FAN Guangyong, SUN Ying
2019, 45(8): 1489-1494. doi: 10.13700/j.bh.1001-5965.2019.0015
Abstract:

Aimed at the influence of the soft field effect on the inverse electrical capacitance tomography (ECT) problem and to solve the problems that the traditional iterative algorithm used to reconstruct images has numerous iteration times, and that the imaging speed is slow, for the first time, biconjugate gradient (BICG) is applied to the capacitance tomography technology. In order to obtain a better reconstruction effect, a BICG and regularization idea are combined to solve the optimal solution of the inverse problem. The experiment was modeled by COMSOL5.3 software and MATLAB 2014a was used for image reconstruction and image evaluation. The images were reconstructed using Tikhonov, Landweber, conjugate gradient (CG), BICG and improved biconjugate gradient algorithm. Experiments show that the effect of the improved biconjugate gradient algorithm is not only better than other iterative algorithms, but also greatly reduces the time required for image reconstruction. The experimental results show that the biconjugate gradient algorithm has better imaging effect in some complicated flow patterns. The error is as low as 0.2, the correlation coefficient is as high as 0.88, the imaging time is reduced to 2.77 s, and the number of iterations is reduced to 20 times.

Experiment on thermodynamic characteristics of parallel mini-channel tube' dryout
LI Hongwei, WANG Yacheng, HONG Wenpeng, SUN Bin
2019, 45(8): 1495-1503. doi: 10.13700/j.bh.1001-5965.2018.0633
Abstract:

Aiming at the unstable heat transfer of mini-channel parallel tubes in boiling heat transfer process, the thermodynamic characteristics of mini-channel parallel tubes during dryout were studied. Firstly, by observing the transition of the flow pattern before and after the dryout in the parallel mini-channels, the flow pattern is divided into three areas:the annular warning zone, the initial dryout zone and the mist dryout zone. The changes of dryness and heat transfer coefficient of working medium in mini-channel parallel tubes under three flow patterns were analyzed. It was found that the boiling heat transfer coefficient decreased significantly with the development of dryout. Then, the pressure drop signals under the three flow patterns are collected and analyzed by the adaptive optimal kernel time-frequency representation (AOK-TFR), auto regression (AR) power spectrum and recurrence plots analysis method to obtain the dynamic characteristics of the corresponding flow pattern. It is found that in the initial point of dryout, the phenomenon of dryout occurs repeatedly in the channel, and the phenomenon of reflux is serious. Finally, by summarizing the characteristic parameters in the recurrence plots, the difference among the initial dryout zone, annular warning zone and the mist dryout area is obtained. Based on the distribution of the recursive eigenvalues, the different zones can be identified, and then the dryout can be predicted by the pressure drop signals. The research of this paper hopes to supplement and improve the thermodynamic characteristics in the field of mini-channel boiling heat transfer.

Experimental study on erosion-corrosion of 304 stainless steel under two-phase flow condition
ZHAO Yanlin, YANG Shaoshuai, YAO Jun
2019, 45(8): 1504-1511. doi: 10.13700/j.bh.1001-5965.2018.0728
Abstract:

In this study, the erosion-corrosion of 304 stainless steel was investigated by liquid-solid two-phase jet impingement experiment, combined with the electrochemical measurement. The influence factors of different impact angles (45°, 60°, 90°), erosion time and fluid properties (with or without chloride ion) on erosion-corrosion of 304 stainless steel were studied. The results show that the chloride ion in the simulated seawater (mass fraction of NaCl is 3.5%) can significantly promote the erosion of the material. Under 45° impact angle, the promoting effect of erosion-corrosion due to the chloride ion is the most significant, followed by 90° and 60° impact angles. The metallographic microscope image shows the effect of erosion time on the surface morphology of the sample. The electrochemical test shows that, at the three different impact angles, the material passivation film becomes incomplete with increasing erosion time. The incomplete passivation film is the main reason for the decrease in corrosion resistance of stainless steel material.

