Volume 44 Issue 2
Feb.  2018
Turn off MathJax
Article Contents
WU Hong, YANG Dengwen. Aerodynamic and cooling performance of a novel step-shaped slot film cooling geometry[J]. Journal of Beijing University of Aeronautics and Astronautics, 2018, 44(2): 264-272. doi: 10.13700/j.bh.1001-5965.2017.0384(in Chinese)
Citation: WU Hong, YANG Dengwen. Aerodynamic and cooling performance of a novel step-shaped slot film cooling geometry[J]. Journal of Beijing University of Aeronautics and Astronautics, 2018, 44(2): 264-272. doi: 10.13700/j.bh.1001-5965.2017.0384(in Chinese)

Aerodynamic and cooling performance of a novel step-shaped slot film cooling geometry

doi: 10.13700/j.bh.1001-5965.2017.0384
More Information
  • Corresponding author: WU Hong, E-mail: wuhong@cqjj8.com
  • Received Date: 06 Jun 2017
  • Accepted Date: 22 Sep 2017
  • Publish Date: 20 Feb 2018
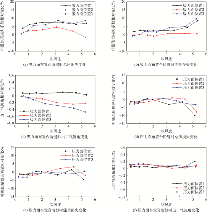
  • In order to permanently reduce the coupling vortices in film cooling, a novel step-shaped slot cooling geometry with tangential coolant ejection was introduced and its aerodynamic and cooling performance was numerically investigated. The effects of slot location at the suction and pressure side of a turbine vane and cooling air blowing ratio on these performances were also analyzed. The results show that slot injection from the suction side near-throat region only increases the total pressure loss by about 2%, while injection from the pressure side decreases both the kinetic loss and total pressure loss by about 2.5% with the air exit angle increasing less than 0.1% for low blowing ratios. Meanwhile, the loss coefficient and the air exit angle are not sensitive to the variation of blowing ratios. Additionally, cooling effectiveness downstream of the slot on both suction side and pressure side is rather high and it reaches almost 1.0 for about 8% axial chord of the vane surface on average in high blowing ratio cases.

     

  • loading
  • [1]
    GOLDSTEIN R J.Filmcooling[J].Advances in Heat Transfer, 1971, 7:321-379. doi: 10.1016/S0065-2717(08)70020-0
    [2]
    BUNKER R S.A review of shaped hole turbine film-cooling technology[J].Journal of Heat Transfer, 2005, 127(4):441-453. doi: 10.1115/1.1860562
    [3]
    KUSTERER K, BOHN D, SUGIMOTO T, etal.Double-jet ejection of cooling air for improved film cooling[J].Journal of Turbomachinery, 2007, 129(4):809-815. doi: 10.1115/1.2720508
    [4]
    HEIDMANN J D, EKKAD S.A novel antivortex turbine film-cooling hole concept[J].Journal of Turbomachinery, 2008, 130(3):031020. doi: 10.1115/1.2777194
    [5]
    ELY M J, JUBRAN B A.A numerical study on improving large angle film cooling performance through the use of sister holes[J].Numerical Heat Transfer, Part A:Applications, 2009, 55(7):634-653. doi: 10.1080/10407780902821532
    [6]
    HAVEN B A, KUROSAKA M. Kidney and anti-kidney vortices in crossflow jets[J].Journal of Fluid Mechanics, 1997, 352(1):27-64.
    [7]
    BERNSDORF S, ROSE M G, ABHARI R S.Modeling of film cooling-Part 1:Experimental study of flow structure[J].Journal of Turbomachinery, 2005, 128(1):141-149.
    [8]
    侯伟涛, 乔渭阳.尾缘冷却跨声速涡轮气动特性的数值模拟[J].推进技术, 2010, 31(5):567-571.

    HOU W T, QIAO W Y.Numerical simulation of the trailing edge cooled transonic turbine aerodynamic characteristic[J].Journal of Propulsion Technology, 2010, 31(5):567-571(in Chinese).
    [9]
    杨林, 曾军, 谭洪川, 等.大膨胀比跨声速涡轮流动结构及损失的数值研究[J].推进技术, 2014, 35(5):632-640.

    YANG L, ZENG J, TAN H C, et al.Numerical study of flow structure and loss of large expansion ratio transonic turbine[J].Journal of Propulsion Technology, 2014, 35(5):632-640(in Chinese).
    [10]
    石德永, 宋文艳, 浮强.导向器叶片尾缘厚度对涡轮性能影响研究[J].机械设计与制造, 2013(11):102-104. doi: 10.3969/j.issn.1001-3997.2013.11.031

    SHI D Y, SONG W Y, FU Q.Research of stator trailing edge thickness effects on turbine performance[J].Machinery Design & Manufacture, 2013(11):102-104(in Chinese). doi: 10.3969/j.issn.1001-3997.2013.11.031
    [11]
    高炎, 晏鑫, 李军.燃气透平叶片尾缘开缝结构冷却性能的数值研究[J].西安交通大学学报, 2016, 50(3):29-37. doi: 10.7652/xjtuxb201603005

    GAO Y, YAN X, LI J.Numerical investigation on the cooling performance of trailing edge cutback in gas turbine blade[J].Journal of Xi'an Jiaotong Univeristy, 2016, 50(3):29-37(in Chinese). doi: 10.7652/xjtuxb201603005
    [12]
    HYLTON L D, MILLEC M S, TURNER E R, et al. Analytical and experimental evaluation of the heat transfer distribution over surface of turbine vanes: NASA-CR-168015[R]. Washington, D. C. : NASA, 1983.
    [13]
    HYLTON L D, NIRMALAN V, SULTANIAN B K, et al. The effect of leading edge and downstream film cooling on turbine vane heat transfer: NASA-CR-182133[R]. Washington, D. C. : NASA, 1988.
    [14]
    姚玉. 收敛缝形孔气膜冷却特性研究[D]. 南京: 南京亚洲成人在线一二三四五六区, 2010.

    YAO Y. Research on film cooling characteristic of converging slot hole[D]. Nanjing: Nanjing University of Aeronautics and Astronautics, 2010(in Chinese).
    [15]
    MAYLE R E, KOPPER F C, BLAIR M F, et al.Effect of streamline curvature on film cooling[J].Journal of Engineering for Power, 1977, 99(1):77-82. doi: 10.1115/1.3446255
  • 加载中

Catalog

    通讯作者: 陈斌, bchen63@163.com
    • 1. 

      沈阳化工大学材料科学与工程学院 沈阳 110142

    1. 本站搜索
    2. 百度学术搜索
    3. 万方数据库搜索
    4. CNKI搜索

    Figures(11)

    Article Metrics

    Article views(1082) PDF downloads(489) Cited by()
    Proportional views
    Related

    /

    DownLoad:  Full-Size Img  PowerPoint
    Return
    Return