2018 Vol. 44, No. 2

Display Method:
Volume 44 Issue22018
iconDownload (80840) 803 iconPreview
Zero-dimensional modeling for transient response of non-adiabatic cavity with single opening
DING Shuiting, YU Hang, QIU Tian
2018, 44(2): 215-222. doi: 10.13700/j.bh.1001-5965.2017.0093
Abstract:

With the present condition that there are errors in predicting transient response of cavity with single opening using the ideal adiabatic cavity model in the presence of heat transfer, a zero-dimensional transient modeling method applied to a single opening cavity with the consideration of the effect of heat transfer on cavity transient response was proposed. In virtue of researching the factors influencing the heat transfer between the gas and the cavity wall, the characteristic equation related to heat transfer was deduced by dimensional analysis, and the concrete function of it was determined by CFD numerical simulation. The heat transfer term which was not considered by adiabatic model of cavity with single opening was expressed explicitly, and a non-adiabatic zero-dimensional transient model of cavity with single opening was established. The model was compared with CFD simulation and the results show that:Good agreement is achieved by comparing the responses of pressure and temperature calculated by non-adiabatic zero-dimensional transient model of cavity with single opening with that calculated by CFD simulation, and the maximum relative error is no more than 0.8%. The accuracy of the model and the feasibility of the modeling method are verified; The maximum relative error between the adiabatic model of cavity with single opening and CFD simulation results is 6%, which indicates that the non-adiabatic model can reflect the real response more accurately than the adiabatic model. In addition, the non-adiabatic model reduces three dimensions within the accuracy of 1% compared with the CFD simulation, and also significantly lowers the computational cost of non-adiabatic cavity with single opening simulation, which can effectively support zero-dimensional transient modeling of cavity with high accuracy in aero-engine air system.

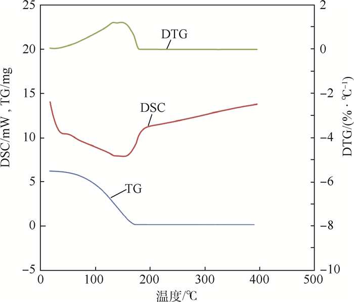
Thermal stability and heat sink of microalgae aviation fuels
YANG Xiaoyi, WANG Zhichao, LIU Ziyu, ZHAO Jing
2018, 44(2): 223-228. doi: 10.13700/j.bh.1001-5965.2017.0053
Abstract:

The thermal stability and heat sink of aviation fuel play an important role in the reliability, safety and performance of aircraft and engine. Two types of typical microalgae aviation fuel were investigated to assess thermal stability and heat sink by thermo-gravimetric-differential scanning calorimetry in comparison with the standard turbine jetfuels RP-3. The results show that the temperatures of the end point and maximum weight loss point are higher than that of the standard turbine jetfuels RP-3, which indicates that heat sink includes both physical heat sink and chemical heat sink in weight loss interval. The thermo-gravimetric curve defines two dimensionless parameters including initiation temperature and burnout index, which represent the initial decomposition temperature and the deposition characteristics respectively. The combination of the two parameters can be used to assess the thermal stability and heat sink. Isochrysis based blend aviation fuel presented the carbon deposit with the increase of heat sink, while chlorella based blend aviation fuel did not present the carbon deposit with the increase of heat sink. The results indicate that optimizing the composition of alkane with high carbon number could increase heat sink and decrease carbon deposit. It is feasible both theoretically and technically.

Efficiency of twist deformation of composite plate actuated by MFC
LI Lin, XUE Zheng, FAN Yu
2018, 44(2): 229-240. doi: 10.13700/j.bh.1001-5965.2017.0107
Abstract:

More and more composite structures containing active materials are applied to adaptive structures. The integration of active materials in structures has brought new characteristics but made the design more complicated. In this paper, the deformation of the active composite plate actuated by the macro fiber material (MFC) is studied. The purpose is to obtain the relationship between the twist deformation of the actuated composite plate and the MFC fiber laying and the actuation mode. Based on the elastic mechanics theory, the relationship between the strain of active fiber actuated by voltage and induced internal force and deformation of the composite plate is established. The solution of the problem is conducted using Ritz's method and taking the displacement function as a linear combination of the two-dimension beam-modes. The solving equation of the displacement field actuated by MFC is derived, and the analytical result is verified by the experiment. In order to evaluate the actuation effect of MFC composite plate under different conditions and to consider the bending-torsion coupling characteristics of composite plate deformation, the concept and the calculation of actuation efficiency of an active composite plate are proposed, which is based on the definition of equivalent bending and twist angle of section. Then the evolution of the actuation efficiency with the laying angle of MFC and the mode of input voltage is analyzed. Corresponding to different constraint conditions, the laying of piezoelectric fiber-direction and the selection of actuation-mode are given based on the obtained analysis results.

Fault diagnosis for rolling bearing based on ITD and improved morphological filter
YU Jianbo, LYU Jingxiang, CHENG Hui, SUN Xiwu, WU Hao
2018, 44(2): 241-249. doi: 10.13700/j.bh.1001-5965.2017.0114
Abstract:

For extracting fault impulse components embedded in the vibration signal with much noise and harmonics, an improved morphological filter algorithm called average combination difference morphological filter (ACDIF) is proposed on the basis of the four basic morphological operators. Then ACDIF is combined with the intrinsic time scale decomposition (ITD) and the ITD-ACDIF method is employed in the fault diagnosis for rolling bearing. In the ITD-ACDIF fault diagnosis method, ITD is applied to the original vibration signal and a series of proper rotation components (PRC) are obtained, and then the kurtosis is regarded as criterion to select effective PR components which contain much fault-related information. After that, ACDIF filtering is performed on each effective PR in order to pick up bidirectional impulses, and filtered PRs are combined into a signal. Finally, the fault feature is extracted from reconstructed signal by amplitude spectrum. The experimental results on simulated signal and actual bearing vibration signal demonstrate that the proposed method can effectively suppress noise interference and extracting the characteristics of impact fault under the strong background noise to realize fault diagnosis of equipment.

Utility value driven passenger travel dynamic study and modeling
XING Zhiwei, WEN Tao, LUO Qian, CONG Wan, WEI Zhiqiang, LIAO Bikai
2018, 44(2): 250-256. doi: 10.13700/j.bh.1001-5965.2017.0144
Abstract:

In order to explore the characteristics and mechanism of passenger travel behavior in the traffic system, the statistical analysis of the passenger travel pattern is studied based on the actual airport departure of the landside passenger travel data. It is found that the behavior of passenger gathering has strong paroxysmal feature, the interval time distribution about different passenger groups has a power-law characteristic, and the power is proportional to the intensity of paroxysmal feature. Meanwhile, passenger traveling transfer decision-making is a kind of utility value driven human behavior considering many factors such as time, cost, convenience and comfort, and emergency. Accordingly, a utility value driven travel behavior dynamic model is proposed, from which power-law distribution with an adjustable power exponent can be obtained. The simulation results of the dynamic model are consistent with the analysis results of empirical data.

Bohai coastal sea ice detection using BeiDou GEO satellite reflected signals
ZHANG Yun, XIE Xiangfang, MENG Wanting, YANG Shuhu, GAO Qiang, WANG Wei
2018, 44(2): 257-263. doi: 10.13700/j.bh.1001-5965.2017.0149
Abstract:

With the development of global navigation satellite system reflected signals (GNSS-R), its application to sea ice detection has increased recently. The angular speed of BeiDou geostationary earth orbit (GEO) satellite is small and the angle of elevation varies for only 3-4 degrees. Therefore, the space position of the specular reflection point at the same observation site is stable. The stable elevation of BeiDou GEO satellite can increase the time resolution of sea ice detection. In this paper, two experiments were performed in Bohai Bay of China to detect coastal sea ice using BeiDou GEO satellite reflected signals on January 24, 2015 and from January 30 to February 4, 2016. This paper applies the feasibility of long time continuous detection of coastal sea ice by the Beidou GEO B1 reflection signal. The first experimental results showed that sea ice concentration is correlated with the polarization ratio of Beidou GEO satellites C01 and C03. The second experimental results show that there is a positive correlation between the sea ice polarization ratio detected by GPS GEO satellites C01 and C02 and C03, and the relative values of C01, C02 and C03 polarization ratio to atmospheric temperature are 0.61, 0.72 and 0.57, respectively.