Experiment on cavitation flow in critical cavitation condition of water-jet propulsion pump
LONG Yun, FENG Chao, WANG Luyi, WANG Dezhong, CAI Youlin, ZHU Rongsheng
2019, 45(8): 1512-1518. doi: 10.13700/j.bh.1001-5965.2018.0734
Abstract:

Under the limiation of ship space, it is the key of ship design to improve the comprehensive performance of propeller. Cavitation is the main noise source of water-jet propulsion pump, so it is an important design parameter of water-jet propulsion pump. In order to reduce the noise of the ship and improve the cavitation performance of the water-jet propulsion pump, it is necessary to study the evolution law of the cavitation flow structure and its influence on the pump performance. In this paper, the evolution mechanism of cavitation flow structures in the critical cavitation conditions of water-jet propulsion pump is captured by high-speed photography. The cavitation flow structures of the water-jet propulsion pump during the occurrence and development of cavitation include sheet cavitation, cloud cavitation, tip leakage cavitation, tip vortex cavitation and vertical cavitation vortex. The experiment captures the physical process of cavitation evolution and the effect of each cavitation flow structure on pump performance degradation is analyzed. Combined with simulation and previous research, this paper further expounds the formation mechanism of cavitation flow structure and its influence on the pump performance.The research results not only provide new understanding of the cavitation phenomenon in the water-jet propulsion pump, but also provide reference and guiding significance for the study of cavitation performance prediction methods.

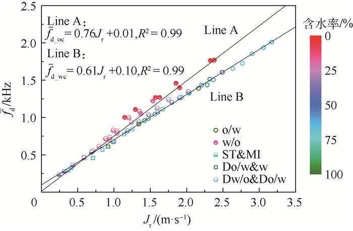
Adaptability of high-frequency response characteristic model for micro probe-transducer system
DING Hongbing, LI Yiming, LI Jinxia, WANG Chao
2019, 45(8): 1519-1528. doi: 10.13700/j.bh.1001-5965.2019.0104
Abstract:

To broaden the available bandwidth of micro probe transducer system and improve the measurement accuracy of high-frequency pressure signal, it is important to study the frequency response characteristic and analyze the application scope and prediction accuracy of the mathematic models for different probe-transducer system structures. In this study, the probe-transducer system structure was divided into five typical types. Then, the frequency response prediction models, and assumed conditions and updating methods of the existing probe-transducer system were summarized. To evaluate the theoretical mathematic models' prediction accuracy quantitatively, the resonant frequency, cut-off frequency and working band (amplitude error ±5%) for probe-transducer system with different structures were extracted by mathematic models and compared with the CFD and experimental results. For the resonator whose probe is shorter, the Panton model can be used and the error can be controlled within 1%. For the structure whose probe is longer and the structure with pressure hole, the B-T model is the most accurate. Finally, the probe-transducer system was optimized to study the self-excited oscillation phenomenon in supersonic condensation. The results show that the frequency response characteristic of the optimized probe-transducer system can meet the requirement of dynamic measurement for the high-frequency (about 10 kHz) fluctuating pressure signal.

Attachment behavior of falling spherical plastic particle on static bubbles in water medium
CHEN Luyang, SUN Zhiqiang
2019, 45(8): 1529-1535. doi: 10.13700/j.bh.1001-5965.2018.0706
Abstract:

In order to investigate the behavior and mechanism of spherical plastic particles attaching to the bubble surface, observations were made in a model system in which spherical plastic particles were dropped onto a stationary air bubble formed in water within a glass cell. Their interaction was recorded by high-speed digital video. The image processing method was used to extract the particle trajectories, the relationship between the collision angle and the movement time. The influence of the collision position of the particles and the diameter of bubble and particles on their adhesion behavior was studied. The experimental results show that the attachment of particles is mainly divided into collision attachment and sliding attachment. The mobile surface assumption of the bubble surface agrees very well with the experimental value. In addition, through the statistics of multiple experimental data, it is found that with the increase of the collision angle, the induction time increases significantly, but the time for the particles to fall into the bubble surface is maintained at 10 ms. The depth of the particles trapped in the bubble is affected by both the bubble and the particle size, accounting for about 2% of the sum of bubble diameter and particle diameter.

