2019 Vol. 45, No. 9

Display Method:
Volume 45 Issue92019
iconDownload (19999) 1053 iconPreview
Positioning technology based on IRIDIUM signals of opportunity
QIN Honglei, TAN Zizhong, CONG Li, ZHAO Chao
2019, 45(9): 1691-1699. doi: 10.13700/j.bh.1001-5965.2018.0717
Abstract:

The global navigation satellite system (GNSS) has a number of disadvantages such as weak signal strength on the ground, high infrastructure requirement and easy to be interfered, while signals of opportunity can make up these shortages. Space-based signals of opportunity positioning based on IRIDIUM is implemented for insufficiency of the coverage and availability of ground-based signals of opportunity such as FM, DTV and mobile base station. This paper realizes the function of positioning based on IRIDUM through combining Doppler shift information which is acquired with the tone signal of IRIDIUM signal and orbital information of satellite calculated from orbit prediction model after establishing mathematical model of instantaneous Doppler positioning by analyzing the communication system of IRIDIUM. The experimental results based on actual signal show that the positioning accuracy can reach better than 200 m. The research of this paper is significant in theoretical research and practice application of positioning technology based on signals of opportunity.

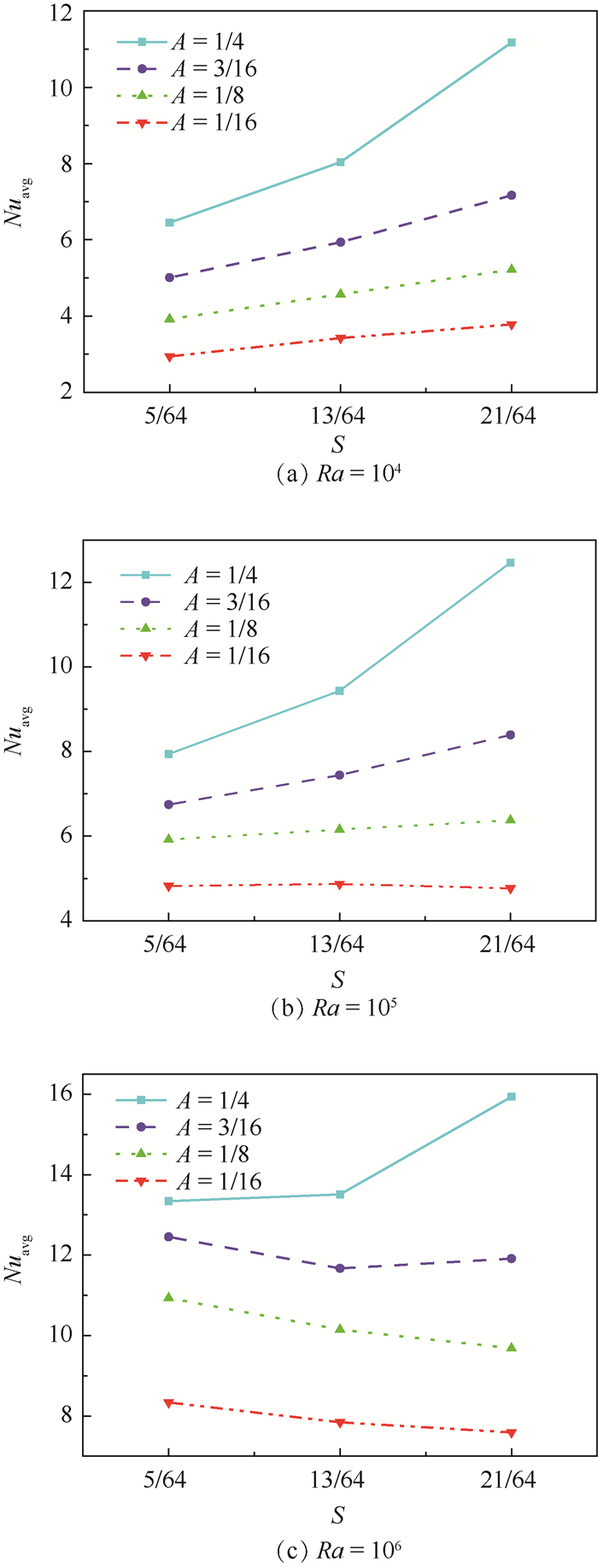
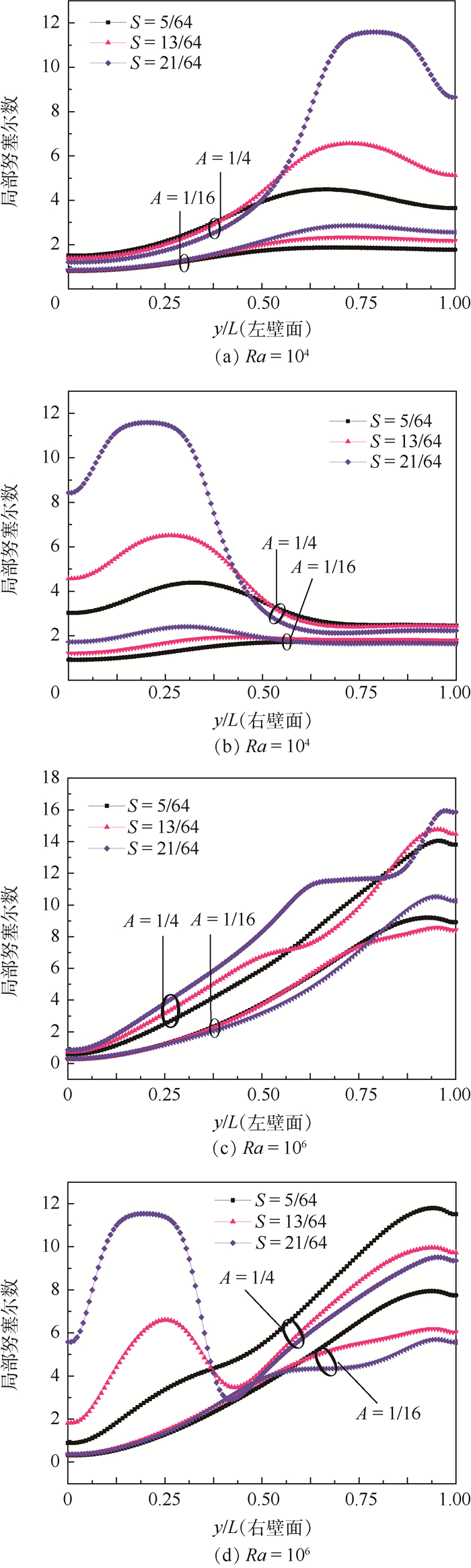
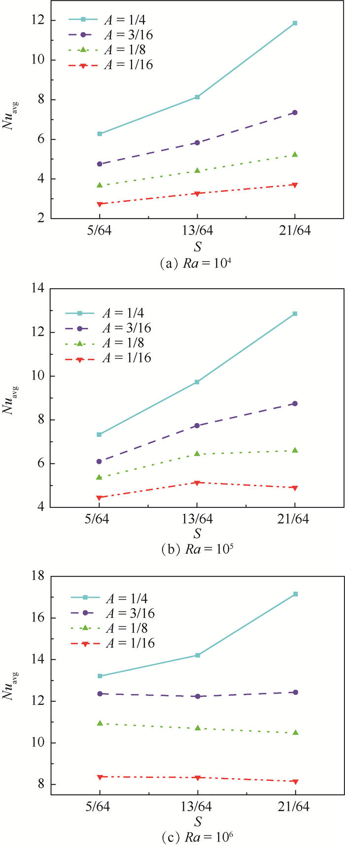
Non-orthogonal multiple-relaxation-time lattice Boltzmann method for numerical simulation of thermal coupling with porous square cavity flow containing internal heat source