Aerodynamic and cooling performance of a novel step-shaped slot film cooling geometry
WU Hong, YANG Dengwen
2018, 44(2): 264-272. doi: 10.13700/j.bh.1001-5965.2017.0384
Abstract:

In order to permanently reduce the coupling vortices in film cooling, a novel step-shaped slot cooling geometry with tangential coolant ejection was introduced and its aerodynamic and cooling performance was numerically investigated. The effects of slot location at the suction and pressure side of a turbine vane and cooling air blowing ratio on these performances were also analyzed. The results show that slot injection from the suction side near-throat region only increases the total pressure loss by about 2%, while injection from the pressure side decreases both the kinetic loss and total pressure loss by about 2.5% with the air exit angle increasing less than 0.1% for low blowing ratios. Meanwhile, the loss coefficient and the air exit angle are not sensitive to the variation of blowing ratios. Additionally, cooling effectiveness downstream of the slot on both suction side and pressure side is rather high and it reaches almost 1.0 for about 8% axial chord of the vane surface on average in high blowing ratio cases.

Finite-time sliding mode control based 3D guidance law with impact angle constraints
ZHAO Yao, LI Pu, LIU Juan, CHEN Zhe, LIU Xiangdong
2018, 44(2): 273-279. doi: 10.13700/j.bh.1001-5965.2017.0087
Abstract:

To deal with the guidance problem of missile for intercepting ground fixed targets, a three-dimensional finite-time sliding mode control based guidance law is proposed in this paper. It is proved by the Lyapunov theory that the guidance law can steer the missile to intercept target with the desired impact angles in both azimuth and elevation. The guidance law has four advantages. First, model decoupling or model linearization is not needed in this work; second, the impact angles in both longitudinal and horizontal can be controled; third, the guidance command can be analytically derived; fourth, the closed-loop system is insensitive to external disturbance as well as parameter uncertainty. The simulation results show that high terminal accuracy and good robustness can be achieved by the proposed guidance law.

An approach for dynamic modeling of climbing robot
XU Yaru, LIU Rong
2018, 44(2): 280-285. doi: 10.13700/j.bh.1001-5965.2017.0097
Abstract:

With the aim of dynamic modeling of the climbing robot with dual-cavity structure and wheeled locomotion mechanism, an analytical dynamic model based on the Udwadia-Kalaba equation is established. The desired trajectory, which is regarded as constraints imposed on the system, is integrated into the dynamic modeling process of climbing robot dexterously. The explicit expression of additional torques required to satisfy constraints and explicit dynamic equation of the system without Lagrange multiplier are obtained. However, constraint violation arises when the initial conditions are incompatible with the constraint equations. Baumgarte's constraint violation stabilization method is considered for constraint violation suppression. The simulations of the varying law of the generalized coordinate variables and the trajectories are performed to demonstrate that this modeling method is feasible and effective.

Low-order equivalent matching methods for aircraft with flying wings
CONG Bin, WANG Lixin
2018, 44(2): 286-294. doi: 10.13700/j.bh.1001-5965.2017.0044
Abstract:

The low-order equivalent methods are aimed at conventional aircraft. They are not suitable for aircraft with flying wings as a result of flying wings' new handing and stability characteristics. To improve the accuracy and success rate of low-order equivalent matching for aircraft with flying wings, the differences between aircraft with flying wings and conventional aircraft in aerodynamic characteristics, manipulation characteristics, and control system design, are analyzed, and then the research on low-order equivalent methods for aircraft with flying wings is undertaken. The influence of matching frequency range on matching result is obtained via frequency domain characteristic analysis. Square wave signal, 3211 signal, and chirp signal are widely used as input signals for low-order equivalent matching. Their applicability is tested in time domain responses and matching results, and the results show that the square wave signal is most suitable for aircraft with flying wings. The influence of signal strength on matching results is investigated via simulation and analysis. A joint-design method is proposed, in which both directional motions and lateral motions are included in lateral-directional motivating command design. The new method can improve success rate for lateral-directional low-order matching.