Oil-water two-phase flow velocity measurement based on ultrasonic Doppler and conductance ring
LIU Weiling, TAN Chao, DONG Feng
2019, 45(8): 1536-1543. doi: 10.13700/j.bh.1001-5965.2018.0733
Abstract:

Two-phase flow exists widely in industrial field. Accurate measurement of the process parameters, such as flow velocity, is of great significance for quantifying flow rate and optimizing production process and equipment. A combination of one-side two-chip continuous wave ultrasonic Doppler (CWUD) sensor and conductance ring sensor is applied to measure the velocity in horizontal oil-water two-phase flow. The non-intrusive CWUD sensor consists of two-chip transducer with resonant frequency of 1 MHz, and there is a sound insulation material between the two chips to prevent sound waves from interfering. One chip continuously transmits sound wave to fluid, the other one receives the echo scattered from droplets. Consequently, its sample volume covers the whole radial range of pipe cross-section. The Doppler shift signal collected by CWUD sensor is directly related to the average velocity of dispersed phase within the sample volume. Dynamic experiments were conducted at a horizontal oil-water two-phase flow loop with a diameter of 50 mm. Based on the analysis of average Doppler shift response characteristic, it was found that there are two linear relationships between average Doppler shift and overall superficial flow velocity for different flow conditions, i.e. water and oil continuous flow condition. Hence, according to the electrical sensing principle of conductance ring sensor, a dimensionless voltage parameter is used to discriminate the continuous phase. And then for each experiment point, the corresponding measurement model is chosen to calculate the overall superficial flow velocity. The results show that the root mean square error of measured overall superficial flow velocity is 0.01 m/s and the average relative error is 3.09%. The confidence probability for relative error less than 5% is 70%.

Modularization design of vacuum thermal test frock for space optical remote sensor
ZHOU Zexin, SUN Zhiqiang, XU Bing, HONG Yang
2019, 45(8): 1544-1551. doi: 10.13700/j.bh.1001-5965.2018.0679
Abstract:

To solve the problem of uneven temperature distribution in the ground simulation experiment of space environment by space optical remote sensor, the modular design is used to optimize the cabin plate structure frock of a certain space optical remote sensor, and the cabin plates are divided according to the temperature distribution. In this paper, modular assembly and modular thermal control are proposed. The modular assembly is to divide the cabin plates and its surface heating sheets independently; the modular thermal control considers the cabin plates as a whole, and only the heating sheets are divided. The results show that the average temperature deviation of the modular thermal control is 0.205 K, which is lower than 0.87 K of the unmodulated design and 0.30 K of the modular assembly, and improves the temperature uniformity of the cabin plates. Modular assembly improves the temperature distribution of the cabin plates, and the proportion of measuring points that meet the thermal control requirements is increased from 34.8% to 96.7%. However, there is still a certain temperature difference between the modules, and modular thermal control eliminates the temperature difference. The proportion of measuring points meeting the thermal control requirements is further increased to 100%, which fully meets the thermal control requirements.

Point spread function of microscopic light field imaging based on wave optics
GU Mengtao, SONG Xianglei, ZHANG Biao, TANG Zhiyong, XU Chuanlong
2019, 45(8): 1552-1559. doi: 10.13700/j.bh.1001-5965.2018.0689
Abstract:

The light field Micro-PIV deconvolutes the light field image by Lucy-Richardson (L-R) algorithm to obtain the three-dimensional coordinate information of the tracer particle. The accurate point spread function (PSF) is the premise of the L-R algorithm to complete the reconstruction, and the existing PSF model is not suitable for the light field Micro-PIV system. In this paper, the PSF model of a microscopic light field imaging system based on wave optics is established. Numerical simulation is carried out to calculate the PSF. The similarity between the calculated and experimental PSF images is determined by the structural similarity algorithm. Combining the theoretically calculated PSF, the L-R algorithm is used to reconstruct the single particle and the flow field of tracer particles at different concentrations. Results show that the similarity between simulated and actual PSF is more than 0.94, indicating that the PSF model has high accuracy. The three-dimensional coordinate error of a single particle is within one pixel, and the three-dimensional coordinate information of the tracer particles at different concentrations can be accurately obtained, which further verifies the accuracy of the PSF model and lays the foundation for light field Micro-PIV to realize instantaneous three-dimensional velocity field measurement.