ZHANG Ying, HUANG Yichen, CHEN Yue, MA Ming, LI Peisheng, WANG Zhaotai
2019, 45(9): 1700-1712. doi: 10.13700/j.bh.1001-5965.2018.0781
Abstract:

In this paper, in order to solve the problem of natural convection in a porous square cavity containing an internal heat source, the non-orthogonal multiple-relaxation-time (MRT) lattice Boltzmann method was used. The influence of the value of Rayleigh number(104Ra ≤ 106), internal heat source layout (horizontal, vertical and diagonal layout), internal heat source size (A=1/16, 1/8, 3/16, 1/4), and spacing (S=5/64, 13/64, 21/64) between two internal heat sources on convective heat transfer was analyzed. The results indicate that in the case of Ra=104, 105 and S=5/64, and the internal heat source is of any size, it can obtain better heat transfer by adopting the layout of diagonal; when Ra=105, 106 and S=13/64, 21/64, horizontal is better. In horizontal layout of the internal heat source, at Ra=104, the convection heat transfer effect in any internal heat source size is enhanced as the internal heat source spacing increases. However, as Ra increases, and internal heat source size decreases, the convective heat transfer effect first increases and then decreases with the increase of internal heat source space; then its effect decreases as internal heat source space increases. The layout of diagonal is in a similar situation. When other conditions are the same, the convective heat transfer effect increases with the increase of internal heat source size.