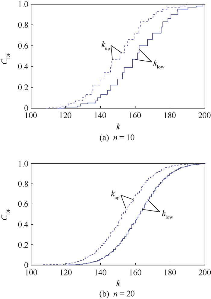
Analysis method on risk uncertainty based on variable step discrete random set
DUAN Yongsheng, ZHAO Jiguang, CHEN Peng, ZHAO Beilei, LYU Xiaolei
2018, 44(2): 295-304. doi: 10.13700/j.bh.1001-5965.2017.0047
Abstract:

In view of hybrid uncertainty presentation and propagation considering the dissonance and imprecision of information in risk assessment, a hybrid uncertainty analysis method based on variable step discrete random set theory was proposed. All kinds of incomplete and dissonant knowledge was represented with random set framework, a unified hybrid uncertainty propagation model was built using random extension principle, and uncertainty envelope curvesof risk was calculated at the same time. To solve the uncertainty combination problem of dissonant and conflict informations, D-S evidence combination principle was used to merge multisource uncertainty informations. For reducing the tail relative error, a variable step discrete random set presentation strategy of uncertainty variables was proposed, and the analysis procedure of hybrid uncertainty propagation was put forward based on variable step discrete random set theory. In conclusion, a physics and phenomena response model of a mass-spring-damper system was taken to verify the effectiveness and feasibility of the proposed method.

Modeling method of variable cycle engine based on QPSO hybrid algorithm
XIAO Hongliang, LI Huacong, LI Jia, WANG Shuhong, PENG Kai
2018, 44(2): 305-315. doi: 10.13700/j.bh.1001-5965.2017.0078
Abstract:

A new hybrid algorithm which is based on quantum particle swarm optimization (QPSO) algorithm and Broyden quasi-Newton algorithm was proposed to reduce the effect of initial value selection on convergence speed and accuracy in solving the variable cycle engine (VCE) model. Firstly, based on the analysis of the VCE geometrical characteristics and the analysis of the steady-state characteristics of the external duct through backpropagation(BP) neural network method, a component model was established which can reflect variable geometry property and mode switching and other states of the VCE. Secondly, based on the model performance calculation, a QPSO based Broyden quasi-Newton hybrid algorithm was used to solve the VCE model cooperating equations, which improved the convergence and calculation efficiency of the hybrid algorithm by introducing the divergence coefficient to combine the two single algorithms. The effectiveness, efficiency and accuracy of the algorithm were verified by the simulation of high-order nonlinear equations. Finally, the steady state and dynamic simulation of VCE component model were carried out. The results of VCE model show that, compared with the results of GasTurb performance calculation, the trends of velocity characteristics and altitude characteristics are basically the same with those of GasTurb, the error between VCE model and GasTurb is less than 2%. The hybrid algorithm based on QPSO and Broyden quasi-Newton algorithm can solve the VCE model efficiently and quickly. The established VCE model can be used for performance simulation and analysis.

Determination method of initial spares requirement based on SST and Bayes theory
DONG Xiaoxiong, CHEN Yunxiang, XIANG Huachun, BAI Yang
2018, 44(2): 316-321. doi: 10.13700/j.bh.1001-5965.2017.0091
Abstract:

With the changes of use environment, the initial spares plan cannot meet the equipment support requirement when the equipment is disposed. Aimed at this situation, similarity system theory (SST) and Bayes method are introduced. According to the similarity system theory, the initial failure rate of spare parts is preliminarily determined. Then, the corresponding conjugate prior distribution is taken out based on the life distribution type in the aviation equipment which is in use. The maximum entropy method is used to calculate the maximum parameters and the Bayes theory is used to obtain posterior failure rate. Finally, the initial failure rate and posterior failure rate are combined to determine the initial demand for aviation spares. Numerical example results show that the method satisfies the requirement of practical application, which is a reliable and effective demand prediction method for the initial spares.