Non-uniform flow characteristics of direct-connected fuel slinger
YE Yulong, JIN Jie, LIU Rui, GAO Xiang, WANG Fang
2019, 45(8): 1560-1568. doi: 10.13700/j.bh.1001-5965.2018.0693
Abstract:

Aimed at the flow property in the start-up process of fuel slinger, three-dimensional numerical simulation was used to study the flow property of the inner and outer two-phase flow field of fuel slinger. Combined with the experimental results of high-speed photography and theory, comprehensive analysis was carried out. The results show that the total out mass-flow rate varies with time largely. Each hole's out mass-flow rate is also different to a great extent within short time period. The Sauter mean diameter (SMD) difference for different holes is relatively small compared with the SMD difference caused by rotation rate. The SMD is mainly determined by rotary speed. The spatial distribution of the spray is uneven as the result of different single holes' out mass-flow rate. The experimental results confirm the simulation outcomes.

Collision and attachment behavior between rising bubble and plastic plate in pure water
NIE Dongqiang, HUANG Xuezhang, SUN Zhiqiang
2019, 45(8): 1569-1574. doi: 10.13700/j.bh.1001-5965.2018.0708
Abstract:

In order to reveal the influence of bubble size and surface hydrophobicity on the flotation process of plastics, high-speed photography was used to observe the collision and adhesion behavior of rising bubbles and plastic plates in pure water medium. According to the change of bubble velocity, it is divided into three stages:collision, liquid film drainage and three-phase contact line diffusion. Based on image processing technology, the bubble collision deformation, adhesion time, three-phase contact line diffusion characteristics and their effects are quantitatively analyzed. The results show that the deformation factor gradually evolves from slightly larger than 1.00 to slightly less than 1.00 as the diameter of the bubble increases. The hydrophobic plate with strong hydrophobicity makes the deformation factor of the same diameter bubble larger, and the collision time increases with the increase of the bubble diameter, but decreases with the increase of the hydrophobicity. The stronger the hydrophobicity of the plastic plate is, the shorter the time it takes to form a three-phase contact. When the bubble diameter is 1.0mm, the liquid film discharge time of both the poly tetra fluoroethylene (PTFE) and polymethyl methacrylate (PMMA) plates is extremely small, which are 4.8 ms and 56 ms respectively. The diffusion time of the three-phase contact line increases with the increase of the bubble size, and decreases with the increase of the hydrophobicity of the plate. When the bubble size is the same, the diffusion diameter of the three-phase contact line decreases as the hydrophobicity of the plate decreases.

Experimental study on mass flow measurement of solid particles using electrostatic sensors
WU Shitong, YAN Yong, QIAN Xiangchen
2019, 45(8): 1575-1581. doi: 10.13700/j.bh.1001-5965.2018.0750
Abstract:

The monitoring of solid particles in the aero-engine gas path and exhaust emissions improves the ability of fault identification and early warning of related equipment. Three different types of electrostatic sensors are used in this study to measure the mass flow of solid particles in square gas-solid path and the measurement results are compared and analyzed. The experimental tests were conducted under sixteen dilute phase conditions of four conveying gas velocities and four mass flow of solid particles. The magnitude of electrostatic signals and the velocity of particles are used to evaluate the mass flow of particles under all the test conditions. The comparison results show that the square ring electrostatic electrode array has the highest average measurement standard deviation, the intrusive strip electrostatic electrode array has the smallest one under low mass flow rate conditions. The non-intrusive strip electrostatic sensor provides the best measurement performance (the lowest standard deviation) when the mass flow is high.