Design of ascent trajectory of space vehicle in mobile launch condition
XIAN Yong, REN Leliang, GUO Weilin, ZHANG Daqiao, LI Bing
2019, 45(9): 1713-1722. doi: 10.13700/j.bh.1001-5965.2018.0782
Abstract:

In order to improve the mobile launch capability of space vehicle, the position, height, velocity magnitude, velocity azimuth and trajectory inclination of the injection point were used as terminal constraints to design the ascent trajectory under the condition that the mid-flight trajectory was determined. The space vehicle could be launched at any position in a certain range centered on the original launch point, and the high-precision shift with the mid-flight trajectory was completed. Considering many constraints and high-precision requirements of the injection point, and the nonlinear and strong coupling characteristics of the ascent trajectory, the two-stage and three-stage energy management model and the changeable-launching-plane transverse maneuvering model were designed, and then the gradient particle swarm algorithm with the blended disturbance operator was used to solve the ascent trajectory. The simulation results show that the high-precision shift with the mid-flight trajectory can be realized smoothly by optimized transverse maneuvering trajectory, and the average deviation of the position, height, velocity, velocity azimuth and trajectory inclination of the terminal injection point for ascent trajectory are 27.506 2 m, 2.125 4 m, 1.652 2 m/s, 0.072 8° and 0.029 0° respectively.

TC4 shot peening simulation and experiment
WANG Yanzhong, LI Fei, CHEN Yanyan, ZHANG Yaping, WU Zegang, WANG Cheng
2019, 45(9): 1723-1731. doi: 10.13700/j.bh.1001-5965.2018.0749
Abstract:

In view of the current research status on the finite element simulation study of shot peening, such as the projectiles' regular arrangement and the peening coverage cannot be calculated precisely, a finite element model with multiple randomly distributed shots whose number depends on the peening coverage was secondarily developed with ABAQUS, in which accurate number of required shots under different working conditions and different peening coverage is calculated. The influence of peening parameters on the surface residual stress and the surface roughness of TC4 titanium alloy material was studied. The TC4 shot peening experiment was carried out, residual stress distribution and surface roughness obtained by experiment were compared with those by simulation, and the results verified the reasonable prediction of residual stress distribution and surface roughness by the model, which has certain guiding significance for the determination of shot peening process parameters.

Influential factors analysis of electric vehicle charging behavior based on trip chain
YU Haiyang, ZHANG Lu, REN Yilong
2019, 45(9): 1732-1740. doi: 10.13700/j.bh.1001-5965.2018.0566
Abstract:

With the rapid development of electric vehicles, large-scale electric vehicle charging behavior will bring tremendous influence on the planning and operation of electric power systems. It is more and more urgent to study the charging behavior of electric vehicles and its influential factors, and predict the potential charging behavior in real time. Based on the historical data of private electric vehicles in Beijing, this paper introduces the concept of trip chain to comprehensively analyze the data of electric vehicle charging process and discharge process. This research considers the various potential influential factors on electric vehicles' charging behavior in the actual situation and determines the factors that significantly affect charging behavior through logistic regression analysis. Finally, the charging behavior forecasting model for electric vehicle is established based on the single and multiple significant influential factors. The results show that the model based on multiple significant influential factors has higher accuracy and better prediction effect in sunny days. This research will help optimize the charging behavior of electric vehicles, thus improving the charging efficiency of electric vehicles.