Performance calculation and experimental study on a hydrostatic journal bearing for turbopumps
DU Jialei, YAN Panyun, LIANG Guozhu
2018, 44(2): 322-332. doi: 10.13700/j.bh.1001-5965.2017.0092
Abstract:

An experimental hydrostatic journal bearing intended for the reusable liquid rocket engine turbopump was designed and investigated through numerical calculation and experiments. The Reynolds equation for incompressible laminar fluid was numerically solved based on its linear characteristic and the static performance (load capacity and mass flow rate) of the bearing lubricated with water and liquid nitrogen versus eccentricity ratio and supply pressure was calculated and analyzed. The flow characteristic of the bearing restrictor was studied through experiment and the bearing lubricated with water was also tested. The flow characteristic experiment of the restrictor shows that the flow coefficient of this non-typical restrictor is much larger than that of orifice restrictors. The numerical results show that the mass flow rates of the bearing lubricated with water and liquid nitrogen are very close to each other under the present research condition. The high-speed water lubrication experiment indicates that the equilibrium position of the shaft in the bearing is mainly determined by the supply pressure and the bearing shows no obvious hydrodynamic effect in the speed range of 0~30 000 r/min. Both numerical and experimental results show that the mass flow rate of the hydrostatic journal bearing is largely independent of the eccentricity ratio. The numerical results of the bearing lubricated with water and liquid nitrogen, together with the water lubrication experimental results provide a reference for further cryogenic lubrication experiments.

Influence of aerodynamic parameters on short-period mode characteristics of closed-loop aircraft
XU Wangqiang, WANG Lixin
2018, 44(2): 333-341. doi: 10.13700/j.bh.1001-5965.2017.0109
Abstract:

Owing to the relaxed static stability technology applied to the modern high-performance fighter aircraft, the design of an advanced flight control system is required to confirm its closed-loop system for an excellent dynamic property within the flight envelope. The ability of flight control system (FCS) is limited as a result of the control effectiveness and deflection rate of the control surface. The designed aerodynamic parameters of aircraft must meet certain requirements to confirm good flying qualities in its closed-loop system. This paper presents a new method which describes the influence of various aerodynamic parameters on short-period mode characteristics of closed-loop aircraft. A relaxed static stability aircraft with model reference dynamic inversion control law is provided to investigate the influence rules of various aerodynamic parameters on short-period mode characteristics based on the equivalent parameter criterion. The results show that the elevator control effectiveness has a great influence on the short-period mode characteristics and the aerodynamic parameters need to match a certain match value set to keep excellent short-period mode flying qualities. The proposed method can provide reference for flight control system design with the optimized aerodynamic parameters for relaxed static stability aircraft.

Inertia mass of force transducers based on a modified Monte Carlo calibration method
JIANG Wensong, WANG Zhongyu, ZHANG Li, YANG Jun, LYU Jing
2018, 44(2): 342-348. doi: 10.13700/j.bh.1001-5965.2017.0128
Abstract:

As an important parameter of a force transducer, the inertia mass can reduce the measurement accuracy of a dynamic force unless it has been accurately estimated. To eliminate the ill-posedness of an calibration model of the inertia mass caused by parameter errors, a modified Monte Carlo calibration (MMCC) method is proposed. Firstly, the mathematical model among the inertia mass, the additional mass, and the measurement response of the force transducer is built. Secondly, the parameter samples of this model including additional mass, acceleration, and voltage are simulated by pseudo-random number generation globally. Thirdly, the valid samples of these parameters are selected by interval screening technique. Finally, the inertia mass of the force transducer is estimated by solving the probability of these valid samples as well as the calibration of the force transducer. The accuracy of the MMCC method is verified by dynamic calibrating a Kistler 9331B force transducer with a sinusoidal vibration exciter. The experimental results show that the estimate of the inertia mass is 83.91g, the estimation error is 0.67%, the standard deviation is 0.74 g, and the calibration error range of the dynamic force is[-7.88%, 11.46%]. It indicates that the calibration error of MMCC method is less than the traditional secondary additional mass method and the multi-additional mass method.