Ultrasonic Machining Technology
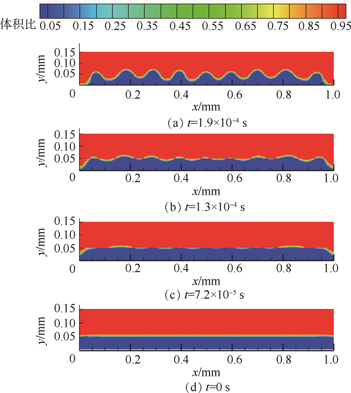
Formation mechanism of Faraday wave on thin liquid film excited by ultrasonic vibration
GAO Guofu, LI Kang, LI Yu, XIANG Daohui, ZHAO Bo
2019, 45(8): 1582-1588. doi: 10.13700/j.bh.1001-5965.2018.0710
Abstract:

Aimed at the Faraday wave formed by 35 kHz ultrasonic excitation on thin liquid film, the formation mechanism of Faraday wave was explored by experiments and finite element simulation. The two-phase flow calculation model under ultrasonic excitation was established. The finite element simulation of the formation process of Faraday wave was carried out by CFD method. The formation mechanism of Faraday wave was discussed by analyzing the phase diagram and streamline diagram. The vibration frequency of Faraday wave was about 1/2 of the drive frequency. The existence of liquid inertia resulted in a constantly varying phase difference between the ultrasonic excitation and the liquid surface wave, and the phase difference variation period was about two ultrasonic excitation periods. Through the 35 kHz ultrasonic excitation experiment on thin liquid film, a well-arranged Faraday wave array pattern was observed on the surface of the thin liquid film. By measuring the wavelength of the Faraday wave, it was deduced that the surface wave frequency obtained by the experiment was about 1/2 of the ultrasonic frequency, and consistent with the results of finite element simulation.

Design and finite element optimization analyses of accessory ultrasonic vibration working table
WANG Yan, LIN Bin, DONGYE Guangheng, DONG Yinghuai, ZHAO Jingnan, ZHANG Xiaofeng
2019, 45(8): 1589-1596. doi: 10.13700/j.bh.1001-5965.2018.0698
Abstract:

Ultrasonic vibration assisted machining provides effective manufacturing solutions for difficult-to-machine materials such as alloy materials, brittle materials and composite materials, which is widely used in aerospace, defense, electronics and other high-technology fields. The complex structure, high degree of specialization and poor reliability of ultrasonic vibration assisted machining device restrict the promotion of ultrasonic processing technology. In order to popularize the application scope of ultrasonic vibration assisted machining, an accessory ultrasonic vibration working table is designed based on the principle of ultrasonic energy transmission, which can be conveniently installed in the machining center to provide ultrasonic vibration assisted machining for the workpiece. First, two types of materials were applied to structural design of the table, the working frequency and vibration form were determined through the modal analysis, and the working stability was presented by harmonic response analysis. Second, the working table structure optimization was carried out by the method of multi-objective optimization. The quality of the working table was reduced under the condition of guaranteeing invariable total deformation, in order to reduce the loss of ultrasonic energy and improve the working reliability. Finally, in order to make the working table more suitable for the actual machining needs, the material of the working table was selected and the table size was adjusted by comparing the results of finite element analysis before and after optimization. The results of analysis indicate that 45 # steel vibration working table has better vibration stability and smaller vibration amplitude. The overall mass of the vibration table was reduced by 27%, the working frequency was reduced by 11% through multi-objective optimization. The bandwidth difference of resonance frequency between the two workbenches is quite small.

Simulation and experimental study on ultrasonic vibration drilling process characteristics of titanium alloy
ZHAO Ganlin, FENG Pingfa, ZHANG Jianfu
2019, 45(8): 1597-1605. doi: 10.13700/j.bh.1001-5965.2018.0709
Abstract:

Issues of high cutting force, high cutting temperature and bad machining quality in the case of conventional titanium alloy drilling are widespread. Thus a study of ultrasonic vibration drilling process characteristics of titanium alloy was carried out. Firstly, the characteristics of both interrupted cutting and high-speed cutting were analyzed using the equation of motion of ultrasonic vibration drilling. Secondly, Deform-3D was then employed to simulate the axial force, torque and cutting temperature of titanium alloy ultrasonic vibration drilling. In the final step, ultrasonic vibration drilling of titanium alloy was conducted. This aided the investigation of relative change in cutting forces, torque as well as exit burrs of ultrasonic vibration drilling in comparison to conventional drilling. The results show that ultrasonic vibration drilling of titanium alloy can reduce the axial force by about 20%, the torque by about 40% and the average cutting temperature by about 50%. And the processing quality by ultrasonic vibration drilling of titanium alloy is superior when compared to conventional drilling. The longitudinal-torsional composite ultrasonic vibration drilling of titanium alloy is more effective than one-dimensional longitudinal ultrasonic vibration drilling as it has much greater influence in the reduction of axial force, torque and cutting temperature, which shows superior drilling processing characteristics.