RVD flight mission planning and scheduling method based on finite state machine
YANG Sheng, WANG Xinzhe, LI Meng
2019, 45(9): 1741-1746. doi: 10.13700/j.bh.1001-5965.2019.0008
Abstract:

The flight mission planning and scheduling method based on finite state machine (FSM) was proposed for planning and scheduling the rendezvous and docking (RVD) flight mission of manned spacecraft rapidly and exactly under multi-constraints. The graphical mission planning and scheduling model was established by mapping the RVD process with FSM. The flight events were taken as states and the constraints, such as sunlight condition, telemetry tracking and command coverage, were taken as input signals of the FSM. The model was solved automatically by driving the state machine transit from the initial state to the last one according to the flight sequence. Take the manned RVD experiment in China's Shenzhou-10 mission as an example, the proposed method was verified. The mission planning and scheduling result was consistent with the on-orbit execution. It shows that the FSM based modeling method can realize the RVD flight mission planning and scheduling rapidly and exactly.

Two-stage programming model for time slot allocation problem under uncertain capacity
QI Yao, WANG Ying, LIANG Ying, YAO Di
2019, 45(9): 1747-1756. doi: 10.13700/j.bh.1001-5965.2018.0757
Abstract:

In uncertain environment such as bad weather, it is easy to cause a large number of flight delays by the traditional time slot allocation method. To solve this problem, the time slot allocation process is first analyzed. Then a two-stage programming model for time slot allocation under uncertain capacity based on the uncertainty theory is proposed, including a single-airport model and a multi-airport model. The models highlight the tradeoff between the schedule slot/request slot discrepancies and operation slot/schedule slot discrepancies. According to the characteristics of the model, a progressive binary heuristic calculation method based on artificial bee colony (ABC) algorithm is designed to improve the efficiency of the solution. The validity of the model and algorithm is verified by the case study, and the model parameter setting is analyzed.

Medical low-dose CT image denoising based on variable order variational model
WANG Na, ZHANG Quan, LIU Yi, JIA Lina, GUI Zhiguo
2019, 45(9): 1757-1764. doi: 10.13700/j.bh.1001-5965.2018.0775
Abstract:

Low-dose CT (LDCT) is widely used for clinical diagnosis to reduce radiation risk to patients. However, the radiation dose reduction introduces mottle noise and streak artifacts into the reconstructed LDCT images. In this paper, a post-processing technique is proposed based on variable order variational model to improve the LDCT image quality. The proposed variational model employs the edge indicator to control the order of variation, which can alternate between the first order total variation (TV) regularizer and second order bounded Hessian(BH) regularizer based on the image feature. Moreover, the proposed model is solved by split Bregman algorithm based on fast Fourier transform (FFT). The proposed model effectively suppresses mottle noise and streak artifacts, meanwhile preserving structure in reference to high-dose CT (HDCT) images. The reconstructed images and experimental data indicate that the proposed model has better quality than some existing state-of-the-art models.

ISAR imaging and contour feature extraction of space targets
YANG Hong, ZHANG Yasheng, YIN Canbin
2019, 45(9): 1765-1776. doi: 10.13700/j.bh.1001-5965.2018.0680
Abstract:

The inverse synthetic aperture radar (ISAR) imaging of the space target is affected by target's own occlusion and noise interference, which makes the generated ISAR image difficult to be directly used for image analysis and target recognition. Therefore, the ISAR image processing and feature extraction are studied based on the ISAR imaging model of the space target. Firstly, the ISAR imaging model, ISAR signal model and ISAR image extraction model of the target satellite are established respectively, and the ISAR image of the target satellite is obtained through preliminary processing such as sidelobe suppression and speckle filtering. Secondly, the Otsu algorithm, the canny operator and the Hough transform are used to rotate the satellite to the longest axis parallel to the horizontal axis of the image plane. The closed operation method is used to fill the internal cavity of the satellite and remove the external isolated noise region. Based on the connected domain idea, the sub-area where the satellite is located is segmented, and the contour extraction of the satellite is realized. The designed image processing algorithm can effectively improve the ISAR image quality, and the extracted satellite contour can well outline the shape of the target satellite, which lays an important foundation for further satellite identification.