A novel testing architecture for embryonics array
LI Danyang, CAI Jinyan, MENG Yafeng, ZHU Sai
2018, 44(2): 349-362. doi: 10.13700/j.bh.1001-5965.2017.0321
Abstract:

In embryonics array, testing architecture and the fault detection and location method are limited by the electronic cell structure and the array structure. Fault detection and location capability need to be improved, and the hardware consumption of the testing architecture is large. In order to solve these problems, a novel testing architecture composed of configurable boundary scan architecture and configurable inner scan architecture was proposed. Based on this novel architecture, a register transfer level fault detection method and a cell level fault location method were proposed. In the simulation of s27 circuit, the detailed process of fault detection and location is introduced, and the hardware resource consumption of the testing architecture is analyzed. Simulation and analysis results show that the proposed method can effectively detect and locate the fault at cell level, and the proportion of hardware resource consumption of the testing architecture decreases significantly as the size of the embryonics array increases, which is suitable for large-scale embryonics array.

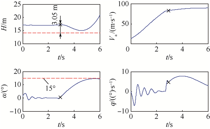
Effect of asymmetric factors on carrier-based aircraft catapult launch safety
LIN Jiaming, ZHANG Yi, YUE Ting, WANG Lixin
2018, 44(2): 363-374. doi: 10.13700/j.bh.1001-5965.2017.0391
Abstract:

Asymmetric factors lead to lateral-directional departure after catapult launch, and affect longitudinal flyaway characteristics as well. Principle analysis and numerical simulation are conducted to reveal yawing movement characteristics during deck run and lateral-directional departure characteristics in catapult flyaway, with the consideration of three typical factors, such as off-center position, catapult runway angle and deck roll. According to the safety requirements of sink off bow and bank angle, safe wind over deck (WOD) envelope is figured through numerical simulation under different takeoff conditions. Simulation results indicate that lower boundary of the envelope is limited by maximum sink off bow, left and right boundary is restricted to maximum bank angle, and upper boundary is determined by constant wind at sea level. The range of safe WOD's direction and speed would be obviously narrowed due to off-center position or deck roll.

Vibration control for large flexible maneuvering spacecraft using modified positive position feedback
YUAN Qiufan, HUO Mingying, QI Naiming, CAO Shilei, XIAO Yuzhi
2018, 44(2): 375-382. doi: 10.13700/j.bh.1001-5965.2017.0101
Abstract:

Considering maneuvering spacecraft with high flexible appendages, the translational and rotational coupling vibration modes between flexible structures and center rigid body are excited by the simultaneous attitude and orbit maneuvering. Aimed at higher stability of attitude and orbit control of spacecraft, an integrated modified positive position feedback (MPPF) controller is proposed to suppress the vibration of flexible structure. First, dynamic model is established with translational and rotational coupling effects considered, and coupling mode parameters are calculated. Then, an integrated controller was designed to suppress the translational and rotational coupling vibration modes based on MPPF. Controller parameters were optimized through M-norm optimization method. Active vibration control system is constructed using piezoelectric smart material. The simulation results show that the proposed controller is efficient on vibration suppression of the flexible structures and the stability of attitude and orbit control of maneuvering spacecraft is improved.

Shore-based GNSS-R method for marine oil spill detection
JIA Ziying, ZHANG Bo, WU Jun, YANG Dongkai, HONG Xuebao
2018, 44(2): 383-390. doi: 10.13700/j.bh.1001-5965.2017.0083
Abstract:

From the perspective of shore-based application, a marine oil spill detection model based on the inversion of the target water's relative dielectric constant was established using the three-antenna global navigation satellite system-reflection (GNSS-R) technology, the partial depolarization phenomenon of the electromagnetic wave, and the mapping relationship between reflectivity and characteristic function of surface roughness. For this purpose, GNSS direct signal, left-hand and right-hand circular polarization components of reflected signals were collected by two field experiments for heavy oil and intertidal zone respectively. After processing the data according to the inversion model, the summary as well as the analysis were carried out. From the experimental results, the mean of retrieved dielectric constant of the oil covered surface is 2.14, its standard deviation is 1.44, and the dielectric constant of the beach has undergone a process of obvious increase and decrease, which is highly consistent with the flood and ebb tide alternates. The difference between oil and water inversion is obvious. The inversion results have a good agreement with the theoretical dielectric constant, which means that this method is feasible for marine oil spill remote sensing in shore-based environment to a certain extent.