Mechanism and experiment of high-speed ultrasonic elliptical vibration milling of thin-walled titanium alloy parts
ZHANG Mingliang, ZHANG Deyuan, LIU Jiajia, GAO Ze, HAN Xiong
2019, 45(8): 1606-1612. doi: 10.13700/j.bh.1001-5965.2018.0712
Abstract:

A high-speed ultrasonic elliptical vibration milling method is proposed for poor processing quality and low processing efficiency in milling of thin-walled titanium alloy parts in aerospace. Firstly, high-speed ultrasonic elliptic vibration milling combines high-speed ultrasonic vibration cutting concept with milling. A high-frequency intermittent cutting where the cutting tool tip moves in accordance with the elliptical trajectory can effectively improve the quality of machining and break through the limitations of the ultrasonic vibration processing on the critical speed. Then, the separation principle of the process is analyzed, and a self-developed ultrasonic vibration milling device is used in the experiment with thin-walled titanium alloy parts. The experimental results show that, compared to the common milling processing, the cutting force reduction and the relieving amount reduction for high-speed ultrasonic elliptical vibration milling method are both about 20% to 30%, and meanwhile the surface defects and roughness are cut down.

Defect suppression mechanism and experimental study on rotary ultrasonic-assisted drilling of CFRP
SHAO Zhenyu, JIANG Xinggang, ZHANG Deyuan, GENG Daxi, LI Shaomin, LIU Dapeng
2019, 45(8): 1613-1621. doi: 10.13700/j.bh.1001-5965.2018.0713
Abstract:

To solve the delamination, tearing and fiber losing of carbon fiber reinforced plastic (CFRP) hole induced by large cutting force and torque during conventional drilling (CD), the rotary ultrasonic-assisted drilling (RUAD) technology is introduced. Firstly, based on the analysis of the types and forming mechanism of CFRP hole defects in CD and the characteristics of RUAD, the defect suppression mechanism of CFRP hole in RUAD is proposed. Then, the experimental platform including a self-designed contactless energy transfer and a vibration system for RUAD, vertical machining center platform and force measurement system is built. Finally, the cutting force and torque, hole defects and quality of hole wall obtained in both CD and RUAD are compared at the same process parameters, respectively. The experimental results indicate that compared with CD, the cutting force and torque produced in RUAD decrease by 41.46% to 46.32% and 41.61% to 48.94%, respectively. And the delamination, tearing and fiber losing of the CFRP hole are effectively suppressed and the hole quality is greatly improved. The forming mechanism of hole defects in CD and the defect suppression mechanism of CFRP hole in RUAD are verified to be correct by the experimental results. The research in this paper indicates that the RUAD process can be used for machining of CFRP hole with lowdamage.

Design of 10 kN ultrasonic-assisted plastic forming press machine and experiment
LEI Yulan, HAN Guangchao, SHENG Chaojie, ZHANG Zhaochen
2019, 45(8): 1622-1629. doi: 10.13700/j.bh.1001-5965.2018.0704
Abstract:

Ultrasonic vibration assisted plastic forming has become an important research direction of plastic forming in recent years. In order to meet the installation requirements of ultrasonic equipments and workpiece, a 10 kN ultrasonic-assisted plastic forming press machine was designed and developed in this paper, which was based on the self-developed porous ultrasonic vibration platform. The control system and human-computer interaction interface of the press machine were designed and developed based on C++ language and Qt software platform. The ultrasonic stress softening test of T2 copper and the ultrasonic vibration assisted compression test of AZ31 magnesium alloy were carried out on the press machine. The experimental results show that the plastic forming press can meet the requirement of ultrasonic-assisted plastic forming. And the tool ultrasonic vibration can change the compression fracture characteristics of magnesium alloy effectively.