Parameter suitability envelope for safety bolter of a carrier-based aircraft
LIN Jiaming, WU Guanghui, WANG Lixin, LIU Hailiang, WANG Yun
2019, 45(9): 1777-1786. doi: 10.13700/j.bh.1001-5965.2018.0715
Abstract:

The bolter characteristics have significant effect on the approach airspeed determination of a carrier-based aircraft, the grade limits of ship speed and sea state during carrier landing. Three parameters are proposed as the safety indexes according to the bolter task requirements. They are taxing distance of the bolter, angle of attack angle of attack increment (the peak angle of attack during bolter minus the approach angle of attack), and pitch angle of touchdown. Numerical pilot model is formulated, and the parameter suitability envelope which satisfies the bolter safety requirements is obtained based on the digital virtual flight testing method. The results show that, for each landing weight, there is a best approach airspeed range to minimize the bolter taxing distance. The angle of attack increment and the pitch angle of touchdown respectively determine the upper and lower boundary of approach airspeed. Movement of the center of gravity will change the position and range of the parameter suitability envelope, but the envelope shape is nearly unchanged. Reducing the ship speed will narrow the parameter suitability envelope. The success rate corresponding to each point in the parameter suitability envelope provides a reference for the bolter safety judgment under different grades of sea state.

Norm differential game guidance law for active defense aircraft
GUO Zhiqiang, SUN Qilong, ZHOU Shaolei, YAN Shi
2019, 45(9): 1787-1796. doi: 10.13700/j.bh.1001-5965.2018.0738
Abstract:

For the pursuit-evasion problems between an active defense aircraft which can launch a defending missile from itself and an attacking missile, a guidance law for aircraft and defending missile is derived and analyzed based on the differential game theory. First, Optimal guidance strategies with bounded lateral controls of aircraft, defending missile and attacking missile are derived for the three players by using a norm performance index. Second, the conditions of a successful evasion for the aircraft and a successful interception for the defender are deduced, and the minimal evasion maneuver of the aircraft and the minimal interception maneuver of the defender are obtained. Finally, Nonlinear simulations are carried out to validate the guidance law proposed. It is verified that the aircraft can evade the attacking missile if its maneuver is equal or greater than the minimal evasion maneuver, and the defender can intercept the attacking missile if its maneuver is equal or greater than the minimal interception maneuver.

Initial velocity and influence factors of tank explosion fragments
ZHAO Beilei, ZHAO Jiguang, CUI Cunyan, WANG Yan, SUN Wuhua
2019, 45(9): 1797-1804. doi: 10.13700/j.bh.1001-5965.2018.0746
Abstract:

To determine the initial velocity of tank explosion fragments under the propellant detonation, the fragment initial velocity (FIV) model was established based on the energy conservation law, in which the kinetic energy of explosion fragments, the kinetic energy and internal energy of detonation products, the failure energy and the consumed energy for expansion work of tank shell were considered. The FIV model was in good agreement with the calculation results of typical empirical formulas and the experimental data, which verifies the effectiveness of the model. Based on the dimensional analysis method, the key parameters affecting the initial velocity were determined. Based on AUTODYN software, numerical simulation was conducted and the effects of height-diameter ratio, thickness-diameter ratio and air density on fragment initial velocity were analyzed. Results show that the initial velocity of explosion fragment decreases rapidly with the increase of height-diameter ratio, and the attenuation trend slows down when the height-diameter ratio exceeds 1.50. The initial velocity almost linearly decreases with the increase of thickness-diameter ratio. When the explosion height is less than 20 km, as the explosion height rises, the air density decreases, and the initial velocity increases. The air becomes very thin above 40 km, and the influence of shell expansion work on initial velocity can be neglected.

Comparison between EM algorithm and dynamical clustering algorithm for Dirichlet mixture samples
XIA Bang, EMILION Richard, WANG Huiwen
2019, 45(9): 1805-1811. doi: 10.13700/j.bh.1001-5965.2018.0752
Abstract:

Dirichlet distribution is a kind of continuous multivariate probability distribution with positive parameter vectors, which is widely used in proportional structure problems. Expectation maximization (EM) algorithm and dynamical clustering algorithm of Dirichlet mixture samples are presented, their mathematical process is deduced, and the iteration steps of the algorithms are given. Then, using digital simulation experiments, the clustering effects of the two machine learning algorithms with Dirichlet samples are compared. By calculating six evaluation factors which are log-likelihood function value, program running time, convergence iteration times, clustering accuracy, true positive rate (TPR) and false positive rate (FPR), the simulation results show that EM algorithm has higher clustering accuracy but lower operational efficiency, while dynamical clustering algorithm has higher operational efficiency but loses some clustering accuracy. Therefore, in practical application, it is suggested to weigh the relative requirements of accuracy and operational efficiency before selecting a suitable algorithm to cluster Dirichlet samples.