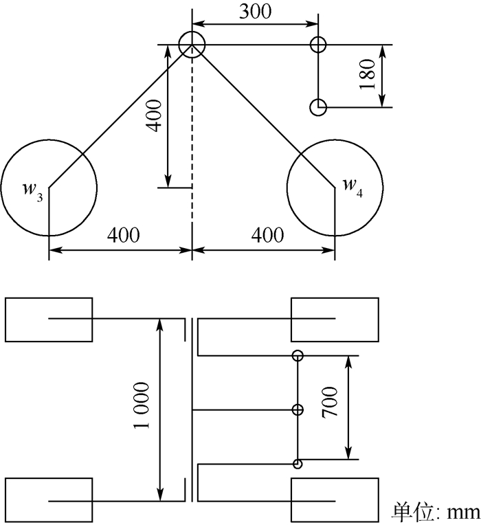
Attitude control algorithm of balancing-arm mobile robot
LIU Benyong, GAO Feng, JIANG Hui, ZHANG Bin
2018, 44(2): 391-398. doi: 10.13700/j.bh.1001-5965.2017.0111
Abstract:

In order to improve the stability of working platform in the process of obstacle negotiation, with balancing-arm mobile robot as research object, an attitude control algorithm was designed based on nonlinear programming genetic algorithm. First, the simplified model of balancing-arm mechanism was built and spatial posture parameters were defined to character the space state of robot. Mathematical relationship between spatial posture parameters and wheel center positions was deduced by coordinate transformation equation based on spatial mechanism. Then, a nonlinear programming genetic algorithm was designed. The genetic algorithm fitness function used to solve objective control parameters was established under the constraint of stability. To verify the performance of the proposed attitude control algorithm, 3D model of the mobile robot and road were built in the ADAMS software, and then kinematics simulation studies were carried out by ADAMS and MATLAB/Simulink. The results of simulation show that when balance-arm mobile robot passes through the designed obstacles with the designed controller, the roll angle falls from 10.8° to 1.8° compared with no controller and the amplitude of wheel center position falls from 96.4 mm to 34.9 mm as also. The simulation results demonstrate the validity of the proposed attitude control algorithm.

Short-range high squint imaging algorithm based on range migration modification
YIN Fenglin, SHANG Xiaozhou, LI Zhiping, MIAO Jungang
2018, 44(2): 399-405. doi: 10.13700/j.bh.1001-5965.2017.0112
Abstract:

In the case of short-range high squint imaging, the conventional range migration (RM) algorithm cannot be adopted directly, for the reason that the spatial spectrum will shift in the limited spatial spectrum domain and will cause warping and aliasing several times. In order to solve this problem, an algorithm to restore the actual spatial spectrum was presented. Times of warping spectrum were calculated exactly according to the squint angle or the shift of the target in azimuth to help shifting back to the actual position in the spatial spectrum domain. Then this algorithm could be completed as the step of RM algorithm. The modified algorithm can not only satisfy far field condition, but also can be successfully used for short-range high squint mode, because of the spectrum processing procedure and non-approximation of the distance equation. Both the simulation and experimental results show that the modified algorithm can accurately focus the target in the imaging scene. This algorithm can solve high squint imaging problem for short-range synthetic aperture radar (SAR).Meanwhile, the algorithm procedure is clear and easy to be realized by programming.

System reliability assessment under real time-varying environmental stress
LAN Jie, YUAN Hongjie, YUAN Ming, XIA Jing
2018, 44(2): 406-412. doi: 10.13700/j.bh.1001-5965.2017.0120
Abstract:

The traditional reliability evaluation methods only consider the product under constant stress. However, products are often directly exposed to the outdoor natural environment in actual engineering, and the working environment stress or storage environment stress varies with time. Aimed to solve this problem, the natural environmental stress of the typical geographical location is introduced, and the environmental stress variation tendency is derived by using six-parameter polynomial fitting method. Moreover, two modes of the time-varying environmental stress are assumed, and on the basis of Nelson cumulative damage model, the product reliability evaluation method based on accelerated life test data is studied under the real time-varying environmental stress. The results show that the reliability life of the products at different geographical locations is quite different, and the reliability of the products can be evaluated more accurately by introducing the real environmental stress of the geographical location of the product.