Design and application of compound conical horn with cylinder at big end
JIN Tao, HU Xiaoping, YU Baohua
2019, 45(8): 1630-1638. doi: 10.13700/j.bh.1001-5965.2018.0699
Abstract:

Aimed at the problem of poor durability of the domestic ultrasonic horn, a new type of compound horn is designed to meet the amplitude and make the horn have a small working stress.The new composite horn parameter equation is established by the wave equation, and the parameters such as magnification, shape factor and stress maximum point are calculated.Frist, the finite element analysis software was used to analyze the kinetics of the horn. The obtained results were compared with the theoretical results to verify the correctness of the theoretical formula. Second, on the basis of this, compared with the conical horn, the exponential deformation horn and compound conical horn with cylinder at big end, the results show that the new composite horn has better comprehensive performance and smaller maximum stress. Finally, based on ANSYS Workbench optimization design function, the horn is optimized and trimmed, and the optimized horn is subjected to impedance analysis and vibration performance test. The test results show that the theoretical performance parameters of the new composite horn are basically consistent with the experimental test results. The resonant frequency of the rod is 20 013 Hz. When the transducer peak-to-peak value of the output amplitude is 13 μm, the peak-to-peak value of the output amplitude of the horn can reach 40 μm, and the amplitude amplification factor of the horn is 3.08, which satisfies the requirements of the cutting experiment amplitude.

Optimal design for magnetic circuit in giant magnetostrictive ultrasonic transducer
LIU Qiang, LI Pengyang, XU Guangyao, WANG Quandai, YANG Mingshun
2019, 45(8): 1639-1645. doi: 10.13700/j.bh.1001-5965.2018.0737
Abstract:

In order to improve the magnetic circuit environment and minimize the heating of the giant magnetostrictive ultrasonic transducer, the magnetic path gap was taken as the research object, and the relationships between the magnetic path gap and the magnetic field strength of the giant magnetostrictive material (GMM) rod were analyzed by Maxwell finite element software. The impedance and amplitude of the ultrasonic transducer and the temperature of the GMM rod were measured by experiments. Experimental results show that the magnetic field strength and magnetic field uniformity of the GMM rod decrease with the increase of the magnetic path gap. As the slot width of the magnetically permeable cylinder increases, the resonant frequency of the ultrasonic transducer is basically the same, the temperature of the GMM rod is reduced; When the slot width of the magnetic cylinder is about 6 mm, the magnetic field uniformity of the GMM rod is the highest and the mechanical quality factor is the largest, which is of great significance for the optimal design of the giant magnetostrictive ultrasonic transducer.

Aeronautical Science
Ensemble clustering algorithm based on rapid simulated annealing
LI Hong, ZHANG Zhibin
2019, 45(8): 1646-1652. doi: 10.13700/j.bh.1001-5965.2018.0647
Abstract:

There are two key issues in applying simulated annealing algorithm to solve the problem of ensemble clustering. One is how to use basic partition information in annealing process to obtain better result, and the other is how to accelerate the algorithm convergence. In this paper, the rapid simulated annealing based on voting (BV-RSA) model is presented, in which the complete and partial consensuses of basic partitions are used to recognize super-objects and construct voting box for each super-object. In the process of simulated annealing, some data samples represented by a super-object are controlled to move in a group, and the motion direction of a super-object is selected randomly in the scope of its voting box, thus reducing moving randomness and speeding up the clustering of super-objects. Experiments on multiple data sets demonstrate that the BV-RSA model performs well in both clustering accuracy and robustness.