High-order LADRC based robust coordinated decoupling control for V/STOL aircraft in hover/translation mode
GAO Yang, WU Wenhai, JI Shaokang, ZHENG Yi
2019, 45(9): 1812-1823. doi: 10.13700/j.bh.1001-5965.2018.0758
Abstract:

To deal with the issue of dynamic coupling, thrust vector control redundancy and vulnerability to disturbed wind for vertical and/or short take-off and landing (V/STOL) aircraft in hover/translation mode, a robust coordinated decoupling flight control method based on high-order linear active disturbance rejection control (LADRC) is proposed. Firstly, the thrust vector model and the nonlinear hover/translation motion model under the disturbed wind are established according to the concept of V/STOL aircraft. On this basis, the coordinated control strategy of attitude and position is given in this mode. Then by transforming the control variables, six active disturbance rejection decoupling control laws are designed, which refrains from the redundant control of multiple thrust vectors using LADRC to compensate the total disturbances in real time. Simulation results show the effectiveness of the LADRC applied to hover/translation control and the robustness of the designed control laws for aircraft internal parameter perturbation and external gust disturbance.

High-precision GPS code phase measurement method based on phase stripe
FU Shengyou, WANG Zhaorui, JIN Shengzhen, AI Guoxiang
2019, 45(9): 1824-1830. doi: 10.13700/j.bh.1001-5965.2018.0767
Abstract:

When GPS receiver measures the propagation distance from satellites to the receiver, it can usually obtain two basic measurement values, code phase and carrier phase. Although the precision of carrier phase measurement is higher than that of code phase measurement, there exists the integer ambiguity problem, whose cost is much higher than that of using code phase technique in practical application. Therefore, based on the phase stripe technique, a high-precision code phase measurement method was proposed. On the basis of the traditional code tracking loop, the high-precision code phase measurement value is obtained by extracting the frequency of the phase stripes of the cross-correlation power spectrum, so as to assemble a high-precision code pseudo-range. Simulation results show that the precision of code phase measurement is about 0.37 m when the SNR is -15 dB, which is better than the tracking accuracy of 1.82 m under the same condition of traditional delay lock loop. At the same time of obtaining the higher-precision code phase measurements, the integer ambiguity of the carrier phase does not need to be solved, which has research significance and application value for improving the GPS positioning precision.

Gradual fault diagnosis for electromechanical actuator based on DWNN
WANG Jian, WANG Xinmin, XIE Rong, CAO Yuyan, LI Ting
2019, 45(9): 1831-1837. doi: 10.13700/j.bh.1001-5965.2018.0769
Abstract:

It is difficult to accurately predict the gradual failure of electromechanical actuator (EMA) in an aircraft flight control system. The flight safety of an aircraft will be affected by these faults if they are not detected in early stage. A fault diagnosis method based on dynamic wavelet neural network (DWNN) is proposed to diagnose the gradual fault of EMA. This method trains the DWNN fault diagnosis model in offline step by using EMA's operation data of gradual faults, such as interturn short circuit of armature winding, screw and ball wear of transmission device, and then the trained DWNN model is used to diagnose the gradual faults of EMA online. The innovations of the research are as follows:First, the influence of the high-frequency components in the sensor measurement signals is removed using wavelet decomposition algorithm in the DWNN model; Second, the information input in the past and the information predicted in the past are integrated using the memory ability of the feedback neural network, so the accuracy of EMA gradual fault diagnosis is improved. The simulation results obtained from tests on a specific EMA show that the proposed DWNN method can accurately diagnose the gradual fault of EMA components.

A new conflict evidence decision method and its application
ZHAO Jing, GUAN Xin, LIU Haiqiao
2019, 45(9): 1838-1847. doi: 10.13700/j.bh.1001-5965.2018.0787
Abstract:

Research on conflict evidence decision methods is an important research topic of evidence theory. In view of the existing problems in the evidence theory improvement process, such as large computational complexity, unreasonable normalization process and unsatisfactory evidence combination, this paper proposes a method based on quadratic combination for conflict evidence decision-making. Firstly, the paper proposes a new flowchart of conflict evidence decision method based on quadratic combination. Secondly, a new multiplicative normalization rule is proposed, and a new multiplicative normalization rule is analyzed by example to verify its rationality. Finally, the shortcomings of the existing conflict measurement function are analyzed, a new conflict measurement function is proposed, and the rationality of the conflict measurement function is analyzed. Through the analysis of examples and the comparison with the existing evidence combination rules, it is shown that the proposed method not only improves the calculation amount, but also improves the combination results.

Light field all-in-focus image fusion based on wavelet domain sharpness evaluation
XIE Yingxian, WU Yingchun, WANG Yumei, ZHAO Xianling, WANG Anhong
2019, 45(9): 1848-1854. doi: 10.13700/j.bh.1001-5965.2018.0739
Abstract:

Traditional all-in-focus image fusion based on the multi-focus images which are captured by multiple-exposure of the camera. Light field camera has the ability of calculating the refocused images at any depth after a single exposure, which makes it more advantageous in all-in-focus image calculation. A light field all-in-focus image fusion method based on wavelet transform is proposed in this paper. Compared with the spatial image fusion method, the proposed method can effectively avoid the block artifacts and obtain a fused image with high quality. First, the refocused images used for the all-in-focus image calculation can be computed through shearing and projecting the 4D light field captured by the microlens-based light field camera. Then, the wavelet transform are applied to the refocused images and the high-frequency and low-frequency sub-images are extracted respectively. Finally, the balanced Laplace operator and pixel visibility function are proposed to evaluate the sharpness of the sub-image and to get a high-quality fusion image.Compared to the traditional region based sharpness evaluation function, the proposed method has a better performance. The experiment results prove the correctness and validity of the proposed method. The raw images captured by Lytro light field camera are used to calculate the all-in-focus image. Compared with the traditional image fusion methods, the visual effect is better and the quantitative indices are also improved with the proposed method.

SNR estimation algorithm for UAV data link based on deep learning
SUN Yuhang, ZENG Guoqi, LIU Chunhui, ZHANG Duona
2019, 45(9): 1855-1863. doi: 10.13700/j.bh.1001-5965.2018.0724
Abstract:

UAV data link communication is subject to natural and artificial interferences. The signal-to-noise ratio (SNR) is an effective evaluation indicator of channel state and communication quality. In order to address insufficient SNR estimation accuracy involved in traditional estimation algorithm, an estimation model which combines convolutional neural networks (CNN) and long short term memory (LSTM) network is proposed. By means of both simulation and actual measurement, a data set of UAV communication signals is constructed with multiple SNRs, modulation modes, fading channels and other information included. In the network training phase, the sample sequence is segmented, CNN-LSTM is used to extract the deep feature of each part, and the model parameters are saved through multiple trainings. In the test phase, the constructed test set is used to verify and test the algorithm, and the SNR estimation value is obtained. Experiments show that compared with traditional SNR estimation algorithm and single-network deep learning method, the proposed algorithm can help achieve the lowest mean square error for different levels of SNR, thus achieving the high-precision estimation of SNR.

Research and application of residual triplet network based on deep convolution
LI Zhengze, YANG Xiaoyuan, ZHU Ridong, WANG Jingkai
2019, 45(9): 1864-1873. doi: 10.13700/j.bh.1001-5965.2018.0766
Abstract:

For multi-classification image tasks, a residual triplet network based on deep convolution is proposed, which aims to train neural networks to obtain useful feature representations through residual learning and distance comparison. Firstly, a 21-layer deep convolution neural network is designed as the embedded network of the triplet network, where the convolutional network is connected with 6 blocks. By using residual learning, the output of each block is combined with the input of this block and the output of the convolutional layer which focus on reducing the difficulty of network learning and avoiding degradation. Then, each block employed the convolution layers with the same topological branch to broaden the width of the network.Finally, to enhance the transfer of feature information, the fully-connected layer concatenated the output of the previous convolutional layers and blocks. Before training, the cross-combined sampling method is used to increase effective samples for hard samples. During training, using the sample center point to replace the anchor sample as an input can reduce the error rate by 0.5% on average. Among the triplet network series, we achieved the best results on the MNIST, CIFAR10, and SVHN. In all classification networks, we achieved the best results on the MNIST and performed well on CIFAR10 and SVHN.