Star spot motion trajectory modeling and error evaluation under large angular velocity
HE Yiyang, WANG Hongli, FENG Lei, YOU Sihai, CHEN Zhikan
2019, 45(8): 1653-1662. doi: 10.13700/j.bh.1001-5965.2018.0762
Abstract:

Star spots obtained by the star sensor on the imaging plane will be seriously blurred under large angular velocity, which affects the performance of the star sensor. In order to fully understand the star spot motion blur trajectory and quantitatively evaluate the influence of the star spot motion blur on the star centroid extraction process, this paper firstly establishes the mathematical model of the star spot motion trajectory on the imaging plane. It is derived that the star spot motion blur trajectory on the imaging plane is a part of the circle during the exposure time. Then the energy distribution model of the blurred star spot is established and the star spot centroid coordinate error based on the centroid method is evaluated under the large angular velocity. It is analyzed that the modulus of the star spot centroid error can be approximated to one half of the length of the star spot motion blur trajectory. The simulation results verify the correctness of the conclusions obtained in this paper.

Comparison of determining methods and constraint schemes for geometric stability in truss topology optimization
HAO Baoxin, ZHOU Zhicheng, QU Guangji, LI Dongze
2019, 45(8): 1663-1673. doi: 10.13700/j.bh.1001-5965.2018.0624
Abstract:

To improve the accuracy of determining truss geometric stability and the practicability of truss topology optimization results, several ways of determining truss geometric stability were compared, and the validity of three schemes for guaranteeing truss geometric stability of topology optimization results were discussed. First, by comparing several ways to identify truss geometric stability through some illustrative tiny trusses, a simple procedure was outlined to evaluate truss geometric stability. Second, a unified semidefinite programming (SDP) formulation of the truss topology optimization problem was established for three kinds of constraints to address the geometric stability issue. Finally, three truss structures were optimized with the SDP formulation, and the geometric stabilities of the resultant trusses were evaluated by the given simple scheme to reveal the validity of the three kinds of constraints to guarantee geometric stability. The results show that considering additional loads or the global stability constraint cannot guarantee the geometric stability of the optimized trusses while the fundamental frequency constraint can do when the constraint values are reasonably chosen.

Management method for multiple sensors' recognizing and tracking multiple targets cooperatively
PANG Ce, SHAN Ganlin, DUAN Xiusheng
2019, 45(8): 1674-1680. doi: 10.13700/j.bh.1001-5965.2018.0612
Abstract:

Aimed at the problem that there are false targets among targets being tracked, a target recognition model based on risk theory, Bayesian theory and evidence theory is established firstly. Secondly, the situation of target recognition when the target is being tracked is analyzed, and a risk function model in which both target tracking and recognition are considered at the same time is established. When calculating the sensor management, a distributed algorithm based on distributed computing of multi-Agent is proposed. The simulation experiment results show that:First, targets can be recognized effectively and the tracking progress ends in time once a target is recognized as a false target under the framework of target recognition in this paper; Second, the solution of the algorithm proposed in this paper is better and the calculation speed is faster than other algorithms; Third, the sensor management method in this paper can avoid the waste of sensor resources and improve the tracking effect of real targets.

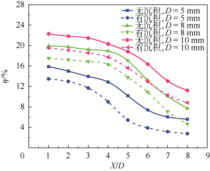
Experiment on gas film cooling efficiency in environment of deposition
YANG Xiaojun, YU Tianhao, CUI Mohan, LIU Zhigang
2019, 45(8): 1681-1690. doi: 10.13700/j.bh.1001-5965.2018.0697
Abstract:

In order to study the effect of deposition of pollutants on film cooling of gas turbine blades, the experiments were carried out by injecting molten paraffin wax into a small wind tunnel to simulate the pollutants in a real turbine. The blades were approximately replaced by flat plates. The experiments were carried out under mixing conditions of high temperature mainstream and low temperature cold flow. The influence of particulate matter deposition on the surface of the workpiece and the changing trend of film cooling effect after paraffin deposition. It was found that under the same experimental conditions, with the increase of the aperture, the film cooling efficiency increases gradually, and the cooling efficiency at the aperture of 10 mm is about 6% higher than that at 5 mm. At the same time, the paraffin deposition on the plate surface decreases gradually, and the thickness difference is 0.15-0.20 mm. With the increase of the surface roughness of the plate, the film cooling efficiency decreases gradually. However, the deposition of paraffin increases gradually, and the film cooling efficiency after deposition decreases greatly compared with that before the deposition of paraffin particles, with a difference of about 5%.