A navigation filtering algorithm considering GPS signal interruption
HE Kanghui, DONG Chaoyang, WANG Qing
2019, 45(9): 1874-1881. doi: 10.13700/j.bh.1001-5965.2018.0786
Abstract:

Aimed at the problem of GPS data interruption in the UAV INS/GPS integrated navigation system, an improved filtering algorithm is designed. Firstly, the kinematics model of UAV navigation is established. Then the traditional extended Kalman filter (EKF) technique and strong tracking filter are combined. A new navigation filtering algorithm is designed by using the membership function in fuzzy theory. The simulation results show that the improved algorithm can quickly adapt to the sudden change of GPS signal. When the GPS signal recovers from the fault state to the normal state, the improved algorithm can converge to the steady state more quickly than the ordinary EKF algorithm, and the flight state is re-completed and estimated. At the same time, compared with the common EKF and strong tracking extended Kalman filter (STEKF) algorithm, the improved algorithm has higher filtering accuracy.

Motion characteristics of soft bionic tongue based on multi-directional pneumatic actuator
DONG Hu, LIN Miao, GU Sucheng, CAO Yi, LI Wei
2019, 45(9): 1882-1893. doi: 10.13700/j.bh.1001-5965.2018.0788
Abstract:

Aimed at multi-directional actuator deformation mechanism, this paper takes the soft bionic tongue as research object and the research on the motion characteristics of one/multi-directional actuator for the soft bionic tongue is carried out. Firstly, a soft bionic tongue driven by pneumatic actuator is designed, which can complete many actions including tongue stretching, twisting, rolling and tilting by the one/multi-directional actuator. Secondly, in order to further study the actuator's deformation mechanism, the research on the structure and deformation operating principle of one/multi-directional actuator is carried out. Then, a nonlinear mathematical model of radius of a soft bionic tongue actuated by specific pressure is established, which is based on the Yeoh model strain energy density function and combined with the force balance equation. Finally, the finite element simulation and experimental validation of the soft bionic tongue are carried out to verify the correctness of the theoretical model. Consequently, the above research provides a theoretical basis for other research on the deformation mechanism of pneumatically actuated soft structures.

Time-triggered communication scheduling method based on reinforcement learning
LI Haoruo, HE Feng, ZHENG Zhong, LI Ershuai, XIONG Huagang
2019, 45(9): 1894-1901. doi: 10.13700/j.bh.1001-5965.2018.0789
Abstract:

In the future, time-triggered communication mechanism will be more widely selected for information transmission to ensure the certainty of information interaction in avionics system. How to reasonably implement time-triggered communication scheduling design is the key to time-triggered application to avionics interconnection systems. For the periodic task of time-triggered scheduling, we proposed a method for generating periodic scheduling timetable based on reinforcement learning. Firstly, the traffic scheduling task is transformed into a tree search problem, which has the Markov characteristics needed for reinforcement learning. Then, the reinforcement learning algorithm based on neural network is used to explore the schedule, and the waiting time is shortened to optimize the schedule. As the training is completed, the model can be directly used in tasks with similar message distribution. Compared with the method, e.g. Yices, which uses the satisfiability modulo theories (SMT) to solve the time-triggered schedule, the proposed method does not cause undetermined problem, and can guarantee the correctness and optimization of the time-triggered scheduling design results. For a large network with 1 000 messages, the calculation speed of the proposed method is dozens of times faster than that of the SMT, and meanwhile, the end-to-end delay of the generated message by scheduling is less than 1% of that of the SMT, which greatly improves the timeliness of message transmission.

Coupling vibration characteristics analysis of shared support-rotors system
ZHANG Jian, ZHANG Dayi, WANG Yongfeng, MA Yanhong, HONG Jie
2019, 45(9): 1902-1910. doi: 10.13700/j.bh.1001-5965.2019.0002
Abstract:

The rotor system with turbine mid frame is researched as an objected, and the dynamic model with coupling vibration in transverse and angular degree was employed to reveal the vibration coupling mechanism and influence in shared support-rotors system. It is pointed that support response of one rotor can influence the bearing dynamic stiffness and rotor dynamic characteristic of another, and the calculation error of traditional rotor dynamic modeling exceed 10%, so the vibration coupling should be considered when analyzing critical speed and dynamic response in the rotor system with mid frame. The finite element calculation results for the shared support-rotors system in turbo-shaft engine exhibit that the coupling modes will arise, and the speed of one rotor can affect the critical resonant speed excited by another. The vibration isolation characteristics of mid turbine can also be affected due to the coupling vibration, and compared with non-coupling system, the dynamic response and load-transferring coefficient both remarkably increase.